error_outline You can access the new MDPI.com website here. Explore and share your feedback with us.
 
 
Sign in to use this feature.

Years

Between: -

Subjects

remove_circle_outline
remove_circle_outline
remove_circle_outline
remove_circle_outline
remove_circle_outline
remove_circle_outline
remove_circle_outline
remove_circle_outline
remove_circle_outline

Journals

Article Types

Countries / Regions

Search Results (30)

Search Parameters:
Keywords = clam farming

Order results
Result details
Results per page
Select all
Export citation of selected articles as:
15 pages, 3372 KB  
Review
Occurrence of Clostridium perfringens in Shellfish
by Temitope C. Ekundayo and Frederick T. Tabit
Vet. Sci. 2026, 13(1), 51; https://doi.org/10.3390/vetsci13010051 - 7 Jan 2026
Abstract
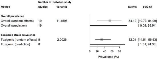
Background: Clostridium perfringens is an infectious agent of concern in wild/farmed shellfish. Hence, this study assessed shellfish-borne Clostridium perfringens (ShbCp) prevalence. Methods: A total of 1469 ShbCp from 2336 shellfish were modelled using hierarchical generalized linear and 1000-permutation-based-mixed-effects, meta-regression models. Results: The overall [...] Read more.
Background: Clostridium perfringens is an infectious agent of concern in wild/farmed shellfish. Hence, this study assessed shellfish-borne Clostridium perfringens (ShbCp) prevalence. Methods: A total of 1469 ShbCp from 2336 shellfish were modelled using hierarchical generalized linear and 1000-permutation-based-mixed-effects, meta-regression models. Results: The overall ShbCp prevalence was 54.12% (19.73–84.99) with a 32.02% (14.52–56.64) toxigenic rate and a higher estimate in 2020–2025 (41.01%, 17.00–70.23) versus 1970–2019 (20.01%, 4.49–57.08). Culture media significantly affect ShbCp recovery, with cooked meat medium and thioglycollate medium registering higher estimates (77% and 25.15%, respectively) than selective agars (<7%). The molluscans had a higher ShbCp rate (60.68%) than crustaceans (1.57%) and cephalopods (0.14%); oysters (85.97%) than mussels (71.81%), clams (50.38%), slug/snails (48.23%), scallops (16.24%), crabs (11.91%), shrimps (1.05%), and squids (0.42%); and Crassostrea gigas (89.27%) versus Ruditapes philippinarum (45.92%) versus Mytilus galloprovincialis (30.14%). ShbCp differed significantly by nations but not by continent with Spain (87.79%) having the highest rate, then China (47.01%), Japan (43.91%), the USA (10.44%), and Greece (0.00%); South America (51.36%), then Asia (44.77%), Europe (21.97%), and North America (10.44%). Sample size, growth medium, nation, and shellfish class significantly explained 27.58%, 72.30%, 67.52%, and 28.51% (R2) variance in ShbCp prevalence, respectively. Conclusions: The present study estimated a high ShbCp prevalence, suggesting a significant public health risk. It recommends that C. perfringens should be incorporated as a supplemental indicator into shellfish safety/shellfish water quality monitoring alongside traditional indicators. Also, geographical data gaps from Africa, Latin America, the Middle East, and Oceania underline the need for national and global monitoring attention and priority on C. perfringens in shellfish/shellfish beds. Full article
(This article belongs to the Section Veterinary Food Safety and Zoonosis)
Show Figures

