Sign in to use this feature.

Years

Between: -

Subjects

remove_circle_outline
remove_circle_outline
remove_circle_outline
remove_circle_outline
remove_circle_outline

Journals

Article Types

Countries / Regions

Search Results (34)

Search Parameters:
Keywords = brain–heart–liver lipids

Order results
Result details
Results per page
Select all
Export citation of selected articles as:
28 pages, 1145 KB  
Review
Inflammation—Insulin Resistance Crosstalk and the Central Role of Myokines
by Maria-Zinaida Dobre, Bogdana Virgolici, Daciana Costina Andrada Dunca-Stefan, Ioana-Cristina Doicin and Iulia-Ioana Stanescu-Spinu
Int. J. Mol. Sci. 2026, 27(1), 60; https://doi.org/10.3390/ijms27010060 - 20 Dec 2025
Viewed by 408
Abstract
Insulin resistance develops when skeletal muscle (SM), adipose tissue (AT), and the liver fail to respond adequately to insulin, a dysfunction closely intertwined with chronic low-grade inflammation. This combination leads to compensatory hyperinsulinemia, dysglycemia, and metabolic stress, driving major disorders such as type [...] Read more.
Insulin resistance develops when skeletal muscle (SM), adipose tissue (AT), and the liver fail to respond adequately to insulin, a dysfunction closely intertwined with chronic low-grade inflammation. This combination leads to compensatory hyperinsulinemia, dysglycemia, and metabolic stress, driving major disorders such as type 2 diabetes, metabolic syndrome, metabolic dysfunction-associated steatotic liver disease (MASLD), and cardiovascular disease. Both adipokines and myokines are central modulators of this metabolic–inflammatory axis. In obesity, diabetes, MASLD, and thyroid dysfunction, alterations in myokines such as myostatin, irisin, fibroblast growth factor 21 (FGF-21), apelin, brain-derived neurotrophic factor (BDNF), interleukin-6 (IL-6), and interleukin-15 (IL-15) influence glucose uptake, lipid oxidation, mitochondrial function, and systemic inflammation. Exercise-induced myokines exert insulin-sensitizing and anti-inflammatory effects, whereas myostatin and tumor necrosis factor-alpha (TNF-α) promote metabolic impairment. These pathways reveal extensive crosstalk between SM and key metabolic organs—including the liver, pancreas, AT, intestine, heart, and thyroid gland. In metabolic disease, inflammation-driven changes in deiodinase activity and triiodothyronine (T3) availability further link muscle dysfunction with thyroid imbalance. The aim of this narrative review was to elucidate the complex interplay between myokines, adipokines, inflammation, and insulin resistance, and to clarify their clinical relevance in metabolic and thyroid disorders. Given this integrative role of SM, sarcopenia should be recognized as a clinical marker of metabolic or thyroid dysregulation, and preserving muscle mass through structured physical activity should be a core therapeutic target. Full article
Show Figures

