Sign in to use this feature.

Years

Between: -

Subjects

remove_circle_outline
remove_circle_outline
remove_circle_outline
remove_circle_outline
remove_circle_outline
remove_circle_outline
remove_circle_outline
remove_circle_outline
remove_circle_outline

Journals

remove_circle_outline
remove_circle_outline
remove_circle_outline
remove_circle_outline
remove_circle_outline
remove_circle_outline
remove_circle_outline
remove_circle_outline
remove_circle_outline
remove_circle_outline
remove_circle_outline
remove_circle_outline
remove_circle_outline

Article Types

Countries / Regions

remove_circle_outline
remove_circle_outline
remove_circle_outline
remove_circle_outline

Search Results (1,004)

Search Parameters:
Keywords = building physical environment

Order results
Result details
Results per page
Select all
Export citation of selected articles as:
37 pages, 69210 KB  
Article
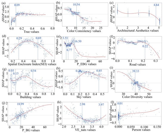
Integrating Electroencephalography (EEG) and Machine Learning to Reveal Nonlinear Effects of Streetscape Features on Perception in Traditional Villages
by Lanhong Ren, Jie Li and Jie Zhuang
Buildings 2025, 15(22), 4087; https://doi.org/10.3390/buildings15224087 (registering DOI) - 13 Nov 2025
Abstract
Public perception of traditional villages’ streetscape is a crucial link for unlocking their benefits in promoting physical and mental health and realizing environmental value transformation. Current studies on the influence mechanisms of rural streetscape characteristics on perception largely rely on subjective ratings and [...] Read more.
Public perception of traditional villages’ streetscape is a crucial link for unlocking their benefits in promoting physical and mental health and realizing environmental value transformation. Current studies on the influence mechanisms of rural streetscape characteristics on perception largely rely on subjective ratings and mostly depend on linear models. To address this, this study takes a traditional village in eastern China, which is rich in natural and cultural conditions, as an example and constructs an evaluation framework comprising 29 streetscape feature indicators. Based on multimodal data including electroencephalography (EEG), image segmentation, color, and spatial depth computation, XGBoost-SHAP was employed to reveal the nonlinear influence mechanisms of streetscape features on neurophysiological indicators (alpha-band power spectral density, α PSD) in the traditional rural context, which differs from the blue–green spaces and residential, campus, and urban environments in previous studies. The results indicate that (1) the dominant factors affecting α PSD in traditional villages are tree, color consistency, architectural aesthetics, spatial enclosure index, P_EBG, and road, in descending order. (2) Threshold effects and interaction effects that differ from previous studies on campuses, window views, and other contexts were identified. The positive effect of tree view index on α activity peaks at the threshold of 0.09, beyond which diminishing returns occur. Color complexity, including high color difference from the primary village scheme (i.e., low color consistency, color diversity, and visual entropy), inhibits α activity. The effect of spatial enclosure index (SEI) on α activity exhibits an inverted U-shape, peaking at 0.35. Tree–VE_nats, road–SEI, and building–SEI show antagonistic effects. Road–sky and SEI–P_FG display conditional interaction effects. (3) Based on k-means clustering analysis, the “key factor identification—threshold effect management—multi-factor synergy optimization” design can directionally regulate α PSD, promoting relaxed and calm streetscape schemes. This approach can be applied to urban and rural environment assessment and design, providing theoretical and technical support for scientific decision-making. Full article
(This article belongs to the Section Architectural Design, Urban Science, and Real Estate)
Show Figures

