Sign in to use this feature.

Years

Between: -

Subjects

remove_circle_outline
remove_circle_outline
remove_circle_outline
remove_circle_outline
remove_circle_outline
remove_circle_outline
remove_circle_outline
remove_circle_outline
remove_circle_outline

Journals

Article Types

Countries / Regions

Search Results (51)

Search Parameters:
Keywords = characterization of highways condition

Order results
Result details
Results per page
Select all
Export citation of selected articles as:
32 pages, 5080 KB  
Article
Preventing Snow-Induced Traffic Isolation Through Data-Driven Control: Toward Resilient and Sustainable Highway Management
by Sang-Hoon Lee, Yoo-Kyung Lee, Hong-Sik Yun and Seung-Jun Lee
Sustainability 2025, 17(17), 7656; https://doi.org/10.3390/su17177656 - 25 Aug 2025
Viewed by 1173
Abstract
This study develops a data-driven framework to prevent traffic isolation on snow-affected highways by analyzing vehicle detection system (VDS) data collected over the past decade in the Yeongdong region of the Republic of Korea. Specifically, we used hourly traffic volume and average travel [...] Read more.
This study develops a data-driven framework to prevent traffic isolation on snow-affected highways by analyzing vehicle detection system (VDS) data collected over the past decade in the Yeongdong region of the Republic of Korea. Specifically, we used hourly traffic volume and average travel speed between interchange to interchange (IC-IC) segments on days with cumulative snowfall exceeding 30 cm, enabling the identification of critical thresholds that trigger congestion and isolation under extreme snow conditions. By examining the correlation between hourly snowfall intensity, traffic volume, and travel speed, we identified critical thresholds that signal the onset of traffic congestion and isolation, where traffic congestion refers to temporary flow deterioration with average speeds falling below 40 km/h, and traffic isolation denotes and operational breakdown characterized by average travel speeds falling below 20 km/h and prolonged loss of roadway functionality. Results indicated that when snowfall intensity exceeded 2 cm per hour, traffic congestion generally emerged once hourly volumes surpassed 1500 vehicles, whereas traffic isolation became likely when volumes exceeded 2200 vehicles per hour. Building on these findings, this study proposes adaptive traffic control measures that can be proactively implemented during snowstorm conditions. The proposed framework further provides a basis for determining the optimal timing of intervention before isolation occurs, thereby preventing operational breakdowns and enhancing both the resilience and sustainability of winter highway operations. Full article
Show Figures

Figure 1

16 pages, 8118 KB  
Article
The Influence of Long-Term Service on the Mechanical Properties and Energy Dissipation Capacity of Flexible Anti-Collision Rings
by Junhong Zhou, Jia Lu, Wei Jiang, Ang Li, Hancong Shao, Zixiao Huang, Fei Wang and Qiuwei Yang
Coatings 2025, 15(8), 880; https://doi.org/10.3390/coatings15080880 - 27 Jul 2025
Viewed by 502
Abstract
This study investigates the long-term performance of flexible anti-collision rings after 12 years of service on the Xiangshan Port Highway Bridge. Stepwise loading–unloading tests at multiple loading rates (0.8–80 mm/s) were performed on the anti-collision rings, with full-field strain measurement via digital image [...] Read more.
This study investigates the long-term performance of flexible anti-collision rings after 12 years of service on the Xiangshan Port Highway Bridge. Stepwise loading–unloading tests at multiple loading rates (0.8–80 mm/s) were performed on the anti-collision rings, with full-field strain measurement via digital image correlation (DIC) technology. The results show that: The mechanical response of the anti-collision ring shows significant asymmetric tension–compression, with the tensile peak force being 6.8 times that of compression. A modified Johnson–Cook model was developed to accurately characterize the tension–compression force–displacement behavior across varying strain rates (0.001–0.1 s−1). The DIC full-field strain analysis reveals that the clamping fixture significantly influences the tensile deformation mode of the anti-collision ring by constraining its inner wall movement, thereby altering strain distribution patterns. Despite exhibiting a corrosion gradient from severe underwater degradation to minimal surface weathering, all tested rings demonstrated consistent mechanical performance, verifying the robust protective capability of the rubber coating in marine service conditions. Full article
Show Figures

