Next Article in Journal
Effects of a Hydraulic Series Connection and Flow Direction on Electricity Generation in a Stack Connected with Different Volume MFCs
Previous Article in Journal
Compact Beam Homogenizer Module with Laser-Fabricated Lens-Arrays
 
 
Font Type:
Arial Georgia Verdana
Font Size:
Aa Aa Aa
Line Spacing:
Column Width:
Background:
Article

Effect of Granulometric Composition of the Soil on the Occurrence of Carrion Beetles (Coleoptera: Silphidae)

by
Karolina Konieczna
1,*,
Zbigniew W. Czerniakowski
1 and
Małgorzata Szostek
2
1
Department of Agroecology and Forest Utilization, College of Natural Sciences, University of Rzeszów, Ćwiklińskiej 1, 35-601 Rzeszów, Poland
2
Department of Soil Science, Environmental Chemistry and Hydrology, College of Natural Sciences, University of Rzeszów, Zelwerowicza 8B, 35-601 Rzeszów, Poland
*
Author to whom correspondence should be addressed.
Appl. Sci. 2021, 11(3), 1017; https://doi.org/10.3390/app11031017
Submission received: 10 December 2020 / Revised: 11 January 2021 / Accepted: 19 January 2021 / Published: 23 January 2021
(This article belongs to the Section Environmental Sciences)

Abstract

The entomological material was collected in the years 2009–2012 and 2014 from 13 different habitat types from three localities in south-eastern Poland. In total, 11,095 Silphidae were collected. This study examined whether the percentage of individual soil granulometric fractions was significantly related to the total abundance of collected Silphidae and individual carrion beetle species. A positive correlation and a statistically significant correlation were found between the total number of specimens collected and the share of the mechanical fraction with a diameter of 0.05–0.002 mm (silt fraction). In three species, a statistically significant correlation was demonstrated between the number of collected Silphidae and the share of the mechanical fraction with a diameter of 2–0.05 mm (sand fraction). The two species Phosphuga atrata atrata and Nicrophorus vespilloides the correlation was positive. A statistically significant relationship was also observed for Thanatophilus sinuatus, but the correlation was negative. With regard to the mechanical fraction with a diameter <0.002 mm (clay fraction), a statistically significant relationship was demonstrated for Oiceoptoma thoracicum and for Nicrophorus vespilloides for which the correlation was negative. However, a positive correlation was found for T. sinuatus in this case.

1. Introduction

Taxa of epigeic insects belonging to the carrion beetle family (Coleoptera: Silphidae) are associated with the presence of carrion [1,2,3], which constitutes a valuable but unstable source of nutrients for them. Carrion is usually subjected to rapid changes under the influence of biotic (scavenger animals, bacteria, and fungi) and abiotic (e.g., temperature and humidity) factors. Therefore, rapid burying of carcasses by carrion beetles reduces potential competitors [4,5] and preserves food.
Soil granulometric composition is an important parameter of the soil of the habitat and is a key factor regulate soil physical properties. Content of sand, silt, and clay fraction regulate water movement, bulk density, porosity, plasticity, etc. For example, smaller particles (clays) having higher specific surface area than sand particles. These surfaces hold water through adhesion, exchange nutrients, and provide surfaces to which organic matter can attach. Sandy soils (>90% sand) have low specific surface area, resulting in large pores and high infiltration rates, whereas clay soils (>60% clay) have high specific surface area, resulting in small pores and low infiltration rates [6]. This factors can extremely affected occurrence of carrion beetles [7,8,9].
As demonstrated by Muths [7], the rate of carcass burying is influenced by many factors of which soil structure and moisture are of particular importance. For the occurrence and reproductive success of insects belonging to the subfamily Nicrophorinae, the physical properties of the soil appear to be of particular importance, especially for small species [1,8,9,10]. These species tend to prefer loose, moist soils rich in organic matter that are easier to penetrate. In such soils it is possible to bury carrion quickly and effectively. If the soil is too dense, insects cannot penetrate it. However, it need attention that soil that is too loose may not maintain the form of a hole (brood chamber—in the case of Nicrophorinae), leading to its burial and suffocation [11]. In turn, larger species prefer open areas where the soil is drier and sandier [8].
These relationships prompted us to undertake a closer examination of the relationship between the number of collected Silphidae (Silphinae and Nicrophorinae) and the physical parameters of the soil, in particular the percentage of soil mechanical fractions.

