Sign in to use this feature.

Years

Between: -

Subjects

remove_circle_outline
remove_circle_outline
remove_circle_outline
remove_circle_outline
remove_circle_outline
remove_circle_outline
remove_circle_outline

Journals

Article Types

Countries / Regions

Search Results (9)

Search Parameters:
Keywords = carrion beetles

Order results
Result details
Results per page
Select all
Export citation of selected articles as:
42 pages, 12267 KB  
Article
Four New Dung Beetle Species of the Genus Onthophagus Latreille from West Africa (Insecta: Coleoptera: Scarabaeidae: Scarabaeinae: Onthophagini)
by Frank-Thorsten Krell, Tiffany M. Nuessle and Bridget N. Chalifour
Taxonomy 2025, 5(2), 21; https://doi.org/10.3390/taxonomy5020021 - 18 Apr 2025
Viewed by 3683
Abstract
Four new dung beetle species of the genus Onthophagus Latreille from Côte d’Ivoire, Burkina Faso, Bénin, and Cameroon are described, and a fragment of their COI gene is sequenced. The coprophagous Onthophagus (Trichonthophagus) sylviae sp. nov. from Côte d’Ivoire and Burkina Faso is [...] Read more.
Four new dung beetle species of the genus Onthophagus Latreille from Côte d’Ivoire, Burkina Faso, Bénin, and Cameroon are described, and a fragment of their COI gene is sequenced. The coprophagous Onthophagus (Trichonthophagus) sylviae sp. nov. from Côte d’Ivoire and Burkina Faso is most similar to Onthophagus pallidus d’Orbigny from Cameroon, but it is more elongated, more silky than shiny, and has no dark spot on the third elytral interstria. Onthophagus odikpatra sp. nov. (18th group of d’Orbigny) from Côte d’Ivoire, Burkina Faso, and Cameroon feeds on carrion, including dead millipedes and fish, and dung. It is most similar to Onthophagus baloghi Balthasar from Central Africa but has simple punctures on the sides of the pronotum. Onthophagus chinonophilus sp. nov. from Côte d’Ivoire and Burkina Faso, which feeds on freshly dead millipedes and is attracted by their quinonous defensive secretions; it also belongs to the 18th group in d’Orbigny’s classification. Small and medium individuals resemble small Onthophagus latigibber d’Orbigny but differ in shape and sculpture of the pronotum. Small individuals are also similar to Onthophagus tschadensis Balthasar (19th group) but differ in the shape of the aedeagus. The generalist feeder Onthophagus (Tiaronthophagus) necneavius sp. nov. (24th group) from Côte d’Ivoire, Burkina Faso, and Bénin is most similar to Onthophagus naevius from Zambia, DR Congo, and Tanzania, but it is smaller, shiny all over; the sides of pronotum behind anterior angles are almost straight, not distinctly emarginate, and the frons is densely covered with fine punctures. COI barcode sequences were provided for all four new species, but the poor sampling of Onthophagus in GenBank prevents meaningful analysis of species relationships on the basis of COI barcodes at this point. Full article
(This article belongs to the Special Issue Diversity and Taxonomy of Scarabaeoidea)
Show Figures

Figure 1

18 pages, 2387 KB  
Article
The Occurrence of the American Burying Beetle (Nicrophorus americanus) and Associated Silphid Beetle Community in South Dakota: Implications for Managed Relocation
by William Wyatt Hoback, Daniel G. Snethen, Melissa Reed and Michael C. Cavallaro
Diversity 2024, 16(4), 232; https://doi.org/10.3390/d16040232 - 13 Apr 2024
Cited by 1 | Viewed by 3078
Abstract
The American burying beetle, Nicrophorus americanus Olivier (Coleoptera: Siliphidae), is a federally threatened species in the United States, occurring in less than 10% of its historic range. The continued monitoring of extant populations found in South Dakota, the northernmost edge of its confirmed [...] Read more.
The American burying beetle, Nicrophorus americanus Olivier (Coleoptera: Siliphidae), is a federally threatened species in the United States, occurring in less than 10% of its historic range. The continued monitoring of extant populations found in South Dakota, the northernmost edge of its confirmed range, is imperative to future conservation efforts, especially with the predicted loss of the species in southern regions because of climate change. Proposed strategies to preserve the species include the reintroduction or translocation of individuals from habitats that have become unsuitable. Beyond adequate habitat and carrion resource requirements, community-level silphid interactions may challenge these efforts because of competition. From 2018 to 2020, we used 80 carrion-baited pitfall traps per year to conduct two 5-day surveys in June and August. A total of 25,923 Silphidae belonging to 15 species were collected in 1200 trap nights. Cumulatively, 1150 N. americanus were captured and marked with 263 recaptures. Like past findings, N. americanus was concentrated in western Tripp County with limited occurrence in Gregory and Todd Counties, suggesting no expansion of their known range in the past decade. Generalized linear mixed-effects models indicated N. americanus abundance was significantly predicted by the co-occurrence of the carrion beetles Oieceoptoma inaequale F. and Oiceoptoma noveboracense Forster, whereas pitfall trap catches dominated by the burying beetle Nicrophorus marginatus F. had predictively less N. americanus. Collectively, these data provide insights into the existing, northernmost N. americanus population dynamics and silphid beetle communities. Concurrent with monitoring extant populations, the characterization of silphid communities that co-occur with N. americanus may provide much-needed information for managed relocation opportunities. Full article
(This article belongs to the Special Issue Genetic Diversity, Ecology and Conservation of Endangered Species)
Show Figures