Figure 1

17 pages, 4039 KB  
Article
Characteristics of Microbial Communities in Sediments from Culture Areas of Meretrix meretrix
by Fengbiao Wang, Yue Zhu, Chaozhong Xin, Shuai Han, Haopeng Hu, Longyu Liu, Jinmeng Bao, Xuan Zhang, Lei Li and Mei Jiang
Diversity 2025, 17(12), 848; https://doi.org/10.3390/d17120848 - 10 Dec 2025
Viewed by 273
Abstract
This study examined the sediment microbial communities at 12 stations within the Meretrix meretrix farming area in Rudong, Jiangsu Province, utilising high-throughput sequencing. It elucidates the ecological relationships between the sediment microbial communities and the primary physical and chemical factors influencing the farming [...] Read more.
This study examined the sediment microbial communities at 12 stations within the Meretrix meretrix farming area in Rudong, Jiangsu Province, utilising high-throughput sequencing. It elucidates the ecological relationships between the sediment microbial communities and the primary physical and chemical factors influencing the farming water and sediment. The results indicated that the microbial communities comprised 55 phyla. The Shannon index ranged from a minimum of 8.97 to a maximum of 9.96, while the Simpson index varied from 0.996 to 0.997, indicating a uniform species distribution. β diversity analysis revealed significant spatial diversity among the communities. Dominant bacterial groups included Proteobacteria (25.2–38%) and Desulfobacterota (10.4–14.4%), with Desulfobacterota reaching a peak of 14.4% at tidal creek station S2, reflecting the sulphate reduction process associated with organic pollution input. At the genus level, Woesia (9.15–17.16%), Desulfobacterota, and Subgroup_22 were identified as core functional bacteria. Redundancy analysis indicated that phosphate and nitrate were the primary drivers of community variation, accounting for a cumulative interpretation rate of 43.2%. Spearman correlation analysis confirmed that fine-grained sediments were more likely to store organic matter, significantly promoting the colonisation of AQS1 (p < 0.05) and Cohaesibacter (p < 0.05), while inhibiting Puniceispirillales (p < 0.01). An alkaline environment positively selects for sulphur-cycling bacteria, such as Desulfatiglans (p < 0.05). This study provides technical support for the regulation of sediment environments and the promotion of healthy clam culture practices. Full article
(This article belongs to the Special Issue Aquatic Biodiversity and Habitat Restoration)
Show Figures

Figure 1

6 pages, 1108 KB  
Brief Report
Regional Prevalence and Molecular Detection of Enterocytozoon hepatopenaei in Coastal Shellfish from Korea
by Beom Hee Lee, Eul Bit Noh, Hee Jung Choi, Mun Gyeong Kwon and Bo Seong Kim
Animals 2025, 15(22), 3356; https://doi.org/10.3390/ani15223356 - 20 Nov 2025
Viewed by 419
Abstract
EHP causes hepatopancreatic microsporidiosis in shrimp, leading to growth retardation without notable mortality. To examine potential environmental carriers, farmed bivalves were collected near shrimp ponds in Korea and screened for EHP using nested PCR targeting the spore-wall-protein gene. DNA of EHP was mainly [...] Read more.
EHP causes hepatopancreatic microsporidiosis in shrimp, leading to growth retardation without notable mortality. To examine potential environmental carriers, farmed bivalves were collected near shrimp ponds in Korea and screened for EHP using nested PCR targeting the spore-wall-protein gene. DNA of EHP was mainly detected in gill and digestive tissues of oysters, scallops, mussels, and clams. Histopathology after 24 h immersion exposure confirmed spores within the intestinal epithelium of clams, indicating short-term invasion potential. These results suggest that bivalves can retain and mechanically transfer EHP spores through shared seawater between shrimp farms and surrounding areas. Considering the environmental persistence of EHP, continuous surveillance of local invertebrates is recommended to reduce the risk of EHP introduction and further spread in aquaculture systems. Full article
(This article belongs to the Section Aquatic Animals)
Show Figures

