Due to scheduled maintenance work on our servers, there may be short service disruptions on this website between 11:00 and 12:00 CEST on March 28th.
Sign in to use this feature.

Years

Between: -

Subjects

remove_circle_outline
remove_circle_outline
remove_circle_outline
remove_circle_outline
remove_circle_outline
remove_circle_outline
remove_circle_outline
remove_circle_outline
remove_circle_outline

Journals

remove_circle_outline
remove_circle_outline
remove_circle_outline
remove_circle_outline
remove_circle_outline
remove_circle_outline
remove_circle_outline
remove_circle_outline
remove_circle_outline
remove_circle_outline
remove_circle_outline
remove_circle_outline
remove_circle_outline
remove_circle_outline
remove_circle_outline
remove_circle_outline
remove_circle_outline
remove_circle_outline

Article Types

Countries / Regions

remove_circle_outline
remove_circle_outline
remove_circle_outline
remove_circle_outline

Search Results (496)

Search Parameters:
Keywords = burden perception

Order results
Result details
Results per page
Select all
Export citation of selected articles as:
23 pages, 888 KB  
Article
“For Us, Drones Mean Health”: How Medical Drone Delivery Affects Healthcare Outcomes, Accessibility, and Trust in Remote Regions of Madagascar
by Brianne O’Sullivan, Christallin Lydovick Rakotoasy, Lorie Donelle, Nicole Haggerty and Elysée Nouvet
Drones 2026, 10(4), 228; https://doi.org/10.3390/drones10040228 - 24 Mar 2026
Abstract
Medical drone delivery (MDD), defined as the use of uncrewed aerial vehicles to transport medical products, is an emerging technological innovation responding to persistent health supply chain challenges in rural and low-resource settings. Within sub-Saharan Africa, MDD systems have demonstrated large-scale success in [...] Read more.
Medical drone delivery (MDD), defined as the use of uncrewed aerial vehicles to transport medical products, is an emerging technological innovation responding to persistent health supply chain challenges in rural and low-resource settings. Within sub-Saharan Africa, MDD systems have demonstrated large-scale success in improving key health outcomes, health supply chain efficiency, and reductions in medical product stockouts and wastage. However, the existing evidence base on the effectiveness of this technology is dominated by quantitative, performance-based evaluations, with limited emphasis on the community-driven mechanisms that shape such outcomes. Drawing on original qualitative research, this article presents a qualitative secondary analysis (QSA) of interview data collected as part of a larger case study on MDD in Madagascar. The QSA, guided by socio-technical systems theory, analyzes a subset of 18 interviews with 23 community-level stakeholders to understand how MDD affects healthcare services in remote regions of the country. Participants reported that MDD led to downstream healthcare improvements in vaccination coverage and malaria-related health outcomes. These improvements were enabled through four interconnected socio-technical mechanisms: (1) improved medical product availability through the mitigation of geographic and transportation barriers, (2) stabilization of vaccine and cold chain transportation, (3) building trust and healthcare-seeking behaviours through predictable service delivery, and (4) reduced physical, mental, and financial burdens experienced by healthcare workers. A final, cross-cutting theme emphasized was the criticality of MDD program continuity, with participants noting that operation disruptions or withdrawals risked reversing benefits and breaking communities’ trust in the health system. By centering lived realities, perceptions, and social processes, this article bridges the gap between predominantly quantitative evidence on MDD systems and the experiences of the communities they are intended to serve. Full article
(This article belongs to the Section Innovative Urban Mobility)
Show Figures

