Challenges and Techniques for Simulating Line Emission
Abstract
1. Introduction
- What are the best emission lines to trace various ISM properties and ionizing sources in galaxies?
- How can we use emission lines to trace feedback and ISM evolution with redshift?
- How should absorption features be correctly interpreted?
- Where do we stand in deriving sub-grid physics and comparing codes?
- How do we coordinate our efforts?
2. On the Micro-Physical Level
2.1. Tools for Solving Level Populations and Line Excitation
2.2. Correcting Heavy-Element Energy Levels
2.3. Radiative Transfer of UV to Infrared
3. Cloud-Scale Simulations
3.1. The Internal Density and Velocity Profile of Molecular Clouds
3.2. Simulating the Ionizing UV Field that Clouds Are Embedded in
3.3. Direct Observations of Low-Metallicity Massive Stars
3.4. Implementing Turbulence and Shocks in Simulations of the ISM
4. Galaxy-Scale Simulations
4.1. From Cloud to Galaxy Scale Simulations
4.2. Mapping Simulated Galaxy Samples to Observed Samples
- 1
- Observed SFRs come from tracers such as H, UV, IR and radio sensitive to a time averaged SFR of 10 to a few hundred Myr. Model SFRs are often the instantaneous SFRs. The question here is whether models should use time averaged SFRs or produce continuum and line emission to measure SFRs like observers do? One of the better solutions is to do both and identify any possible biases that are introduced by using observational methods.
- 2
- Model metallicities are often , whereas observed metallicities are determined using a number of ionized emission lines and presented as e.g., . As with SFR, the best option at the moment might be to directly calculate if the oxygen abundance is tracked by the simulation used, although even this approach has problems as the observed will ultimately be luminosity-weighted which is hard to replicate in a simulation.
- 3
- A realistic comparison between modeled and observed UV/optical emission lines (and continuum) requires the correct treatment of dust absorption within simulations. The amount of intervening dust in galaxy scale simulations between the photon source and the observer is ideally calculated self-consistently using dust chemical networks (e.g., [131,132,133,134]). However, often the amount of intervening dust is scaled as a function of the gas-phase metallicity by assuming a fixed grain size distribution. Finally, the geometry of the galaxy and the relative star-to-dust location is critical in correctly determining the observed properties (e.g., [135,136]), including sub-grid modeling of the dust properties of the birth-clouds of young stars.
- 4
- Atomic hydrogen emission at 21cm is out of reach of current instrumentation beyond at (SKA and SKA pathfinders such as APERTIF, MEERKAT, and ASKAP will be a remedy for this). This hampers the validation of the models that predict an evolution of atomic to molecular gas fraction with molecular gas dominating the gas budget within the optical scale of the galaxies at higher redshifts.
- 5
- Analyzing a large sample of strongly star-forming SDSS galaxies with nebular He ii 4686 emission has shown that the luminosity of this line can only be reproduced with single bursts of star formation of 20 percent solar metallicity or higher, and ages of 4–5 Myr, when the extreme UV continuum is dominated by Wolf-Rayet stars [137]. He ii 1640 in the UV is 10 times stronger than the optical He ii 4686 line, and has been observed in broad (FWHM 1000 km s) and narrow emission for tens of dwarf star-forming galaxies also selected from SDSS. Reproducing the luminosity of the narrow nebular He ii 1640 emission from these galaxies has been challenging, even with state-of-the-art spectral synthesis models which combine the newest Charlot & Bruzual population synthesis models, which include very massive (300 ) stars, with photoionization models, as described in [138]. This failure is reported for instance in [139]. In this workshop, Aida Wofford presented the case of one of the most metal poor nearby galaxies known, SBS 0335-052E, which has a metallicity of solar/20. None of the models which they tried were able to reproduce the luminosity of the He ii 1640 line. This is a problem because this line will be one of the only diagnostics of massive stars in future observations with large telescopes such as JWST (see a recent technical and scientific description in [140]), TMT [141], and e-ELT15. These telescopes will obtain rest-frame UV spectra for thousands of galaxies, at redshifts between 10 and 15, in the era of re-ionization when the first stars and galaxies formed.
- 6
- How do AGN affect the comparison between observed and simulated galaxies? Comparing galaxies of similar SFR can become problematic, as the ionizing radiation and presence of a radio jet will enhance H and radio emission that is typically used as a SFR diagnostic. In addition, the radiation will heat dust that is often used in mass estimations. See the following section for more on the effect of AGN and mass outflows. Although not directly discussed at this workshop, X-ray dominated regions (XDRs) are another important result of having an AGN present, and they must be modeled in order to reproduce certain emission lines. For example, this is extremely relevant for high-J CO lines, and it is in fact still not clear if high-J CO lines are influenced more by the presence of X-ray Photons or shocks [142]. Important theoretical work on modeling XDRs was published in 2005 [143] and Cloudy has also been used to model XDRs (e.g., [144]).
4.3. The Effects of AGN and Mass Outflows on Line Emission
4.4. Simulating Line Absorption from the CGM
