Sign in to use this feature.

Years

Between: -

Subjects

remove_circle_outline
remove_circle_outline
remove_circle_outline
remove_circle_outline
remove_circle_outline
remove_circle_outline
remove_circle_outline
remove_circle_outline
remove_circle_outline

Journals

Article Types

Countries / Regions

Search Results (21)

Search Parameters:
Keywords = business process management notations (BPMN)

Order results
Result details
Results per page
Select all
Export citation of selected articles as:
41 pages, 7528 KB  
Article
PROTECTION: A BPMN-Based Data-Centric Process-Modeling-Managing-and-Mining Framework for Pandemic Prevention and Control
by Alfredo Cuzzocrea, Islam Belmerabet, Carlo Combi, Enrico Franconi and Paolo Terenziani
Big Data Cogn. Comput. 2025, 9(9), 241; https://doi.org/10.3390/bdcc9090241 - 22 Sep 2025
Viewed by 1488
Abstract
The recent COVID-19 pandemic outbreak has demonstrated all the limitations of modern healthcare information systems in preventing and controlling pandemics, especially following an unexpected event. Existing approaches often fail to integrate real-time data and adaptive learning mechanisms, leading to inefficient response [...] Read more.
The recent COVID-19 pandemic outbreak has demonstrated all the limitations of modern healthcare information systems in preventing and controlling pandemics, especially following an unexpected event. Existing approaches often fail to integrate real-time data and adaptive learning mechanisms, leading to inefficient response strategies and resource allocation challenges. To address this gap, in this paper, we propose PROTECTION, an innovative data-centric process-modeling-managing-and-mining framework for pandemic control and prevention that is based on the new paradigm that we name Knowledge-, Decision- and Data-Intensive (KDDI) processes. PROTECTION adopts Business Process Model and Notation (BPMN) as a standardized approach to model and manage complex healthcare workflows, enhancing interoperability and formal process representation. PROTECTION introduces a structured methodology that integrates Big Data Analytics, Process Mining and Adaptive Learning Mechanisms to dynamically update healthcare processes in response to evolving pandemic conditions. The framework enables real-time process optimization, predictive analytics for outbreak detection, and automated decision support for healthcare. Through case studies and experimental validation, we demonstrate how PROTECTION can effectively deal with the complex domain of pandemic control and prevention. Full article
Show Figures

Figure 1

26 pages, 759 KB  
Article
AI-Driven Process Innovation: Transforming Service Start-Ups in the Digital Age
by Neda Azizi, Peyman Akhavan, Claire Davison, Omid Haass, Shahrzad Saremi and Syed Fawad M. Zaidi
Electronics 2025, 14(16), 3240; https://doi.org/10.3390/electronics14163240 - 15 Aug 2025
Viewed by 2306
Abstract
In today’s fast-moving digital economy, service start-ups are reshaping industries; however, they face intense uncertainty, limited resources, and fierce competition. This study introduces an Artificial Intelligence (AI)-powered process modeling framework designed to give these ventures a competitive edge by combining big data analytics, [...] Read more.
In today’s fast-moving digital economy, service start-ups are reshaping industries; however, they face intense uncertainty, limited resources, and fierce competition. This study introduces an Artificial Intelligence (AI)-powered process modeling framework designed to give these ventures a competitive edge by combining big data analytics, machine learning, and Business Process Model and Notation (BPMN). While past models often overlook the dynamic, human-centered nature of service businesses, this research fills that gap by integrating AI-Driven Ideation, AI-Augmented Content, and AI-Enabled Personalization to fuel innovation, agility, and customer-centricity. Expert insights, gathered through a two-stage fuzzy Delphi method and validated using DEMATEL, reveal how AI can transform start-up processes by offering real-time feedback, predictive risk management, and smart customization. This model does more than optimize operations; it empowers start-ups to thrive in volatile, data-rich environments, improving strategic decision-making and even health and safety governance. By blending cutting-edge AI tools with process innovation, this research contributes a fresh, scalable framework for digital-age entrepreneurship. It opens exciting new pathways for start-up founders, investors, and policymakers looking to harness AI’s full potential in transforming how new ventures operate, compete, and grow. Full article
(This article belongs to the Special Issue Advances in Information, Intelligence, Systems and Applications)
Show Figures