Graphical abstract

15 pages, 266 KB  
Article
Barriers to Recovery from Opioid Use Disorder Reported by Women During 2020: Insights for the Next Public Health Emergency
by Melissa K. Ward, Ayesha Jafry, Sarah Coleman, Sofia B. Fernandez, Tendai Gwanzura and Eric F. Wagner
Int. J. Environ. Res. Public Health 2026, 23(3), 409; https://doi.org/10.3390/ijerph23030409 - 23 Mar 2026
Viewed by 144
Abstract
This study seeks to inform emergency preparedness efforts by summarizing the pandemic’s impacts on access to opioid use disorder (OUD) recovery support as reported by women in recovery. In-depth interviews were completed with adult women in recovery from OUD. We used a primarily [...] Read more.
This study seeks to inform emergency preparedness efforts by summarizing the pandemic’s impacts on access to opioid use disorder (OUD) recovery support as reported by women in recovery. In-depth interviews were completed with adult women in recovery from OUD. We used a primarily deductive approach to coding and analysis. Two coders analyzed transcripts; discrepancies were resolved through discussion. Seventeen women completed interviews from June to October 2020. Pandemic impacts primarily focused on engagement in care and retention at community and interpersonal levels. Community-level barriers to engagement included facilities’ halting intake of patients and fear of COVID-19 infection in treatment settings. Interpersonal barriers to engagement included loss of childcare support and the sudden transition to virtual services. Community-level retention barriers included perception of facility staff’s lack of adherence to infection prevention protocols and strict enforcement of infection prevention protocols on residents within facilities. Interpersonal barriers to retention included reduced availability of mutual aid meetings. Participants also highlighted how the pandemic worsened the addiction crisis and increased women’s caretaking burden. Leaders and administrators must be prepared to simultaneously balance responses for two public health crises: a novel infectious disease and addiction. Lessons learned from the pandemic can mitigate barriers to care and recovery when future emergencies arise. Full article
(This article belongs to the Section Behavioral and Mental Health)
18 pages, 707 KB  
Review
Mapping Divisions of Elder Care Work in Family Contexts: A Gender-Focused Scoping Review of Caregiving Experiences
by Jia Tang, Yingzhe Zhu, Vincent Wan-Ping Lee and Shuang Yang
Soc. Sci. 2026, 15(3), 187; https://doi.org/10.3390/socsci15030187 - 15 Mar 2026
Viewed by 303
Abstract
(1) Background: Rapid global aging has surged demand for elderly family care, a role long dominated by women. This study aims to reveal the specific manifestations of the gender division of labor in elderly family care through a systematic evidence synthesis, covering care [...] Read more.
(1) Background: Rapid global aging has surged demand for elderly family care, a role long dominated by women. This study aims to reveal the specific manifestations of the gender division of labor in elderly family care through a systematic evidence synthesis, covering care tasks, care types, impacts, and driving factors. (2) Methods: We searched four databases (Web of Science (SSCI subsets), Scopus, PubMed, and ProQuest) for articles published between 2015 and 2025. After screening, 45 peer-reviewed articles from 16 countries or regions were included, and thematic analysis was employed for data extraction and evidence synthesis. (3) Findings: The results indicate a differentiated gender division of labor and inequality in elderly family care, where female caregivers bear a greater burden in terms of task assumption, care time allocation, and perception of care impacts. The formation of the gender division of labor results from a dynamic interplay among multiple factors, including objective needs, social norms, and institutional influences. Promisingly, men are increasingly participating in family care for the elderly. (4) Conclusions: The study suggests that gender-sensitive policies should address the gender gap for elderly family care and provide targeted support to alleviate the unequal distribution of care burdens. Full article
(This article belongs to the Special Issue The Role of Caregiving for Older Family Members in Communities)
Show Figures

Figure 1

21 pages, 925 KB  
Article
Perceptions of Participatory Forest Management in Adjacent Communities: A Case Study in the Kilombero Valley Ramsar Site, Tanzania
by Shadrack Kihwele, Victor Anthony Gabourel-Landaverde, Felister Mombo, Eliapenda Elisante, Imelda Gervas, Jesús Barrena-González and Manuel Pulido-Fernández
Geographies 2026, 6(1), 31; https://doi.org/10.3390/geographies6010031 - 13 Mar 2026
Viewed by 244
Abstract
This study evaluates the costs and benefits of participatory forest management (PFM) versus non-participatory forest management based on the perceptions and involvement of local communities in the Kilombero Valley Ramsar site, Tanzania. The area hosts ecologically significant wetlands managed through different regimes: forests [...] Read more.
This study evaluates the costs and benefits of participatory forest management (PFM) versus non-participatory forest management based on the perceptions and involvement of local communities in the Kilombero Valley Ramsar site, Tanzania. The area hosts ecologically significant wetlands managed through different regimes: forests managed by local communities under PFM and protected areas controlled by national authorities. Using data collected through focus groups, key interviews, household surveys, and direct observations in two villages—Siginali (PFM) and Kilama (non-participatory)—this research explores perceptions of two different forest management approaches. The results revealed: (i) a generally low awareness and participation in forest management activities in both villages; (ii) restrictions on forest resource access, essential for local livelihoods, were common and often poorly accepted in the two villages; (iii) neither approach alleviates poverty, instead, strict regulations have worsened livelihoods by eliminating traditional income sources; (iv) forced participation in patrols and fire control was also noted as an unfair burden without direct compensation; and (v) the “fortress” model is perceived as more effective at improving forest health and stopping illegal activity due to stricter patrols. The study concludes that while PFM supports forest sustainability, it needs enhanced local engagement, benefit-sharing mechanisms, and complementary income-generating initiatives such as ecotourism to sustainably balance conservation and community welfare. Full article
Show Figures