5. Discussion: How Can We as a Community Move Forward?
5.1. Getting Involved With the Community of Developers
5.1.1. The Cloudy Community
5.1.2. LIME
6. Conclusions
Author Contributions
Funding
Acknowledgments
Conflicts of Interest
References
- Baldwin, J.A.; Phillips, M.M.; Terlevich, R. Classification parameters for the emission-line spectra of extragalactic objects. Publ. ASP 1981, 93, 5–19. [Google Scholar] [CrossRef]
- Kewley, L.J.; Dopita, M.A.; Sutherland, R.S.; Heisler, C.A.; Trevena, J. Theoretical Modeling of Starburst Galaxies. Astrophys. J. 2001, 556, 121–140. [Google Scholar] [CrossRef]
- Kauffmann, G.; Heckman, T.M.; Tremonti, C.; Brinchmann, J.; Charlot, S.; White, S.D.M.; Ridgway, S.E.; Brinkmann, J.; Fukugita, M.; Hall, P.B.; et al. The host galaxies of active galactic nuclei. Mon. Not. Roy. Astron. Soc. 2003, 346, 1055–1077. [Google Scholar] [CrossRef]
- Tielens, A.G.G.M.; Hollenbach, D. Photodissociation regions. I–Basic model. II–A model for the Orion photodissociation region. Astrophys. J. 1985, 291, 722–754. [Google Scholar] [CrossRef]
- van Dishoeck, E.F.; Black, J.H. Comprehensive models of diffuse interstellar clouds—Physical conditions and molecular abundances. Astrophys. J. Suppl. 1986, 62, 109–145. [Google Scholar] [CrossRef]
- van Dishoeck, E.F.; Black, J.H. The Photodissociation of Interstellar Co/; Molecular Clouds, Milky-Way and External Galaxies; Lecture Notes in Physics; Dickman, R.L., Snell, R.L., Young, J.S., Eds.; Springer: Berlin, Germany, 1988; Volume 315, p. 168. [Google Scholar]
- van Dishoeck, E.F.; Black, J.H. The photodissociation and chemistry of interstellar CO. Astrophys. J. 1988, 334, 771–802. [Google Scholar] [CrossRef]
- Sternberg, A.; Dalgarno, A. The infrared response of molecular hydrogen gas to ultraviolet radiation–High-density regions. Astrophys. J. 1989, 338, 197–233. [Google Scholar] [CrossRef]
- Hollenbach, D.J.; Takahashi, T.; Tielens, A.G.G.M. Low-density photodissociation regions. Astrophys. J. 1991, 377, 192–209. [Google Scholar] [CrossRef]
- Kaufman, M.J.; Wolfire, M.G.; Hollenbach, D.J.; Luhman, M.L. Far-Infrared and Submillimeter Emission from Galactic and Extragalactic Photodissociation Regions. Astrophys. J. 1999, 527, 795–813. [Google Scholar] [CrossRef]
- Pound, M.W.; Wolfire, M.G. The Photo Dissociation Region Toolbox. In Astronomical Data Analysis Software and Systems XVII; Astronomical Society of the Pacific Conference Series; Argyle, R.W., Bunclark, P.S., Lewis, J.R., Eds.; Astronomical Society: San Francisco, CA, USA, 2008; Volume 394, p. 654. [Google Scholar]
- Kaufman, M.J.; Wolfire, M.G.; Hollenbach, D.J. [Si II], [Fe II], [C II], and H2 Emission from Massive Star-forming Regions. Astrophys. J. 2006, 644, 283–299. [Google Scholar] [CrossRef]
- Ferland, G.J.; Chatzikos, M.; Guzmán, F.; Lykins, M.L.; van Hoof, P.A.M.; Williams, R.J.R.; Abel, N.P.; Badnell, N.R.; Keenan, F.P.; Porter, R.L.; et al. The 2017 Release Cloudy. Rev. Mexicana Astron. Astrofis. 2017, 53, 385–438. [Google Scholar]
- Röllig, M.; Abel, N.P.; Bell, T.; Bensch, F.; Black, J.; Ferland, G.J.; Jonkheid, B.; Kamp, I.; Kaufman, M.J.; Le Bourlot, J.; et al. A photon dominated region code comparison study. Astron. Astrophys. 2007, 467, 187–206. [Google Scholar] [CrossRef]
- Bolatto, A.D.; Jackson, J.M.; Ingalls, J.G. A Semianalytical Model for the Observational Properties of the Dominant Carbon Species at Different Metallicities. Astrophys. J. 1999, 513, 275–286. [Google Scholar] [CrossRef]
- Röllig, M.; Ossenkopf, V.; Jeyakumar, S.; Stutzki, J.; Sternberg, A. [CII] 158 μm emission and metallicity in photon dominated regions. Astron. Astrophys. 2006, 451, 917–924. [Google Scholar] [CrossRef]
- Narayanan, D.; Kulesa, C.A.; Boss, A.; Walker, C.K. Molecular Line Emission from Gravitationally Unstable Protoplanetary Disks. Astrophys. J. 2006, 647, 1426–1436. [Google Scholar] [CrossRef]
- Popping, G.; Pérez-Beaupuits, J.P.; Spaans, M.; Trager, S.C.; Somerville, R.S. The nature of the ISM in galaxies during the star-formation activity peak of the Universe. Mon. Not. Roy. Astron. Soc. 2014, 444, 1301–1317. [Google Scholar] [CrossRef]
- Vallini, L.; Gallerani, S.; Ferrara, A.; Pallottini, A.; Yue, B. On the [CII]-SFR Relation in High Redshift Galaxies. Astrophys. J. 2015, 813, 36. [Google Scholar] [CrossRef]
- Olsen, K.P.; Greve, T.R.; Narayanan, D.; Thompson, R.; Toft, S.; Brinch, C. Simulator of Galaxy Millimeter/Submillimeter Emission (SÍGAME): The [C ii]-SFR Relationship of Massive z = 2 Main Sequence Galaxies. Astrophys. J. 2015, 814, 76. [Google Scholar] [CrossRef]
- Popping, G.; van Kampen, E.; Decarli, R.; Spaans, M.; Somerville, R.S.; Trager, S.C. Sub-mm emission line deep fields: CO and [C II] luminosity functions out to z = 6. Mon. Not. Roy. Astron. Soc. 2016, 461, 93–110. [Google Scholar] [CrossRef]
- Popping, G.; Narayanan, D.; Somerville, R.S.; Faisst, A.L.; Krumholz, M.R. The art of modeling CO, [CI], and [CII] in cosmological galaxy formation models. arXiv, 2018; arXiv:1805.11093. [Google Scholar]
- Vallini, L.; Pallottini, A.; Ferrara, A.; Gallerani, S.; Sobacchi, E.; Behrens, C. CO line emission from galaxies in the Epoch of Reionization. Mon. Not. Roy. Astron. Soc. 2018, 473, 271–285. [Google Scholar] [CrossRef]
- Rosdahl, J.; Katz, H.; Blaizot, J.; Kimm, T.; Michel-Dansac, L.; Garel, T.; Haehnelt, M.; Ocvirk, P.; Teyssier, R. The SPHINX Cosmological Simulations of the First Billion Years: The Impact of Binary Stars on Reionization. arXiv, 2018; arXiv:1801.07259. [Google Scholar] [CrossRef]
- Keto, E.; Rybicki, G.B.; Bergin, E.A.; Plume, R. Radiative Transfer and Starless Cores. Astrophys. J. 2004, 613, 355–373. [Google Scholar] [CrossRef]