Figure 1

17 pages, 334 KB  
Review
Monocellular and Multicellular Parasites Infesting Humans: A Review of Calcium Ion Mechanisms
by John A. D’Elia and Larry A. Weinrauch
Biomedicines 2026, 14(1), 2; https://doi.org/10.3390/biomedicines14010002 - 19 Dec 2025
Viewed by 327
Abstract
Calcium (Ca2+) is a signal messenger for ion flow in and out of microbial, parasitic, and host defense cells. Manipulation of calcium ion signaling with ion blockers and calcineurin inhibitors may improve host defense while decreasing microbial/parasitic resistance to therapy. Ca [...] Read more.
Calcium (Ca2+) is a signal messenger for ion flow in and out of microbial, parasitic, and host defense cells. Manipulation of calcium ion signaling with ion blockers and calcineurin inhibitors may improve host defense while decreasing microbial/parasitic resistance to therapy. Ca2+ release from intracellular storage sites controls many host defense functions (cell integrity, movement, and growth). The transformation of phospholipids in the erythrocyte membrane is associated with changes in deformability. This type of lipid bilayer defense mechanism helps to prevent attack by Plasmodium. Patients with sickle cell disease (SS hemoglobin) do not have this protection and are extremely vulnerable to massive hemolysis from parasitic infestation. Patients with thalassemia major also lack parasite protection. Alteration of Ca2+ ion channels responsive to environmental stimuli (transient receptor potential) results in erythrocyte protection from Plasmodium. Similarly, calcineurin inhibitors (cyclosporine) reduce heart and brain inflammation injury with Trypanosoma and Taenia. Ca2+ channel blockers interfere with malarial life cycles. Several species of parasites are known to invade hepatocytes: Plasmodium, Echinococcus, Schistosoma, Taenia, and Toxoplasma. Ligand-specific membrane channel constituents (inositol triphosphate and sphingosine phospholipid) constitute membrane surface signal messengers. Plasmodium requires Ca2+ for energy to grow and to occupy red blood cells. A cascade of signals proceeds from Ca2+ to two proteins: calmodulin and calcineurin. Inhibitors of calmodulin were found to blunt the population growth of Plasmodium. An inhibitor of calcineurin (cyclosporine) was found to retard population growth of both Plasmodium and Schistosoma. Calcineurin also controls sensitivity and resistance to antibiotics. After exposure to cyclosporine, the liver directs Ca2+ ions into storage sites in the endoplasmic reticulum and mitochondria. Storage of large amounts of Ca2+ would be useful if pathogens began to occupy both red blood cells and liver cells. We present scientific evidence supporting the benefits of calcium channel blockers and calcineurin inhibitors to potentiate current antiparasitic therapies. Full article
(This article belongs to the Section Microbiology in Human Health and Disease)
20 pages, 2485 KB  
Article
Supplementation of Oocytes by Microinjection with Extra Copies of mtDNA Alters Metabolite Profiles and Interactions with Expressed Genes in a Tissue-Specific Manner
by Eryk Andreas, Alexander Penn, Takashi Okada and Justin C. St. John
Biomolecules 2024, 14(11), 1477; https://doi.org/10.3390/biom14111477 - 20 Nov 2024
Cited by 1 | Viewed by 1854
Abstract
Mitochondrial DNA (mtDNA) supplementation can rescue poor oocyte quality and overcome embryonic arrest. Here, we investigated a series of sexually mature pigs generated through autologous and heterologous mtDNA supplementation. Brain, liver and heart tissues underwent metabolite profiling using gas chromatography–mass spectrometry and gene [...] Read more.
Mitochondrial DNA (mtDNA) supplementation can rescue poor oocyte quality and overcome embryonic arrest. Here, we investigated a series of sexually mature pigs generated through autologous and heterologous mtDNA supplementation. Brain, liver and heart tissues underwent metabolite profiling using gas chromatography–mass spectrometry and gene expression analysis through RNA-seq. They were then assessed for mRNA–metabolite interactions. The comparison between overall mtDNA supplemented and control pigs revealed that mtDNA supplementation reduced the lipids stearic acid and elaidic acid in heart tissue. However, heterologous mtDNA supplemented-derived pigs exhibited lower levels of abundance of metabolites when compared with autologous-derived pigs. In the brain, these included mannose, mannose 6-phosphate and fructose 6-phosphate. In the liver, maltose and cellobiose, and in the heart, glycine and glutamate were affected. mRNA–metabolite pathway analysis revealed a correlation between malate and CS, ACLY, IDH2 and PKLR in the liver and glutamate and PSAT1, PHGDH, CDO1 and ANPEP in the heart. Our outcomes demonstrate that mtDNA supplementation, especially heterologous supplementation, alters the metabolite and transcriptome profiles of brain, liver, and heart tissues. This is likely due to the extensive resetting of the balance between the nuclear and mitochondrial genomes in the preimplantation embryo, which induces a series of downstream effects. Full article
(This article belongs to the Section Molecular Genetics)
Show Figures