Figure 1

23 pages, 989 KB  
Article
Reducing Administrative Burden Through Simplification and Document Management in Local Governments: Evidence from a District-Level Public Organization
by Uldarico Inocencio Aguado-Riveros, Luis Enrique Espinoza-Quispe, Ciro Liberto Santillán-Enciso, Manuel Silva-Infantes, Yamill Alam Barrionuevo-Inca-Roca, Saúl Nilo Astuñaupa-Flores, Luis Alberto Poma-Lagos, Javier Amador Navarro-Véliz and Vicente González-Prida
Societies 2026, 16(3), 91; https://doi.org/10.3390/soc16030091 - 13 Mar 2026
Viewed by 261
Abstract
This study examines whether administrative simplification is associated with stronger document-management practices in a district-level local government organization, and why this matters for societal outcomes such as transparency and more equitable access to public services. Using a quantitative, cross-sectional, non-experimental design, we surveyed [...] Read more.
This study examines whether administrative simplification is associated with stronger document-management practices in a district-level local government organization, and why this matters for societal outcomes such as transparency and more equitable access to public services. Using a quantitative, cross-sectional, non-experimental design, we surveyed officials and administrative staff with validated Likert-type instruments (62 items for administrative simplification; 17 items for document management) and tested associations using Spearman’s rho. Results show a positive, modest relationship between simplification and document management (ρ ≈ 0.37; p < 0.001). Stage-level analyses indicate consistently positive correlations, with stronger associations in later, institutionalization-oriented stages (implementation, monitoring/evaluation, continuous improvement, and sustainability). The study contributes to debates on administrative burden and digital-era governance by linking staged simplification efforts to the organizational backbone of records flows. Practically, findings suggest that resource-constrained municipalities can improve governance quality by treating document management not as a back-office function but as an enabling infrastructure for user-centered services, accountability, and compliance with digital-government guidance. Limitations include the single-organization design and reliance on staff perceptions; future research should test citizen-level outcomes and service-equity effects. Full article
(This article belongs to the Special Issue Societal Challenges, Opportunities and Achievement)
Show Figures

Figure 1

32 pages, 609 KB  
Review
A Meta-Synthesis on Clients’ Experience with Telerehabilitation
by Yughdtheswari Muniandy, Karmegam Karuppiah, Muhammad Hibatullah Romli, Rajkumar Krishnan Vasanthi, Nina Fatma Ali, Thenmoly Subramaniam, Jayesh Chandran, Haidzir Manaf and Hernan Cortez Labao
Healthcare 2026, 14(6), 717; https://doi.org/10.3390/healthcare14060717 - 11 Mar 2026
Viewed by 309
Abstract
Background: Telerehabilitation (TR) enables equitable access to therapeutic care over a distance; however, there is still a level of uncertainty about its efficiency in comparison with the traditional methods. Perception of patients has been inconclusive with aspects of technology use, quality care provision, [...] Read more.
Background: Telerehabilitation (TR) enables equitable access to therapeutic care over a distance; however, there is still a level of uncertainty about its efficiency in comparison with the traditional methods. Perception of patients has been inconclusive with aspects of technology use, quality care provision, and the satisfaction of patients with TR services being raised as issues to be investigated further. A systematic synthesis of patient experience is needed to establish TR’s general implications on health and well-being. Hence, the aim of this study is to review perceptions and experiences of clients on telerehabilitation. Methods: A systematic review of qualitative studies was conducted using eight electronic databases from inception to February 2026. Data were synthesized and the Critical Appraisal Skills Programme (CASP) tool was employed to assess quality of included studies. Results: The search strategy identified a total of 1667 articles and after removing duplicates and excluding articles based on title and abstract, and full text screening, 26 studies were included. Four major themes were developed: enhanced accessibility and reduced burden, perceived efficiency and continuity of care, therapeutic relationship and social presence, and digital and contextual challenges. Conclusions: Telerehabilitation reshapes rehabilitation delivery rather than merely adding technology. Its effectiveness depends on alignment among patient capability, clinical needs, and organizational support. When supported by adequate infrastructure and relational adaptation, it can enhance access and continuity and contribute to inclusive health delivery. However, if digital and contextual barriers remain unaddressed, telerehabilitation may inadvertently reinforce existing inequities. Full article
Show Figures