Figure 1

20 pages, 4278 KB  
Article
City-Specific Drivers of Land Surface Temperature in Three Korean Megacities: XGBoost-SHAP and GWR Highlight Building Density
by Hogyeong Jeong, Yeeun Shin and Kyungjin An
Land 2025, 14(11), 2232; https://doi.org/10.3390/land14112232 - 11 Nov 2025
Abstract
Urban heat island (UHI), a significant environmental issue caused by urbanization, is a pressing challenge in modern society. To mitigate it, urban thermal policies have been implemented globally. However, despite differences in topographical and environmental characteristics between cities and within the same city, [...] Read more.
Urban heat island (UHI), a significant environmental issue caused by urbanization, is a pressing challenge in modern society. To mitigate it, urban thermal policies have been implemented globally. However, despite differences in topographical and environmental characteristics between cities and within the same city, these policies are largely uniform and fail to reflect contexts, creating notable drawbacks. This study analyzed three cities in Korea with high land surface temperatures (LSTs) to identify factors influencing LST by applying Extreme Gradient Boosting (XGBoost) with Shapley Additive explanations (SHAP) and Geographically Weighted Regression (GWR). Each variable was derived by calculating the average values from May to September 2020. LST was the dependent variable, and the independent variables were chosen based on previous studies: Normalized Difference Vegetation Index (NDVI), Normalized Difference Built-up Index (NDBI), ALBEDO, Population Density (POP_D), Digital Elevation Model (DEM), and SLOPE. XGBoost-SHAP was used to derive the relative importance of the variables, followed by GWR to assess spatial variation in effects. The results indicate that NDBI, reflecting building density, is the primary factor influencing the thermal environment in all three cities. However, the second most influential factor differed by city: SLOPE had a strong effect in Daegu, characterized by surrounding mountains; POP_D had greater influence in Incheon, where population distribution varies due to clustered islands; and DEM was more influential in Seoul, which contains a mix of plains, mountains, and river landscapes. Furthermore, while NDBI and ALBEDO consistently contributed to LST increases across all regions, the effects of the remaining variables were spatially heterogeneous. These findings highlight that urban areas are not homogeneous and that variations in land use, development patterns, and morphology significantly shape heat environments. Therefore, UHI mitigation strategies should prioritize improving urban form while incorporating localized planning tailored to each region’s physical and socio-environmental characteristics. The results can serve as a foundation for developing strategies and policy decisions to mitigate UHI effects. Full article
Show Figures

Figure 1

18 pages, 5613 KB  
Article
Preparation and Performance Study of Decanoic Acid–Stearic Acid Composite Phase-Change Ceramsite Aggregate
by Gui Yu, Qiang Yuan, Min Li, Jiaxing Tao, Jing Jiang and De Chen
Coatings 2025, 15(11), 1315; https://doi.org/10.3390/coatings15111315 - 11 Nov 2025
Abstract
In response to the problem of high energy consumption caused by inefficient temperature control of energy storage aggregates in traditional building envelope structures, this study developed a decanoic acid–stearic acid composite phase-change ceramsite aggregate to improve the thermal performance of buildings and promote [...] Read more.
In response to the problem of high energy consumption caused by inefficient temperature control of energy storage aggregates in traditional building envelope structures, this study developed a decanoic acid–stearic acid composite phase-change ceramsite aggregate to improve the thermal performance of buildings and promote the utilization of solid waste resources. Based on the theory of minimum melting, composite phase-change materials were screened through thermodynamic models. The capric acid–stearic acid (CA-SA) melt system, whose theoretical phase-transition temperature falls within the building indoor thermal environment control range (18–26 °C), was preferred as the experimental object of this study, and its characteristics were verified through step cooling curves and thermal property tests. Subsequently, the ceramsite adsorption process was optimized, and the encapsulation process was studied. Finally, the encapsulation performance was evaluated through thermal stability and stirring crushing rate tests. The results showed that the phase-transition temperature of the decanoic acid–stearic acid melt system was 24.83 °C, which accurately matched the indoor thermal environment control requirements. The ceramsite particles treated by a physical vibrating screen can reach equilibrium after 30 min of adsorption at room temperature and pressure, which is both efficient and economical. The encapsulation layer of sludge biochar cement slurry with a water–cement ratio of 0.5 and a biochar content of 3% has both thermal conductivity and encapsulation integrity. The thermal stability test showed that the percentage of leakage of sludge biochar cement slurry and epoxy resin encapsulated aggregates was 0%, and the thermal stability rating was “very stable”. However, the percentage of leakage of unencapsulated and spray-coated encapsulated aggregates was as high as 193% and 40%, respectively. The results of the mixing and crushing rate test show that although the mixing and crushing rate of sludge biochar cement slurry encapsulation is slightly higher, its production cost is much lower than that of epoxy resin, and it is also environmentally friendly. This study improves the thermal performance of buildings by using composite phase-change ceramsite aggregate, and simultaneously realizes the resource utilization of sludge biochar, providing a solution for building energy saving and efficiency that combines environmental and engineering value. Full article
(This article belongs to the Section Environmental Aspects in Colloid and Interface Science)
Show Figures