Figure 1

16 pages, 9268 KB  
Article
Molecular Characteristics and Polymorphisms of Buffalo (Bubalus bubalis) ABCG2 Gene and Its Role in Milk Fat Synthesis
by Fangting Zhou, Xinyang Fan, Xiaoqi Xu, Zhuoran Li, Lihua Qiu and Yongwang Miao
Animals 2023, 13(19), 3156; https://doi.org/10.3390/ani13193156 - 9 Oct 2023
Cited by 3 | Viewed by 3116
Abstract
The ATP-binding cassette subfamily G member 2 (ABCG2) serves crucial roles in secreting riboflavin and biotin vitamins into the milk of cattle, mice, and humans, as well as in the transportation of xenotoxic and cytostatic drugs across the plasma membrane. However, [...] Read more.
The ATP-binding cassette subfamily G member 2 (ABCG2) serves crucial roles in secreting riboflavin and biotin vitamins into the milk of cattle, mice, and humans, as well as in the transportation of xenotoxic and cytostatic drugs across the plasma membrane. However, the specific role of the ABCG2 gene in water buffaloes (Bubalus bubalis), especially its effect on milk fat synthesis in buffalo mammary epithelial cells (BuMECs), remains inadequately understood. In this study, the full-length CDS of the buffalo ABCG2 gene was isolated and identified from the mammary gland in buffaloes. A bioinformatics analysis showed a high degree of similarity in the transcriptional region, motifs, and conservative domains of the buffalo ABCG2 with those observed in other Bovidae species. The functional role of buffalo ABCG2 was associated with the transportation of solutes across lipid bilayers within cell membranes. Among the 11 buffalo tissues detected, the expression levels of ABCG2 were the highest in the liver and brain, followed by the mammary gland, adipose tissue, heart, and kidney. Notably, its expression in the mammary gland was significantly higher during peak lactation than during non-lactation. The ABCG2 gene was identified with five SNPs in river buffaloes, while it was monomorphic in swamp buffaloes. Functional experiments revealed that ABCG2 increased the triglyceride (TAG) content by affecting the expression of liposynthesis-related genes in BuMECs. The results of this study underscore the pivotal role of the ABCG2 gene in influencing the milk fat synthesis in BuMECs. Full article
(This article belongs to the Section Animal Genetics and Genomics)
Show Figures

Figure 1

18 pages, 3749 KB  
Article
The Effects of a Low Linoleic Acid/α-Linolenic Acid Ratio on Lipid Metabolism and Endogenous Fatty Acid Distribution in Obese Mice
by Qiong Wang and Xingguo Wang
Int. J. Mol. Sci. 2023, 24(15), 12117; https://doi.org/10.3390/ijms241512117 - 28 Jul 2023
Cited by 25 | Viewed by 6246
Abstract
A reduced risk of obesity and metabolic syndrome has been observed in individuals with a low intake ratio of linoleic acid/α-linolenic acid (LA/ALA). However, the influence of a low ratio of LA/ALA intake on lipid metabolism and endogenous fatty acid distribution in obese [...] Read more.
A reduced risk of obesity and metabolic syndrome has been observed in individuals with a low intake ratio of linoleic acid/α-linolenic acid (LA/ALA). However, the influence of a low ratio of LA/ALA intake on lipid metabolism and endogenous fatty acid distribution in obese patients remains elusive. In this investigation, 8-week-old C57BL/6J mice were randomly assigned to four groups: low-fat diet (LFD) as a control, high-fat diet (HFD), high-fat diet with a low LA/ALA ratio (HFD+H3L6), and high-fat diet with a high LA/ALA ratio (HFD+L3H6) for 16 weeks. Our results show that the HFD+H3L6 diet significantly decreased the liver index of HFD mice by 3.51%, as well as the levels of triacylglycerols (TGs) and low-density lipoprotein cholesterol (LDL-C) by 15.67% and 10.02%, respectively. Moreover, the HFD+H3L6 diet reduced the pro-inflammatory cytokines interleukin-6 (IL-6) level and aspartate aminotransferase/alanine aminotransferase (AST/ALT) ratio and elevated the level of superoxide dismutase (SOD) in the liver. The HFD+H3L6 diet also resulted in the downregulation of fatty acid synthetase (FAS) and sterol regulatory element binding proteins-1c (SREBP-1c) expression and the upregulation of peroxisome proliferator-activated receptor-α (PPAR-α) and acyl-CoA oxidase 1 (ACOX1) gene expression in the liver. The low LA/ALA ratio diet led to a notable increase in the levels of ALA and its downstream derivative docosahexaenoic acid (DHA) in the erythrocyte, liver, perienteric fat, epididymal fat, perirenal fat, spleen, brain, heart, and gastrocnemius, with a strong positive correlation. Conversely, the accumulation of LA in abdominal fat was more prominent, and a high LA/ALA ratio diet exacerbated the deposition effect of LA. In conclusion, the low LA/ALA ratio not only regulated endogenous fatty acid levels but also upregulated PPAR-α and ACOX1 and downregulated SREBP-1c and FAS gene expression levels, thus maintaining lipid homeostasis. Optimizing dietary fat intake is important in studying lipid nutrition. These research findings emphasize the significance of understanding and optimizing dietary fat intake. Full article
(This article belongs to the Special Issue Fatty Acids and Metabolic Syndrome)
Show Figures