Figure 1

24 pages, 1018 KB  
Article
Analysis and Synthesis of Theoretical and Practical Implications of Case Management Model and Notation
by Mateja Bule and Gregor Polančič
Information 2025, 16(4), 310; https://doi.org/10.3390/info16040310 - 14 Apr 2025
Cited by 1 | Viewed by 1595
Abstract
Case Management Model and Notation (CMMN) is a graphical notation used to model less predictable, highly flexible processes that may behave differently in each instance. It uses an event-centred approach and expands on what can be modelled with procedural modelling notations. Nearly a [...] Read more.
Case Management Model and Notation (CMMN) is a graphical notation used to model less predictable, highly flexible processes that may behave differently in each instance. It uses an event-centred approach and expands on what can be modelled with procedural modelling notations. Nearly a decade since the occurrence of CMMN, its practical use is questionable. We performed this research to identify possible reasons for this and to classify the potential advantages and disadvantages of CMMN. With the aforementioned objectives, we conducted a systematic literature review, which provided a broad insight into the state of the investigated object along with techniques for analysing qualitative data, coding, and successive approximation. From an initial set of 942 articles, 43 remain relevant. The results of the analysis and synthesis of the obtained data from relevant articles were generalised codes, which were used to explicitly answer the research questions. The results indicate that CMMN has good foundations in the declarative modelling approach and within the Case Management paradigm. Nevertheless, some issues were identified with the notation and elements of CMMN and with its complement—Business Process Model and Notation (BPMN). Full article
(This article belongs to the Section Information Applications)
Show Figures

Figure 1

32 pages, 5759 KB  
Review
Related Standards and Certifications in the Architecture of Service-Oriented System in Welding Technology: A Systematic Review
by Bálint Molnár, József Szőlősi, Attila Gludovátz and Mátyás Andó
Math. Comput. Appl. 2025, 30(2), 38; https://doi.org/10.3390/mca30020038 - 31 Mar 2025
Viewed by 1775
Abstract
IT (Information Technology) support plays a major role in CPSs (cyber-physical systems). More and more IT solutions and CIS (complex information system) modules are being developed to help engineering systems to a higher level of efficiency. The different specificities of different technological environments [...] Read more.
IT (Information Technology) support plays a major role in CPSs (cyber-physical systems). More and more IT solutions and CIS (complex information system) modules are being developed to help engineering systems to a higher level of efficiency. The different specificities of different technological environments require a very different IT approach. Increasing the efficiency of different manufacturing processes requires an appropriate architecture. The Zachman framework guidelines were applied to design a suitable framework architecture for the welding process. A literature search was conducted to explore the conditions for component matching to a complex information system, in which advanced data management and data protection are important. In order to effectively manage the standards, a dedicated module needs to be created that can be integrated into the MES-ERP (Manufacturing Execution System-Enterprise Resource Planning) architecture. The result of the study is the creation of business UML (Unified Modeling Language) and BPMN (Business Process Model and Notation) diagrams and a roadmap to start a concrete application development. The paper concludes with an example to illustrate ideas for the way forward. Full article
(This article belongs to the Section Engineering)
Show Figures

Figure 1

32 pages, 7628 KB  
Article
Building Digital Twins to Overcome Digitalization Barriers for Automating Construction Site Management
by Jorge Torres, Rosa San-Mateos, Natalia Lasarte, Asier Mediavilla, Maialen Sagarna and Iñigo León
Buildings 2024, 14(7), 2238; https://doi.org/10.3390/buildings14072238 - 20 Jul 2024
Cited by 12 | Viewed by 4737
Abstract
Construction sites are highly unpredictable environments involving a wide variety of stakeholders with complex information exchanges, which lead to the well-known inefficiencies and unproductivity of the construction sector. The adoption of Building Digital Twins (BDT) in the construction site is a promising solution [...] Read more.
Construction sites are highly unpredictable environments involving a wide variety of stakeholders with complex information exchanges, which lead to the well-known inefficiencies and unproductivity of the construction sector. The adoption of Building Digital Twins (BDT) in the construction site is a promising solution to this issue, by automating data acquisition and knowledge extraction processes and providing what-if scenario simulation capabilities. Furthermore, the current research sets the principles to define, replicate, and scale-up the architecture of a Building Digital Twin Platform (BDTP), conceived as a scalar ecosystem, which allows to seamlessly manage on-site construction processes, integrating cross-cutting domains for the construction site optimization (Progress monitoring, Quality control, Operational Health and Safety, Equipment control, and Production planning). The starting point of the research is a comprehensive diagnosis of on-site process inefficiencies and the barriers to its digitalization leading to the user requirements, which have been underpinned by questionnaires and interviews addressed within an open innovation user-centered approach around Living Labs. The research has been conceived following the Design Science Research (DSR) methodology and based on the Plan-Do-Check-Act (PDCA) analysis for the continuous improvement of the construction process. By means of the adoption of the standard Business Process Model and Notation (BPMN), based on the BDTP architecture, the research has resulted in BPMN workflows stemmed from the Digital Twin (DT) where the DT itself is an actor in a service-oriented data-exchange workflow. Moreover, the use of a BDTP can pave the way for the transition from user-driven construction management to hybrid management, coexisting with both human and digital actors and merging expert knowledge with artificial intelligence techniques. Full article
(This article belongs to the Special Issue Advances in Digital Construction Management)
Show Figures