2. Materials and Methods

2.1. Research Area

The study was carried out in various habitats of south-eastern Poland in 2009–2012 and 2014. The sites were located in Borek Stary (UTM EA73), Rzeszów (UTM EA74) and Widna Góra (UTM FA13/FA23) on 13 research localities (Table 1; Figure 1).
The research sites were located in Borek Stary covered habitats in areas used for agriculture but excluded from direct management (wasteland). There were two types of mid-field trees (sites 2 and 3) and mid-field balks (an unplowed strip) separating the cultivation of a mixture of cereals and pasture (site 1).
In Rzeszów, carrion beetles were collected at three sites. In suburban areas, i.e., in an area with a greater degree of urbanization, the selected research sites included wooded sites: Salix viminalis osier plantation (site 4), a cluster of trees and shrubs (site 5), and a city park (site 6).
The research sites in Widna Góra, like in Borek Stary, were located in agricultural areas. However, these sites were used economically and included: a potato Solanum tuberosum cultivation (site 10), the cultivation of Beta vulgaris, semi-sugar type of fodder beet; Zentaur Poly variety (site 11), Avena sativa, Hordeum vulgare, Triticum aestivum cultivated for forage (site 12), and a backyard orchard (site 13). Additionally, the study covered the mid-field balks adjacent to the above-mentioned crops (site 7, 8, and 9).

2.2. Analysis of Soil Granulometric Composition

Soil samples were collected at all test sites and air dried after been brought to laboratory in room temperatures (21 °C) by 2 weeks. The granulometric composition was analyzed using the hydrometer method [12,13]. The division of soils into granulometric subgroups was based on the recommendations of the United States Department of Agriculture (USDA) [14].

2.3. Collection of Entomological Material

Modified Barber traps (Figure 2 and Figure 3) were used for catching the adult carrion beetles (Coleoptera: Silphidae). Four traps were set up on the test sites and were dug in line with the soil surface. Containers were filled one-third with ethylene glycol solution. The traps were covered with a plastic lid to prevent excessive contamination from rain and vegetation (e.g., falling leaves). On the roof, a bait was attached with a wire, it consisted of pieces of chicken weighing about 100 g. The trap was additionally surrounded with a metal mesh to prevent predators (e.g., foxes, cats, dogs, and birds) from eating the bait and destroying them. Holes in the metal mesh were approximately 2 cm, which allowed the beetles to pass into the trap with bait without thereby affecting the catchability of the insects. The same type of bait was used at each site, with an average weight of 100 g. The research was carried out from May to October. The traps were emptied on average every two weeks, and the preservative fluid was changed and a new bait was put out. The captured entomological material was then analyzed.

2.4. Nomenclature and Statistical Analysis

The systematic and nomenclature of the carrion beetles were adopted in accordance with the study by Löbl and Löbl [15], and the beetles were identified according to Mroczkowski [16] and Šustek [17].
To assess the biodiversity of the collected entomological material, the Brillouin species diversity index (Ĥ), the Margalef index (biodiversity index) and domination index (D = 1-Simpson index) were used. These analyses were performed using PAST 1.93 software [18]. The dominance classes were adopted from Górny and Grüm [19].
A chi-square test for the significance of the association was provided. The normality of the distributions was verified using the Shapiro–Wilk test. Based on the obtained results, a decision was made to select a specific type of test: parametric or non-parametric. The impact of environmental variables on beetle assemblages, which included physical parameters (weight percentage of individual fractions in earth parts) was determined by using two tests. Pearson’s linear correlation test (r Pearson) was used for the analysis of the examined traits with normal distribution. In the case the distributions of the examined features deviated from the normal, the non-parametric Spearman rank correlation.
All the necessary analyses were performed in the PQStat ver. 1.8.0.488 (PQStat Software 2020, Poznań, Poland) and Statistica 10 software package (Statistica software V 10.0, StatSoft Inc., Tulsa, USA).
PQStat Statistical Program version 1.6.2 [20] and Statistica 10 software [21]. The significance level (the maximum permissible probability of making a type I error) was set at α ≤ 0.05.

3. Results

3.1. Soil Granulometric Composition

The results of the granulometric composition for soil samples from the test areas are presented in Table 2 and Figure 4. The following mineral deposits were found: (i) silt loam (SiL)—sites 1–5, 7–11, and 13; (ii) silty clay-loam (SiCL)—site 12; and (iii) sandy loam (SL)—site 6.

3.2. Silphidae Species Composition

Figure 5 shows the five year (2009–2012, and 2014) beetle collection numbers. A total of 11,095 carrion beetles were collected.
The obtained specimens were classified into 13 species and 5 genera, which according to Löbl and Löbl [15], account for 59% of the Polish Silphidae fauna. In total, 876 samples were analyzed. Statistically significant differences were found between the number of specimens caught at individual sites (p < 0.05). However, no differences in the number of species were found (p = 0.9828).
Selected parameters of α-diversity and the results of fauna analysis for the sites, which were not included in the studies of Konieczna et al. [20,21] (sites 4 and 13), are presented in Table S1 and Figure S1.
The Brillouin diversity index (Ĥ), which is more sensitive to the overall sample size than the Shannon–Weaver index, ranged from 0.752 to 1.991 at the examined sites. The values of the Margalef’s diversity index, calculated on the basis of the natural logarithm (ln), ranged from 1.136 to 2.073 at the examined sites. Conversely, the dominance index ranged from 0.156 (site 2) to 0.628 (site 10).