Figure 1

20 pages, 4616 KB  
Article
Temporal Convolutional Network with Attention Mechanisms for Strong Wind Early Warning in High-Speed Railway Systems
by Wei Gu, Guoyuan Yang, Hongyan Xing, Yajing Shi and Tongyuan Liu
Sustainability 2025, 17(14), 6339; https://doi.org/10.3390/su17146339 - 10 Jul 2025
Cited by 1 | Viewed by 708
Abstract
High-speed railway (HSR) is a key transport mode for achieving carbon reduction targets and promoting sustainable regional economic development due to its fast, efficient, and low-carbon nature. Accurate wind speed forecasting (WSF) is vital for HSR systems, as it provides future wind conditions [...] Read more.
High-speed railway (HSR) is a key transport mode for achieving carbon reduction targets and promoting sustainable regional economic development due to its fast, efficient, and low-carbon nature. Accurate wind speed forecasting (WSF) is vital for HSR systems, as it provides future wind conditions that are critical for ensuring safe train operations. Numerous WSF schemes based on deep learning have been proposed. However, accurately forecasting strong wind events remains challenging due to the complex and dynamic nature of wind. In this study, we propose a novel hybrid network architecture, MHSETCN-LSTM, for forecasting strong wind. The MHSETCN-LSTM integrates temporal convolutional networks (TCNs) and long short-term memory networks (LSTMs) to capture both short-term fluctuations and long-term trends in wind behavior. The multi-head squeeze-and-excitation (MHSE) attention mechanism dynamically recalibrates the importance of different aspects of the input sequence, allowing the model to focus on critical time steps, particularly when abrupt wind events occur. In addition to wind speed, we introduce wind direction (WD) to characterize wind behavior due to its impact on the aerodynamic forces acting on trains. To maintain the periodicity of WD, we employ a triangular transform to predict the sine and cosine values of WD, improving the reliability of predictions. Massive experiments are conducted to evaluate the effectiveness of the proposed method based on real-world wind data collected from sensors along the Beijing–Baotou railway. Experimental results demonstrated that our model outperforms state-of-the-art solutions for WSF, achieving a mean-squared error (MSE) of 0.0393, a root-mean-squared error (RMSE) of 0.1982, and a coefficient of determination (R2) of 99.59%. These experimental results validate the efficacy of our proposed model in enhancing the resilience and sustainability of railway infrastructure.Furthermore, the model can be utilized in other wind-sensitive sectors, such as highways, ports, and offshore wind operations. This will further promote the achievement of Sustainable Development Goal 9. Full article
(This article belongs to the Section Environmental Sustainability and Applications)
Show Figures

Figure 1

20 pages, 20397 KB  
Article
Assessing Seasonal and Diurnal Thermal Dynamics of Water Channel and Highway Bridges Using Unmanned Aerial Vehicle Thermography
by Abdulkadir Memduhoğlu and Nizar Polat
Drones 2025, 9(3), 205; https://doi.org/10.3390/drones9030205 - 13 Mar 2025
Viewed by 1133
Abstract
Bridges are critical components of modern infrastructure, yet their long-term performance is often compromised by thermal stresses induced by environmental and material factors. Despite advances in remote sensing, characterizing the complex thermal dynamics of bridge structures remains challenging. In this study, we investigate [...] Read more.
Bridges are critical components of modern infrastructure, yet their long-term performance is often compromised by thermal stresses induced by environmental and material factors. Despite advances in remote sensing, characterizing the complex thermal dynamics of bridge structures remains challenging. In this study, we investigate the seasonal and diurnal thermal behavior of two common bridge types—a water channel bridge with paving stone surfacing and a highway bridge with asphalt surfacing—using high-resolution UAV thermography. A pre-designed photogrammetric flight plan (yielding a ground sampling distance of <5 cm) was implemented to acquire thermal and visual imagery during four distinct temporal windows (winter morning, winter evening, summer morning, and summer evening). The methodology involved generating thermal orthophotos via structure-from-motion techniques, extracting systematic temperature measurements (n=150 per bridge), and analyzing these using independent-samples and paired t-tests to quantify material-specific thermal responses and environmental coupling effects. The results reveal that the water channel bridge exhibited significantly lower thermal variability (1.54–3.48 °C) compared to the highway bridge (3.27–5.66 °C), with pronounced differences during winter mornings (Cohen’s d=2.03, p<0.001). Furthermore, material properties strongly modulated thermal dynamics, as evidenced by the significant temperature differentials between the paving stone and asphalt surfaces, while ambient conditions further influence surface–ambient coupling (r=0.961 vs. 0.975). The results provide UAV-based quantitative metrics for bridge thermal assessment and empirical evidence to support the temporal monitoring of bridges with varying materials and environmental conditions for future studies. Full article
(This article belongs to the Special Issue Unconventional Drone-Based Surveying 2nd Edition)
Show Figures