Figure 1

17 pages, 4650 KB  
Article
Process Mining Organization (PMO) Modeling and Healthcare Processes
by Angelo Rosa and Alessandro Massaro
Knowledge 2023, 3(4), 662-678; https://doi.org/10.3390/knowledge3040041 - 22 Nov 2023
Cited by 3 | Viewed by 3406
Abstract
Process mining organizatioQn (PMO) is an innovative approach based on artificial intelligence (AI) decision making suitable for designing healthcare processes for human resource (HR) organizations. The proposed work suggests some examples of PMO-based Business Process Modeling and Notation (BPMN) workflows by highlighting the [...] Read more.
Process mining organizatioQn (PMO) is an innovative approach based on artificial intelligence (AI) decision making suitable for designing healthcare processes for human resource (HR) organizations. The proposed work suggests some examples of PMO-based Business Process Modeling and Notation (BPMN) workflows by highlighting the advances in HR management and in risk decrease according to healthcare scenarios. Specifically proposed are different examples of “TO BE” process pipelines related to an upgrade of the organizational healthcare framework, including digital technologies and telemedicine. Important elements are provided to formulate HR management guidelines supporting PMO design. The proposed BPMN workflows are the result of different consulting actions in healthcare institutions based on the preliminary mapping of “AS IS” processes highlighting bottlenecks and needs in HR organization. A pilot experimental dataset is used to show how it is possible to apply AI algorithms providing organization corrective actions. The paper is mainly focused on discussing some validated BPMN models managing HR in the healthcare sector. The methodology is based on the application of the BPMN approach to deploy human resource organizational processes. The results show AI data-driven workflows adopted in healthcare and examples of AI fuzzy c-means outputs addressing organizational actions. Full article
Show Figures

Figure 1

19 pages, 1814 KB  
Article
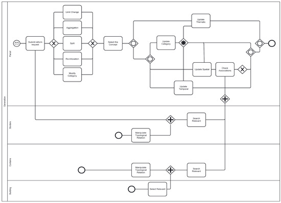
Merging Spatio-Temporal Objects and Business Processes: Land Reform Process Case Study
by Chamseddine Zaki, Christophe Claramunt, Abbass Nasser and Semar Bahmad
Appl. Sci. 2023, 13(22), 12372; https://doi.org/10.3390/app132212372 - 15 Nov 2023
Cited by 3 | Viewed by 2016
Abstract
Although significant progress has been achieved in the development of spatio-temporal models that capture real-world phenomena, more interaction between phenomenon-based and business-based modeling approaches is still required. This represents a much-needed step forward in balancing the management and scientific aspects of many urban [...] Read more.
Although significant progress has been achieved in the development of spatio-temporal models that capture real-world phenomena, more interaction between phenomenon-based and business-based modeling approaches is still required. This represents a much-needed step forward in balancing the management and scientific aspects of many urban applications. The main goal of this paper is to provide an integrated modeling framework that combines MADS (Modeling of Application Data with Spatio-temporal Features), a specific conceptual spatiotemporal model that successfully represents geographical data, with BPMN (Business Process Model Notation), which models and determines how business processes interact with geographic objects. The integration of MADS and BPMN guarantees clarity, extensibility, and autonomy between data and management operations, as it portrays spatio-temporal abstractions on a conceptual level. This integration offers a unique opportunity to accurately represent, understand, and explain the rationale behind the changes occurring in space and time. The approach has been implemented within a PostgreSQL/PostGIS database management system. A case study implementation shows the practical applicability and potential of this modeling approach. Full article
Show Figures