Figure 1

28 pages, 2049 KB  
Article
From Sea to Table: The Role of Traceability in Italian Seafood Consumption
by Simona Violino, Damianos Chatzievangelou, Giulio Sperandio, Simone Gaetano Amato, Chiara Fini, Domenico Ciorciaro, Simone Figorilli, Cecilia Ripa, Simone Vasta, Francesca Antonucci, Federico Pallottino, Raffaele De Luca, Daniela Scutaru, Sara Biancardi, Elisa Pignoni and Corrado Costa
Foods 2025, 14(20), 3469; https://doi.org/10.3390/foods14203469 - 11 Oct 2025
Viewed by 1007
Abstract
Seafood plays a key role in a healthy diet due to its high content of essential nutrients. However, its global trade and complex supply chains expose it to frequent mislabeling and food fraud. This study investigates Italian consumers’ willingness to pay (WTP) for [...] Read more.
Seafood plays a key role in a healthy diet due to its high content of essential nutrients. However, its global trade and complex supply chains expose it to frequent mislabeling and food fraud. This study investigates Italian consumers’ willingness to pay (WTP) for traceable seafood products, exploring how blockchain technology (BT) can enhance transparency and economic sustainability in the fish supply chain. An online questionnaire, administered in 2022 and 2024, gathered responses from a diverse demographic, focusing on four representative seafood species: farmed sea bass, striped venus clams, giant red shrimp, and albacore tuna. Results indicate that most respondents—primarily with higher education levels—value traceability and are willing to pay a premium for certified, traceable seafood. The study models the economic feasibility of implementing BT at both national and regional levels and finds that the consumer’s WTP exceeds the additional costs incurred by adopting BT. These findings support the viability of traceability systems in improving food safety and sustainability, while reinforcing consumer trust. The results also underscore the importance of providing clear information at the point of purchase, particularly regarding species, origin, and production methods—factors critical to informed seafood choices and advancing more sustainable consumer behavior in Italy. Full article
(This article belongs to the Section Foods of Marine Origin)
Show Figures

Figure 1

17 pages, 503 KB  
Review
Global Comparison and Future Trends of Major Food Proteins: Can Shellfish Contribute to Sustainable Food Security?
by Elena Tamburini, David Moore and Giuseppe Castaldelli
Foods 2025, 14(13), 2205; https://doi.org/10.3390/foods14132205 - 23 Jun 2025
Cited by 3 | Viewed by 2505
Abstract
Food security and environmental quality related to food production are global issues that need urgent solutions. Proteins are crucial for diets, and demand is growing for innovative and more environmentally sustainable sources of protein, like vegetables, microorganisms, and insects, and lab-grown food that [...] Read more.
Food security and environmental quality related to food production are global issues that need urgent solutions. Proteins are crucial for diets, and demand is growing for innovative and more environmentally sustainable sources of protein, like vegetables, microorganisms, and insects, and lab-grown food that can meet nutritional and environmental goals. This study analyzes a time series to assess the sustainability of different protein sources by evaluating their effects on emissions of greenhouse gases and the use of agricultural land while accounting for the carbon sink potential across the supply chain. The study also explores future trends in global protein sources, emphasizing shellfish as a key to achieving food security from both nutritional and environmental perspectives. By reviewing terrestrial livestock, farmed seafood, vegetal proteins, and alternative sources like insects and cultured cells, the study assesses sustainability, food security potential, and challenges from nutritional, environmental, and consumer viewpoints. We conclude that shellfish aquaculture, particularly oysters, mussels, clams, and scallops, has significant potential in enhancing food security, fostering sustainable protein consumption, reducing land use, and contributing to climate change mitigation by sequestering significant amounts of atmospheric carbon. Full article
Show Figures

Figure 1

13 pages, 3835 KB  
Article
A Lightweight Detection Method for Meretrix Based on an Improved YOLOv8 Algorithm
by Zhongxu Tian, Sifan Hou, Xiaoxue Yue and Xuewen Hu
Appl. Sci. 2025, 15(12), 6647; https://doi.org/10.3390/app15126647 - 13 Jun 2025
Viewed by 681
Abstract
Clam farms are typically located in remote areas with limited computational resources, making it challenging to deploy traditional deep learning-based object detection methods due to their large model size and high computational demands. To address this issue, this paper proposes a lightweight detection [...] Read more.
Clam farms are typically located in remote areas with limited computational resources, making it challenging to deploy traditional deep learning-based object detection methods due to their large model size and high computational demands. To address this issue, this paper proposes a lightweight detection method, YOLOv8-RFD, based on an improved YOLOv8 algorithm, tailored for clam sorting applications. The proposed enhancements include the following: replacing the original backbone network of YOLOv8 with a Reversible Columnar Network (RevColNet) to reduce feature redundancy and computational load; upgrading the C2f modules in both the backbone and neck networks to C2f-Faster to optimize feature fusion strategies and improve fusion efficiency; and incorporating a Dynamic Head (DyHead) to enhance feature extraction and detection accuracy by adaptively adjusting the detection head structure. Experimental results on a custom clam dataset demonstrate that, compared to the original YOLOv8 model, the proposed method reduces the number of parameters by 22.75% and computational demand by 18.52%, while slightly improving detection accuracy. These improvements not only maintain but also enhance detection performance, significantly reducing computational cost, and confirming the method’s suitability for deployment in resource-constrained environments. This provides a reliable technical foundation for the sorting of clams. Full article
(This article belongs to the Section Agricultural Science and Technology)
Show Figures