Figure 1

17 pages, 7095 KB  
Article
Accurate Facial Temperature Measurement Using Low-Cost Thermal Camera for Indoor Thermal Comfort Applications
by Mozammil Ahsan, Wajiha Shahzad and Khalid Mahmood Arif
Buildings 2025, 15(22), 4050; https://doi.org/10.3390/buildings15224050 - 10 Nov 2025
Viewed by 86
Abstract
Non-contact measurement of human skin temperature is an important area of research. Infrared temperature devices have played a critical role in measuring skin temperature without physical contact. Thermal cameras have also been employed for non-contact skin temperature measurements. However, both infrared devices and [...] Read more.
Non-contact measurement of human skin temperature is an important area of research. Infrared temperature devices have played a critical role in measuring skin temperature without physical contact. Thermal cameras have also been employed for non-contact skin temperature measurements. However, both infrared devices and thermal cameras have limitations that restrict their use in the building industry for assessing occupant thermal comfort. The building industry requires sophisticated equipment capable of measuring human temperature non-invasively and, through integration with building control systems, adjusting the environment to meet occupants’ thermal comfort needs. Unfortunately, standard thermal cameras and infrared temperature sensors are not designed with building applications in mind. This paper proposes an affordable and building-compatible thermal camera designed to measure occupant skin temperature via a non-contact method, enabling better integration with building control systems to support occupant comfort. Experimental results demonstrate that the proposed system can reliably capture facial skin temperature and establish a quantifiable relationship between facial and room temperatures. Moreover, this provides a foundation for future real-time thermal comfort and building-control applications. Full article
(This article belongs to the Section Building Energy, Physics, Environment, and Systems)
Show Figures

Figure 1

24 pages, 5485 KB  
Article
Digital Twin-Enabled Framework for Intelligent Monitoring and Anomaly Detection in Multi-Zone Building Systems
by Faeze Hodavand, Issa Ramaji, Naimeh Sadeghi and Sarmad Zandi Goharrizi
Buildings 2025, 15(22), 4030; https://doi.org/10.3390/buildings15224030 - 8 Nov 2025
Viewed by 493
Abstract
The growing complexity of modern building systems requires advanced monitoring frameworks to improve fault detection, energy efficiency, and operational resilience. Digital Twin (DT) technology, which integrates real-time data with virtual models of physical systems, has emerged as a promising enabler for predictive diagnostics. [...] Read more.
The growing complexity of modern building systems requires advanced monitoring frameworks to improve fault detection, energy efficiency, and operational resilience. Digital Twin (DT) technology, which integrates real-time data with virtual models of physical systems, has emerged as a promising enabler for predictive diagnostics. Despite growing interest, key challenges remain, including the neglect of short- and long-term forecasting across different scenarios, insufficiently robust data preparation, and the rare validation of models on multi-zone buildings over extended test periods. To address these gaps, this study presents a comprehensive DT-enabled framework for predictive monitoring and anomaly detection, validated in a multi-zone educational building in Rhode Island, USA, using a full year of operational data for validation. The proposed framework integrates a robust data processing pipeline and a comparative analysis of machine learning models, including LSTM, RNN, GRU, ANN, XGBoost, and RF, to forecast short-term (1 h) and long-term (24 h) indoor temperature variations. The LSTM model consistently outperformed other methods, achieving R2 > 0.98 and RMSE < 0.55 °C for all tested rooms. For real-time anomaly detection, we applied the hybrid LSTM–Interquartile Range (IQR) method on one-step-ahead residuals, which successfully identified anomalous deviations from expected patterns. The model’s predictions remained within a ±1 °C error margin for over 90% of the test data, providing reliable forecasting up to 16 h ahead. This study contributes a validated, generalizable DT methodology that addresses key research gaps, offering practical tools for predictive maintenance and operational optimization in complex building environments. Full article
Show Figures