Figure 1

13 pages, 1099 KB  
Article
Business Process Management Analysis with Cost Information in Public Organizations: A Case Study at an Academic Library
by Barbara Kissa, Elias Gounopoulos, Maria Kamariotou and Fotis Kitsios
Modelling 2023, 4(2), 251-263; https://doi.org/10.3390/modelling4020014 - 23 May 2023
Cited by 8 | Viewed by 8709
Abstract
Public organizations must provide high-quality services at a lower cost. In order to accomplish this goal, they need to apply well accepted cost methods and evaluate the efficiency of their processes using Business Process Management (BPM). However, only a few studies have evaluated [...] Read more.
Public organizations must provide high-quality services at a lower cost. In order to accomplish this goal, they need to apply well accepted cost methods and evaluate the efficiency of their processes using Business Process Management (BPM). However, only a few studies have evaluated the addition of cost information to a process model in a public organization. The aim of the research is to evaluate the combination of cost data to process modeling in an academic library. Our research suggests a new and easy to implement process analysis in three phases. We have combined qualitative (i.e., interviews with the library staff) and quantitative research methods (i.e., estimation of time and cost for each activity and process) to model two important processes of the academic library of the University of Macedonia (UoM). We have modeled the lending and return processes using Business Process Model and Notation (BPMN) in an easy-to-understand format. We have evaluated the costs of each process and sub process with the use of Time-Driven Activity-Based Costing (TDABC) method. The library’s managers found our methodology and results very helpful. Our analysis confirmed that the combination of workflow and cost analysis may significantly improve the decision-making procedure and the efficiency of an organization’s processes. However, we need to further research and evaluate the appropriateness of the combination of various cost and BPM methods in other public organizations. Full article
(This article belongs to the Special Issue Model Driven Interoperability for System Engineering)
Show Figures

Figure 1

26 pages, 2389 KB  
Review
Advanced Electronic and Optoelectronic Sensors, Applications, Modelling and Industry 5.0 Perspectives
by Alessandro Massaro
Appl. Sci. 2023, 13(7), 4582; https://doi.org/10.3390/app13074582 - 4 Apr 2023
Cited by 26 | Viewed by 5744
Abstract
This review will focus on advances in electronic and optoelectronic technologies by through the analysis of a full research and industrial application scenario. Starting with the analysis of nanocomposite sensors, and electronic/optoelectronic/mechatronic systems, the review describes in detail the principles and the models [...] Read more.
This review will focus on advances in electronic and optoelectronic technologies by through the analysis of a full research and industrial application scenario. Starting with the analysis of nanocomposite sensors, and electronic/optoelectronic/mechatronic systems, the review describes in detail the principles and the models for finding possible implementations of Industry 5.0 applications. The study then addresses production processes and advanced detection systems integrating Artificial Intelligence (AI) algorithms. Specifically, the review introduces new research topics in Industry 5.0 about AI self-adaptive systems and processes in electronics, robotics and production management. The paper proposes also new Business Process Modelling and Notation (BPMN) Process Mining (PM) workflows, and a simulation of a complex Industry 5.0 manufacturing framework. The performed simulation estimates the diffusion heat parameters of a hypothesized production-line layout, describing the information flux of the whole framework. The simulation enhances the technological key elements, enabling an industrial upscale in the next digital revolution. The discussed models are usable in management engineering and informatics engineering, as they merge the perspectives of advanced sensors with Industry 5.0 requirements. The goal of the paper is to provide concepts, research topics and elements to design advanced production network in manufacturing industry. Full article
(This article belongs to the Special Issue IIoT-Enhancing the Industrial World and Business Processes)
Show Figures