3.3. Influence of Soil Granulometric Composition on the Occurrence of Silphidae

The weight percentage of sand, silt, and clay fractions in the soil at individual sites was varied and statistically significant (χ2 = 171.05, DF = 24, p < 0.000001). By means of the correlation test we verified the presence of a relationship between the percentage content of individual fractions and the total number of harvested Silphidae, and whether there was a relationship between the percentage content of individual fractions and the abundance of individual Silphidae species (Table 3).
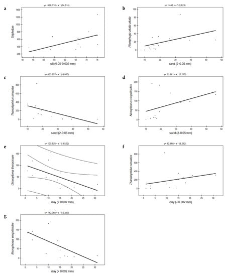
A positive correlation and a statistically significant relationship were found between the total number of collected specimens and the share of the mechanical fraction with a diameter of 0.05–0.002 mm (silt fraction): RS = 0.648222 (Figure 6a). For the mechanical fraction with a diameter of 2–0.05 mm (sand fraction) the correlation was negative, but statistically insignificant. Conversely, for the mechanical fraction with a diameter <0.002 mm (clay fraction), there was no relationship (no correlation; RS = 0).
A statistically significant relationship between the number of collected Silphidae and the share of the mechanical fraction with a diameter of 2–0.05 mm (sand fraction) was demonstrated for three species. In the case of Phosphuga atrata atrata (Figure 6b) and Nicrophorus vespilloides (Figure 6d) the correlation was positive. A statistically significant correlation was also found for Thanatophilus sinuatus (Figure 4c), however the correlation was negative.
With regard to the mechanical fraction with a diameter of <0.002 mm (clay fraction), a statistically significant relationship was observed for Oiceoptoma thoracicum (Figure 6e) and N. vespilloides (Figure 6g), for which the correlation was negative. However, for T. sinuatus (Figure 6f), a positive correlation was found in this case.

4. Discussion

The soil preferences of Silphidae were previously investigated by i.e., Novák [22,23], Trumbo and Bloch [24], Bishop et al. [25], Bedick et al. [26]. The studies of Bishop et al. [25], Jakubec and Růžička [27] and Hoermann et al. [28], also present the relationships for the Silphinae subfamily (the first two papers mentioned) in addition to statistical analysis. Nevertheless, with respect to Silphidae (especially Silphinae), some environmental factors, especially those related to the soil environment, still remain unrecognized.
The soil granulometric composition is an important physical parameter of mineral soils. It determines almost all physical, chemical, and biological properties of soils. In line with our expectations, the study showed that the soil grain size composition was an important factor influencing the settlement of Silphidae. Taking into account the influence of the soil particle size distribution on the Silphidae assemblages in general, it was shown that only one statistically significant factor influenced the occurrence of beetles. It was observed that with the percentage increase of the silt fraction, the total number of specimens increased. The sites with the highest percentage of this mechanical fraction (>70%; site 1, 2, 3, 10, and 13) were characterized by a higher number of collected Silphidae, although the quantitative structure of these areas was dominated by the presence of two species: T. sinuatus and N. vespilloides. Moreover, the studies by Hoermann et al. [28] proved that the Simpson dominance coefficient showed an upward trend along with a higher silt content at the examined sites.
The relationship between the percentage of sand fraction and the total abundance of Silphidae was negatively correlated, although statistically insignificant. However, other studies indicated that this fraction had a significant impact on the hunting ability of carrion beetles [5,25].
Conversely, there was no correlation between the number of the carrion beetles and the percentage of the clay fraction (RS = 0). The obtained result is partially consistent with studies by Hoermann et al. [28], where this fraction was insignificant as the only predictive variable. Despite differences in statistical interpretation, both results generally suggest no relationship between the content of this mechanical fraction and the abundance of Silphidae.
In terms of representatives of the genus Nicrophorus, the results obtained by us were consistent with studies by other authors on one species—N. vespilloides. Moreover, it was the only Nicrophorus species that showed a statistically significant relationship between the mechanical fraction of the soil and the abundance. The abundance of this species increased in the sites with a higher percentage of sand (sites 3, 4, 5, and 6). Hoermann et al. [28] showed this relationship not only for N. vespilloides, but also for Nicrophorus humator. In our study, this tendency was observed at sites where a simultaneous decrease in the content of the clay fraction was noted, with which the number of N. vespilloides was negatively correlated and statistically significant. We also found a positive correlation with N. humator, but the correlation was insignificant.
The impact of the content of sand fractions on the occurrence of beetles varies (is positively or negatively correlated, statistically significant or insignificant) for different species. Lomolino et al. [5] showed a relationship between an increase in the catchability of Nicrophorus americanus and an increase in sand fractions, with a simultaneous decrease in the content of silt and clay fractions, which is partially consistent with our results for N. vespilloides. Conversely, the occurrence of Nicrophorus orbicollis and N. marginatus was not statistically related to the sand fraction. In contrast, for N. marginatus and Nicrophorus tomentosus Bishop et al. [25] showed the dependence of the abundance of the mentioned species in relation to the sand fraction, which was positively correlated.
For the remaining representatives of this genus, the analysis of the percentage dependence of the individual soil mechanical fractions (silt and clay fractions) and catchability and the number of individuals showed a different correlation (positive or negative) but was statistically insignificant. It is worth noting, however, that for all recorded representatives of this genus (6 species), despite the statistical insignificance, the correlation between the number of beetles and the content of silt fractions was positive. The preference of such surfaces may be related to the properties of this fraction, which increases water infiltration, especially in light sandy soils.
The abundance of O. thoracicum showed an upward trend in the sites where a decrease in the percentage of the clay fraction was observed. It was also observed that the abundance of this species increased in sampled areas with more abundant sand fractions. Although this correlation was not statistically significant, the same tendency was observed for the previously mentioned N. vespilloides. Despite taxonomic and ecological diversity, they are considered forest species and prefer similar habitats [29]. Both mentioned species of Silphidae were indicated in the study conducted by Jakubec and Růžička [27]; however, due to the unrepresentative number of the collected specimens, they were not included in the statistical analysis.
The same authors indicated that P. atrata atrata, a species which, also due to its low number, was not analyzed (n = 1). On the other hand, in our study, P. atrata atrata occurred in greater numbers (n = 470), much more in areas where the percentage of sand fraction was within the range of 19–56% (mean: 34.6% ± 14.11), compared to areas with sand fractions in the range of 10–19% (average: 15.0% ± 2.94).
Another representative of Silphinae showing significant correlations between the number of collected specimens and the percentage of soil mechanical fractions was T. sinuatus. It was the most abundant species of all the Silphidae collected (n = 3599). Its number was negatively correlated with the percentage of sand fraction, and positively with the clay fraction. The number of T. sinuatus, exceeding 100 individuals, was observed in sites with a lower percentage of sand fraction (average sand fraction content in sites with more than 100 individuals—15.62% ± 3.02, compared to sites with less than 100 individuals—33.6% ± 15.59) and higher percentage content of the clay fraction (the average content of the clay fraction at sites with more than 100 individuals—17.0% ± 6.90, compared to sites with less than 100 individuals—6.4% ± 5.12). In the study by Jakubec and Růžička [27], it was also the most numerous species, showing a statistically significant correlation between the number of individuals caught and the soil type. The authors showed that T. sinuatus was caught on alluvial more often than in black soils.
Studies of entomofauna inhabiting sandy sites (including dunes) showed a very large number of this species, which is often dominant [30,31,32], which contrasts with our results. Conversely, Wolender and Zych [33] did not show the presence of this species in their observations of coleopterofauna of beaches and dunes.
Studies on the presence of other representatives of the genus Thanatophilus showed that T. lapponicus was present almost exclusively in pastures with sandy soils and avoided sandy farmlands. Contrasting results have been reported for T. truncatus, which, as a generalist species, appears to be less susceptible to the effects of agriculture [25]. Furthermore, in Lingafelter’s study [34], both of these species were more numerous on open, sandy prairies, avoiding forests and non-sandy sites.
It can be assumed that the greater presence of T. sinuatus in arable fields is related to the physical properties of the outer part of the soil, which due to agricultural use does not form a compact and uniform layer, allowing insects to bury themselves in periods of reduced activity [25] or lay eggs near carrion [1]. Both males and females are polygamous and can mate multiple times in a single day [35]. Due to the high reproductive activity of this West Palearctic species (iteropathic species; three generations per year) [17], the existence of certain relationships related to the occurrence of this species and the soil structure should be expected.