Figure 1

15 pages, 3981 KB  
Article
Haemorrhagic Artefacts Produced by Ant Activity on Human Cadavers in the Early Post-Mortem Period
by Yogesh Kumar, Edda E. Guareschi, Himender Bharti and Paola A. Magni
Forensic Sci. 2023, 3(3), 506-520; https://doi.org/10.3390/forensicsci3030035 - 3 Sep 2023
Cited by 3 | Viewed by 6233
Abstract
Forensic entomology is primarily focused on using carrion blow flies and beetles (Diptera and Coleoptera) to estimate the time since death. However, insect artefacts, such as footprints, defecations, regurgitations, and splatters are also considered within the disciplines of bloodstain pattern analysis (BPA), and [...] Read more.
Forensic entomology is primarily focused on using carrion blow flies and beetles (Diptera and Coleoptera) to estimate the time since death. However, insect artefacts, such as footprints, defecations, regurgitations, and splatters are also considered within the disciplines of bloodstain pattern analysis (BPA), and ants (Hymenoptera: Formicidae) have been studied in forensic pathology for their potential to alter bodies. Although ant activity has been mostly reported as “dry marks” (abrasions) on decomposing bodies, their colonisation of congested or hypostatic anatomical regions can produce alterations that mimic active or recent haemorrhages. Therefore, if a body exhibits external haemorrhage/s without any apparent origin, artefacts caused by insects, such as ants, should be considered. This study describes ten cases of post-mortem ant activity observed in the Andaman and Nicobar Islands (India), and analyses the resulting external haemorrhagic artefacts, which exhibit different patterns of morphology, distribution, and location. The study proposes a classification system to aid in identifying bloodstain patterns caused by ant activity, assisting in determining the mechanism/s of the lesions, the original position of the body, and any subsequent interactions with the surrounding environment. Ultimately, this classification can improve the accuracy of reconstructing the events that occurred during the early post-mortem period, as well as the circumstances surrounding death. Full article
Show Figures

Figure 1

13 pages, 668 KB  
Article
First Interaction Network of Sarcosaprophagous Fauna (Acari and Insecta) Associated with Animal Remains in a Mediterranean Region (Northern Spain)
by Sandra Pérez-Martínez and María Lourdes Moraza
Insects 2022, 13(7), 610; https://doi.org/10.3390/insects13070610 - 6 Jul 2022
Cited by 2 | Viewed by 2742
Abstract
The potential of insects for forensic investigations has been known for more than 700 years. However, arthropods such as mites could also play a role in these investigations. The information obtained from insects, together with their phoretic mites, is of special interest in [...] Read more.
The potential of insects for forensic investigations has been known for more than 700 years. However, arthropods such as mites could also play a role in these investigations. The information obtained from insects, together with their phoretic mites, is of special interest in terms of estimating the time and geographical location of death. This paper presents the first interaction network between phoretic mites and their host insects in Navarra. It also reports the first time that an interaction network was applied to animal remains of forensic relevance. The data reveal the degrees of specificity of the interactions established, the biological and ecological characteristics of the mites at the time of association, and factors that played important roles in the mites’ dispersion. Fauna was collected using 657 traps baited with 20 g of pig carrion over a year. Only 0.6% of insects collected carried phoretic mites. The network comprised 312 insects (275 beetles, 37 flies) and 1533 mites and was analyzed using various packages of the R programming language. We contribute new host insect records for 15 mites, 3 new records of insects as hosts, 5 new mite records for the Iberian Peninsula, and 2 new mites records and 8 new insect records for Navarra. Full article
(This article belongs to the Section Insect Ecology, Diversity and Conservation)
Show Figures

