Sign in to use this feature.

Years

Between: -

Subjects

remove_circle_outline
remove_circle_outline
remove_circle_outline

Journals

Article Types

Countries / Regions

Search Results (6)

Search Parameters:
Keywords = circumgalactic medium

Order results
Result details
Results per page
Select all
Export citation of selected articles as:
14 pages, 448 KB  
Article
Constraining the Milky Way’s Dispersion Measure Using FRB and X-Ray Data
by Jiale Wang, Zheng Zhou, Xiaochuan Jiang and Taotao Fang
Universe 2025, 11(2), 41; https://doi.org/10.3390/universe11020041 - 27 Jan 2025
Cited by 1 | Viewed by 1060
Abstract
The dispersion measures (DMs) of the fast radio bursts (FRBs) are a valuable tool to probe the baryonic content of the intergalactic medium and the circumgalactic medium of the intervening galaxies along the sightlines. However, interpreting the DMs is complicated by the contribution [...] Read more.
The dispersion measures (DMs) of the fast radio bursts (FRBs) are a valuable tool to probe the baryonic content of the intergalactic medium and the circumgalactic medium of the intervening galaxies along the sightlines. However, interpreting the DMs is complicated by the contribution of the hot gas in and around our Milky Way. This study examines the relationship between DMMW, derived from localized FRBs, and the Galaxy’s hot gas, using X-ray absorption and emission data from O vii and O viii. We find evidence for a positive correlation between DMMW and O vii absorption, reflecting contributions from both the disk and halo components. This conclusion is supported by two lines of evidence: (1) no correlation between DMMW and O vii/O viii emission, which primarily traces dense disk regions; and (2) the comparison with electron density models, where DMMW aligns with models that incorporate both disk and halo components but significantly exceeds predictions from pure disk-only models, emphasizing the halo’s role. Furthermore, the lack of correlation with O viii absorption suggests that the primary temperature of the Galaxy’s hot gas is likely around 2×106 K or less, as traced by O vii absorption, while gas at higher temperatures (∼3–5 × 106 K) is present but less abundant. Our findings provide insights into the Milky Way’s gas distribution and improve DMMW estimates for future cosmological studies. Full article
Show Figures

Figure 1

19 pages, 6116 KB  
Article
The Intermittency of Turbulence in Magneto-Hydrodynamical Simulations and in the Cosmos
by Pierre Lesaffre, Edith Falgarone and Pierre Hily-Blant
Atmosphere 2024, 15(2), 211; https://doi.org/10.3390/atmos15020211 - 8 Feb 2024
Cited by 1 | Viewed by 1878
Abstract
Turbulent dissipation is a central issue in the star and galaxy formation process. Its fundamental property of space–time intermittency, well characterised in incompressible laboratory experiments, remains elusive in cosmic turbulence. Progress requires the combination of state-of-the-art modelling, numerical simulations and observations. The power [...] Read more.
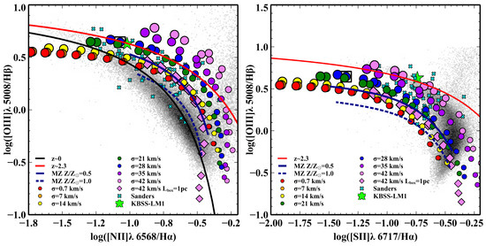
Turbulent dissipation is a central issue in the star and galaxy formation process. Its fundamental property of space–time intermittency, well characterised in incompressible laboratory experiments, remains elusive in cosmic turbulence. Progress requires the combination of state-of-the-art modelling, numerical simulations and observations. The power of such a combination is illustrated here, where the statistical method intended to locate the extrema of velocity shears in a turbulent field, which are the signposts of intense dissipation extrema, is applied to numerical simulations of compressible magneto-hydrodynamical (MHD) turbulence dedicated to dissipation scales and to observations of a turbulent molecular cloud. We demonstrate that increments of several observables computed at the smallest lags can detect coherent structures of intense dissipation. We apply this statistical method to the observations of a turbulent molecular cloud close to the Sun in our galaxy and disclose a remarkable structure of extremely large velocity shear. At the location of the largest velocity shear, this structure is found to foster 10× more carbon monoxide molecules than standard diffuse molecular gas, an enrichment supported by models of non-equilibrium warm chemistry triggered by turbulent dissipation. In our simulations, we also compute structure functions of various synthetic observables and show that they verify Extended Self-Similarity. This allows us to compute their intermittency exponents, and we show how they constrain some properties of the underlying three-dimensional turbulence. The power of the combination of modelling and observations is also illustrated by the observations of the CH+ cation that provide unique quantitative information on the kinetic energy trail in the massive, multi-phase and turbulent circum-galactic medium of a galaxy group at redshift z=2.8. Full article
Show Figures

Figure 1

70 pages, 2653 KB  
Review
Cosmic Ray Processes in Galactic Ecosystems
by Ellis R. Owen, Kinwah Wu, Yoshiyuki Inoue, H.-Y. Karen Yang and Alison M. W. Mitchell
Galaxies 2023, 11(4), 86; https://doi.org/10.3390/galaxies11040086 - 16 Jul 2023
Cited by 18 | Viewed by 6812
Abstract
Galaxy evolution is an important topic, and our physical understanding must be complete to establish a correct picture. This includes a thorough treatment of feedback. The effects of thermal–mechanical and radiative feedback have been widely considered; however, cosmic rays (CRs) are also powerful [...] Read more.
Galaxy evolution is an important topic, and our physical understanding must be complete to establish a correct picture. This includes a thorough treatment of feedback. The effects of thermal–mechanical and radiative feedback have been widely considered; however, cosmic rays (CRs) are also powerful energy carriers in galactic ecosystems. Resolving the capability of CRs to operate as a feedback agent is therefore essential to advance our understanding of the processes regulating galaxies. The effects of CRs are yet to be fully understood, and their complex multi-channel feedback mechanisms operating across the hierarchy of galaxy structures pose a significant technical challenge. This review examines the role of CRs in galaxies, from the scale of molecular clouds to the circumgalactic medium. An overview of their interaction processes, their implications for galaxy evolution, and their observable signatures is provided and their capability to modify the thermal and hydrodynamic configuration of galactic ecosystems is discussed. We present recent advancements in our understanding of CR processes and interpretation of their signatures, and highlight where technical challenges and unresolved questions persist. We discuss how these may be addressed with upcoming opportunities. Full article
Show Figures