5. Conclusions

  • Soil granulometric composition is an important parameter of the soils of the habitat and may determining their colonization by the carrion beetles (Coleoptera: Silphidae).
  • A positive correlation and a statistically significant relationship were found between the total number of Silphidae and the share of the mechanical fraction of soil with a diameter of 0.05–0.002 mm (silt fraction).
  • In the case of representatives of Nicrophorinae, the only species showing a statistically significant relationship between the abundance and the proportion of mechanical fractions was N. vespilloides.
  • Among the representatives of Silphinae, a statistically significant relationship between the abundance and the content of soil mechanical fractions occurred in the case of O. thoracicum. P. atrata atrata, and T. sinuatus.

Supplementary Materials

The following are available online at https://www.mdpi.com/2076-3417/11/3/1017/s1. Table S1: Species composition, abundance and dominant relations of Silphidae caught at individual sites, Figure S1: Dominance relations of Silphidae caught on each study sites. Data from two-year studies were averaged. Dominance structure was described according to the scale: ED—eudominants (above 10.0%), D—dominants (5.1–10.0%), SD—subdominants (2.1–5.0%), R—recedents (1.1–2.0%) and SR—subrecedents (below 1.0%) [19].

Author Contributions

Conceptualization, K.K. and Z.W.C.; methodology, K.K. and M.S.; software, K.K.; validation, K.K., Z.W.C., and M.S.; formal analysis, K.K., Z.W.C., and M.S.; investigation, K.K. and M.S.; resources, K.K.; data curation, K.K.; writing—original draft preparation, K.K.; writing—review and editing, Z.W.C.; visualization, K.K.; supervision, Z.W.C.; project administration, Z.W.C.; funding acquisition, Z.W.C. All authors have read and agreed to the published version of the manuscript.