Figure 1

14 pages, 2893 KB  
Article
Role of Filter-Feeding Bivalves in the Bioaccumulation and Transmission of White Spot Syndrome Virus (WSSV) in Shrimp Aquaculture Systems
by Joon-Gyu Min, Young-Chul Kim and Kwang-Il Kim
Pathogens 2024, 13(12), 1103; https://doi.org/10.3390/pathogens13121103 - 13 Dec 2024
Cited by 3 | Viewed by 1346
Abstract
White spot syndrome virus (WSSV) poses a major risk to shrimp aquaculture, and filter-feeding bivalves on shrimp farms may contribute to its persistence and transmission. This study investigated the bioaccumulation and vector potential of WSSV in Pacific oysters (Crassostrea gigas), blue [...] Read more.
White spot syndrome virus (WSSV) poses a major risk to shrimp aquaculture, and filter-feeding bivalves on shrimp farms may contribute to its persistence and transmission. This study investigated the bioaccumulation and vector potential of WSSV in Pacific oysters (Crassostrea gigas), blue mussels (Mytilus edulis), and manila clams (Venerupis philippinarum) cohabiting with WSSV-infected shrimp. Sixty individuals of each species (average shell lengths: 11.87 cm, 6.97 cm, and 5.7 cm, respectively) cohabitated with WSSV-infected shrimp (Penaeus vannamei, average body weight: 16.4 g) for 48 h. In the experiments, bivalves accumulated WSSV particles in both the gill and digestive gland tissues, with the digestive glands exhibiting higher viral load (average viral load, 3.91 × 104 copies/mg), showing that the viral concentrations in bivalve tissues are directly influenced by seawater WSSV concentrations, reaching levels sufficient to induce infection and 100% mortality in healthy shrimp using tissue homogenates. After a 168 h release period in clean water, the WSSV levels in bivalve tissues decreased below the detection thresholds, indicating reduced transmission risk. These results highlight the role of bivalves as temporary reservoirs of WSSV in aquaculture settings, with the transmission risk dependent on the viral concentration and retention period. Our findings suggest that the management of bivalve exposure in WSSV-endemic environments could improve the biosecurity of shrimp farms. Full article
(This article belongs to the Section Viral Pathogens)
Show Figures