Figure 1

17 pages, 812 KB  
Article
Exploring the Italian Experience with Long-Acting Buprenorphine Formulations (LAIB) for the Treatment of Opioid Use Disorder: A Series of Narrative Interviews
by Vincenza Ariano, Anna Francesca Costanzo, Gemma Ferrante, Rossella Garofano, Vincenzo Lamartora, Sergio Manfré, Deborah Nordici and Lorenzo Somaini
Int. J. Environ. Res. Public Health 2026, 23(3), 336; https://doi.org/10.3390/ijerph23030336 - 7 Mar 2026
Viewed by 243
Abstract
Long-Acting Buprenorphine Formulations (LAIB) have emerged as an alternative pharmacological approach for opioid use disorder, offering potential benefits extending beyond clinical stabilisation. Narrative medicine provides a unique approach to understand patients’ perspectives and experiences with sublingual buprenorphine and LAIB dispensed to fourteen patients [...] Read more.
Long-Acting Buprenorphine Formulations (LAIB) have emerged as an alternative pharmacological approach for opioid use disorder, offering potential benefits extending beyond clinical stabilisation. Narrative medicine provides a unique approach to understand patients’ perspectives and experiences with sublingual buprenorphine and LAIB dispensed to fourteen patients across different Italian Addiction Services, examining how they impact the emotional, social, and motivational dimensions of recovery. Narratives were analysed by thematic content across eight domains: dependence on daily treatment regimen, emotional impact, self-perception, determination to change, quality of life, craving and withdrawal symptoms, treatment adherence, social burden, and therapeutic relationship. Statements were categorised by valence; experiential patterns were qualitatively analysed. Sublingual buprenorphine, although effective, was associated with reduced autonomy, symptom control, and difficulties in balancing treatment, work and life. These aspects were correlated with worse adherence. The stigma and burden of daily intake can reduce motivation and hinder identity reconstruction. In this setting, transitioning to LAIB resulted in improved self-autonomy, emotional balance, symptom control, self-esteem, and reduced daily and psychological burden, craving and stigma, facilitating social reintegration, and strengthening the therapeutic relationship. The results emphasise the importance of including both experiential and narrative elements in clinical care, as this helps create more tailored, recovery-focused treatment pathways. Full article
Show Figures