Figure 1

21 pages, 5390 KB  
Article
HitoMi-Cam: A Shape-Agnostic Person Detection Method Using the Spectral Characteristics of Clothing
by Shuji Ono
J. Imaging 2025, 11(11), 399; https://doi.org/10.3390/jimaging11110399 - 7 Nov 2025
Viewed by 285
Abstract
While convolutional neural network (CNN)-based object detection is widely used, it exhibits a shape dependency that degrades performance for postures not included in the training data. Building upon our previous simulation study published in this journal, this study implements and evaluates the spectral-based [...] Read more.
While convolutional neural network (CNN)-based object detection is widely used, it exhibits a shape dependency that degrades performance for postures not included in the training data. Building upon our previous simulation study published in this journal, this study implements and evaluates the spectral-based approach on physical hardware to address this limitation. Specifically, this paper introduces HitoMi-Cam, a lightweight and shape-agnostic person detection method that uses the spectral reflectance properties of clothing. The author implemented the system on a resource-constrained edge device without a GPU to assess its practical viability. The results indicate that a processing speed of 23.2 frames per second (fps) (253 × 190 pixels) is achievable, suggesting that the method can be used for real-time applications. In a simulated search and rescue scenario where the performance of CNNs declines, HitoMi-Cam achieved an average precision (AP) of 93.5%, surpassing that of the compared CNN models (best AP of 53.8%). Throughout all evaluation scenarios, the occurrence of false positives remained minimal. This study positions the HitoMi-Cam method not as a replacement for CNN-based detectors but as a complementary tool under specific conditions. The results indicate that spectral-based person detection can be a viable option for real-time operation on edge devices in real-world environments where shapes are unpredictable, such as disaster rescue. Full article
(This article belongs to the Section Color, Multi-spectral, and Hyperspectral Imaging)
Show Figures

Figure 1

22 pages, 7369 KB  
Article
Landscape Preferences of Recreational Walkways in Urban Green Spaces: Bada Shanren Meihu Scenic Area, China
by Chengling Zhou, Jinlin Teng, Chunqing Liu, Yiyin Zhang, Bingjie Ouyang, Tian Zeng, Huimin Gong and Cheng Zhang
Sustainability 2025, 17(22), 9931; https://doi.org/10.3390/su17229931 - 7 Nov 2025
Viewed by 323
Abstract
Urban greenway trails serve as a vital link between urban populations and the natural environment, playing a key role in enhancing quality of life and promoting physical and mental well-being. We propose an interpretable machine learning framework applied to 424 geotagged footprint images [...] Read more.
Urban greenway trails serve as a vital link between urban populations and the natural environment, playing a key role in enhancing quality of life and promoting physical and mental well-being. We propose an interpretable machine learning framework applied to 424 geotagged footprint images from the Bada Shanren Meihu Scenic Area in China. Our main findings are as follows: (1) The key factors influencing trail landscape preferences include the Water Visibility Index (WVI), Building Landscape Index (BVI), Freedom Index, and Greenery Visibility Index (GVI). (2) For WVI, SHAP values significantly increase around the 0.05 threshold. BVI has a critical threshold of 0.17, with a strong influence below it and a reduced effect above it. The Freedom variable shows an inverse relationship, with minimal contribution below 0.21 and a sharp increase above this threshold. GVI maintains high SHAP values at lower levels (GVI ≤ 0.66), but its predictive utility decreases at higher values. (3) Landscape preferences are significantly positively correlated with naturalness, wildness, WVI, and openness, with water landscapes being the strongest driver. In contrast, artificial factors, V_Low, and H_Purple significantly suppress preferences. This suggests that human intervention and certain color tones may reduce the attractiveness of the landscape. Full article
Show Figures