Figure 1

28 pages, 3412 KB  
Article
A Model Based Framework for IoT-Aware Business Process Management
by Paolo Bocciarelli, Andrea D’Ambrogio and Tommaso Panetti
Future Internet 2023, 15(2), 50; https://doi.org/10.3390/fi15020050 - 28 Jan 2023
Cited by 13 | Viewed by 4152
Abstract
IoT-aware Business Processes (BPs) that exchange data with Internet of Things (IoT) devices, briefly referred to as IoT-aware BPs, are gaining momentum in the BPM field. Introducing IoT technologies from the early stages of the BP development process requires dealing with the complexity [...] Read more.
IoT-aware Business Processes (BPs) that exchange data with Internet of Things (IoT) devices, briefly referred to as IoT-aware BPs, are gaining momentum in the BPM field. Introducing IoT technologies from the early stages of the BP development process requires dealing with the complexity and heterogeneity of such technologies at design and analysis time. This paper analyzes widely used IoT frameworks and ontologies to introduce a BPMN extension that improves the expressiveness of relevant BP modeling notations and allows an appropriate representation of IoT devices from both an architectural and a behavioral perspective. In the BP management field, the use of simulation-based approaches is recognized as an effective technology for analyzing BPs. Simulation models need to be parameterized according to relevant properties of the process under study. Unfortunately, such parameters may change during the process operational life, thus making the simulation model invalid with respect to the actual process behavior. To ease the analysis of IoT-aware BPs, this paper introduces a model-driven method for the automated development of digital twins of actual business processes. The proposed method also exploits data retrieved by IoT sensors to automatically reconfigure the simulation model, to make the digital twin continuously coherent and compliant with its actual counterpart. Full article
(This article belongs to the Special Issue Software Engineering and Data Science II)
Show Figures

Figure 1

18 pages, 7172 KB  
Article
Advanced Control Systems in Industry 5.0 Enabling Process Mining
by Alessandro Massaro
Sensors 2022, 22(22), 8677; https://doi.org/10.3390/s22228677 - 10 Nov 2022
Cited by 47 | Viewed by 5602
Abstract
This paper merges new research topics in Industry 5.0 using the Business Process Modeling and Notation (BPMN) approach able to integrate Artificial Intelligence (AI) in production processes. The goal is to provide an innovative approach to model production management in industry, adopting a [...] Read more.
This paper merges new research topics in Industry 5.0 using the Business Process Modeling and Notation (BPMN) approach able to integrate Artificial Intelligence (AI) in production processes. The goal is to provide an innovative approach to model production management in industry, adopting a new “proof of concept” of advanced Process Mining (PM) automatizing decisions and optimizing machine setting and maintenance interventions. Advanced electronic sensing and actuation systems, integrating supervised and unsupervised AI algorithms, are embedded in the PM model as theoretical process workflows suggested by a Decision Support System (DSS) engine enabling an intelligent decision-making procedure. The paper discusses, as examples, two theoretical models applied to specific industry sectors, such as food processing and energy production. The proposed work provides important elements of engineering management related to the digitalization of production process matching with automated control systems setting production parameters, thus enabling the self-adapting of product quality supervision and production efficiency in modern industrial systems. Full article
(This article belongs to the Special Issue Intelligent Sensors for Industrial Process Monitoring)
Show Figures

Figure 1

27 pages, 42107 KB  
Article
Transforming BPMN Processes to SBVR Process Rules with Deontic Modalities
by Tomas Skersys, Paulius Danenas, Egle Mickeviciute and Rimantas Butleris
Appl. Sci. 2022, 12(18), 8976; https://doi.org/10.3390/app12188976 - 7 Sep 2022
Viewed by 2902
Abstract
The Object Management Group (OMG) has put considerable effort into the standardization of various business modeling aspects within the context of model-driven systems development. Indeed, the Business Process Model and Notation (BPMN) is now arguably the most popular process modeling language. At the [...] Read more.
The Object Management Group (OMG) has put considerable effort into the standardization of various business modeling aspects within the context of model-driven systems development. Indeed, the Business Process Model and Notation (BPMN) is now arguably the most popular process modeling language. At the same time, the Semantics of Business Vocabulary and Business Rules (SBVR), which is a novel and formally sound standard for the specification of virtually any kind of knowledge using controlled natural language, is also gaining its grounds. Nonetheless, the integration between these two very much related standards remains weak. In this paper, we present one such integration effort, namely an approach for the extraction of SBVR process rules from BPMN processes. To accomplish this, we utilized model-to-model transformation technology, which is one of the core features of Model-Driven Architecture. At the core of the presented solution stands a set of model transformation rules and two algorithms specifying the formation of formally defined process rules from process models. Basic implementation aspects, together with the source code of the solution, are also presented in the paper. The experimental results acquired from the automatic model transformation have shown full compliance with the benchmark results and cover the entirety of the specified flow of work defined in the experimental process models. Following this, it is safe to conclude that the set of specified transformation rules and algorithms was sufficient for the given scope of the experiment, providing a solid background for the practical application and future developments of the solution. Full article
(This article belongs to the Special Issue Advances in Information System Analysis and Modeling (AISAM))
Show Figures