Figure 1

18 pages, 1158 KB  
Article
Carcasses at Fixed Locations Host a Higher Diversity of Necrophilous Beetles
by Christian von Hoermann, Tomáš Lackner, David Sommer, Marco Heurich, M. Eric Benbow and Jörg Müller
Insects 2021, 12(5), 412; https://doi.org/10.3390/insects12050412 - 4 May 2021
Cited by 16 | Viewed by 5715
Abstract
In contrast to other necromass, such as leaves, deadwood, or dung, the drivers of insect biodiversity on carcasses are still incompletely understood. For vertebrate scavengers, a richer community was shown for randomly placed carcasses, due to lower competition. Here we tested if scavenging [...] Read more.
In contrast to other necromass, such as leaves, deadwood, or dung, the drivers of insect biodiversity on carcasses are still incompletely understood. For vertebrate scavengers, a richer community was shown for randomly placed carcasses, due to lower competition. Here we tested if scavenging beetles similarly show a higher diversity at randomly placed carcasses compared to easily manageable fixed places. We sampled 12,879 individuals and 92 species of scavenging beetles attracted to 17 randomly and 12 at fixed places exposed and decomposing carcasses of red deer, roe deer, and red foxes compared to control sites in a low range mountain forest. We used rarefaction-extrapolation curves along the Hill-series to weight diversity from rare to dominant species and indicator species analysis to identify differences between placement types, the decay stage, and carrion species. Beetle diversity decreased from fixed to random locations, becoming increasingly pronounced with weighting of dominant species. In addition, we found only two indicator species for exposure location type, both representative of fixed placement locations and both red listed species, namely Omosita depressa and Necrobia violacea. Furthermore, we identified three indicator species of Staphylinidae (Philonthus marginatus and Oxytelus laqueatus) and Scarabaeidae (Melinopterus prodromus) for larger carrion and one geotrupid species Anoplotrupes stercorosus for advanced decomposition stages. Our study shows that necrophilous insect diversity patterns on carcasses over decomposition follow different mechanisms than those of vertebrate scavengers with permanently established carrion islands as important habitats for a diverse and threatened insect fauna. Full article
(This article belongs to the Section Insect Ecology, Diversity and Conservation)
Show Figures

Graphical abstract

13 pages, 2187 KB  
Article
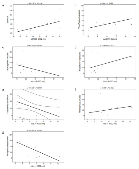
Effect of Granulometric Composition of the Soil on the Occurrence of Carrion Beetles (Coleoptera: Silphidae)
by Karolina Konieczna, Zbigniew W. Czerniakowski and Małgorzata Szostek
Appl. Sci. 2021, 11(3), 1017; https://doi.org/10.3390/app11031017 - 23 Jan 2021
Cited by 1 | Viewed by 2474
Abstract
The entomological material was collected in the years 2009–2012 and 2014 from 13 different habitat types from three localities in south-eastern Poland. In total, 11,095 Silphidae were collected. This study examined whether the percentage of individual soil granulometric fractions was significantly related to [...] Read more.
The entomological material was collected in the years 2009–2012 and 2014 from 13 different habitat types from three localities in south-eastern Poland. In total, 11,095 Silphidae were collected. This study examined whether the percentage of individual soil granulometric fractions was significantly related to the total abundance of collected Silphidae and individual carrion beetle species. A positive correlation and a statistically significant correlation were found between the total number of specimens collected and the share of the mechanical fraction with a diameter of 0.05–0.002 mm (silt fraction). In three species, a statistically significant correlation was demonstrated between the number of collected Silphidae and the share of the mechanical fraction with a diameter of 2–0.05 mm (sand fraction). The two species Phosphuga atrata atrata and Nicrophorus vespilloides the correlation was positive. A statistically significant relationship was also observed for Thanatophilus sinuatus, but the correlation was negative. With regard to the mechanical fraction with a diameter <0.002 mm (clay fraction), a statistically significant relationship was demonstrated for Oiceoptoma thoracicum and for Nicrophorus vespilloides for which the correlation was negative. However, a positive correlation was found for T. sinuatus in this case. Full article
(This article belongs to the Section Environmental Sciences)
Show Figures

Figure 1

12 pages, 1283 KB  
Article
Olfactory Choice for Decomposition Stage in the Burying Beetle Nicrophorus vespilloides: Preference or Aversion?
by Pablo J. Delclos, Tammy L. Bouldin and Jeffery K. Tomberlin
Insects 2021, 12(1), 11; https://doi.org/10.3390/insects12010011 - 26 Dec 2020
Cited by 7 | Viewed by 3607
Abstract
Sensory cues predicting resource quality are drivers of key animal behaviors such as preference or aversion. Despite the abundance of behavioral choice studies across the animal kingdom, relatively few studies have tested whether these decisions are driven by preference for one choice or [...] Read more.
Sensory cues predicting resource quality are drivers of key animal behaviors such as preference or aversion. Despite the abundance of behavioral choice studies across the animal kingdom, relatively few studies have tested whether these decisions are driven by preference for one choice or aversion to another. In the burying beetle Nicrophorus vespilloides, adult pairs exhibit parental care to raise their offspring on a small carrion resource. We tested whether carrion decomposition stage affected brood quantity and quality and found that mating pairs had significantly more offspring on fresher carcasses. To determine whether this observed reproductive benefit correlates with maternal preference behavior, we conducted a series of olfactory trials testing mated female preferences for mouse carcasses of differing decomposition stages. When given the option between fresh and older carcasses, females associated significantly more with fresher, 1-day old carcasses. However, this behavior may be driven by aversion, as females that were given a choice between the 7-day old carcass and a blank control spent significantly more time in the control chamber. We characterized volatile organic compound profiles of both carcass types, highlighting unique compounds that may serve as public information (sensu lato) conveying resource quality information to gravid beetles. Full article
(This article belongs to the Section Insect Behavior and Pathology)
Show Figures