Figure 1

14 pages, 9275 KB  
Article
Effect of Graphene Nanoplatelets as Lubricant Additive on Fuel Consumption During Vehicle Emission Tests
by Eduardo Tomanik, Wania Christinelli, Pamela Sierra Garcia, Scott Rajala, Jesuel Crepaldi, Davi Franzosi, Roberto Martins Souza and Fernando Fusco Rovai
Eng 2025, 6(1), 18; https://doi.org/10.3390/eng6010018 - 16 Jan 2025
Cited by 2 | Viewed by 3174
Abstract
Lubricant friction modifier additives are used on lower viscosity engine oils to mitigate boundary friction. This work presents the development of a graphene-based material as an oil friction modifier additive, from formulation to actual vehicle tests. The graphene material was initially characterized using [...] Read more.
Lubricant friction modifier additives are used on lower viscosity engine oils to mitigate boundary friction. This work presents the development of a graphene-based material as an oil friction modifier additive, from formulation to actual vehicle tests. The graphene material was initially characterized using scanning electron microscopy (SEM) and Raman spectroscopy, which revealed the predominance of graphene nanoplatelets (GNPs) with an average of nine layers. After functionalization, two GNP additive variants were initially mixed with a fully formulated SAE 0W-20 engine oil and tribologically evaluated using reciprocating sliding tests at 40 and 120 °C and Hertzian pressure up to 1.2 GPa when both variants presented friction reduction. Then, the GNP additive variant with better performance was evaluated in a vehicle emission test using a fully formulated 5W-20 SAE oil as a reference. The addition of 0.1% of GNPs reduced fuel consumption by 2.6% in urban conditions and 0.8% in highway ones. The urban test cycle was FTP75 and higher benefits of the GNP additive occurred especially on the test start, when the engine and oil were still cold and on test portions where the vehicle speed was lower. Full article
(This article belongs to the Special Issue Feature Papers in Eng 2024)
Show Figures

Figure 1

22 pages, 8115 KB  
Article
Data-Driven Approach for Intelligent Classification of Tunnel Surrounding Rock Using Integrated Fractal and Machine Learning Methods
by Junjie Ma, Tianbin Li, Roohollah Shirani Faradonbeh, Mostafa Sharifzadeh, Jianfeng Wang, Yuyang Huang, Chunchi Ma, Feng Peng and Hang Zhang
Fractal Fract. 2024, 8(12), 677; https://doi.org/10.3390/fractalfract8120677 - 21 Nov 2024
Cited by 2 | Viewed by 1636
Abstract
The degree of rock mass discontinuity is crucial for evaluating surrounding rock quality, yet its accurate and rapid measurement at construction sites remains challenging. This study utilizes fractal dimension to characterize the geometric characteristics of rock mass discontinuity and develops a data-driven surrounding [...] Read more.
The degree of rock mass discontinuity is crucial for evaluating surrounding rock quality, yet its accurate and rapid measurement at construction sites remains challenging. This study utilizes fractal dimension to characterize the geometric characteristics of rock mass discontinuity and develops a data-driven surrounding rock classification (SRC) model integrating machine learning algorithms. Initially, the box-counting method was introduced to calculate the fractal dimension of discontinuity from the excavation face image. Subsequently, crucial parameters affecting surrounding rock quality were analyzed and selected, including rock strength, the fractal dimension of discontinuity, the discontinuity condition, the in-situ stress condition, the groundwater condition, and excavation orientation. This study compiled a database containing 246 railway and highway tunnel cases based on these parameters. Then, four SRC models were constructed, integrating Bayesian optimization (BO) with support vector machine (SVM), random forest (RF), adaptive boosting (AdaBoost), and gradient boosting decision tree (GBDT) algorithms. Evaluation indicators, including 5-fold cross-validation, precision, recall, F1-score, micro-F1-score, macro-F1-score, accuracy, and the receiver operating characteristic curve, demonstrated the GBDT-BO model’s superior robustness in learning and generalization compared to other models. Furthermore, four additional excavation face cases validated the intelligent SRC approach’s practicality. Finally, the synthetic minority over-sampling technique was employed to balance the training set. Subsequent retraining and evaluation confirmed that the imbalanced dataset does not adversely affect SRC model performance. The proposed GBDT-BO model shows promise for predicting surrounding rock quality and guiding dynamic tunnel excavation and support. Full article
(This article belongs to the Section Engineering)
Show Figures