Figure 1

27 pages, 81739 KB  
Article
Geological and Ecological Insights on the Lake Faro Global Geosite Within the Messina Strait Framework (Italy)
by Roberta Somma, Ezio Giuffrè, Sakho Amonullozoda, Sebastiano Ettore Spoto, Arturo Giacobbe and Salvatore Giacobbe
Geosciences 2024, 14(12), 319; https://doi.org/10.3390/geosciences14120319 - 24 Nov 2024
Cited by 1 | Viewed by 2192
Abstract
The Lake Faro brackish basin (Sicily, Italy) was established as a Global Geosite as a key locality of tectonic coastal lakes, but little research has been devoted to this rare geological and ecological framework. To fill this gap, the main stratigraphical, sedimentological, ecological, [...] Read more.
The Lake Faro brackish basin (Sicily, Italy) was established as a Global Geosite as a key locality of tectonic coastal lakes, but little research has been devoted to this rare geological and ecological framework. To fill this gap, the main stratigraphical, sedimentological, ecological, morpho-bathymetric, and structural features were reported, linking geodiversity with biodiversity. In Lake Faro, a shallow platform develops alongside a deep funnel-shaped basin, reaching a maximum depth of 29 m. A NNW-SSE trending steep cliff, representing the abrupt transition from the platform to the basin, was interpreted as a dextral transtensional fault (Lake Faro Fault), presumably active since the middle-late(?) Pleistocene. The switches of the steep cliff NW-wards, acquiring an E-W trend, was interpreted as being due to the occurrence of the normal Mortelle Fault, cut by the Faro Lake Fault. Bottom terrigenous deposits consisted of coarse- to fine-grained quartzo-lithic rich sediments deriving from high-grade metamorphic and igneous rocks, whereas bioclasts mainly derived from clam farming actives for several centuries up until today. The Quaternary shallow platform, from top to base, includes the following: (i) soft cover composed of coarse terrigenous and prevalent bioclastic deposits; (ii) hard conglomerates cemented by carbonates; and (iii) siliciclastic coarse deposits of the Messina Fm. In the deep basin, siliciclastic silty loams with minor amounts of bioclastic deposits prevailed in the soft cover. Substrate heterogeneity coupled with brackish-marine gradients are the main factors responsible for an articulate patchiness of different lagoon habitats and related benthic associations, which, according to the Barcelona Convention classification, can be summarized as follows: (i) MB1.541 (marine angiosperms or other halophytes), (ii) MB1.542 (Fucales), (iii) MB5.543 (photophilic algae, except Fucales), (iv) MB5.544 (Facies with Polychaeta), and (v) MB5.545 (Facies with Bivalvia). Typical marine associations, such as rhodolite beds, also occur. Finally, the lake, which has been exploited since the prehistoric age because of its high biodiversity and productivity, maintains some evidence of millennial relationships with the resident human cultures, attracted there by the favorable geomorphological and ecological peculiarities. Full article
(This article belongs to the Section Sedimentology, Stratigraphy and Palaeontology)
Show Figures

Figure 1

21 pages, 291 KB  
Article
Issues and Needs for the Sustainable Development of Shellfish Farming in Italy
by Lucia Tudini and Andrea Forgione
Aquac. J. 2024, 4(2), 55-75; https://doi.org/10.3390/aquacj4020005 - 7 Jun 2024
Cited by 3 | Viewed by 3500
Abstract
The Italian shellfish industry mainly comprises clams, mussels, and oysters. While clam production thrives and Italy leads Europe, mussel farming faces economic challenges. Oyster production is relatively new and holds potential. Sustainable development is crucial for meeting growing seafood demand while ensuring resource [...] Read more.
The Italian shellfish industry mainly comprises clams, mussels, and oysters. While clam production thrives and Italy leads Europe, mussel farming faces economic challenges. Oyster production is relatively new and holds potential. Sustainable development is crucial for meeting growing seafood demand while ensuring resource conservation and food safety. This paper, part of the VALUE-SHELL project funded by the Italian Ministry of Agriculture, Food Sovereignty and Forests (MASAF) as part of support activities for the National Strategic Plan of Aquaculture, combines desk research on industry structure and public interventions using a collaborative approach involving stakeholder interviews and focus groups with producers and local entities to assess the sector’s most compelling needs. The collaborative process highlighted key challenges across the following four sustainability pillars: environmental (global warming, predator control, and pollution mitigation are critical concerns for ecosystem balance); economic (increased production costs and limited diversification opportunities affect profitability); social (fear of generational decline due to limited training and education opportunities poses a threat to the industry’s future); and institutional (lack of a dedicated aquaculture law and fragmented governance hinder long-term planning). The project identifies policy bottlenecks hindering the sector’s potential, caused by not fully addressing producer needs. Sustainable development strategies are essential for addressing these challenges and ensuring the Italian shellfish industry’s future. Full article
13 pages, 2054 KB  
Article
Source Attribution of Antibiotic Resistance Genes in Estuarine Aquaculture: A Machine Learning Approach
by Helena Sofia Salgueiro, Ana Cristina Ferreira, Ana Sofia Ribeiro Duarte and Ana Botelho
Antibiotics 2024, 13(1), 107; https://doi.org/10.3390/antibiotics13010107 - 22 Jan 2024
Cited by 5 | Viewed by 3233
Abstract
Aquaculture located in urban river estuaries, where other anthropogenic activities may occur, has an impact on and may be affected by the environment where they are inserted, namely by the exchange of antimicrobial resistance genes. The latter may ultimately, through the food chain, [...] Read more.
Aquaculture located in urban river estuaries, where other anthropogenic activities may occur, has an impact on and may be affected by the environment where they are inserted, namely by the exchange of antimicrobial resistance genes. The latter may ultimately, through the food chain, represent a source of resistance genes to the human resistome. In an exploratory study of the presence of resistance genes in aquaculture sediments located in urban river estuaries, two machine learning models were applied to predict the source of 34 resistome observations in the aquaculture sediments of oysters and gilt-head sea bream, located in the estuaries of the Sado and Lima Rivers and in the Aveiro Lagoon, as well as in the sediments of the Tejo River estuary, where Japanese clams and mussels are collected. The first model included all 34 resistomes, amounting to 53 different antimicrobial resistance genes used as source predictors. The most important antimicrobial genes for source attribution were tetracycline resistance genes tet(51) and tet(L); aminoglycoside resistance gene aadA6; beta-lactam resistance gene blaBRO-2; and amphenicol resistance gene cmx_1. The second model included only oyster sediment resistomes, amounting to 30 antimicrobial resistance genes as predictors. The most important antimicrobial genes for source attribution were the aminoglycoside resistance gene aadA6, followed by the tetracycline genes tet(L) and tet(33). This exploratory study provides the first information about antimicrobial resistance genes in intensive and semi-intensive aquaculture in Portugal, helping to recognize the importance of environmental control to maintain the integrity and the sustainability of aquaculture farms. Full article
(This article belongs to the Special Issue Genomic Analysis of Antibiotics Resistance in Pathogens, 2nd Edition)
Show Figures