Figure 1

13 pages, 3359 KB  
Article
Untargeted Lipidomics after D2O Administration Reveals the Turnover Rate of Individual Lipids in Various Organs of Living Organisms
by Yury Kostyukevich, Elena Stekolshikova, Anna Levashova, Anna Kovalenko, Anna Vishnevskaya, Anton Bashilov, Albert Kireev, Boris Tupertsev, Lidiia Rumiantseva, Philipp Khaitovich, Sergey Osipenko and Eugene Nikolaev
Int. J. Mol. Sci. 2023, 24(14), 11725; https://doi.org/10.3390/ijms241411725 - 21 Jul 2023
Cited by 3 | Viewed by 3085
Abstract
The administration of low doses of D2O to living organisms was used for decades for the investigation of metabolic pathways and for the measurement of the turnover rate for specific compounds. Usually, the investigation of the deuterium uptake in lipids is [...] Read more.
The administration of low doses of D2O to living organisms was used for decades for the investigation of metabolic pathways and for the measurement of the turnover rate for specific compounds. Usually, the investigation of the deuterium uptake in lipids is performed by measuring the deuteration level of the palmitic acid residue using GC-MS instruments, and to our knowledge, the application of the modern untargeted LC-MS/MS lipidomics approaches was only reported a few times. Here, we investigated the deuterium uptake for >500 lipids for 13 organs and body liquids of mice (brain, lung, heart, liver, kidney, spleen, plasma, urine, etc.) after 4 days of 100% D2O administration. The maximum deuteration level was observed in the liver, plasma, and lung, while in the brain and heart, the deuteration level was lower. Using MS/MS, we demonstrated the incorporation of deuterium in palmitic and stearic fragments in lipids (PC, PE, TAG, PG, etc.) but not in the corresponding free forms. Our results were analyzed based on the metabolic pathways of lipids. Full article
(This article belongs to the Special Issue Advances in Metabolomics and Small Molecules Analysis)
Show Figures

Figure 1

19 pages, 5145 KB  
Article
Natural Lipid Extracts as an Artificial Membrane for Drug Permeability Assay: In Vitro and In Silico Characterization
by Anna Vincze, Gergely Dékány, Richárd Bicsak, András Formanek, Yves Moreau, Gábor Koplányi, Gergely Takács, Gábor Katona, Diána Balogh-Weiser, Ádám Arany and György T. Balogh
Pharmaceutics 2023, 15(3), 899; https://doi.org/10.3390/pharmaceutics15030899 - 10 Mar 2023
Cited by 2 | Viewed by 3810
Abstract
In vitro non-cellular permeability models such as the parallel artificial membrane permeability assay (PAMPA) are widely applied tools for early-phase drug candidate screening. In addition to the commonly used porcine brain polar lipid extract for modeling the blood–brain barrier’s permeability, the total and [...] Read more.
In vitro non-cellular permeability models such as the parallel artificial membrane permeability assay (PAMPA) are widely applied tools for early-phase drug candidate screening. In addition to the commonly used porcine brain polar lipid extract for modeling the blood–brain barrier’s permeability, the total and polar fractions of bovine heart and liver lipid extracts were investigated in the PAMPA model by measuring the permeability of 32 diverse drugs. The zeta potential of the lipid extracts and the net charge of their glycerophospholipid components were also determined. Physicochemical parameters of the 32 compounds were calculated using three independent forms of software (Marvin Sketch, RDKit, and ACD/Percepta). The relationship between the lipid-specific permeabilities and the physicochemical descriptors of the compounds was investigated using linear correlation, Spearman correlation, and PCA analysis. While the results showed only subtle differences between total and polar lipids, permeability through liver lipids highly differed from that of the heart or brain lipid-based models. Correlations between the in silico descriptors (e.g., number of amide bonds, heteroatoms, and aromatic heterocycles, accessible surface area, and H-bond acceptor–donor balance) of drug molecules and permeability values were also found, which provides support for understanding tissue-specific permeability. Full article
(This article belongs to the Special Issue Feature Papers in Physical Pharmacy and Formulation)
Show Figures