- Brinch, C.; Hogerheijde, M.R. LIME—A flexible, non-LTE line excitation and radiation transfer method for millimeter and far-infrared wavelengths. Astron. Astrophys. 2010, 523, A25. [Google Scholar] [CrossRef]
- Keto, E.; Rybicki, G. Modeling Molecular Hyperfine Line Emission. Astrophys. J. 2010, 716, 1315–1322. [Google Scholar] [CrossRef]
- Dullemond, C.P.; Juhasz, A.; Pohl, A.; Sereshti, F.; Shetty, R.; Peters, T.; Commercon, B.; Flock, M. RADMC-3D: A Multi-Purpose Radiative Transfer Tool; Astrophysics Source Code Library: Houghton, MI, USA, 2012. [Google Scholar]
- Yajima, H.; Li, Y.; Zhu, Q.; Abel, T. ART2: coupling Lyα line and multi-wavelength continuum radiative transfer. Mon. Not. Roy. Astron. Soc. 2012, 424, 884–901. [Google Scholar] [CrossRef]
- Ferland, G.J.; Porter, R.L.; van Hoof, P.A.M.; Williams, R.J.R.; Abel, N.P.; Lykins, M.L.; Shaw, G.; Henney, W.J.; Stancil, P.C. The 2013 Release of Cloudy. arXiv, 2013; arXiv:1705.10877. [Google Scholar]
- Krumholz, M.R. DESPOTIC—A new software library to Derive the Energetics and SPectra of Optically Thick Interstellar Clouds. Mon. Not. Roy. Astron. Soc. 2014, 437, 1662–1680. [Google Scholar] [CrossRef]
- Gray, W.J.; Scannapieco, E.; Kasen, D. Atomic Chemistry in Turbulent Astrophysical Media. I. Effect of Atomic Cooling. Astrophys. J. 2015, 801, 107. [Google Scholar] [CrossRef]
- Kewley, L.J.; Dopita, M.A.; Leitherer, C.; Davé, R.; Yuan, T.; Allen, M.; Groves, B.; Sutherland, R. Theoretical Evolution of Optical Strong Lines across Cosmic Time. Astrophys. J. 2013, 774, 100. [Google Scholar] [CrossRef]
- Orsi, Á.; Padilla, N.; Groves, B.; Cora, S.; Tecce, T.; Gargiulo, I.; Ruiz, A. The nebular emission of star-forming galaxies in a hierarchical universe. Mon. Not. Roy. Astron. Soc. 2014, 443, 799–814. [Google Scholar] [CrossRef]
- Shimizu, I.; Inoue, A.K.; Okamoto, T.; Yoshida, N. Nebular line emission from z = 7 galaxies in a cosmological simulation: Rest-frame UV to optical lines. Mon. Not. Roy. Astron. Soc. 2016, 461, 3563–3575. [Google Scholar] [CrossRef]
- Hirschmann, M.; Charlot, S.; Feltre, A.; Naab, T.; Choi, E.; Ostriker, J.P.; Somerville, R.S. Synthetic nebular emission from massive galaxies–I: Origin of the cosmic evolution of optical emission-line ratios. Mon. Not. Roy. Astron. Soc. 2017, 472, 2468–2495. [Google Scholar] [CrossRef]
- Aravena, M.; Carilli, C.; Daddi, E.; Wagg, J.; Walter, F.; Riechers, D.; Dannerbauer, H.; Morrison, G.E.; Stern, D.; Krips, M. Cold Molecular Gas in Massive, Star-forming Disk Galaxies at z = 1.5. Astrophys. J. 2010, 718, 177–183. [Google Scholar] [CrossRef]
- Daddi, E.; Bournaud, F.; Walter, F.; Dannerbauer, H.; Carilli, C.L.; Dickinson, M.; Elbaz, D.; Morrison, G.E.; Riechers, D.; Onodera, M.; et al. Very High Gas Fractions and Extended Gas Reservoirs in z = 1.5 Disk Galaxies. Astrophys. J. 2010, 713, 686–707. [Google Scholar] [CrossRef]
- Tacconi, L.J.; Genzel, R.; Neri, R.; Cox, P.; Cooper, M.C.; Shapiro, K.; Bolatto, A.; Bouché, N.; Bournaud, F.; Burkert, A.; et al. High molecular gas fractions in normal massive star-forming galaxies in the young Universe. Nature 2010, 463, 781–784. [Google Scholar] [CrossRef] [PubMed]
- Tacconi, L.J.; Neri, R.; Genzel, R.; Combes, F.; Bolatto, A.; Cooper, M.C.; Wuyts, S.; Bournaud, F.; Burkert, A.; Comerford, J.; et al. Phibss: Molecular Gas Content and Scaling Relations in z ~ 1–3 Massive, Main-sequence Star-forming Galaxies. Astrophys. J. 2013, 768, 74. [Google Scholar] [CrossRef]
- Tacconi, L.J.; Genzel, R.; Saintonge, A.; Combes, F.; García-Burillo, S.; Neri, R.; Bolatto, A.; Contini, T.; Förster Schreiber, N.M.; Lilly, S.; et al. PHIBSS: Unified Scaling Relations of Gas Depletion Time and Molecular Gas Fractions. Astrophys. J. 2018, 853, 179. [Google Scholar] [CrossRef]
- Geach, J.E.; Smail, I.; Moran, S.M.; MacArthur, L.A.; Lagos, C.d.P.; Edge, A.C. On the Evolution of the Molecular Gas Fraction of Star-Forming Galaxies. Astrophys. J. Lett. 2011, 730, L19. [Google Scholar] [CrossRef]
- Magdis, G.E.; Daddi, E.; Sargent, M.; Elbaz, D.; Gobat, R.; Dannerbauer, H.; Feruglio, C.; Tan, Q.; Rigopoulou, D.; Charmandaris, V.; et al. The Molecular Gas Content of z = 3 Lyman Break Galaxies: Evidence of a Non-evolving Gas Fraction in Main-sequence Galaxies at z > 2. Astrophys. J. Lett. 2012, 758, L9. [Google Scholar] [CrossRef]
- Santini, P.; Maiolino, R.; Magnelli, B.; Lutz, D.; Lamastra, A.; Li Causi, G.; Eales, S.; Andreani, P.; Berta, S.; Buat, V.; et al. The evolution of the dust and gas content in galaxies. Astron. Astrophys. 2014, 562, A30. [Google Scholar] [CrossRef]
- Béthermin, M.; De Breuck, C.; Gullberg, B.; Aravena, M.; Bothwell, M.S.; Chapman, S.C.; Gonzalez, A.H.; Greve, T.R.; Litke, K.; Ma, J.; et al. An ALMA view of the interstellar medium of the z = 4.77 lensed starburst SPT-S J213242-5802.9. Astron. Astrophys. 2016, 586, L7. [Google Scholar] [CrossRef]
- Decarli, R.; Walter, F.; Aravena, M.; Carilli, C.; Bouwens, R.; da Cunha, E.; Daddi, E.; Elbaz, D.; Riechers, D.; Smail, I.; et al. ALMA Spectroscopic Survey in the Hubble Ultra Deep Field: Molecular gas reservoirs in high-redshift galaxies. arXiv, 2016; arXiv:1607.06771. [Google Scholar]
- Scoville, N.; Sheth, K.; Aussel, H.; Vanden Bout, P.; Capak, P.; Bongiorno, A.; Casey, C.M.; Murchikova, L.; Koda, J.; Álvarez-Márquez, J.; et al. ISM Masses and the Star formation Law at Z = 1 to 6: ALMA Observations of Dust Continuum in 145 Galaxies in the COSMOS Survey Field. Astrophys. J. 2016, 820, 83. [Google Scholar] [CrossRef]