Figure 1

27 pages, 5936 KB  
Article
Holistic–Relational Approach to the Analysis, Evaluation, and Protection Strategies of Historic Urban Eight Views: A Case Study of ‘Longmen Haoyue’ in Chongqing, China
by Weishuai Xie, Junjie Fu, Ruolin Chen and Huasong Mao
Heritage 2025, 8(11), 465; https://doi.org/10.3390/heritage8110465 - 6 Nov 2025
Viewed by 767
Abstract
Eight Views is a time-honored East Asian cultural-landscape paradigm in which eight emblematic natural—cultural scenes fuse regional character, historical memory, and aesthetic ideals into a coherent narrative. It encodes the collective memory and identity of a city (or garden/region), a premodern ‘mental map’ [...] Read more.
Eight Views is a time-honored East Asian cultural-landscape paradigm in which eight emblematic natural—cultural scenes fuse regional character, historical memory, and aesthetic ideals into a coherent narrative. It encodes the collective memory and identity of a city (or garden/region), a premodern ‘mental map’ or proto- ‘city brand’. In China, the historic Urban Eight Views are rooted in local environments and traditions and constitute significant, high-value landscape heritage today. Yet rapid urbanization has inflicted severe physical damage on these ensembles. Coupled with insufficient holistic and systemic understanding among managers and the public, this has led, during development and conservation alike, to spatial insularization, fragmentation, and even disappearance, alongside widening divergences in cultural cognition and biases in value judgment. Taking Longmen Haoyue in Chongqing, one of the historic Urban Eight Views, as a case that manifests these issues, this study develops a holistic–relational approach for the urban, historical Eight Views and explores landscape-based pathways to protect the spatial structure and cultural connotations of the heritage that has been severely damaged and is in a state of disappearance or semi-disappearance amid modernization. Methodologically, we employ decomposition analysis to extract the historical information elements of Longmen Haoyue and its internal relational structure and corroborate its persistence through field surveys. We then apply the FAHP method to grade the conservation value and importance of elements within the Eight Views, quantitatively clarifying protection hierarchies and priorities. In parallel, a multidimensional corpus is constructed to analyze online dissemination and public perception, revealing multiple challenges in the evolution and reconstruction of Longmen Haoyue, including symbolic misreading and cultural decontextualization. In response, we propose an integrated strategy comprising graded element protection and intervention, reconstruction of relational structures, and the building of a coherent cultural-semantic and symbol system. This study provides a systematic theoretical basis and methodological support for the conservation of the urban historic Eight Views cultural landscapes, the place-making of distinctive spatial character, and the enhancement of cultural meanings. It develops an integrated research framework, element extraction, value assessment, perception analysis, and strategic response that is applicable not only to the Eight Views heritage in China but is also transferable to World Heritage properties with similar attributes worldwide, especially composite cultural landscapes composed of multiple natural and cultural elements, sustained by narrative traditions of place identity, and facing risks of symbolic weakening, decontextualization, or public misperception. Full article
(This article belongs to the Section Cultural Heritage)
Show Figures

Figure 1

12 pages, 1591 KB  
Article
Integrating Urban Tree Carbon Sequestration into Metropolitan Ecosystem Services for Climate-Neutral Cities: A Citizen Science-Based Methodology
by Jordi Mazon
Urban Sci. 2025, 9(11), 463; https://doi.org/10.3390/urbansci9110463 - 6 Nov 2025
Viewed by 239
Abstract
Urban trees play a critical role in mitigating climate change by capturing atmospheric CO2 and providing multiple co-benefits, including cooling urban environments, reducing building energy demand, and enhancing citizens’ physical and psychological well-being. This study presents the Co Carbon Trees Measurement project, [...] Read more.
Urban trees play a critical role in mitigating climate change by capturing atmospheric CO2 and providing multiple co-benefits, including cooling urban environments, reducing building energy demand, and enhancing citizens’ physical and psychological well-being. This study presents the Co Carbon Trees Measurement project, a citizen science initiative implemented in the city of Viladecans, Spain, involving 658 students, local administration, and academia, three components of the EU mission’s quadruple helix governance model. Over one year, 1274 urban trees were measured for trunk diameter and height to quantify annual CO2 sequestration using a direct measurement approach combining field data collection with a mobile application for a height assessment and a flexible measuring tape for diameter. Results indicate that carbon fixation increases with tree size, displaying a parabolic function with larger trees sequestering significantly more CO2. A range between 10 and 20 kg of CO2 is sequestered by the urban trees in the period 2024–2025. The study also highlights the broader benefits of urban trees, including shading, mitigation of the urban heat island effect, and positive impacts on mental health and social cohesion. While the total CO2 captured in Viladecans (≈810 tons/year) is small relative to city emissions (≈170,000 tons/year), the methodology demonstrates a scalable, replicable approach for monitoring progress toward climate neutrality and integrating urban trees into planning and climate action strategies. This approach positions green infrastructure as a central component of sustainable and resilient urban development. Full article
Show Figures