Figure 1

17 pages, 5767 KB  
Article
Finite Element Analysis of Pre-Stressed Ultra High-Performance Concrete (UHPC) Girders
by Homa Haghighi and Girum Urgessa
Eng 2024, 5(3), 2362-2378; https://doi.org/10.3390/eng5030123 - 21 Sep 2024
Cited by 3 | Viewed by 2265
Abstract
This paper presents a comprehensive finite element analysis (FEA) of pre-stressed Ultra High-Performance Concrete (UHPC) girders, showcasing intricate structural behaviors under various loading conditions. Utilizing advanced finite element modeling techniques, the study accurately simulates the flexural response of UHPC girders, integrating experimental results [...] Read more.
This paper presents a comprehensive finite element analysis (FEA) of pre-stressed Ultra High-Performance Concrete (UHPC) girders, showcasing intricate structural behaviors under various loading conditions. Utilizing advanced finite element modeling techniques, the study accurately simulates the flexural response of UHPC girders, integrating experimental results from large-scale laboratory tests conducted by researchers at the Turner-Fairbank Highway Research Center. This paper shows the effectiveness of simulating pre-stressing forces via initial equivalent temperature load with relatively accurate stress and strain predictions. The paper also delves into the moment–deflection relationships at critical stages, such as first concrete crack appearance, yielding, and strain localization, to capture the non-linear behavior of UHPC girders under pre-stressed conditions. Additionally, crack propagations were characterized by investigating the damage in tension (DAMAGET) plots. In summary, the results of the finite element model agree well with the experimental observations. Moreover, this study not only demonstrates the effectiveness of FEA in accurately simulating the complex structural behaviors of UHPC girders but also highlights its broader applicability to the design and analysis of other girder types, offering valuable insights compared to ordinary concrete beams. Full article
(This article belongs to the Section Chemical, Civil and Environmental Engineering)
Show Figures

Figure 1

21 pages, 5914 KB  
Article
Modeling and Laboratory Investigation of Tack Coats as Bituminous Pavement Interlayer
by Alessandro Steffanoni, Michel Di Tommaso, Vito Giovanni Gallo, Giuseppe Macaluso, Carmine Rizzato, Misagh Ketabdari and Emanuele Toraldo
Buildings 2024, 14(8), 2358; https://doi.org/10.3390/buildings14082358 - 31 Jul 2024
Cited by 1 | Viewed by 1790
Abstract
The adhesive properties of tack coats between asphalt pavement layers are crucial for the pavement’s structural behavior. This study first involved numerical analyses to compare stress patterns, deformations, and displacements in the pavement structure under various geometric and mechanical conditions. A rational calculation [...] Read more.
The adhesive properties of tack coats between asphalt pavement layers are crucial for the pavement’s structural behavior. This study first involved numerical analyses to compare stress patterns, deformations, and displacements in the pavement structure under various geometric and mechanical conditions. A rational calculation method based on the theory of elastic multilayer systems was used to quantify the impact of layer properties such as thickness, stiffness modulus, and Poisson’s ratio on interlayer bonding. Three bonding conditions—Full Friction, Partial Bonding, and Full Debonding—were analyzed to understand the tack coat’s effect between the top two layers. The second phase involved characterizing the mechanical behavior of the interface through shear strength tests (Leutner shear test) on both laboratory-prepared specimens and samples from a 10-year-old highway. Specimens were prepared using a Roller Compactor and tested under different interface conditions: hot-on-hot (H/H), residual bitumen 200 g/m2 (RB 200), and residual bitumen 400 g/m2 (RB 400). The tests examined the bonding effects in terms of tangential force and shear displacement at failure, as well as the impact of vehicular traffic on rutting and fatigue failure. Finally, this study investigated the long-term aging effects of the binder on interlayer bonding and sought to correlate the results of numerical calculations with those of the laboratory tests. Full article
(This article belongs to the Special Issue Advances in Road Pavements)
Show Figures