- da Cunha, E.; Groves, B.; Walter, F.; Decarli, R.; Weiss, A.; Bertoldi, F.; Carilli, C.; Daddi, E.; Elbaz, D.; Ivison, R.; Maiolino, R.; Riechers, D.; Rix, H.W.; Sargent, M.; Smail, I. On the Effect of the Cosmic Microwave Background in High-redshift (Sub-)millimeter Observations. Astrophys. J. 2013, 766, 13. [Google Scholar] [CrossRef]
- Bisbas, T.G.; Papadopoulos, P.P.; Viti, S. Effective Destruction of CO by Cosmic Rays: Implications for Tracing H2 Gas in the Universe. Astrophys. J. 2015, 803, 37. [Google Scholar] [CrossRef]
- Glover, S.C.O.; Clark, P.C. Is atomic carbon a good tracer of molecular gas in metal-poor galaxies? Mon. Not. Roy. Astron. Soc. 2016, 456, 3596–3609. [Google Scholar] [CrossRef]
- Bothwell, M.S.; Aguirre, J.E.; Aravena, M.; Bethermin, M.; Bisbas, T.G.; Chapman, S.C.; De Breuck, C.; Gonzalez, A.H.; Greve, T.R.; Hezaveh, Y.; et al. ALMA observations of atomic carbon in z ~ 4 dusty star-forming galaxies. arXiv, 2016; arXiv:1612.04380. [Google Scholar]
- Popping, G.; Decarli, R.; Man, A.W.S.; Nelson, E.J.; Béthermin, M.; De Breuck, C.; Mainieri, V.; van Dokkum, P.G.; Gullberg, B.; van Kampen, E.; et al. ALMA reveals starburst-like interstellar medium conditions in a compact star-forming galaxy at z ~ 2 using [CI] and CO. Astron. Astrophys. 2017, 602, A11. [Google Scholar] [CrossRef]
- Zanella, A.; Daddi, E.; Magdis, G.; Diaz Santos, T.; Cormier, D.; Liu, D.; Cibinel, A.; Gobat, R.; Dickinson, M.; Sargent, M.; et al. The [C II] emission as a molecular 738 gas mass tracer in galaxies at low and high redshift. arXiv, 2018; arXiv:1808.10331. [Google Scholar]
- Liu, L.; Weiß, A.; Perez-Beaupuits, J.P.; Güsten, R.; Liu, D.; Gao, Y.; Menten, K.M.; van derWerf, P.; Israel, F.P.; Harris, A.; et al. HIFI Spectroscopy of H2O Submillimeter 741 Lines in Nuclei of Actively Star-forming Galaxies. Astrophys. J. 2017, 846, 5. [Google Scholar] [CrossRef]
- Cormier, D.; Bigiel, F.; Jiménez-Donaire, M.J.; Leroy, A.K.; Gallagher, M.; Usero, A.; Sandstrom, K.; Bolatto, A.; Hughes, A.; Kramer, C.; et al. Full-disc 13CO(1-0) mapping across nearby galaxies of the EMPIRE survey and the CO-to-H2 conversion factor. Mon. Not. Roy. Astron. Soc. 2018, 475, 3909–3933. [Google Scholar] [CrossRef]
- Sansonetti, C.J.; Kerber, F.; Reader, J.; Rosa, M.R. Characterization of the Far-ultraviolet Spectrum of Pt/Cr-Ne Hollow Cathode Lamps as Used on the Space Telescope Imaging Spectrograph on Board the Hubble Space Telescope. Astrophys. J. Suppl. 2004, 153, 555–579. [Google Scholar] [CrossRef]
- Leitherer, C.; Tremonti, C.A.; Heckman, T.M.; Calzetti, D. An Ultraviolet Spectroscopic Atlas of Local Starbursts and Star-forming Galaxies: The Legacy of FOS and GHRS. Astron. J. 2011, 141, 37. [Google Scholar] [CrossRef]
- Mittal, R.; O’Dea, C.P.; Ferland, G.; Oonk, J.B.R.; Edge, A.C.; Canning, R.E.A.; Russell, H.; Baum, S.A.; Böhringer, H.; Combes, F.; et al. Herschel observations of the Centaurus cluster–the dynamics of cold gas in a cool core. Mon. Not. Roy. Astron. Soc. 2011, 418, 2386–2402. [Google Scholar] [CrossRef]
- Pallottini, A.; Ferrara, A.; Gallerani, S.; Vallini, L.; Maiolino, R.; Salvadori, S. Zooming on the internal structure of z ≃ 6 galaxies. Mon. Not. Roy. Astron. Soc. 2017, 465, 2540–2558. [Google Scholar] [CrossRef]
- Xiao, L.; Stanway, E.R.; Eldridge, J.J. Emission-line diagnostics of nearby H II regions including interacting binary populations. Mon. Not. Roy. Astron. Soc. 2018, 477, 904–934. [Google Scholar] [CrossRef]
- Safranek-Shrader, C.; Krumholz, M.R.; Kim, C.G.; Ostriker, E.C.; Klein, R.I.; Li, S.; McKee, C.F.; Stone, J.M. Chemistry and radiative shielding in star-forming galactic discs. Mon. Not. Roy. Astron. Soc. 2017, 465, 885–905. [Google Scholar] [CrossRef]
- Ginsburg, A.; Henkel, C.; Ao, Y.; Riquelme, D.; Kauffmann, J.; Pillai, T.; Mills, E.A.C.; Requena-Torres, M.A.; Immer, K.; Testi, L.; et al. Dense gas in the Galactic central molecular zone is warm and heated by turbulence. Astron. Astrophys. 2016, 586, A50. [Google Scholar] [CrossRef]
- Peñaloza, C.H.; Clark, P.C.; Glover, S.C.O.; Shetty, R.; Klessen, R.S. Using CO line ratios to trace the physical properties of molecular clouds. Mon. Not. Roy. Astron. Soc. 2017, 465, 2277–2285. [Google Scholar] [CrossRef]
- Peñaloza, C.H.; Clark, P.C.; Glover, S.C.O.; Klessen, R.S. CO line ratios in molecular clouds: The impact of environment. Mon. Not. Roy. Astron. Soc. 2018, 475, 1508–1520. [Google Scholar] [CrossRef]
- Li, Y.; Hopkins, P.F.; Hernquist, L.; Finkbeiner, D.P.; Cox, T.J.; Springel, V.; Jiang, L.; Fan, X.; Yoshida, N. Modeling the Dust Properties of z ∼ 6 Quasars with ART2 - All-Wavelength Radiative Transfer with Adaptive Refinement Tree. Astrophys. J. 2008, 678, 41–63. [Google Scholar] [CrossRef]
- Yajima, H.; Li, Y.; Zhu, Q.; Abel, T.; Gronwall, C.; Ciardullo, R. Escape of Lyα and continuum photons from star-forming galaxies. Mon. Not. Roy. Astron. Soc. 2014, 440, 776–786. [Google Scholar] [CrossRef]
- Gray, W.J.; Scannapieco, E. Atomic Chemistry in Turbulent Astrophysical Media. II. Effect of the Redshift Zero Metagalactic Background. Astrophys. J. 2016, 818, 198. [Google Scholar] [CrossRef]
- Gray, W.J.; Scannapieco, E. The Effect of Turbulence on Nebular Emission Line Ratios. Astrophys. J. 2017, 849, 132. [Google Scholar] [CrossRef]
- Dere, K.P.; Landi, E.; Mason, H.E.; Monsignori Fossi, B.C.; Young, P.R. CHIANTI–an atomic database for emission lines. Astron. Astrophys. Suppl. 1997, 125, 149–173. [Google Scholar] [CrossRef]
- Del Zanna, G.; Dere, K.P.; Young, P.R.; Landi, E.; Mason, H.E. CHIANTI–An atomic database for emission lines. Version 8. Astron. Astrophys. 2015, 582, A56. [Google Scholar] [CrossRef]
- Brickhouse, N.S.; Dupree, A.K.; Edgar, R.J.; Liedahl, D.A.; Drake, S.A.; White, N.E.; Singh, K.P. Coronal Structure and Abundances of Capella from Simultaneous EUVE and ASCA Spectroscopy. Astrophys. J. 2000, 530, 387–402. [Google Scholar] [CrossRef]