Figure 1

11 pages, 2032 KB  
Brief Report
Offshore Wind Farms in South Korea: A Potential Site for Scallop Culture
by Dae-Won Lee, Sung-Yong Oh, Jordan Jun Chul Park, Yun-Hwan Jung, Han-Jun Kim, Dong Mun Choi, Young-Ung Choi and Jeonghoon Han
J. Mar. Sci. Eng. 2023, 11(10), 1988; https://doi.org/10.3390/jmse11101988 - 14 Oct 2023
Cited by 5 | Viewed by 3203
Abstract
Owing to the constant wind generated by the vast ocean, energy production from offshore wind farms (OWFs) plays an important role in the expansion of renewable energy. However, areas close to large wind farms are often left unutilized, and aquaculture farmers find it [...] Read more.
Owing to the constant wind generated by the vast ocean, energy production from offshore wind farms (OWFs) plays an important role in the expansion of renewable energy. However, areas close to large wind farms are often left unutilized, and aquaculture farmers find it difficult to efficiently utilize these unoccupied spaces due to limited information showing the feasibility of utilization of OWFs as potential scallop culture sites. To analyze whether the two scallop species Zhikong scallop (Chlamys farreri) and bay scallop (Argopecten irradians) can be grown at OWFs of Gochang and Buan, Jeollabuk-do, Republic of Korea, the growth characteristics of the two scallop species were analyzed and compared with those grown at the Tongyeong Megacosm Test Station. The results clearly showed that the growth of scallops at the OWF was significantly lower with respect to the shell lengths, height, width, and weight, compared to those grown at the megacosm station. However, scallops grown at the OWF still showed consistent growth in parallel with those grown at the megacosm test station. Yet, there was a species-specific mortality rate between the two sites. In addition, our results suggest that temperature may be a key determinant of the growth of C. farreri and A. irradians. Overall, this study contributes to establishing a foundation for the stable and continuous farming of marine bivalves (e.g., clams, oysters, mussels, and scallops) in OWF areas. Full article
(This article belongs to the Special Issue New Challenges in Marine Aquaculture Research)
Show Figures