Figure 1

18 pages, 15418 KB  
Article
Effects of Remolding Water Content and Compaction Degree on the Dynamic Behavior of Compacted Clay Soils
by Shuai Qi, Wei Ma, Xintian Zhang, Jing Wang, Xingbo Hu, Zengzhi Wei and Jinhui Liu
Buildings 2024, 14(8), 2258; https://doi.org/10.3390/buildings14082258 - 23 Jul 2024
Cited by 4 | Viewed by 1727
Abstract
The stable and safe operation of highway/railway lines is largely dependent on the dynamic behavior of subgrade fillings. Clay soils are widely used in subgrade construction and are compacted at different remolding water contents and compaction degrees, depending on the field conditions. As [...] Read more.
The stable and safe operation of highway/railway lines is largely dependent on the dynamic behavior of subgrade fillings. Clay soils are widely used in subgrade construction and are compacted at different remolding water contents and compaction degrees, depending on the field conditions. As a result, their dynamic behaviors may vary, which have not been fully investigated until now. To clarify this aspect, a series of cyclic triaxial tests were carried out in this study with three typical remolding water contents (w = 19%, 24%, and 29%), corresponding to the optimum water content as well as its dry and wet sides, and two compaction degrees (Dc = 0.8 and 0.9), which were selected according to the field-testing data. Scanning electron microscopy (SEM) and mercury intrusion porosimetry (MIP) tests were also conducted on typical samples to investigate the corresponding soil fabric variations. The findings indicate the following: (a) The soil fabric at the optimum remolding water content and its dry side was characterized by a clay aggregate assembly with a bimodal pore size distribution. In contrast, the soil fabric on the wet side of the optimum water content consisted of dispersed clay particles with a unimodal pore size distribution. (b) As the compaction degree increased, to ensure the optimum water content and its dry side, large pores were compressed to make them smaller, while small pores remained unchanged. Comparatively, all the pores on the wet side were compressed to make them smaller. (c) For each compaction degree, as the remolding water content increased, a non-monotonic changing pattern was identified for both the permanent strain and resilient modulus; the permanent strain first decreased and then increased, while, for the resilient modulus, an initial increasing trend and then a decreasing trend were identified. In addition, a larger changing rate of the permanent strain (resilient modulus) was observed on the dry side, indicating a larger effect of the remolding water content. (d) For each remolding water content, as the compaction degree increased, the permanent strain exhibited a decreasing trend, but an increasing trend was identified for the resilient modulus. Moreover, the rate of change in the permanent strain (resilient modulus) on the dry side of the optimum water content was larger than that on the wet side. In contrast, the minimum rate of change was identified at the optimum water content. The obtained results allowed for the effects of the remolding water content and compaction degree on the dynamic behavior to be analyzed, and they helped guide the construction and maintenance of the subgrade. Full article
(This article belongs to the Section Building Materials, and Repair & Renovation)
Show Figures