- Kaastra, J.S.; Bleeker, J.A.M.; Mewe, R. X-ray diagnostics of supernova remnants. In UV and X-ray Spectroscopy of Astrophysical and Laboratory Plasmas; Yamashita, K., Watanabe, T., Eds.; Universal Academy Press: Tokyo, Japan, 1996; pp. 15–20. [Google Scholar]
- Bar-Shalom, A.; Oreg, J.; Klapisch, M. Recent developments in the SCROLL model. J. Quant. Spec. Radiat. Transf. 2000, 65, 43–55. [Google Scholar] [CrossRef]
- Del Zanna, G.; Berrington, K.A.; Mason, H.E. Benchmarking atomic data for astrophysics: Fe X. Astron. Astrophys. 2004, 422, 731–749. [Google Scholar] [CrossRef]
- Keenan, F.P.; Drake, J.J.; Aggarwal, K.M. An investigation of FeXVI emission lines in solar and stellar extreme-ultraviolet and soft X-ray spectra. Mon. Not. Roy. Astron. Soc. 2007, 381, 1727–1732. [Google Scholar] [CrossRef]
- Kato, D.; Sakaue, H.A.; Murakami, I.; Kato, T.; Nakamura, N.; Ohtani, S.; Yamamoto, N.; Watanabe, T. Electron-impact excitation of 2p53l → 2p53l’ line emission of Fe XVII. J. Phys. Conf. Ser. 2009, 163. [Google Scholar] [CrossRef]
- Beiersdorfer, P.; Träbert, E.; Lepson, J.K.; Brickhouse, N.S.; Golub, L. High-resolution Laboratory Measurements of Coronal Lines in the 198-218 Å Region. Astrophys. J. 2014, 788, 25. [Google Scholar]
- Liang, G.Y.; Whiteford, A.D.; Badnell, N.R. R-matrix inner-shell electron-impact excitation of the Na-like iso-electronic sequence. J. Phys. B At. Mol. Phys. 2009, 42, 225002. [Google Scholar] [CrossRef]
- Liang, G.Y.; Badnell, N.R. R-matrix electron-impact excitation data for the Ne-like iso-electronic sequence. Astron. Astrophys. 2010, 518, A64. [Google Scholar] [CrossRef]
- Wang, K.; Li, D.F.; Liu, H.T.; Han, X.Y.; Duan, B.; Li, C.Y.; Li, J.G.; Guo, X.L.; Chen, C.Y.; Yan, J. Systematic Calculations of Energy Levels and Transition Rates of C-like Ions with Z = 13–36. Astrophys. J. Suppl. 2014, 215, 26. [Google Scholar] [CrossRef]
- Del Zanna, G.; Badnell, N.R. Atomic data for astrophysics: Ni XII. Astron. Astrophys. 2016, 585, A118. [Google Scholar] [CrossRef]
- Liedahl, D.A.; Osterheld, A.L.; Goldstein, W.H. New calculations of Fe L-shell X-ray spectra in high-temperature plasmas. Astrophys. J. Lett. 1995, 438, L115–L118. [Google Scholar] [CrossRef]
- Gu, M.F. The flexible atomic code. Can. J. Phys. 2008, 86, 675–689. [Google Scholar] [CrossRef]
- Dyall, K.G.; Grant, I.P.; Johnson, C.T.; Parpia, F.A.; Plummer, E.P. GRASP: A general-purpose relativistic atomic structure program. Comput. Phys. Commun. 1989, 55, 425–456. [Google Scholar] [CrossRef]
- Badnell, N.R. Dielectric recombination of Fe(22+) and Fe(21+). J. Phys. B At. Mol. Phys. 1986, 19, 3827–3835. [Google Scholar] [CrossRef]
- Aggarwal, K.M.; Keenan, F.P. Energy levels, radiative rates and electron impact excitation rates for transitions in Fe XIV. Mon. Not. Roy. Astron. Soc. 2014, 445, 2015–2027. [Google Scholar] [CrossRef]
- Del Zanna, G.; Badnell, N.R. Atomic data and density diagnostics for S IV. Mon. Not. Roy. Astron. Soc. 2016, 456, 3720–3728. [Google Scholar] [CrossRef]
- Landi, E.; Del Zanna, G.; Young, P.R.; Dere, K.P.; Mason, H.E. CHIANTI–An Atomic Database for Emission Lines. XII. Version 7 of the Database. Astrophys. J. 2012, 744, 99. [Google Scholar] [CrossRef]
- Del Zanna, G.; Ishikawa, Y. Benchmarking atomic data for astrophysics: Fe XVII EUV lines. Astron. Astrophys. 2009, 508, 1517–1526. [Google Scholar] [CrossRef]
- Brown, G.V.; Beiersdorfer, P.; Liedahl, D.A.; Widmann, K.; Kahn, S.M. Laboratory Measurements and Modeling of the Fe XVII X-Ray Spectrum. Astrophys. J. 1998, 502, 1015–1026. [Google Scholar] [CrossRef]
- Kramida, A.; Ralchenko, Y.; Reader, J.; NIST ASD Team. NIST Atomic Spectra Database (ver. 5.2). National Institute of Standards and Technology: Gaithersburg, MD, USA, 2014. Available online: http://physics.nist.gov/asd (accessed on 28 November 2014).
- Steinacker, J.; Baes, M.; Gordon, K.D. Three-Dimensional Dust Radiative Transfer*. Annu. Rev. Astron. Astrophys. 2013, 51, 63–104. [Google Scholar] [CrossRef]
- Gnedin, N.Y.; Kaurov, A.A. Cosmic Reionization on Computers. II. Reionization History and Its Back-reaction on Early Galaxies. Astrophys. J. 2014, 793, 30. [Google Scholar] [CrossRef]
- So, G.C.; Norman, M.L.; Reynolds, D.R.; Wise, J.H. Fully Coupled Simulation of Cosmic Reionization. II. Recombinations, Clumping Factors, and the Photon Budget for Reionization. Astrophys. J. 2014, 789, 149. [Google Scholar] [CrossRef]
- Wise, J.H.; Demchenko, V.G.; Halicek, M.T.; Norman, M.L.; Turk, M.J.; Abel, T.; Smith, B.D. The birth of a galaxy–III. Propelling reionization with the faintest galaxies. Mon. Not. Roy. Astron. Soc. 2014, 442, 2560–2579. [Google Scholar] [CrossRef]
- Norman, M.L.; Reynolds, D.R.; So, G.C.; Harkness, R.P.; Wise, J.H. Fully Coupled Simulation of Cosmic Reionization. I. Numerical Methods and Tests. Astrophys. J. Suppl. 2015, 216, 16. [Google Scholar] [CrossRef]
- Pawlik, A.H.; Schaye, J.; Dalla Vecchia, C. Spatially adaptive radiation-hydrodynamical simulations of galaxy formation during cosmological reionization. Mon. Not. Roy. Astron. Soc. 2015, 451, 1586–1605. [Google Scholar] [CrossRef]
- Ocvirk, P.; Gillet, N.; Shapiro, P.R.; Aubert, D.; Iliev, I.T.; Teyssier, R.; Yepes, G.; Choi, J.H.; Sullivan, D.; Knebe, A.; et al. Cosmic Dawn (CoDa): The First Radiation-Hydrodynamics Simulation of Reionization and Galaxy Formation in the Local Universe. Mon. Not. Roy. Astron. Soc. 2016, 463, 1462–1485. [Google Scholar] [CrossRef]
- Rosdahl, J.; Blaizot, J.; Aubert, D.; Stranex, T.; Teyssier, R. RAMSES-RT: Radiation hydrodynamics in the cosmological context. Mon. Not. Roy. Astron. Soc. 2013, 436, 2188–2231. [Google Scholar] [CrossRef]