Funding

The project is financed by the program of the Minister of Science and Higher Education named “Regional Initiative of Excellence” in the years 2019–2022, project number 026/RID/2018/19.

Institutional Review Board Statement

Not applicable.

Informed Consent Statement

Not applicable.

Data Availability Statement

Department of Agroecology and Forest Utilization, College of Natural Sciences, University of Rzeszów.

Conflicts of Interest

The authors declare no conflict of interest.

References

  1. Anderson, S.; Peck, B. The Insects and Arachnids of Canada, Part 13: The Carrion Beetles of Canada and Alaska (Coleoptera: Silphidae and Agyrtidae); Agriculture Canada: Ottawa, ON, Canada, 1985; p. 121. ISBN 0-662-11752-5. [Google Scholar]
  2. Sikes, D. Silphidae Latreille, 1807. In Handbook of Zoology, Vol. IV: Arthropoda: Insecta, Part 38: Coleoptera, Beetles. Vol. 1: Morphology and Systematics (Archostemata, Adephaga, Myxophaga, Polyphaga); Beutel, R.G., Leschen, R.A.B., Eds.; Walter de Gruyter: Berlin, Germany, 2008; pp. 288–296. [Google Scholar]
  3. Sikes, D. Carrion Beetles (Coleoptera: Silphidae). In Encyclopedia of Entomology, 2nd ed.; Capinera, J.L., Ed.; Springer: Berlin, Germany, 2008; Volume 4, pp. 749–758. ISBN 978-1-4020-6242-1. [Google Scholar]
  4. Trumbo, S.T. Monogamy to communal breeding: Exploitation of a broad resource base by burying beetles (Nicrophorus). Ecol. Entomol. 1992, 17, 289–298. [Google Scholar] [CrossRef]
  5. Lomolino, M.V.; Creighton, J.C.; Schnell, G.D.; Certain, D.L. Ecology and conservation of the endangered American burying beetle (Nicrophorus americanus). Conserv. Biol. 1995, 9, 605–614. [Google Scholar] [CrossRef]
  6. Hatten, J.; Liles, G. Chapter 15: A ‘healthy’ balance: The role of physical and chemical properties in maintaining forest soil function in a changing world. In Global Change and Forest Soils: Cultivating Stewardship of a Finite Natural Resource; Busse, M., Page-Dumroese, D.S., Morris, D.M., Giardana, C.P., Eds.; Developments in Soil Science; Elsevier: Amsterdam, The Netherlands, 2015; Volume 36, pp. 373–396. [Google Scholar]
  7. Muths, E.L. Substrate discrimination in burying beetles, Nicrophorus orbicollis (Coleoptera: Silphidae). J. Kans. Entomol. Soc. 1991, 64, 447–450. [Google Scholar]
  8. Scott, M.P. The ecology and behavior of burying beetles. Annu. Rev. Entomol. 1998, 43, 595–618. [Google Scholar] [CrossRef]
  9. Creighton, J.C.; Vaughn, C.C.; Chapman, B.R. Habitat preference of the endangered American burying beetle (Nicrophorus americanus) in Oklahoma. Southw. Nat. 1993, 38, 275–277. [Google Scholar] [CrossRef]
  10. Otronen, M. The effects of body size on the outcome of fights in burying beetles (Nicrophorus). Ann. Zool. Fenn. 1988, 25, 191–201. [Google Scholar]
  11. Kevan, D.K.M. Soil Animals; Philosophical Library: New York, NY, USA, 1962; p. 237. [Google Scholar]
  12. Mocek, A.; Drzymała, S.; Maszner, P. Genesis, Analysis and Classification of Soils; Agric. Univ. Press: Poznań, Poland, 2000; p. 416. (In Polish) [Google Scholar]
  13. Lovelland, P.J.; Whalley, W.R. Particle size analysis. In Soil and Environmental Analysis Physical Method; Smith, K.A., Mullins, C.E., Eds.; Dekker Press: New York, NY, USA, 2001; pp. 271–328. [Google Scholar]
  14. Ditzler, C.; Scheffe, K.; Monger, H.C. Soil Science Division Staff. Soil Survey Manual. USDA Handbook 18; Government Printing Office: Washington, DC, USA, 2017; p. 603. [Google Scholar]
  15. Löbl, L.; Löbl, D. Catalouge of Palearctic Coleoptera. Hydrophiloidea-Staphylinoidea; Revised and Updated ed.; Brill: Leiden, The Netherlands, 2015; Volume 2, p. 1702. ISBN 978-90-04-28992-5. [Google Scholar]
  16. Mroczkowski, M. Part XIX. Beetles-Coleoptera. Carrion Beetles-Silphidae. Keys to the Identification of Polish Insects; Państwowe Wydawnictvo Naukowe: Warszawa, Poland, 1955; Volume 4, p. 29. (In Polish) [Google Scholar]
  17. Šustek, Z. Czechoslovak carrion beetles (Coleoptera, Silphidae). Reports of the Czechoslovak Entomological Society ACCA. Klíče k určování hmyzu 1981, 2, 1–47. (In Czech) [Google Scholar]
  18. Hammer, Ø.; Harper, D.A.T.; Ryan, P.D. PAST: Paleontological statistics software package for education and data analysis. Palaeontol. Electron. 2001, 4, 1–9. [Google Scholar]
  19. Górny, M.; Grüm, L. Methods Using in Soil Zoology; PWN: Warszawa, Poland, 1981; p. 482. ISBN 8301028076. (In Polish) [Google Scholar]
  20. Konieczna, K.; Czerniakowski, Z.W.; Wolański, P. Assemblages of necrophilous carrion beetles (Col., Silphidae) in agriculturally used areas. Appl. Ecol. Environ. Res. 2019, 17, 2297–2313. [Google Scholar] [CrossRef]
  21. Konieczna, K.; Czerniakowski, Z.W.; Wolański, P. The occurrence and species richnes of necrophagous Silphidae (Coleoptera) in wooded areas in different degree of urbanization. Balt. J. Coleopterol. 2019, 19, 213–232. [Google Scholar]
  22. Novák, B. Sezónní výskyt hrobaříků v polních entomocenózách (Col. Silphidae). Acta Univ. Palacki. Olomuc. Fac. Rerum Nat. Math. 1961, 6, 45–114. [Google Scholar]