Figure 1

12 pages, 6773 KB  
Article
Dual-Slope Path Loss Model for Integrating Vehicular Sensing Applications in Urban and Suburban Environments
by Herman Fernández, Lorenzo Rubio, Vicent M. Rodrigo Peñarrocha and Juan Reig
Sensors 2024, 24(13), 4334; https://doi.org/10.3390/s24134334 - 4 Jul 2024
Cited by 5 | Viewed by 2120
Abstract
The development of intelligent transportation systems (ITS), vehicular ad hoc networks (VANETs), and autonomous driving (AD) has progressed rapidly in recent years, driven by artificial intelligence (AI), the internet of things (IoT), and their integration with dedicated short-range communications (DSRC) systems and fifth-generation [...] Read more.
The development of intelligent transportation systems (ITS), vehicular ad hoc networks (VANETs), and autonomous driving (AD) has progressed rapidly in recent years, driven by artificial intelligence (AI), the internet of things (IoT), and their integration with dedicated short-range communications (DSRC) systems and fifth-generation (5G) networks. This has led to improved mobility conditions in different road propagation environments: urban, suburban, rural, and highway. The use of these communication technologies has enabled drivers and pedestrians to be more aware of the need to improve their behavior and decision making in adverse traffic conditions by sharing information from cameras, radars, and sensors widely deployed in vehicles and road infrastructure. However, wireless data transmission in VANETs is affected by the specific conditions of the propagation environment, weather, terrain, traffic density, and frequency bands used. In this paper, we characterize the path loss based on the extensive measurement campaign carrier out in vehicular environments at 700 MHz and 5.9 GHz under realistic road traffic conditions. From a linear dual-slope path loss propagation model, the results of the path loss exponents and the standard deviations of the shadowing are reported. This study focused on three different environments, i.e., urban with high traffic density (U-HD), urban with moderate/low traffic density (U-LD), and suburban (SU). The results presented here can be easily incorporated into VANET simulators to develop, evaluate, and validate new protocols and system architecture configurations under more realistic propagation conditions. Full article
(This article belongs to the Special Issue Vehicular Sensing for Improved Urban Mobility)
Show Figures

Figure 1

30 pages, 30480 KB  
Article
Numerical Investigation of a Novel Type of Rotor Working in a Palisade Configuration
by Łukasz Malicki, Ziemowit Malecha, Błażej Baran and Rafał Juszko
Energies 2024, 17(13), 3093; https://doi.org/10.3390/en17133093 - 23 Jun 2024
Cited by 1 | Viewed by 1575
Abstract
This paper explores an interesting approach to wind energy technology, focusing on a novel type of drag-driven vertical-axis wind turbines (VAWTs). Studied geometries employ rotor-shaped cross-sections, presenting a distinctive approach to harnessing wind energy efficiently. The rotor-shaped cross-section geometries are examined for their [...] Read more.
This paper explores an interesting approach to wind energy technology, focusing on a novel type of drag-driven vertical-axis wind turbines (VAWTs). Studied geometries employ rotor-shaped cross-sections, presenting a distinctive approach to harnessing wind energy efficiently. The rotor-shaped cross-section geometries are examined for their aerodynamic efficiency, showcasing the meticulous engineering behind this innovation. The drag-driven turbine shapes are analyzed for their ability to maximize energy extraction in a variety of wind conditions. A significant aspect of these turbines is their adaptability for diverse applications. This article discusses the feasibility and advantages of utilizing these VAWTs in fence configurations, offering an innovative integration of renewable energy generation with physical infrastructure. The scalability of the turbines is highlighted, enabling their deployment as a fence around residential properties or as separators between highway lanes and as energy-generating structures atop buildings. The scientific findings presented in this article contribute valuable insights into the technological advancements of rotor-shaped VAWTs and their potential impact on decentralized wind energy generation. The scalable and versatile nature of these turbines opens up new possibilities for sustainable energy solutions in both urban and residential settings, marking a significant step forward in the field of renewable energy research and technology. In particular, it was shown that among the proposed rotor geometries, the five-blade rotor was characterized by the highest efficiency and, working in a palisade configuration with a spacing of 10 mm to 20 mm, produced higher average values of the torque coefficient than the corresponding Savonius turbine. Full article
Show Figures