- Rosdahl, J.; Teyssier, R. A scheme for radiation pressure and photon diffusion with the M1 closure in RAMSES-RT. Mon. Not. Roy. Astron. Soc. 2015, 449, 4380–4403. [Google Scholar] [CrossRef]
- Aubert, D.; Deparis, N.; Ocvirk, P. EMMA: An adaptive mesh refinement cosmological simulation code with radiative transfer. Mon. Not. Roy. Astron. Soc. 2015, 454, 1012–1037. [Google Scholar] [CrossRef]
- Krumholz, M.R.; Klein, R.I.; McKee, C.F.; Bolstad, J. Equations and Algorithms for Mixed-frame Flux-limited Diffusion Radiation Hydrodynamics. Astrophys. J. 2007, 667, 626–643. [Google Scholar] [CrossRef]
- Davis, S.W.; Stone, J.M.; Jiang, Y.F. A Radiation Transfer Solver for Athena Using Short Characteristics. Astrophys. J. Suppl. 2012, 199, 9. [Google Scholar] [CrossRef]
- Elitzur, M.; Asensio Ramos, A. A new exact method for line radiative transfer. Mon. Not. Roy. Astron. Soc. 2006, 365, 779–791. [Google Scholar] [CrossRef]
- Hubeny, I. From Escape Probabilities to Exact Radiative Transfer. In Spectroscopic Challenges of Photoionized Plasmas; Astronomical Society of the Pacific Conference Series; Ferland, G., Savin, D.W., Eds.; Astronomical Society: San Francisco, CA, USA, 2001; Volume 247, p. 197. [Google Scholar]
- Evans, N.J., II. Physical Conditions in Regions of Star Formation. Annu. Rev. Astron. Astrophys. 1999, 37, 311–362. [Google Scholar] [CrossRef]
- Shu, F.H. Self-similar collapse of isothermal spheres and star formation. Astrophys. J. 1977, 214, 488–497. [Google Scholar] [CrossRef]
- Keto, E.; Caselli, P.; Rawlings, J. The dynamics of collapsing cores and star formation. Mon. Not. Roy. Astron. Soc. 2015, 446, 3731–3740. [Google Scholar] [CrossRef]
- Eldridge, J.J.; Stanway, E.R.; Xiao, L.; McClelland, L.A.S.; Taylor, G.; Ng, M.; Greis, S.M.L.; Bray, J.C. Binary Population and Spectral Synthesis Version 2.1: Construction, Observational Verification, and New Results. Publ. Astron. Soc. Aust. 2017, 34, e058. [Google Scholar] [CrossRef]
- Wofford, A.; Charlot, S.; Bruzual, G.; Eldridge, J.J.; Calzetti, D.; Adamo, A.; Cignoni, M.; de Mink, S.E.; Gouliermis, D.A.; Grasha, K.; et al. A comprehensive comparative test of seven widely used spectral synthesis models against multi-band photometry of young massive-star clusters. Mon. Not. Roy. Astron. Soc. 2016, 457, 4296–4322. [Google Scholar] [CrossRef]
- Izotov, Y.I.; Schaerer, D.; Thuan, T.X.; Worseck, G.; Guseva, N.G.; Orlitová, I.; Verhamme, A. Detection of high Lyman continuum leakage from four low-redshift compact star-forming galaxies. Mon. Not. Roy. Astron. Soc. 2016, 461, 3683–3701. [Google Scholar] [CrossRef]
- Kroupa, P. On the variation of the initial mass function. Mon. Not. Roy. Astron. Soc. 2001, 322, 231–246. [Google Scholar] [CrossRef]
- Meynet, G.; Maeder, A.; Schaller, G.; Schaerer, D.; Charbonnel, C. Grids of massive stars with high mass loss rates. V. From 12 to 120 Msun_ at Z = 0.001, 0.004, 0.008, 0.020 and 0.040. Astron. Astrophys. Suppl. 1994, 103, 97–105. [Google Scholar]
- Habing, H.J. The interstellar radiation density between 912 A and 2400 A. Bull. Astron. Inst. Neth. 1968, 19, 421. [Google Scholar]
- Veilleux, S.; Osterbrock, D.E. Spectral classification of emission-line galaxies. Astrophys. J. Suppl. 1987, 63, 295–310. [Google Scholar] [CrossRef]
- Revalski, M.; Crenshaw, D.M.; Kraemer, S.B.; Fischer, T.C.; Schmitt, H.R.; Machuca, C. Quantifying Feedback from Narrow Line Region Outflows in Nearby Active Galaxies. I. Spatially Resolved Mass Outflow Rates for the Seyfert 2 Galaxy Markarian 573. Astrophys. J. 2018, 856, 46. [Google Scholar] [CrossRef]
- Sutherland, R.S.; Dopita, M.A. Effects of Preionization in Radiative Shocks. I. Self-consistent Models. Astrophys. J. Suppl. 2017, 229, 34. [Google Scholar] [CrossRef]
- Ballesteros-Paredes, J.; Vázquez-Semadeni, E.; Scalo, J. Clouds as Turbulent Density Fluctuations: Implications for Pressure Confinement and Spectral Line Data Interpretation. Astrophys. J. 1999, 515, 286–303. [Google Scholar] [CrossRef]
- Hennebelle, P.; Pérault, M. Dynamical condensation in a thermally bistable flow. Application to interstellar cirrus. Astron. Astrophys. 1999, 351, 309–322. [Google Scholar]
- Koyama, H.; Inutsuka, S.I. An Origin of Supersonic Motions in Interstellar Clouds. Astrophys. J. Lett. 2002, 564, L97–L100. [Google Scholar] [CrossRef]
- Audit, E.; Hennebelle, P. Thermal condensation in a turbulent atomic hydrogen flow. Astron. Astrophys. 2005, 433, 1–13. [Google Scholar] [CrossRef]
- Heitsch, F.; Burkert, A.; Hartmann, L.W.; Slyz, A.D.; Devriendt, J.E.G. Formation of Structure in Molecular Clouds: A Case Study. Astrophys. J. Lett. 2005, 633, L113–L116. [Google Scholar] [CrossRef]
- Vázquez-Semadeni, E.; Gómez, G.C.; Jappsen, A.K.; Ballesteros-Paredes, J.; González, R.F.; Klessen, R.S. Molecular Cloud Evolution. II. From Cloud Formation to the Early Stages of Star Formation in Decaying Conditions. Astrophys. J. 2007, 657, 870–883. [Google Scholar] [CrossRef]
- Banerjee, R.; Vázquez-Semadeni, E.; Hennebelle, P.; Klessen, R.S. Clump morphology and evolution in MHD simulations of molecular cloud formation. Mon. Not. Roy. Astron. Soc. 2009, 398, 1082–1092. [Google Scholar] [CrossRef]
- Dobbs, C.L.; Pringle, J.E.; Burkert, A. Giant molecular clouds: what are they made from, and how do they get there? Mon. Not. Roy. Astron. Soc. 2012, 425, 2157–2168. [Google Scholar] [CrossRef]
- Olsen, K.; Greve, T.R.; Narayanan, D.; Thompson, R.; Davé, R.; Niebla Rios, L.; Stawinski, S. SÍGAME Simulations of the [CII], [OI], and [OIII] Line Emission from Star-forming Galaxies at z ≃ 6. Astrophys. J. 2017, 846, 105. [Google Scholar] [CrossRef]