  23. Novák, B. Přispěvek k faunistice a ekologii hrobaříků (Col. Silphidae). Acta Univ. Palacki. Olomuc. Fac. Rerum Nat. Math. 1962, 11, 263–300. [Google Scholar]
  24. Trumbo, S.T.; Bloch, P.L. Habitat fragmentation and burying beetle abundance and success. J. Insect Conserv. 2000, 4, 245–252. [Google Scholar] [CrossRef]
  25. Bishop, A.A.; Hoback, W.W.; Albrecht, M.; Skinner, K.M. A comparison of an ecological model and GIS spatial analysis to describe niche partitioning amongst carrion beetles in Nebraska. Trans. GIS 2002, 6, 457–470. [Google Scholar]
  26. Bedick, J.C.; Hoback, W.W.; Albrecht, C. High water-loss rates and rapid dehydration in the burying beetle, Nicrophorus marginatus. Physiol. Entomol. 2006, 31, 23–29. [Google Scholar] [CrossRef]
  27. Jakubec, P.; Růžička, J. Is the type of soil an important factor determining the local abundance of carrion beetles (Coleoptera: Silphidae)? Eur. J. Entomol. 2015, 112, 747–754. [Google Scholar] [CrossRef]
  28. von Hoermann, C.; Jauch, D.; Kubotsch, C.; Reichel-Jung, K.; Steiger, S.; Ayasse, M. Effects of abiotic environmental factors and land use on the diversity of carrion-visiting silphid beetles (Coleoptera: Silphidae): A large scale carrion study. PLoS ONE 2018, 13, e0196839. [Google Scholar] [CrossRef]
  29. Dekeirsschieter, J.; Verheggen, F.; Lognay, G.; Haubruge, E. Large carrion beetles (Coleoptera, Silphidae) in Western Europe: A review. BASE 2011, 15, 435–447. [Google Scholar]
  30. Plaisier, F. Zur Besiedlung junger Düneninseln durch Lauf- und Aaskäfer (Coleoptera: Carabidae, Silphidae). Drosera 1988, 88, 69–82. [Google Scholar]
  31. Plaisier, F. The role of necrophagous beetles (Silphidae) in the breeding areas of the herring gull (Larus argentatus Pont.) in the coastal dunes of the North Sea. In The Ecology and Conservation of European Dunes; Novo, F.G., Crawford, R.M.M., Díaz Barradas, M.C., Eds.; Universidad de Sevilla: Seville, Spain, 1997; pp. 191–197. [Google Scholar]
  32. Bourell, B.; Martin-Bouyer, L.; Hedouin, V.; Caillliez, J.C.; Derout, D.; Gosset, G. Necrophilous Insect Succession on Rabbit Carrion in Sand Dune Habitats in Northern France. J. Med. Entomol. 1999, 36, 420–425. [Google Scholar]
  33. Wolender, M.; Zych, A. Beetles (Coleoptera) from seaside beach and dunes in the regions of Świnoujście, Międzyzdroje and Wisełka (Poland) located along the southern coast of the Baltic Sea. Balt. J. Coleopterol. 2007, 7, 61–71. [Google Scholar]
  34. Lingafelter, S.W. Diversity, habitat preference, and seasonality of Kansas carrion beetles (Coleoptera: Silphidae). J. Kans. Entomol. Soc. 1995, 68, 214–223. Available online: http://www.jstor.org/stable/25085584 (accessed on 16 November 2018).
  35. Neuer, C.; Peschke, K.; Frohnmeter, H. The Spermatophore of the Carrion Beetle Thanatophilus sinuatus: Biochemical Characterization of Proteins and Incorporation of Radioactively Labelled Amino Acids. Comp. Biochem. Physiol. 1996, 115B, 77–86. [Google Scholar] [CrossRef]
Figure 1. Location of research stands (Own work out based on https://upload.wikimedia.org/wikipedia/commons/6/6e/Podkarpackie_mapa_fizyczna.png).
Figure 1. Location of research stands (Own work out based on https://upload.wikimedia.org/wikipedia/commons/6/6e/Podkarpackie_mapa_fizyczna.png).
Applsci 11 01017 g001
Figure 2. Diagram of the Barber trap used in the study (authors).
Figure 2. Diagram of the Barber trap used in the study (authors).
Applsci 11 01017 g002
Figure 3. The Barber trap used in osier plantation Salix viminalis (authors).
Figure 3. The Barber trap used in osier plantation Salix viminalis (authors).
Applsci 11 01017 g003
Figure 4. United States Department of Agriculture (USDA) soil textural triangle. Soil samples from individual research sites are marked with triangles [14].
Figure 4. United States Department of Agriculture (USDA) soil textural triangle. Soil samples from individual research sites are marked with triangles [14].
Applsci 11 01017 g004
Figure 5. Box plots of Silphidae recorded in all investigated sites. The thick horizontal lines within the boxes indicate median values. On each box, the bottom and top edges of the box indicate the 25th and 75th percentiles, respectively. Small black circles are outliers.
Figure 5. Box plots of Silphidae recorded in all investigated sites. The thick horizontal lines within the boxes indicate median values. On each box, the bottom and top edges of the box indicate the 25th and 75th percentiles, respectively. Small black circles are outliers.
Applsci 11 01017 g005
Figure 6. Scatterplots showing correlation between: (i) percentage fraction of silt (0.05–0.002 mm) and numbers of Silphidae (a); (ii) percentage fraction of sand (2–0.05 mm) and numbers of P. atrata atrata (b), T. sinuatus (c), N. vespilloides (d); percentage fraction of clay (<0.002 mm) and numbers of O. thoracicum (e), T. sinuatus (f) and N. vespilloides (g).