Figure 1

16 pages, 259 KB  
Article
A Qualitative Study of Youth Mental Health Service Users’ Views on the Delivery of Psychological Interventions via Virtual Worlds
by Melissa Keller-Tuberg, Imogen Bell, Greg Wadley, Andrew Thompson and Neil Thomas
Virtual Worlds 2025, 4(4), 52; https://doi.org/10.3390/virtualworlds4040052 - 5 Nov 2025
Viewed by 254
Abstract
With origins in video gaming, 3D virtual worlds (VWs) are digital environments where people engage and interact synchronously using digital characters called avatars. VWs may have future potential for delivering youth mental health (YMH) services. Despite progress in developing VW-based YMH interventions, limited [...] Read more.
With origins in video gaming, 3D virtual worlds (VWs) are digital environments where people engage and interact synchronously using digital characters called avatars. VWs may have future potential for delivering youth mental health (YMH) services. Despite progress in developing VW-based YMH interventions, limited consultation with young people may be contributing to mixed uptake and engagement. This study aimed to understand how young people with experiences accessing YMH services view the potential (i.e., hypothetical) use of VWs for YMH service delivery to understand qualitative factors influencing uptake. Eleven 18–25-year-old consumers (M = 22.91 years; five women, five men, and one non-binary person) took part in one-on-one, semi-structured interviews via videoconferencing. Interviews explored anticipated ease of use, helpfulness, and perceived intention to use VW-based YMH interventions if they were made available. Interviews were analysed using reflexive thematic analysis. Four themes were produced: (1) VWs as unique therapeutic spaces; (2) creative engagement for therapy; (3) VW communication promoting both connection and distance; (4) flexible access. All participants expressed a level of openness towards the potential use of VWs for YMH interventions. Features such as creative world-building and avatar customisation, increased anonymity, and remote accessibility were seen as ways to improve access to convenient, personalised, and engaging mental healthcare. Concerns included technology misuse, privacy risks, and reduced physical and emotional presence. Future research and service development should test real-world outcomes to ensure clinical benefit and employ codesign approaches that leverage servicer-users’ expectations to ensure accessible and acceptable delivery. Full article
31 pages, 24453 KB  
Article
Resilience Mechanisms in Local Residential Landscapes: Spatial Distribution Patterns and Driving Factors of Ganlan Architectural Heritage in the Wuling Corridor
by Tianyi Min and Tong Zhang
Heritage 2025, 8(11), 458; https://doi.org/10.3390/heritage8110458 - 2 Nov 2025
Viewed by 316
Abstract
As a form of living cultural heritage, local residential landscapes manifest the essence of long-term, resilient human–land interactions. The Wuling Corridor, a vital ethnic and cultural passage connecting the Central Plains with Southwest China in Chinese history, serves as a crucial region for [...] Read more.
As a form of living cultural heritage, local residential landscapes manifest the essence of long-term, resilient human–land interactions. The Wuling Corridor, a vital ethnic and cultural passage connecting the Central Plains with Southwest China in Chinese history, serves as a crucial region for the mixed residence and cultural exchange of Tujia, Miao, Dong, Han, and other ethnic groups. Within this region, Ganlan stands as both the most representative vernacular architectural heritage and a residential form that is still extensively used, constituting a continuous and unique residential landscape. The spatial distribution patterns of Ganlan are the physical witness of the history of ethnic groups adapting to the complex topographic and cultural conditions. Current research focuses on the case description of single Ganlan forms, failing to systematically investigate the spatial formation mechanisms of Ganlan as a residential landscape from a geographical continuum perspective. Therefore, this study establishes a geographical database encompassing 9425 Ganlan samples from the Wuling Corridor. It integrates the geographic information system (GIS) with clustering algorithms to systematically identify the distribution patterns of Ganlan within specific geographic–cultural units and their coupling relationships with natural environments. It conducts quantitative analysis on the key driving factors concerning the emergence and evolution of Ganlan in the study area; the findings reveal the following: (1) Ganlan buildings exhibit a spatially aggregated distribution pattern along major water systems, demonstrating characteristics of multi-ethnic sharing and spatial interweaving. (2) Their distribution is constrained by natural geographical factors and influenced by the transmission pathways of construction techniques during ancient ethnic migrations to the southwest China. (3) Within multi-ethnic settlement structures, inter-ethnic cultural interactions (particularly with Central Plains culture) serve as a key driving force for the typological evolution of Ganlan. (4) The evolutionary lineage of “full-Ganlan,” “semi-Ganlan,” and “courtyard-style Ganlan” systematically demonstrates the dynamic adaptive capacity of local residential systems. Additionally, by integrating massive Ganlan heritage data with multiple spatial analysis methods, the study serves as a typical case study illuminating the adaptive strategies and resilience mechanisms of Ganlan as a local residential landscape formed in response to the environmental conditions and social changes. Also, it provides a scientific basis for the holistic conservation of architectural heritages shared by multiple ethnic groups and the integrated development of local cultural tourism industries. Full article
Show Figures