- Pallottini, A.; Ferrara, A.; Bovino, S.; Vallini, L.; Gallerani, S.; Maiolino, R.; Salvadori, S. The impact of chemistry on the structure of high-z galaxies. Mon. Not. Roy. Astron. Soc. 2017, 471, 4128–4143. [Google Scholar] [CrossRef]
- Capelo, P.R.; Bovino, S.; Lupi, A.; Schleicher, D.R.G.; Grassi, T. The effect of non-equilibrium metal cooling on the interstellar medium. Mon. Not. Roy. Astron. Soc. 2018, 475, 3283–3304. [Google Scholar] [CrossRef]
- Rosdahl, J.; Schaye, J.; Teyssier, R.; Agertz, O. Galaxies that shine: Radiation-hydrodynamical simulations of disc galaxies. Mon. Not. Roy. Astron. Soc. 2015, 451, 34–58. [Google Scholar] [CrossRef]
- Katz, H.; Kimm, T.; Sijacki, D.; Haehnelt, M.G. Interpreting ALMA observations of the ISM during the epoch of reionization. Mon. Not. Roy. Astron. Soc. 2017, 468, 4831–4861. [Google Scholar] [CrossRef]
- Grassi, T.; Bovino, S.; Haugbølle, T.; Schleicher, D.R.G. A detailed framework to incorporate dust in hydrodynamical simulations. Mon. Not. Roy. Astron. Soc. 2017, 466, 1259–1274. [Google Scholar] [CrossRef]
- Popping, G.; Somerville, R.S.; Galametz, M. The dust content of galaxies from z = 0 to z = 9. Mon. Not. Roy. Astron. Soc. 2017, 471, 3152–3185. [Google Scholar] [CrossRef]
- McKinnon, R.; Torrey, P.; Vogelsberger, M.; Hayward, C.C.; Marinacci, F. Simulating the dust content of galaxies: successes and failures. Mon. Not. Roy. Astron. Soc. 2017, 468, 1505–1521. [Google Scholar] [CrossRef]
- Aoyama, S.; Hou, K.C.; Hirashita, H.; Nagamine, K.; Shimizu, I. Cosmological simulation with dust formation and destruction. arXiv, 2018; arXiv:1802.04027. [Google Scholar] [CrossRef]
- Behrens, C.; Pallottini, A.; Ferrara, A.; Gallerani, S.; Vallini, L. Dusty galaxies in the Epoch of Reionization: simulations. Mon. Not. Roy. Astron. Soc. 2018, 477, 552–565. [Google Scholar] [CrossRef]
- Narayanan, D.; Conroy, C.; Dave, R.; Johnson, B.; Popping, G. A Theory for the Variation of Dust Attenuation Laws in Galaxies. arXiv, 2018; arXiv:1805.06905. [Google Scholar]
- Shirazi, M.; Brinchmann, J. Strongly star forming galaxies in the local Universe with nebular He IIλ4686 emission. Mon. Not. Roy. Astron. Soc. 2012, 421, 1043–1063. [Google Scholar] [CrossRef]
- Gutkin, J.; Charlot, S.; Bruzual, G. Modelling the nebular emission from primeval to present-day star-forming galaxies. Mon. Not. Roy. Astron. Soc. 2016, 462, 1757–1774. [Google Scholar] [CrossRef]
- Senchyna, P.; Stark, D.P.; Vidal-García, A.; Chevallard, J.; Charlot, S.; Mainali, R.; Jones, T.; Wofford, A.; Feltre, A.; Gutkin, J. Ultraviolet spectra of extreme nearby star-forming regions-approaching a local reference sample for JWST. Mon. Not. Roy. Astron. Soc. 2017, 472, 2608–2632. [Google Scholar] [CrossRef]
- Kalirai, J. Scientific discovery with the JamesWebb Space Telescope. Contemp. Phys. 2018, 59, 251–290. [Google Scholar] [CrossRef]
- Skidmore, W.; TMT International Science Development Teams; Science Advisory Committee. Thirty Meter Telescope Detailed Science Case: 2015. Res. Astron. Astrophys. 2015, 15, 1945. [Google Scholar] [CrossRef]
- Gallerani, S.; Ferrara, A.; Neri, R.; Maiolino, R. First CO(17-16) emission line detected in a z > 6 quasar. Mon. Not. Roy. Astron. Soc. 2014, 445, 2848–2853. [Google Scholar] [CrossRef]
- Meijerink, R.; Spaans, M. Diagnostics of irradiated gas in galaxy nuclei. I. A far-ultraviolet and X-ray dominated region code. Astron. Astrophys. 2005, 436, 397–409. [Google Scholar] [CrossRef]
- Mingozzi, M.; Vallini, L.; Pozzi, F.; Vignali, C.; Mignano, A.; Gruppioni, C.; Talia, M.; Cimatti, A.; Cresci, G.; Massardi, M. CO excitation in the Seyfert galaxy NGC 34: stars, shock or AGN driven? Mon. Not. Roy. Astron. Soc. 2018, 474, 3640–3648. [Google Scholar] [CrossRef]
- Crenshaw, D.M.; Kraemer, S.B.; George, I.M. Mass Loss from the Nuclei of Active Galaxies. Annu Rev. 2003, 41, 117–167. [Google Scholar] [CrossRef]
- Hopkins, P.F.; Hernquist, L.; Cox, T.J.; Di Matteo, T.; Martini, P.; Robertson, B.; Springel, V. Black Holes in Galaxy Mergers: Evolution of Quasars. Astrophys. J. 2005, 630, 705–715. [Google Scholar] [CrossRef]
- Kormendy, J.; Ho, L.C. Coevolution (Or Not) of Supermassive Black Holes and Host Galaxies. Annu. Rev. Astron. Astrophys. 2013, 51, 511–653. [Google Scholar] [CrossRef]
- Batiste, M.; Bentz, M.C.; Raimundo, S.I.; Vestergaard, M.; Onken, C.A. Recalibration of the MBH-σ⋆ Relation for AGN. Astrophys. J. Lett. 2017, 838, L10. [Google Scholar] [CrossRef]
- Fiore, F.; Feruglio, C.; Shankar, F.; Bischetti, M.; Bongiorno, A.; Brusa, M.; Carniani, S.; Cicone, C.; Duras, F.; Lamastra, A.; et al. AGN wind scaling relations and the co-evolution of black holes and galaxies. Astron. Astrophys. 2017, 601, A143. [Google Scholar] [CrossRef]
- Choi, E.; Ostriker, J.P.; Naab, T.; Somerville, R.S.; Hirschmann, M.; Núñez, A.; Hu, C.Y.; Oser, L. Physics of Galactic Metals: Evolutionary Effects due to Production, Distribution, Feedback, and Interaction with Black Holes. arXiv, 2016; arXiv:1610.09389. [Google Scholar]
- Richings, A.J.; Faucher-Giguère, C.A. The origin of fast molecular outflows in quasars: Molecule formation in AGN-driven galactic winds. Mon. Not. Roy. Astron. Soc. 2018, 474, 3673–3699. [Google Scholar] [CrossRef]
- Tumlinson, J.; Peeples, M.S.; Werk, J.K. The Circumgalactic Medium. Annu. Rev. Astron. Astrophys. 2017, 55, 389–432. [Google Scholar] [CrossRef]
- Suresh, J.; Rubin, K.H.R.; Kannan, R.; Werk, J.K.; Hernquist, L.; Vogelsberger, M. On the OVI abundance in the circumgalactic medium of low-redshift galaxies. Mon. Not. Roy. Astron. Soc. 2017, 465, 2966–2982. [Google Scholar] [CrossRef]