Figure 6. Scatterplots showing correlation between: (i) percentage fraction of silt (0.05–0.002 mm) and numbers of Silphidae (a); (ii) percentage fraction of sand (2–0.05 mm) and numbers of P. atrata atrata (b), T. sinuatus (c), N. vespilloides (d); percentage fraction of clay (<0.002 mm) and numbers of O. thoracicum (e), T. sinuatus (f) and N. vespilloides (g).
Applsci 11 01017 g006
Table 1. Geographical characteristics, habitats, years of investigations, and numbers of samples at study area.
Table 1. Geographical characteristics, habitats, years of investigations, and numbers of samples at study area.
Locality
[UTM]
Geographical
Coordinates
HabitatStudy SiteYearsNumber of Samples *
Borek Stary
[EA 73]
49°56′49′′ N
22°6′8′′ E
mid-field balk aNo. 12009/201044/48
Borek Stary
[EA 73]
49°56′42′′ N
22°6′20′′ E
mid-field tree stand INo. 22009/201044/48
Borek Stary
[EA 73]
49°56′54′′ N
22°6′45′′ E
mid-field tree stand IINo. 32009/201044/48
Rzeszów
[EA 74]
49°59′59′′ N
22°1′35′′ E
osier plantationNo. 42011/201244/44
Rzeszów
[EA 74]
49°59′56 N
22°1′43′′ E
cluster of trees and shrubsNo. 52011/201244/44
Rzeszów
[EA 74]
50°0′9′′ N
22°1′53′′ E
urban parkNo. 62011/201244/44
Widna Góra
[FA13]
49°59′29′′ N
22°40′25′′ E
mid-field balk bNo. 7201448
Widna Góra
[FA23]
49°59′35′′ N
22°40′29′′ E
mid-field balk cNo. 8201448
Widna Góra
[FA23]
49°59′35′′ N
22°40′30′′ E
mid-field balk dNo. 9201448
Widna Góra
[FA13]
49°59′29′′ N
22°40′24′′ E
potato cropNo. 10201448
Widna Góra
[FA23]
49°59′35′′ N
22°40′28′′ E
fodder beet cropNo. 11201448
Widna Góra
[FA23]
49°59′35′′ N
22°40′30′′ E
cereal cropNo. 12201448
Widna Góra
[FA23]
49°59′36′′ N
22°40′28′′ E
backyard orchardNo. 13201448
a—mid-field balk between cereal crop and pasture, b—mid-field balk between potato crop and meadow, c—mid-field balk between fodder beet crop and cereal crop, d—mid-field balk between cereal crop and meadow, *—one sample constituted the content of one pitfall trap at one study site.
Table 2. Division of mineral deposits into granulometric subgroups according to the percentage of sand, silt and clay fractions of soil samples taken from test stands.
Table 2. Division of mineral deposits into granulometric subgroups according to the percentage of sand, silt and clay fractions of soil samples taken from test stands.
SitesFractionsProportion of Fractions [%]Texture (USDA)
Site 1sand (2–0.05 mm)16silt loam (SiL)
silt (0.05–0.002 mm)75
clay (<0.002 mm)9
Site 2sand (2–0.05 mm)19silt loam (SiL)
silt (0.05–0.002 mm)71
clay (<0.002 mm)10
Site 3sand (2–0.05 mm)26silt loam (SiL)
silt (0.05–0.002 mm)71
clay (<0.002 mm)3
Site 4sand (2–0.05 mm)39silt loam (SiL)
silt (0.05–0.002 mm)58
clay (<0.002 mm)3
Site 5sand (2–0.05 mm)33silt loam (SiL)
silt (0.05–0.002 mm)53
clay (<0.002 mm)14
Site 6sand (2–0.05 mm)56sandy loam (SL)
silt (0.05–0.002 mm)43
clay (<0.002 mm)1
Site 7sand (2–0.05 mm)17silt loam (SiL)
silt (0.05–0.002 mm)65
clay (<0.002 mm)18
Site 8sand (2–0.05 mm)16silt loam (SiL)
silt (0.05–0.002 mm)67
clay < 0.002 mm17
Site 9sand (2–0.05 mm)19silt loam (SiL)
silt (0.05–0.002 mm)66
clay < 0.002 mm15
Site 10sand (2–0.05 mm)10silt loam (SiL)
silt (0.05–0.002 mm)75
clay < 0.002 mm15
Site 11sand (2–0.05 mm)13silt loam (SiL)
silt (0.05–0.002 mm)66
clay (<0.002 mm)21
Site 12sand (2–0.05 mm)15silty clay loam (SiCL)
silt (0.05–0.002 mm)54
clay (<0.002 mm)31
Site 13sand (2–0.05 mm)14silt loam (SiL)
silt (0.05–0.002 mm)75
clay (<0.002 mm)11
Table 3. The results of the correlation between the number of Silphidae and the percentage content of individual fractions in the soil parts.
Table 3. The results of the correlation between the number of Silphidae and the percentage content of individual fractions in the soil parts.
Fraction
Sand
(2–0.05 mm)
Silt
(0.05–0.002 mm)
Clay (<)
RP/RS *p-ValueRP/RS *p-ValueRP/RS *p-Value
Silphidae—total−0.4300.1430.6480.01701
Silphidae—species
Oiceoptoma thoracicum L.0.4630.1110.2020.508−0.5730.041
Phosphuga atrata atrata L.0.6370.019−0.5080.077−0.3010.318
Silpha carinata Hbst.0.2000.512−0.0850.7820.1550.612
Silpha obscura obscura L.−0.4790.0970.4940.0860.3640.222
Silpha tristis Ill−0.0350.9100.4910.088−0.0700.821
Thanatophilus rugosus L.−0.3160.2940.3860.1920.2850.346
Thanatophilus sinuatus F.−0.7710.0020.4850.0930.5980.031
Nicrophorus humator Gleditsch0.3520.2380.0760.804−0.4880.091
Nicrophorus interruptus Steph.−0.0110.9710.0190.950−0.0080.979
Nicrophorus investigator Zett.0.1080.7250.4180.156−0.3180.290
Nicrophorus sepultor Charp.−0.0300.9210.1900.5350.1890.537
Nicrophorus vespillo L.−0.0330.9150.2130.4850.1380.653
Nicrophorus vespilloides Hbst.0.5540.0500.0220.943−0.7110.006
*—depending on the distribution of the examined feature, the Pearson linear correlation (RP) or Spearman’s rank correlation (RS) test were used for analysis. Bold font indicates a statistically significant result (p < 0.05).
Publisher’s Note: MDPI stays neutral with regard to jurisdictional claims in published maps and institutional affiliations.