Figure 1

15 pages, 3552 KB  
Article
Effects of Three Microalgal Diets Varying in LC-PUFA Composition on Growth, Fad, and Elovl Expressions, and Fatty Acid Profiles in Juvenile Razor Clam Sinonovacula constricta
by Fei Kong, Zhaoshou Ran, Haixuan Xie, Xuxu Tian, Kai Liao and Jilin Xu
Fishes 2023, 8(10), 484; https://doi.org/10.3390/fishes8100484 - 27 Sep 2023
Cited by 7 | Viewed by 1985
Abstract
The razor clam Sinonovacula constricta is the first marine mollusk demonstrated to possess the complete long-chain polyunsaturated fatty acids (LC-PUFA) biosynthetic pathway. This study explored the impact of different microalgae on growth, Fad and Elovl expressions, and fatty acid (FA) profiles in juvenile [...] Read more.
The razor clam Sinonovacula constricta is the first marine mollusk demonstrated to possess the complete long-chain polyunsaturated fatty acids (LC-PUFA) biosynthetic pathway. This study explored the impact of different microalgae on growth, Fad and Elovl expressions, and fatty acid (FA) profiles in juvenile S. constricta. Results revealed that juveniles fed with Isochrysis galbana (rich in DHA) or Chaetoceros calcitrans (rich in EPA) consistently exhibited higher growth than those fed Chlorella sp. (rich in LA and ALA), underscoring the importance of dietary LC-PUFA in S. constricta’s development. Expression of most Fad and Elovl in C. calcitrans and I. galbana-fed juveniles were initially up-regulated, then down-regulated, suggesting LC-PUFA demand for faster growth. Although Chlorella sp.-fed juveniles exhibited decreased mRNA levels for most genes, levels were notably higher lately compared to those fed C. calcitrans or I. galbana, hinting at potential LC-PUFA biosynthesis induction. FA profiles in S. constricta generally mirrored those in ingested microalgae, implying direct FA accumulation from diets. Some microalgal FA were absent in farmed S. constricta, while others emerged, indicating S. constricta’s ability to selectively accumulate and synthesize FA. This study enhances the understanding of dietary FA metabolism in S. constricta, valuable for selecting appropriate microalgae in its farming practices. Full article
(This article belongs to the Section Nutrition and Feeding)
Show Figures

Graphical abstract

14 pages, 1140 KB  
Article
Life Cycle Assessment (LCA) of Two Different Oyster (Crassostrea gigas) Farming Strategies in the Sacca di Goro, Northern Adriatic Sea, Italy
by Daniela Summa, Edoardo Turolla, Mattia Lanzoni, Elena Tamisari, Giuseppe Castaldelli and Elena Tamburini
Resources 2023, 12(6), 62; https://doi.org/10.3390/resources12060062 - 23 May 2023
Cited by 14 | Viewed by 4567
Abstract
The Pacific oyster Crassostrea gigas is one of the world’s most cultivated and prized molluscs. Although it is usually considered a luxury product, it meets all the requirements to be included in a sustainable diet, and its production and consumption have great potential [...] Read more.
The Pacific oyster Crassostrea gigas is one of the world’s most cultivated and prized molluscs. Although it is usually considered a luxury product, it meets all the requirements to be included in a sustainable diet, and its production and consumption have great potential for growth in the coming years. Oyster farming is a worldwide activity, with China and France as the main producers, but recently, the possibility of implementing the Italian production, mainly focused on clams and mussels, has been considered an interesting issue, especially due to the growing local and global demand. The present study has been carried out by collecting data from the Sacca di Goro, north-east Italy, the most important national mollusc farming area. Life cycle assessment (LCA) methodology was applied to two different farming scenarios in order to improve the overall sustainability of the process. Using OpenLCA™ software (GreenDelta, Berlin, Germany) and the ReCiPe® midpoint (H) v.1.12 method, the environmental impacts of the traditional Italian farming technique, carried out entirely offshore in longlines, and the alternative option, in which the oyster seed pre-fattening phase was carried out in the lagoon, were calculated and compared. The results show that replacing the current pre-fattening phase with pre-fattening in a lagoon reduces CO2 emissions by approximately 12% and all other impact categories by approximately 9%. In addition, non-recyclable plastic materials and fuel consumption emerged as the main environmental hotspots. Full article
Show Figures