Figure 1

19 pages, 1982 KB  
Article
A Reinforcement Learning Approach to Dynamic Trajectory Optimization with Consideration of Imbalanced Sub-Goals in Self-Driving Vehicles
by Yu-Jin Kim, Woo-Jin Ahn, Sun-Ho Jang, Myo-Taeg Lim and Dong-Sung Pae
Appl. Sci. 2024, 14(12), 5213; https://doi.org/10.3390/app14125213 - 15 Jun 2024
Cited by 4 | Viewed by 3339
Abstract
Goal-conditioned Reinforcement Learning (RL) holds promise for addressing intricate control challenges by enabling agents to learn and execute desired skills through separate decision modules. However, the irregular occurrence of required skills poses a significant challenge to effective learning. In this paper, we demonstrate [...] Read more.
Goal-conditioned Reinforcement Learning (RL) holds promise for addressing intricate control challenges by enabling agents to learn and execute desired skills through separate decision modules. However, the irregular occurrence of required skills poses a significant challenge to effective learning. In this paper, we demonstrate the detrimental effects of this imbalanced skill (sub-goal) distribution and propose a novel training approach, Classified Experience Replay (CER), designed to mitigate this challenge. We demonstrate that adapting our method to conventional RL methods significantly enhances the performance of the RL agent. Considering the challenges inherent in tasks such as driving, characterized by biased occurrences of required sub-goals, our study demonstrates the improvement in trained outcomes facilitated by the proposed method. In addition, we introduce a specialized framework tailored for self-driving tasks on highways, integrating model predictive control into our RL trajectory optimization training paradigm. Our approach, utilizing CER with the suggested framework, yields remarkable advancements in trajectory optimization for RL agents operating in highway environments. Full article
Show Figures

Figure 1

17 pages, 4311 KB  
Article
Risk Assessment in Landslide-Prone Terrain within a Complex Geological Setting at Kadugannawa, Sri Lanka: Implications for Highway Maintenance
by Sunera Mahinsa Pitawala, Harindu Wimalakeerthi and Thomas Heinze
Geotechnics 2024, 4(2), 564-580; https://doi.org/10.3390/geotechnics4020031 - 8 Jun 2024
Cited by 2 | Viewed by 2917
Abstract
The major highway in Sri Lanka that links the capital, Colombo, with the second capital, Kandy, passes through Kadugannawa, characterized by steep hills. The geological and geomorphological setting of the terrain often leads to slope failures. The objective of this study is to [...] Read more.
The major highway in Sri Lanka that links the capital, Colombo, with the second capital, Kandy, passes through Kadugannawa, characterized by steep hills. The geological and geomorphological setting of the terrain often leads to slope failures. The objective of this study is to interpret the key factors influencing the slope failures that occurred in close proximity at two separate locations with two different slope conditions. Typical local and regional brittle and ductile structures include fault scarps, deep-seated detachments, and variable folding. According to our results, one of the studied locations experienced translational landslides because of weakened basement rock surfaces, hydrophilic clay minerals, and anthropogenic influences, whereas the other location experienced multiple stages of mass movement influenced by inhomogeneous colluvial soil and regional, geological, and hydrogeological conditions. Based on the present study, it can be concluded that geological studies must be carried out within the local area rather than at the regional scale. Otherwise, the constructions for the prevention of landslides in complicated geological settings will fail or may not be used for a long period. Moreover, consideration of future climate change is essential when undertaking construction in challenging terrains. Full article
(This article belongs to the Special Issue Recent Advances in Geotechnical Engineering (2nd Edition))
Show Figures