Figure 1

18 pages, 951 KB  
Review
Return to Work After a Cardiovascular Event: The Central Role of Cardiac Rehabilitation
by Mario Pacileo, Francesco Giallauria, Gianluigi Cuomo, Giuseppe Vallefuoco, Alfredo Mauriello, Vincenzo Russo and Antonello D’Andrea
J. Clin. Med. 2026, 15(5), 2019; https://doi.org/10.3390/jcm15052019 - 6 Mar 2026
Viewed by 378
Abstract
Background: Return to work (RTW) after acute coronary syndrome (ACS) or acute heart failure (HF) is a pivotal outcome reflecting functional recovery and quality of life (QoL). While survival after cardiac events has improved through reperfusion and guideline-directed pharmacotherapy, sustainable RTW depends on [...] Read more.
Background: Return to work (RTW) after acute coronary syndrome (ACS) or acute heart failure (HF) is a pivotal outcome reflecting functional recovery and quality of life (QoL). While survival after cardiac events has improved through reperfusion and guideline-directed pharmacotherapy, sustainable RTW depends on an integrated set of clinical, psychological, social, and occupational determinants. Objective: This study aimed to synthesize and expand the evidence on predictors of RTW, delineate practical workload-matching rules using METs and CPET, and position multidisciplinary cardiac rehabilitation (CR) as the bridge from clinical recovery to durable vocational reintegration. Key findings: Beyond left ventricular ejection fraction (LVEF), depression, anxiety, illness perceptions, and RTW self-efficacy are robust predictors of vocational outcomes. CPET-guided exercise prescriptions and MET-based job matching ensure adequate metabolic reserve; sustained task demand should remain at ≤35–40% of maximal capacity, with peak capacity ≥2× average job demand. CR (Class IA in the 2023 ESC ACS Guidelines) improves exercise tolerance, medication adherence, psychosocial well-being, and deployment of vocational support, including stepwise reintegration plans and ergonomic adaptations. Telerehabilitation extends monitoring and counseling into the workplace and maintains adherence after RTW. Conclusions: Comprehensive CR that integrates exercise training, psychosocial counseling, lifestyle modification, and vocational interventions offers the most effective pathway to stable RTW, improved QoL, and reduced socio-economic burden. Early identification of vulnerable subgroups and personalized, digitally supported follow-up are essential for long-term job retention. Full article
(This article belongs to the Special Issue New Clinical Perception of Cardiac Rehabilitation)
Show Figures

Figure 1

23 pages, 2613 KB  
Article
Seeing the Feel, Willing to Buy: How Visual–Tactile Cues Shape Consumer Purchase Intention in E-Commerce Platforms
by Yawen Yang, Qiang Yang and Xiaochen Liu
J. Theor. Appl. Electron. Commer. Res. 2026, 21(3), 84; https://doi.org/10.3390/jtaer21030084 - 4 Mar 2026
Viewed by 598
Abstract
With the rapid growth of e-commerce platforms, consumers increasingly make purchase decisions without direct physical interaction, particularly for tactile-dependent categories such as furniture and home décor. Drawing on embodied cognition, this study investigates how visual-based tactile cues influence consumers’ purchase intention on e-commerce [...] Read more.
With the rapid growth of e-commerce platforms, consumers increasingly make purchase decisions without direct physical interaction, particularly for tactile-dependent categories such as furniture and home décor. Drawing on embodied cognition, this study investigates how visual-based tactile cues influence consumers’ purchase intention on e-commerce platforms. Using experimental methods, two studies manipulate the level of visual-based tactile cues (high vs. low) and examine their effects on purchase intention. The results show that richer visual-based tactile cues significantly increase purchase intention. Contrary to traditional information overload assumptions that additional visual detail may hinder decision-making, this effect occurs through enhanced immersion rather than increased cognitive burden, suggesting that visual-based tactile cues operate as embodied sensory triggers instead of purely informational inputs. Furthermore, cross-modal mental imagery moderates this process in a counterintuitive way: the indirect effect of visual-based tactile cues on purchase intention via immersion is stronger when consumers’ imagery ability is lower, indicating a compensatory role of external sensory cues. By conceptualizing visual-based tactile cues as an innovation in interactive marketing within new media environments, this research offers actionable design implications for e-commerce platforms in enhancing tactile perception through visual presentation and improving conversion effectiveness. Full article
Show Figures