Figure 1

20 pages, 620 KB  
Article
Experiential Marketing Through Service Quality Antecedents: Customer Experience as a Driver of Satisfaction and Revisit Intentions in South African Restaurants
by Moses Vuyo Sithole, Therese Roux and Miri Retief
Tour. Hosp. 2025, 6(5), 227; https://doi.org/10.3390/tourhosp6050227 - 1 Nov 2025
Viewed by 566
Abstract
In the highly competitive restaurant industry, prioritising customer satisfaction is crucial for establishments pursuing differentiation and repeat business. Within this context, creating unique and memorable experiences has evolved from a marketing trend into a strategic imperative, compelling restaurants to deliver encounters that transcend [...] Read more.
In the highly competitive restaurant industry, prioritising customer satisfaction is crucial for establishments pursuing differentiation and repeat business. Within this context, creating unique and memorable experiences has evolved from a marketing trend into a strategic imperative, compelling restaurants to deliver encounters that transcend mere functional service and quality. However, prior research has primarily examined quality factors and satisfaction in isolation, overlooking the mediating role of experiential realms in this relationship. This study offers a novel contribution by integrating service quality and experiential marketing within a single empirical model, addressing a gap in the hospitality literature. Specifically, few studies have empirically examined how tangible and intangible quality cues translate into the four experiential realms of the Experience Economy—aesthetic, escapist, entertainment, and educational—and how these, in turn, influence satisfaction and revisit intentions. Drawing on the Experience Economy framework, this study develops and tests a conceptual model linking quality antecedents—physical environment, food quality, and customer service—to the four experiential realms (aesthetic, escapist, entertainment, and educational) and subsequent satisfaction and revisit intentions. Using data collected from 312 restaurant customers, the hypotheses were tested through Structural Equation Modelling (SEM). The findings reveal that quality antecedents significantly influence experiential realms, which in turn enhance satisfaction and revisit intentions—offering a more nuanced mechanism than previously theorised. By being among the first to empirically test these relationships in the sit-down restaurant context, this study adds theoretical and practical insight into experience-based brand differentiation. Moreover, it provides actionable insights for restaurant managers seeking to transform quality delivery into memorable, loyalty-building experiences. Full article
Show Figures

Figure 1

27 pages, 4034 KB  
Article
Energy-Aware Swarm Robotics in Smart Microgrids Using Quantum-Inspired Reinforcement Learning
by Mohamed Shili, Salah Hammedi, Hicham Chaoui and Khaled Nouri
Electronics 2025, 14(21), 4210; https://doi.org/10.3390/electronics14214210 - 28 Oct 2025
Viewed by 433
Abstract
The integration of autonomous robots with intelligent electrical systems introduces complex energy management challenges, particularly as microgrids increasingly incorporate renewable energy sources and storage devices in widely distributed environments. This study proposes a quantum-inspired multi-agent reinforcement learning (QI-MARL) framework for energy-aware swarm coordination [...] Read more.
The integration of autonomous robots with intelligent electrical systems introduces complex energy management challenges, particularly as microgrids increasingly incorporate renewable energy sources and storage devices in widely distributed environments. This study proposes a quantum-inspired multi-agent reinforcement learning (QI-MARL) framework for energy-aware swarm coordination in smart microgrids. Each robot functions as an intelligent agent capable of performing multiple tasks within dynamic domestic and industrial environments while optimizing energy utilization. The quantum-inspired mechanism enhances adaptability by enabling probabilistic decision-making, allowing both robots and microgrid nodes to self-organize based on task demands, battery states, and real-time energy availability. Comparative experiments across 1500 grid-based simulated environments demonstrated that when benchmarked against the classical MARL baseline, QI-MARL achieved an 8% improvement in path efficiency, a 12% increase in task success rate, and a 15% reduction in energy consumption. When compared with the rule-based approach, improvements reached 15%, 20%, and 26%, respectively. Ablation studies further confirmed the substantial contributions of the quantum-inspired exploration and energy-sharing mechanisms, while sensitivity and scalability analyses validated the system’s robustness across varying swarm sizes and environmental complexities. The proposed framework effectively integrates quantum-inspired AI, intelligent microgrid management, and autonomous robotics, offering a novel approach to energy coordination in cyber-physical systems. Potential applications include smart buildings, industrial campuses, and distributed renewable energy networks, where the system enables flexible, resilient, and energy-efficient robotic operations within modern electrical engineering contexts. Full article
Show Figures