Graphical abstract

14 pages, 5089 KB  
Article
Natural Light Rechargeable Night Peal-like Coatings for Expressway
by Xin Li, Rong Chen, Rui Xiao, Wenjie Li, Te Si, Peiyang Li and Qi Zhu
Coatings 2024, 14(5), 566; https://doi.org/10.3390/coatings14050566 - 2 May 2024
Cited by 4 | Viewed by 1374
Abstract
Traditional roadway lighting is intended to provide safe guidance for drivers and pedestrians, but the large-scale application of roadway lighting has resulted in significant energy consumption and light pollution. However, road markings prepared by luminous coating are a kind of multi-functional road marking [...] Read more.
Traditional roadway lighting is intended to provide safe guidance for drivers and pedestrians, but the large-scale application of roadway lighting has resulted in significant energy consumption and light pollution. However, road markings prepared by luminous coating are a kind of multi-functional road marking that can meet the needs of highway lighting at night and save energy. Here, CaAl2O4:Eu2+,Nd3+,Gd3+ blue long-afterglow phosphor is obtained by the high-temperature solid-state method, and the blue luminescent coating is synthesized by the blending method. The phase composition, microscopic morphology, luminescence properties and water resistance of the phosphor and luminescent coatings are characterized. The best components and processes of the luminescent coating are explored to meet the application of an expressway. Considering the afterglow’s performance, the optimal calcination temperature of the phosphor is determined to be 1300 °C. The afterglow of the phosphor can be over 8 h after 2 h of daylight excitation. The addition of 1.25% SiO2 to the luminescent coating improves the uniformity of the components, and the incorporation of 3.5% CaCO3 improves the denseness of the coating. When the coating thickness is 0.8mm, the luminescent coating can achieve the best luminous effect. After 120 h of immersion in water, the afterglow intensity of the luminescent coating reduced to 70% of the original, which has excellent water resistance. The blue luminescent coating with the addition of appropriate amounts of CaCO3 and SiO2 improves the dispersion as well as the densification of the components in the coating to achieve the best luminescent effect. In the Shenyang area, different weather conditions (cloudy, sunny, rainy) have no significant effect on the afterglow performance of the luminescent coatings, all of which can achieve over 5 h of afterglow and are suitable for expressways. Full article
(This article belongs to the Special Issue Optical Coatings: From Materials to Applications)
Show Figures

Figure 1

16 pages, 4217 KB  
Article
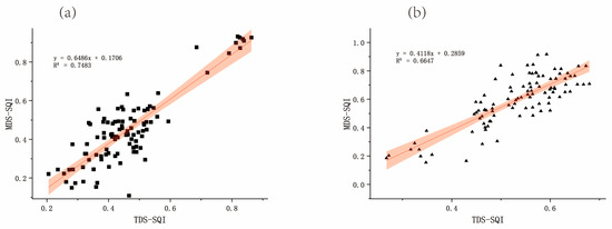
Evaluation of Soil Quality and Analysis of Barriers of Protection Forests along Tarim Desert Highway Based on a Minimum Data Set
by Wenhe Liu, Lin Li, Xuemin He and Guanghui Lv
Land 2024, 13(4), 498; https://doi.org/10.3390/land13040498 - 11 Apr 2024
Cited by 11 | Viewed by 1956
Abstract
To gain a thorough grasp of the soil quality conditions in the preservation forests along the Tarim Desert Highway, a detailed assessment of the research area’s soil quality is necessary, along with the identification of any potential obstacles. This evaluation should identify any [...] Read more.
To gain a thorough grasp of the soil quality conditions in the preservation forests along the Tarim Desert Highway, a detailed assessment of the research area’s soil quality is necessary, along with the identification of any potential obstacles. This evaluation should identify any potential obstacles and provide a theoretical basis for the sustainable utilization and precise management of protection forest soils. This paper examines the protection forest along the Tarim Desert Highway as the study area. To characterize the features of the soil quality, thirteen indicators of the chemical, physical, and biological composition of the soil were examined. The principal component analysis method was used to construct the minimum dataset (MDS) for soil quality evaluation. The diagnostic model for obstacle factors was combined with the MDS to explore the soil quality characteristics and obstacle factors in the study region. The findings indicated that (1) the constructed indexes of the MDS of protection forest soil in the study area included soil ammonium nitrogen (NH4+-N); quick-acting phosphorus (AvP); organic carbon (SOC); alkaline phosphatase (AP); and total salt (SS); (2) soil quality based on the MDS and the total dataset (TDS) showed a significant positive correlation (R2 = 0.748; p < 0.05), and the research region’s soil quality were all in the medium and below level (100% of SQI ≤ 0.6), showing the status quo of high soil quality in the two ends of the shelterbelt forest and the tower center area, while the other areas were relatively low; (3) according to the findings of the soil barrier analysis, the two main obstacles influencing the soil quality of the shelterbelt forest at this time are NH4+-N and SOC, and that the soil quality of the shelterbelt forest could be improved by artificially increasing the inputs of nutrients and precise conservation measures, promoting the overall function of artificial protective forests on desert highways. In addition to providing a solid scientific foundation for the sustainable use and maintenance of shelterbelt forests along the Tarim Desert Highway, this study is also an invaluable resource for researching the soil quality of artificial shelterbelt forests in arid regions. Full article
Show Figures

Figure 1

Back to TopTop