Figure 1

14 pages, 1792 KB  
Article
Population Genetics of Manila Clam (Ruditapes philippinarum) in China Inferred from Microsatellite Markers
by Sichen Zheng, Tianshi Zhang, Kang Tu, Li Li, Zhihong Liu, Biao Wu, Liqing Zhou and Xiujun Sun
Biology 2023, 12(4), 557; https://doi.org/10.3390/biology12040557 - 6 Apr 2023
Cited by 14 | Viewed by 3129
Abstract
The Manila clam (Ruditapes philippinarum) is one of the most commercially important bivalves along the coast of China. With the continuous expansion of clam farming scale, it may lead to some serious problems, including loss of genetic variation, inbreeding depression, and [...] Read more.
The Manila clam (Ruditapes philippinarum) is one of the most commercially important bivalves along the coast of China. With the continuous expansion of clam farming scale, it may lead to some serious problems, including loss of genetic variation, inbreeding depression, and reduced effective population size (Ne). In the present study, eleven microsatellite markers were used to investigate the genetic diversity and differentiation among 13 clam populations along the coast of China. As a result, 150 alleles were detected according to the genotyping results of eleven microsatellite loci. The observed heterozygosity (Ho) was estimated to be ranging from 0.437 to 0.678, while the expected heterozygosity (He) was calculated to be varying from 0.587 to 0.700. Fst values between populations ranged from 0.0046-0.1983. In particular, the Laizhou population had the highest genetic variability, which was significantly different from the others (all Fst values > 0.1). For all the clam populations, there was no significant linear regression between genetic and geographic distance, indicating that these populations do not follow a pattern of isolation by distance (IBD). Genetic structure was estimated according to NJ, principal coordinates (PCoA), and structure-based clustering. Estimates of effective population size range from dozens to thousands among different populations, based on linkage-disequilibrium and molecular coancestry methods. The results reveal the genetic diversity of clams and verify the hypothesis that clam population differentiation may be influenced by the mode of southern breeding and northern culture, providing guiding information for natural resource conservation and genetic breeding of clams. Full article
Show Figures

Figure 1

11 pages, 2117 KB  
Article
Effect of Different Culture Methods on Growth and Survival of the Snout Otter Clam, Lutraria philippinarum, in Bai Tu Long Bay, Vietnam
by Cao Truong Giang, Sarah Ugalde, Vu Van In, Tran Thi Thuy, Tran The Muu, Vu Thi Huyen, Dang Thi Lua, Tran Thi Nguyet Minh, Trinh Dinh Khuyen, Le Van Khoi and Vu Van Sang
Aquac. J. 2023, 3(1), 32-42; https://doi.org/10.3390/aquacj3010005 - 14 Feb 2023
Cited by 5 | Viewed by 3890
Abstract
This is the first study to examine the effect of three different cultivation methods (bottom-tray culture, suspended-tray culture, and beach/bottom culture) on the growth and survival rates of the snout otter clam, Lutraria philippinarum, after 12 months of grow-out cultivation from seed [...] Read more.
This is the first study to examine the effect of three different cultivation methods (bottom-tray culture, suspended-tray culture, and beach/bottom culture) on the growth and survival rates of the snout otter clam, Lutraria philippinarum, after 12 months of grow-out cultivation from seed to commercial size. Analyses included weight, survival, shell size, and total fat. Although the results showed limited differences in growth among cultivation methods, survival rates were significantly different among three different culture methods. The bottom-tray cultivation method had the highest survival rate (76.5%), compared with suspended-tray cultivation (31.6%) and beach/bottom cultivation (52.5%). This demonstrates that the most suitable method for commercial snout otter clam farming is cultivation trays placed on the bottom of the substrate. Improving commercial farming of the species will support the development and expansion of aquaculture in Vietnam and elsewhere, while reducing the harvest pressure on wild populations. Full article
(This article belongs to the Special Issue Feature Papers in Aquaculture 2022)
Show Figures

Figure 1

Back to TopTop