Figure 1

16 pages, 1472 KB  
Article
Local and Landscape Effects on Carrion-Associated Rove Beetle (Coleoptera: Staphylinidae) Communities in German Forests
by Sandra Weithmann, Jonas Kuppler, Gregor Degasperi, Sandra Steiger, Manfred Ayasse and Christian von Hoermann
Insects 2020, 11(12), 828; https://doi.org/10.3390/insects11120828 - 24 Nov 2020
Cited by 11 | Viewed by 4953
Abstract
Intensification of anthropogenic land use is a major threat to biodiversity and thus to essential ecosystem services provided by insects. Rove beetles (Coleoptera: Staphylinidae), which react sensitively to habitat changes, are species-rich colonizers of vertebrate cadavers and contribute to the important ecosystem service [...] Read more.
Intensification of anthropogenic land use is a major threat to biodiversity and thus to essential ecosystem services provided by insects. Rove beetles (Coleoptera: Staphylinidae), which react sensitively to habitat changes, are species-rich colonizers of vertebrate cadavers and contribute to the important ecosystem service of carrion decomposition. The unveiling of anthropogenic and environmental drivers that modify carrion-associated rove beetle communities should improve our understanding of the plasticity of cadaver decay. We report the presence of 80 rove beetle species on 65 decomposing piglet cadavers at forest sites characterized by a gradient of management intensity across three geographic regions in Germany. Local and landscape drivers were revealed that shape beetle abundance, diversity, and community composition. Forest management and regions affect rove beetle abundance, whereas diversity is influenced by local habitat parameters (soil pH, litter cover) and regions. The community composition of rove beetles changes with management intensification by promoting generalist species. Regarding single species, Philonthus decorus and Anotylus mutator are linked to unmanaged forests and Ontholestes tessellatus to highly used forest stands. The spatial information provided about carrion-associated rove beetle communities in German forests is not only of carrion-ecological but also of forensic entomological interest. Full article
(This article belongs to the Section Insect Ecology, Diversity and Conservation)
Show Figures

Graphical abstract

16 pages, 1780 KB  
Article
The Attraction of the Dung Beetle Anoplotrupes stercorosus (Coleoptera: Geotrupidae) to Volatiles from Vertebrate Cadavers
by Sandra Weithmann, Christian von Hoermann, Thomas Schmitt, Sandra Steiger and Manfred Ayasse
Insects 2020, 11(8), 476; https://doi.org/10.3390/insects11080476 - 27 Jul 2020
Cited by 29 | Viewed by 6771
Abstract
During decomposition, vertebrate carrion emits volatile organic compounds to which insects and other scavengers are attracted. We have previously found that the dung beetle, Anoplotrupes stercorosus, is the most common dung beetle found on vertebrate cadavers. Our aim in this study was [...] Read more.
During decomposition, vertebrate carrion emits volatile organic compounds to which insects and other scavengers are attracted. We have previously found that the dung beetle, Anoplotrupes stercorosus, is the most common dung beetle found on vertebrate cadavers. Our aim in this study was to identify volatile key compounds emitted from carrion and used by A. stercorosus to locate this nutritive resource. By collecting cadaveric volatiles and performing electroantennographic detection, we tested which compounds A. stercorosus perceived in the post-bloating decomposition stage. Receptors in the antennae of A. stercorosus responded to 24 volatiles in odor bouquets from post-bloating decay. Subsequently, we produced a synthetic cadaver odor bouquet consisting of six compounds (benzaldehyde, DMTS, 3-octanone, 6-methyl-5-hepten-2-ol, nonanal, dodecane) perceived by the beetles and used various blends to attract A. stercorosus in German forests. In field assays, these beetles were attracted to a blend of DMTS, 3-octanone, and benzaldehyde. Generalist feeding behavior might lead to the super-dominant occurrence of A. stercorosus in temperate European forests and have a potentially large impact on the exploitation and rapid turnover of temporally limited resources such as vertebrate cadavers. Full article
Show Figures

Graphical abstract

Back to TopTop