Figure 1

10 pages, 366 KB  
Article
Psychosocial Impact of Occlusion Therapy in Children with Amblyopia: A Cross-Sectional Study of Child and Parent Perspectives
by Said Hossaibi, Mustapha Jaouhari, Chaimae El Harrak and Moulay Laarbi Ouahidi
Psychiatry Int. 2026, 7(2), 49; https://doi.org/10.3390/psychiatryint7020049 - 2 Mar 2026
Viewed by 275
Abstract
Amblyopia is the most common cause of unilateral visual impairment in childhood. Occlusion therapy remains the gold standard for treatment as its psychosocial and functional consequences may affect both children and their parents, potentially compromising treatment adherence. This cross-sectional study included 36 children [...] Read more.
Amblyopia is the most common cause of unilateral visual impairment in childhood. Occlusion therapy remains the gold standard for treatment as its psychosocial and functional consequences may affect both children and their parents, potentially compromising treatment adherence. This cross-sectional study included 36 children (aged 3–9 years) undergoing occlusion therapy for amblyopia and 18 parents who completed a mirrored version of the same questionnaire. Each instrument consisted of 18 items distributed across three domains: Psychosocial (Q1–Q6), Daily and School Activities (Q7–Q12), and Physical and Treatment Acceptance (Q13–Q18). Responses were coded on 0–3 or 0–1 scales, and total scores ranged from 0 to 26, with higher scores reflecting greater psychosocial impact. The mean total score reported by children was 15.3 ± 2.5 (range 10–22), compared to 16 ± 2.7 (range 10–21) for parents. No significant difference was found between the two groups (p = 0.31), indicating a generally consistent perception of treatment impact. Among children, girls (15.5 ± 2.4) scored slightly higher than boys (15 ± 2.5) (p = 0.51). Among parents, mothers (17 ± 2.5) reported significantly greater perceived impact than fathers (14 ± 3.0) (p = 0.03). Age-based comparison revealed no significant differences between age groups (3–4, 5–6, and 7–9 years; F = 0.14; p = 0.87), although younger children (3–6 years) showed slightly higher psychosocial scores than older ones (7–9 years) (p = 0.75). Occlusion therapy exerts a moderate psychosocial impact on amblyopic children, affecting emotional well-being, school performance, and treatment acceptance. While parents generally recognize the burden of therapy, mothers perceive it more strongly than fathers, and younger children appear slightly more emotionally affected. These findings emphasize the importance of including both child self-reports and parental perspectives in clinical assessments and support the need for psychological and educational interventions to improve comfort and adherence during treatment. Full article
Show Figures

Figure 1

14 pages, 352 KB  
Article
The Effect of Metacognitive and Emotional Schemas on the Severity of Symptoms in Patients with Fibromyalgia
by Mehmet Serhat Topaloğlu and Meltem Puşuroğlu
Diagnostics 2026, 16(5), 696; https://doi.org/10.3390/diagnostics16050696 - 26 Feb 2026
Viewed by 246
Abstract
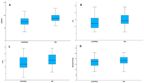
Background/Objectives: The prevalence of mental disorders has increased in fibromyalgia (FM). Therefore, individuals’ pain perception, emotional schemas, and coping strategies are important. Our study aims to examine emotional schemas and metacognitive levels in FM. Methods: The study included 88 FM and 88 healthy [...] Read more.
Background/Objectives: The prevalence of mental disorders has increased in fibromyalgia (FM). Therefore, individuals’ pain perception, emotional schemas, and coping strategies are important. Our study aims to examine emotional schemas and metacognitive levels in FM. Methods: The study included 88 FM and 88 healthy controls who consecutively presented to the clinic. All participants completed the Leahy Emotional Schema Scale-II (LESS-II) and the Metacognition Questionnaire-30 (MCQ-30). Patients were also administered the Polysymptomatic Distress scale (PSD) and the Fibromyalgia Impact Questionnaire (FIQ). Results: The study included 88 FM patients and 88 controls. In the study, the LESS-II total score and MCQ-30 score were significantly higher in the patient group compared to the control group (p < 0.05). When examining the factors affecting FIQ severity, LESS-II scores and gender variables were found to be variables predicting FIQ values (p = 0.002, p = 0.002, respectively). When looking at the factors affecting the PSD score, the LESS-II score is a significant variable predicting the PSD score (p = 0.029). Conclusions: This study demonstrated that FM patients have higher levels of negative emotional schemas compared to healthy controls, and that emotional schemas are associated with both FM symptom severity and the impact of the disease on daily life. In particular, that LESS-II scores predict PSD scores and that LESS-II and gender variables predict FIQ scores suggests that symptom burden and functional effects in FM may be closely related to cognitive-emotional processes. The findings support the importance of considering emotional schemas in FM assessment and treatment approaches. Full article
(This article belongs to the Section Clinical Diagnosis and Prognosis)
Show Figures