Figure 1

19 pages, 4399 KB  
Article
Dynamic Adaptation Method of Business Process Based on Hierarchical Feature Model
by Le Zhang, Qi Gao and Tingyu Li
Information 2021, 12(9), 362; https://doi.org/10.3390/info12090362 - 5 Sep 2021
Cited by 5 | Viewed by 4851
Abstract
With the continuous complexity and frequent changes in business application scenarios, companies urgently need to establish a flexible business process management mechanism that includes dynamic rules, in which dynamic adaptation methods of business processes play a vital role. Aiming at the problem that [...] Read more.
With the continuous complexity and frequent changes in business application scenarios, companies urgently need to establish a flexible business process management mechanism that includes dynamic rules, in which dynamic adaptation methods of business processes play a vital role. Aiming at the problem that the current methods only use the preset process template and the decision-making database, it cannot respond quickly to business changes and reconfigure the business process. This research proposes a dynamic adaptation method of business process based on the hierarchical feature model, builds a hierarchical feature model of complex processes, then establishes a hierarchical business policy set to achieve an agile response to business emergencies. By constructing a mapping model, the feature model is associated with the BPMN model to realize the rapid execution of the reconfiguration process model. The feasibility and effectiveness of the proposed method are verified by process examples and the developed business process dynamic adaptation tool. Full article
Show Figures

Figure 1

16 pages, 2803 KB  
Article
The Role of Industry 4.0 and BPMN in the Arise of Condition-Based and Predictive Maintenance: A Case Study in the Automotive Industry
by Jorge Fernandes, João Reis, Nuno Melão, Leonor Teixeira and Marlene Amorim
Appl. Sci. 2021, 11(8), 3438; https://doi.org/10.3390/app11083438 - 12 Apr 2021
Cited by 51 | Viewed by 10619
Abstract
This article addresses the evolution of Industry 4.0 (I4.0) in the automotive industry, exploring its contribution to a shift in the maintenance paradigm. To this end, we firstly present the concepts of predictive maintenance (PdM), condition-based maintenance (CBM), and their applications to increase [...] Read more.
This article addresses the evolution of Industry 4.0 (I4.0) in the automotive industry, exploring its contribution to a shift in the maintenance paradigm. To this end, we firstly present the concepts of predictive maintenance (PdM), condition-based maintenance (CBM), and their applications to increase awareness of why and how these concepts are revolutionizing the automotive industry. Then, we introduce the business process management (BPM) and business process model and notation (BPMN) methodologies, as well as their relationship with maintenance. Finally, we present the case study of the Renault Cacia, which is developing and implementing the concepts mentioned above. Full article
(This article belongs to the Special Issue Smart Services: Artificial Intelligence in Service Systems)
Show Figures

Figure 1

42 pages, 3289 KB  
Review
Specialization of Business Process Model and Notation Applications in Medicine—A Review
by Hana Tomaskova and Martin Kopecky
Data 2020, 5(4), 99; https://doi.org/10.3390/data5040099 - 19 Oct 2020
Cited by 17 | Viewed by 6143
Abstract
Process analysis and process modeling are a current topic that extends to many areas. This trend of using optimization and modeling techniques in various specific areas has led to the question of how widespread these approaches are overall in medical specializations. We compiled [...] Read more.
Process analysis and process modeling are a current topic that extends to many areas. This trend of using optimization and modeling techniques in various specific areas has led to the question of how widespread these approaches are overall in medical specializations. We compiled a list of 272 medical disciplines that we used as a search string with the Business Process Model and Notation (BPMN) for a Web of Science database search. Thus, we found a total of 485 documents that we subjected to the exclusion criteria. We analyzed the remaining 108 articles using bibliometric and content analyses to find answers to three research questions. This systematic review was carried out using the procedure proposed by Kitchenham and following the Preferred Items of the Systematic Review and Meta-Analysis Report (PRISMA). Due to the broad scope of the medical field, it was no surprise that for almost 85% of the sought-after medical specializations, we could not identify any publications in the given database when applying the BPMN. We analyzed the impact of upgrades to the BPMN on publishing. The keyword analysis showed a diametrical difference between the authors’ keywords and the so-called “Keywords Plus”, and we categorized the publications according to the purpose of applying the BPMN. However, the growing interest in combining BPMN with other approaches brings new challenges in practice. Full article
(This article belongs to the Section Featured Reviews of Data Science Research)
Show Figures

Figure 1

Back to TopTop