Figure 1

15 pages, 6010 KB  
Review
Jet Feedback in Star-Forming Galaxies
by Martin G. H. Krause
Galaxies 2023, 11(1), 29; https://doi.org/10.3390/galaxies11010029 - 12 Feb 2023
Cited by 9 | Viewed by 3832
Abstract
In this paper, I review our understanding of how jet feedback works in star-forming galaxies. There are some interesting differences to radiative feedback from Active Galactic Nuclei (AGN). Jets act on galaxy haloes as well as on dense gas, for example in regularly [...] Read more.
In this paper, I review our understanding of how jet feedback works in star-forming galaxies. There are some interesting differences to radiative feedback from Active Galactic Nuclei (AGN). Jets act on galaxy haloes as well as on dense gas, for example in regularly rotating discs, where they can suppress star formation (particularly in the centre, negative feedback), but also enhance it (positive feedback). Jet feedback may produce turbulent, multi-phase gas structures where shocks contribute to the ionisation and is observed in connection with galactic outflows. The exact driving mechanism of these outflows is still unclear, but may be a combination of effects linked to star formation, jet-induced turbulence and radiative AGN feedback. Supermassive black holes in any galaxy can produce jets. Preferential radio detections in more massive galaxies can be explained with different conditions in the circumgalactic medium and, correspondingly, different jet–environment interactions. Full article
(This article belongs to the Special Issue The Symbiosis between Radio Source and Galaxy Evolution)
Show Figures

Figure 1

33 pages, 8719 KB  
Review
Probing the Universe with Fast Radio Bursts
by Shivani Bhandari and Chris Flynn
Universe 2021, 7(4), 85; https://doi.org/10.3390/universe7040085 - 1 Apr 2021
Cited by 23 | Viewed by 8185
Abstract
Fast Radio Bursts (FRBs) represent a novel tool for probing the properties of the universe at cosmological distances. The dispersion measures of FRBs, combined with the redshifts of their host galaxies, has very recently yielded a direct measurement of the baryon content of [...] Read more.
Fast Radio Bursts (FRBs) represent a novel tool for probing the properties of the universe at cosmological distances. The dispersion measures of FRBs, combined with the redshifts of their host galaxies, has very recently yielded a direct measurement of the baryon content of the universe, and has the potential to directly constrain the location of the “missing baryons”. The first results are consistent with the expectations of ΛCDM for the cosmic density of baryons, and have provided the first constraints on the properties of the very diffuse intergalactic medium (IGM) and circumgalactic medium (CGM) around galaxies. FRBs are the only known extragalactic sources that are compact enough to exhibit diffractive scintillation in addition to showing exponential tails which are typical of scattering in turbulent media. This will allow us to probe the turbulent properties of the circumburst medium, the host galaxy ISM/halo, and intervening halos along the path, as well as the IGM. Measurement of the Hubble constant and the dark energy parameter w can be made with FRBs, but require very large samples of localised FRBs (>103) to be effective on their own—they are best combined with other independent surveys to improve the constraints. Ionisation events, such as for He ii, leave a signature in the dispersion measure—redshift relation, and if FRBs exist prior to these times, they can be used to probe the reionisation era, although more than 103 localised FRBs are required. Full article
(This article belongs to the Special Issue Fast Radio Bursts)
Show Figures

Figure 1

27 pages, 2742 KB  
Conference Report
Challenges and Techniques for Simulating Line Emission
by Karen P. Olsen, Andrea Pallottini, Aida Wofford, Marios Chatzikos, Mitchell Revalski, Francisco Guzmán, Gergö Popping, Enrique Vázquez-Semadeni, Georgios E. Magdis, Mark L. A. Richardson, Michaela Hirschmann and William J. Gray
Galaxies 2018, 6(4), 100; https://doi.org/10.3390/galaxies6040100 - 20 Sep 2018
Cited by 21 | Viewed by 5659
Abstract
Modeling emission lines from the millimeter to the UV and producing synthetic spectra is crucial for a good understanding of observations, yet it is an art filled with hazards. This is the proceedings of “Walking the Line”, a 3-day conference held in 2018 [...] Read more.
Modeling emission lines from the millimeter to the UV and producing synthetic spectra is crucial for a good understanding of observations, yet it is an art filled with hazards. This is the proceedings of “Walking the Line”, a 3-day conference held in 2018 that brought together scientists working on different aspects of emission line simulations, in order to share knowledge and discuss the methodology. Emission lines across the spectrum from the millimeter to the UV were discussed, with most of the focus on the interstellar medium, but also some topics on the circumgalactic medium. The most important quality of a useful model is a good synergy with observations and experiments. Challenges in simulating line emission are identified, some of which are already being worked upon, and others that must be addressed in the future for models to agree with observations. Recent advances in several areas aiming at achieving that synergy are summarized here, from micro-physical to galactic and circum-galactic scale. Full article
Show Figures

Figure 1

Back to TopTop