Figure 1

19 pages, 554 KB  
Review
Co-Occurrence of Avoidant/Restrictive Food Intake Disorder (ARFID) and Schizophrenia-Spectrum Disorders: A Comprehensive Review
by Maria Benedetta Anesini, Stella Margoni, Lorenzo Moccia, Sara Barbonetti, Luca Onori, Elena Lucia Valle, Antonio Maria D’Onofrio, Francesca Focà, Mario Pinto, Georgios D. Kotzalidis, Fabio Conti and Gabriele Sani
J. Clin. Med. 2026, 15(5), 1704; https://doi.org/10.3390/jcm15051704 - 24 Feb 2026
Viewed by 447
Abstract
Background/Objectives: Avoidant/restrictive food intake disorder (ARFID) and psychotic disorders are clinically distinct conditions yet occasionally co-occur in ways that complicate assessment and treatment. ARFID is characterised by avoidance of food due to sensory sensitivities, fear of aversive consequences, or low interest in [...] Read more.
Background/Objectives: Avoidant/restrictive food intake disorder (ARFID) and psychotic disorders are clinically distinct conditions yet occasionally co-occur in ways that complicate assessment and treatment. ARFID is characterised by avoidance of food due to sensory sensitivities, fear of aversive consequences, or low interest in eating, without body-image distortion. Recent meta-analytic evidence suggests that ARFID affects a substantial proportion of the population and is associated with a considerable social burden. Psychosis is characterised by positive symptoms (hallucinations and delusions), negative symptoms (avolition, blunted affect, and social withdrawal), and cognitive impairments affecting thought, perception, and behaviour. Methods: Across the limited literature, shared mechanisms between ARFID and psychotic disorders appear to converge on pathological avoidance, which may arise from sensory overstimulation, obsessive–compulsive features, or delusional beliefs about food. Case reports indicate that psychosis may both mimic ARFID and exacerbate food avoidance, while severe malnutrition can itself precipitate or worsen psychotic symptoms, blurring diagnostic boundaries. Results: Abnormalities in interoception, sensory sensitivity, and disrupted perception of bodily signals are manifestations of both ARFID and psychosis, suggesting a potential bridging pathway contributing to vulnerability and clinical overlap. Conclusions: Given the paucity of empirical studies and the reliance on isolated case reports, systematic investigation is mandatory and necessary to clarify shared mechanisms, refine differential diagnosis, and guide integrated treatment approaches. Given the heterogeneity of symptoms in comorbid patients, a personalised approach is suggested for treating these patients. Full article
(This article belongs to the Special Issue Advances in Schizophrenia and Related Psychotic Disorders)
Show Figures