Graphical abstract

23 pages, 18947 KB  
Article
IOPE-IPD: Water Properties Estimation Network Integrating Physical Model and Deep Learning for Hyperspectral Imagery
by Qi Li, Mingyu Gao, Ming Zhang, Junwen Wang, Jingjing Chen and Jinghua Li
Remote Sens. 2025, 17(21), 3546; https://doi.org/10.3390/rs17213546 - 26 Oct 2025
Viewed by 418
Abstract
Hyperspectral underwater target detection holds great potential for marine exploration and environmental monitoring. A key challenge lies in accurately estimating water inherent optical properties (IOPs) from hyperspectral imagery. To address these limitations, we propose a novel water IOP estimation network to support the [...] Read more.
Hyperspectral underwater target detection holds great potential for marine exploration and environmental monitoring. A key challenge lies in accurately estimating water inherent optical properties (IOPs) from hyperspectral imagery. To address these limitations, we propose a novel water IOP estimation network to support the interpretation of bathymetric models. We propose the IOPs physical model that focuses on the description of the water IOPs, describing how the concentrations of chlorophyll, colored dissolved organic matter, and detrital material influence the absorption and backscattering coefficients. Building on this foundation, we proposed an innovative IOP estimation network integrating a physical model and deep learning (IOPE-IPD). This approach enables precise and physically interpretable estimation of the IOPs. Specially, the IOPE-IPD network takes water spectra as input. The encoder extracts spectral features, while dual parallel decoders simultaneously estimate four key parameters. Based on these outputs, the absorption and backscattering coefficients of the water body are computed using the IOPs physical model. Subsequently, the bathymetric model is employed to reconstruct the water spectrum. Under the constraint of a consistency loss, the retrieved spectrum is encouraged to closely match the input spectrum. To ensure the IOPE-IPD’s applicability across various scenarios, multiple actual and Jerlov-simulated aquatic environments were used. Comprehensive experimental results demonstrate the robustness and effectiveness of our proposed IOPE-IPD over the compared method. Full article
Show Figures

Figure 1

10 pages, 204 KB  
Perspective
Predicting Extreme Environmental Values with Hybrid Models: A Perspective Across Air Quality, Wind Energy, and Sensor Networks
by George Efthimiou
Sensors 2025, 25(21), 6523; https://doi.org/10.3390/s25216523 - 23 Oct 2025
Viewed by 826
Abstract
This Perspective synthesizes recent (2023–2025) progress in predicting extreme environmental values by combining empirical formulations, physics-based simulation outputs, and sensor-network data. We argue that hybrid approaches—spanning physics-informed machine learning, digital/operational twins, and edge/embedded AI—can deliver faster and more robust maxima estimates than standalone [...] Read more.
This Perspective synthesizes recent (2023–2025) progress in predicting extreme environmental values by combining empirical formulations, physics-based simulation outputs, and sensor-network data. We argue that hybrid approaches—spanning physics-informed machine learning, digital/operational twins, and edge/embedded AI—can deliver faster and more robust maxima estimates than standalone CFD or purely data-driven models, particularly for urban air quality and wind-energy applications. We distill lessons from cross-domain case studies and highlight five open challenges (uncertainty quantification, reproducibility and benchmarks, sensor layout optimization, real-time inference at the edge, and trustworthy model governance). Building on these, we propose a 2025–2030 research agenda: (i) standardized, open benchmarks with sensor–CFD pairs; (ii) physics-informed learners for extremes; (iii) adaptive source-term estimation pipelines; (iv) lightweight inference for embedded sensing; (v) interoperable digital-twin workflows; and (vi) reporting standards for uncertainty and ethics. The goal is a pragmatic path that couples scientific validity with deployability in operational environments. This Perspective is intended for researchers and practitioners in environmental sensing, urban dispersion, and renewable energy who seek actionable, cross-disciplinary directions for the next wave of extreme-value prediction. For instance, in validation studies using CFD-RANS and sensor data, the proposed hybrid models achieved prediction accuracies for peak pollutant concentrations and wind speeds within ~90–95% of high-fidelity simulations, with a computational cost reduction of over 80%. These results underscore the practical viability of the approach for operational use cases such as urban air quality alerts and wind farm micro-siting. Full article
(This article belongs to the Special Issue Advanced Sensing Techniques for Environmental and Energy Systems)
Back to TopTop