- Hummels, C.B.; Smith, B.D.; Silvia, D.W. Trident: A Universal Tool for Generating Synthetic Absorption Spectra from Astrophysical Simulations. Astrophys. J. 2017, 847, 59. [Google Scholar] [CrossRef]
- Dubois, Y.; Teyssier, R. On the onset of galactic winds in quiescent star forming galaxies. Astron. Astrophys. 2008, 477, 79–94. [Google Scholar] [CrossRef]
- Padoan, P.; Nordlund, Å. The Star Formation Rate of Supersonic Magnetohydrodynamic Turbulence. Astrophys. J. 2011, 730, 40. [Google Scholar] [CrossRef]
- Federrath, C.; Klessen, R.S. The Star Formation Rate of Turbulent Magnetized Clouds: Comparing Theory, Simulations, and Observations. Astrophys. J. 2012, 761, 156. [Google Scholar] [CrossRef]
- Kimm, T.; Cen, R. Escape Fraction of Ionizing Photons during Reionization: Effects due to Supernova Feedback and Runaway OB Stars. Astrophys. J. 2014, 788, 121. [Google Scholar] [CrossRef]
- Werk, J.K.; Prochaska, J.X.; Cantalupo, S.; Fox, A.J.; Oppenheimer, B.; Tumlinson, J.; Tripp, T.M.; Lehner, N.; McQuinn, M. The COS-Halos Survey: Origins of the Highly Ionized Circumgalactic Medium of Star-Forming Galaxies. Astrophys. J. 2016, 833, 54. [Google Scholar] [CrossRef]
- McCourt, M.; Oh, S.P.; O’Leary, R.; Madigan, A.M. A characteristic scale for cold gas. Mon. Not. Roy. Astron. Soc. 2018, 473, 5407–5431. [Google Scholar] [CrossRef]
- Oppenheimer, B.D.; Segers, M.; Schaye, J.; Richings, A.J.; Crain, R.A. Flickering AGN can explain the strong circumgalactic O VI observed by COS-Halos. Mon. Not. Roy. Astron. Soc. 2018, 474, 4740–4755. [Google Scholar] [CrossRef]
- Del Zanna, G.; DeLuca, E.E. Solar Coronal Lines in the Visible and Infrared: A Rough Guide. Astrophys. J. 2018, 852, 52. [Google Scholar] [CrossRef]
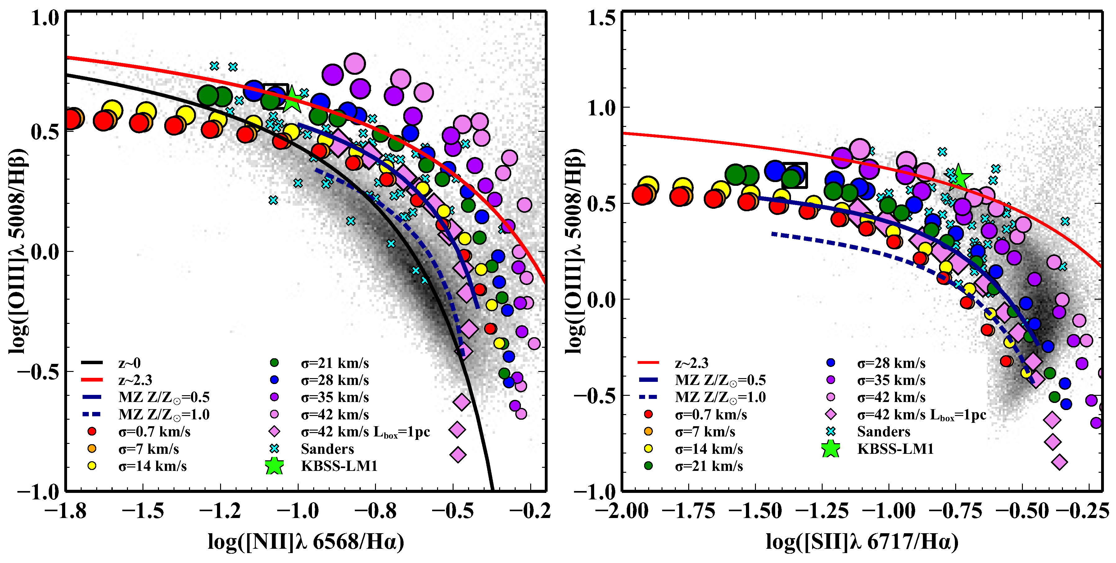
| 1 | “Baldwin, Phillips & Terlevich” (BPT) diagrams [1]. |
| 2 | |
| 3 | |
| 4 | |
| 5 | Slides from and video recordings of talks can be found at https://zenodo.org/communities/walk2018/. |
| 6 | E.g., the Grand Challenge Problems in Computational Astrophysics conference series at https://www.ipam.ucla.edu/. |
| 7 | |
| 8 | The Large UV/Optical/IR Surveyor: https://asd.gsfc.nasa.gov/luvoir/. |
| 9 | Habitable Exoplanet Imaging Mission: https://www.jpl.nasa.gov/habex/. |
| 10 | |
| 11 | |
| 12 | |
| 13 | |
| 14 | |
| 15 | |
| 16 | |
| 17 | |
| 18 |










| Name | Type | Wavelength (s) (1) | Tracer of | Reference for Wavelength (s) |
|---|---|---|---|---|
| Ly | Recombination | Å | Ionized ISM | [56] |
| C iv | CE (2) | , Å | Stellar wind, ionized ISM | [57] |
| O iii] | CE (2) | , Å | Ionized ISM | [57] |
| He ii | Recombination | Å | Stellar wind, ionized ISM | [57] |
| [C iii] | CE (2) | Å | ISM | [57] |
| C iii] | CE (2) | Å | Ionized ISM | [57] |
| H | Recombination | Å | Ionized ISM | NIST (3) |
| [O iii] | CE (2) | Å | Ionized ISM | NIST (3) |
| [O i] | Recombination | Å | Ionized ISM | NIST (3) |
| H | Recombination | Å | Ionized ISM | NIST (3) |
| [N ii] | CE (2) | Å | Ionized ISM | NIST (3) |
| [S ii] | CE (2) | Å | Ionized ISM | NIST (3) |
| C i | Fine-structure | , m | Atomic and molecular gas | LAMDA (4) |
| [C ii] | Fine-structure | m | All ISM | LAMDA (4) |
| [O i] | Fine-structure | , m | Atomic and molecular gas | LAMDA (4) |
| CO | Rotational | , , mm … | Molecular gas | LAMDA (4) |
| Name | Reference | Density Regime | 1D or 3D | Species in Chemical Network for Calculating Ionization States | Exact Radiative Transfer Included? |
|---|---|---|---|---|---|
| ART2 | [29], Li 2018 (in prep) | –cm−3 | 3D | Atomic database of Cloudy, molecular database of LAMDA | yes |
| Cloudy (1) | [13] | –cm−3 | 1D | 625 species (including atomic ions); CHIANTI, Stout, LAMDA databases | no (9) |
| DESPOTIC (2) | [31] | Cool atomic and molecular ISM | 1D | C, O, H, and He, plus a super-species M that represents a composite of metallic elements | no (9) |
| LIME (3) | [26] | –cm−3 | 3D | LAMDA database | yes |
| MAIHEM (4) | [32,67,68] | Has been tested at –cm−3 | 3D | 63 species (including atomic ions) (5) | no |
| MOLLIE (6) | [25,27] | –cm−3 | 3D | 18 molecular species (7) | yes |
| RADMC-3D (8) | [28] | No limits | 3D | LAMDA database, but abundances can also be supplied by the user | yes |
© 2018 by the authors. Licensee MDPI, Basel, Switzerland. This article is an open access article distributed under the terms and conditions of the Creative Commons Attribution (CC BY) license (http://creativecommons.org/licenses/by/4.0/).
Share and Cite
Olsen, K.P.; Pallottini, A.; Wofford, A.; Chatzikos, M.; Revalski, M.; Guzmán, F.; Popping, G.; Vázquez-Semadeni, E.; Magdis, G.E.; Richardson, M.L.A.; et al. Challenges and Techniques for Simulating Line Emission. Galaxies 2018, 6, 100. https://doi.org/10.3390/galaxies6040100
Olsen KP, Pallottini A, Wofford A, Chatzikos M, Revalski M, Guzmán F, Popping G, Vázquez-Semadeni E, Magdis GE, Richardson MLA, et al. Challenges and Techniques for Simulating Line Emission. Galaxies. 2018; 6(4):100. https://doi.org/10.3390/galaxies6040100
Chicago/Turabian StyleOlsen, Karen P., Andrea Pallottini, Aida Wofford, Marios Chatzikos, Mitchell Revalski, Francisco Guzmán, Gergö Popping, Enrique Vázquez-Semadeni, Georgios E. Magdis, Mark L. A. Richardson, and et al. 2018. "Challenges and Techniques for Simulating Line Emission" Galaxies 6, no. 4: 100. https://doi.org/10.3390/galaxies6040100
APA StyleOlsen, K. P., Pallottini, A., Wofford, A., Chatzikos, M., Revalski, M., Guzmán, F., Popping, G., Vázquez-Semadeni, E., Magdis, G. E., Richardson, M. L. A., Hirschmann, M., & Gray, W. J. (2018). Challenges and Techniques for Simulating Line Emission. Galaxies, 6(4), 100. https://doi.org/10.3390/galaxies6040100