Figure 1

19 pages, 321 KB  
Review
Consumer Perceptions Influence Supplement Choice: A Narrative Review of Clinically Studied Weight-Management Supplements in Obesity
by Hyeonseok Lee and Jung Hyun Kwak
Nutrients 2026, 18(4), 702; https://doi.org/10.3390/nu18040702 - 22 Feb 2026
Viewed by 735
Abstract
Obesity is a major public health problem with a continuously increasing global prevalence and is associated with various chronic diseases and substantial social and economic burdens. As dietary modification and physical activity alone often have limited effectiveness in achieving sustained weight loss, dietary [...] Read more.
Obesity is a major public health problem with a continuously increasing global prevalence and is associated with various chronic diseases and substantial social and economic burdens. As dietary modification and physical activity alone often have limited effectiveness in achieving sustained weight loss, dietary supplements intended for weight reduction are widely used. However, evidence on the efficacy and safety of these supplements is inconsistent, and consumer use intentions tend to be driven by subjective beliefs and insurance-like perceptions. Accordingly, this study reviewed recent evidence on L-carnitine, green tea extract, glucomannan, and Garcinia cambogia, supplements for which weight loss effects have been proposed, to assess their efficacy and safety and to highlight the importance of supplement selection aligned with consumer use contexts. PubMed, MEDLINE, and Google Scholar databases were searched for studies published between 1 January 2020 and 10 October 2025. Although some studies have reported improvements in weight and metabolic indicators, consistent scientific evidence has not yet been established. This review emphasized the need for purpose-driven supplement selection that integrates efficacy, safety, usage context, and evidence level, and the importance of consumers’ critical information appraisal capacity, supported by structured information provision and education. Full article
(This article belongs to the Special Issue Nutritional Perspectives in Obesity Treatments)
14 pages, 731 KB  
Article
Perceived Impact of a Junior–Senior Inpatient Team Model on Clinical Workflow, Supervision, and Workload in a Tertiary Gastroenterology Department: A Mixed-Methods Study
by Akira Uchiyama, Hiroo Fukada, Tsutomu Takeda, Hirofumi Fukushima, Maki Tobari, Dai Ishikawa, Toshio Fujisawa, Kenichi Ikejima, Akihito Nagahara and Hiroyuki Isayama
J. Clin. Med. 2026, 15(4), 1632; https://doi.org/10.3390/jcm15041632 - 21 Feb 2026
Viewed by 242
Abstract
Background: In many inpatient settings, physician coverage is organized around single-attending responsibility, which can create challenges in supervision and workload distribution, particularly in procedurally intensive environments. To address these issues, our department introduced a junior–senior inpatient team model in which multiple physicians jointly [...] Read more.
Background: In many inpatient settings, physician coverage is organized around single-attending responsibility, which can create challenges in supervision and workload distribution, particularly in procedurally intensive environments. To address these issues, our department introduced a junior–senior inpatient team model in which multiple physicians jointly share responsibility for hospitalized patients. This study examined physicians’ perceptions of how this restructuring influenced clinical workflow, supervision, and workload. Methods: We performed a mixed-methods cross-sectional survey two months after implementation. Twenty-two physicians (13 junior, 9 senior) completed five-point Likert-scale items and open-ended questions. Responses were analyzed using non-parametric group comparisons. Qualitative comments were examined thematically to identify recurring perspectives on supervision and workload. Results: Junior physicians reported more favorable perceptions across several domains. Significant differences between junior and senior physicians were observed for reassurance during off-site duties (p = 0.013) and perceived reduction in burden when managing critically ill patients (p = 0.002). Qualitative findings indicated that junior physicians experienced greater shared responsibility and easier access to consultation, whereas senior physicians described increased supervisory demands, responsibility extending beyond subspecialty areas, and heavier weekend or holiday duties. Both groups emphasized the importance of flexible patient redistribution during staffing variability. Conclusions: The junior–senior inpatient team model was associated with improved perceived accessibility of supervision and collective support for junior physicians while increasing supervisory demands on senior staff. These findings suggest the potential importance of workload-sensitive implementation strategies and explicit role definition when introducing physician team–based coverage in high-acuity inpatient settings. Full article
(This article belongs to the Section Gastroenterology & Hepatopancreatobiliary Medicine)
Show Figures

Figure 1

11 pages, 227 KB  
Review
Quality of Life and Burden in Caregivers of Patients with OCD: A Scoping Review
by Ridhima R Shirodkar and Manjusha Warrier
Psychiatry Int. 2026, 7(1), 44; https://doi.org/10.3390/psychiatryint7010044 - 17 Feb 2026
Viewed by 385
Abstract
Aim: This scoping review aimed to synthesize the quality of life (QoL) and perceived burden among caregivers of patients with Obsessive–Compulsive Disorder (OCD). Background: The QoL and burden among caregivers of patients with OCD is an important but under-researched topic, given that OCD [...] Read more.
Aim: This scoping review aimed to synthesize the quality of life (QoL) and perceived burden among caregivers of patients with Obsessive–Compulsive Disorder (OCD). Background: The QoL and burden among caregivers of patients with OCD is an important but under-researched topic, given that OCD can significantly impair the QoL of both patients diagnosed with OCD and their caregivers. Method: A scoping review approach was used to identify articles published in peer-reviewed journals between the years 2010–2024. The search yielded a total of 511 articles from 5 databases, namely, Science Direct, PsycInfo, PubMed, JSTOR, and Google Scholar. Ten articles that fit the inclusion criteria were selected. All the articles followed a quantitative approach; the mean age of caregivers was approximately 48 years, the number of caregivers ranged from 50 to 120, and the majority of the articles had samples with more female caregivers, mostly spouses/parents of the patient. Results: The four themes derived through the synthesis included caregiver support priorities, illness trajectory and caregiver strain, detrimental caregiver response, and socioeconomic disparities and QoL. Conclusion & Implications: Synthesizing the existing literature can guide the development of evidence-based strategies to alleviate the burden among and enhance the QoL of caregivers. Full article
Back to TopTop