Share and Cite

MDPI and ACS Style

Konieczna, K.; Czerniakowski, Z.W.; Szostek, M. Effect of Granulometric Composition of the Soil on the Occurrence of Carrion Beetles (Coleoptera: Silphidae). Appl. Sci. 2021, 11, 1017. https://doi.org/10.3390/app11031017

AMA Style

Konieczna K, Czerniakowski ZW, Szostek M. Effect of Granulometric Composition of the Soil on the Occurrence of Carrion Beetles (Coleoptera: Silphidae). Applied Sciences. 2021; 11(3):1017. https://doi.org/10.3390/app11031017

Chicago/Turabian Style

Konieczna, Karolina, Zbigniew W. Czerniakowski, and Małgorzata Szostek. 2021. "Effect of Granulometric Composition of the Soil on the Occurrence of Carrion Beetles (Coleoptera: Silphidae)" Applied Sciences 11, no. 3: 1017. https://doi.org/10.3390/app11031017

APA Style

Konieczna, K., Czerniakowski, Z. W., & Szostek, M. (2021). Effect of Granulometric Composition of the Soil on the Occurrence of Carrion Beetles (Coleoptera: Silphidae). Applied Sciences, 11(3), 1017. https://doi.org/10.3390/app11031017

Note that from the first issue of 2016, this journal uses article numbers instead of page numbers. See further details here.

Article Metrics

Back to TopTop