Graphical abstract

14 pages, 1774 KB  
Article
The Acute Effect of Multi-Ingredient Antioxidant Supplementation following Ionizing Radiation
by Donald Xhuti, Irena A. Rebalka, Mahek Minhas, Linda May, Kieran Murphy, Joshua P. Nederveen and Mark A. Tarnopolsky
Nutrients 2023, 15(1), 207; https://doi.org/10.3390/nu15010207 - 1 Jan 2023
Cited by 10 | Viewed by 5481
Abstract
Radiation exposure is an undeniable health threat encountered in various occupations and procedures. High energy waves in ionizing radiation cause DNA damage and induce reactive oxygen species (ROS) production, which further exacerbate DNA, protein, and lipid damage, increasing risk of mutations. Although endogenous [...] Read more.
Radiation exposure is an undeniable health threat encountered in various occupations and procedures. High energy waves in ionizing radiation cause DNA damage and induce reactive oxygen species (ROS) production, which further exacerbate DNA, protein, and lipid damage, increasing risk of mutations. Although endogenous antioxidants such as superoxide dismutase have evolved to upregulate and neutralize ROS, exogenous dietary antioxidants also have the potential to combat ionizing radiation (IR)-induced ROS production. We evaluated a cocktail of ingredients (AOX) purported to have antioxidant and mitochondrial protective properties on the acute effects of IR. We show that IR stimulates DNA damage through phosphorylation of DNA repair proteins in the heart, brain, and liver of mice. AOX showed partial protection in brain and liver, through a lack of significant activation in given repair proteins. In addition, AOX attenuated the IR-induced increase in NF-kβ mRNA and protein expression in brain and liver. Lastly, cytochrome c oxidase complex transcripts were significantly higher in heart and brain following radiation, which was also diminished by prior ingestion of AOX. Together, our findings suggest that a multi-ingredient AOX supplement may attenuate the IR-induced cellular damage response and represents a feasible and cost-effective preventative supplement for at-risk populations of radiation exposure. Full article
(This article belongs to the Section Phytochemicals and Human Health)
Show Figures

Figure 1

15 pages, 3191 KB  
Article
Extraction of Naringin from Pomelo and Its Therapeutic Potentials against Hyperlipidemia
by Xiaolei Yu, Xin Meng, Yidi Yan, Hui Wang and Lei Zhang
Molecules 2022, 27(24), 9033; https://doi.org/10.3390/molecules27249033 - 18 Dec 2022
Cited by 27 | Viewed by 4390
Abstract
Pomelo peel is a natural plant product with numerous pharmacological effects and is used in traditional Chinese medicine. In the present study, we extracted naringin from pomelo peel and aimed to decipher its therapeutic potential against hyperlipidemia. We used ultrasonic-assisted extraction to obtain [...] Read more.
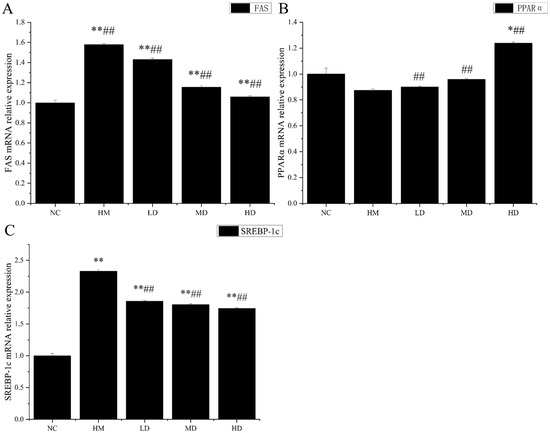
Pomelo peel is a natural plant product with numerous pharmacological effects and is used in traditional Chinese medicine. In the present study, we extracted naringin from pomelo peel and aimed to decipher its therapeutic potential against hyperlipidemia. We used ultrasonic-assisted extraction to obtain naringin prior to identifying its structure, to evaluate its ability in binding sodium glycine cholate and sodium bovine cholate in vitro by simulating the gastrointestinal environment, so as to evaluate its blood lipid-lowering activity. The hyperlipidemia mouse model was established. Following the intragastric administration of naringin for 5 weeks, we measured the weight change, organ index, high-density lipoprotein cholesterol (HDL-C), serum total cholesterol (TC), serum triglycerides (TG), liver superoxide dismutase (SOD), glutathione peroxidase (GSH-Px), low-density lipoprotein cholesterol (LDL-C) level, malondialdehyde (MDA), alanine aminotransferase (ALT), and aspartate aminotransferase (AST) level of mice in the normal control and high-fat diet groups in addition to the high-, medium-, and low-dose naringin groups. The pathological changes in the liver were observed under a light microscope. The total RNA of the liver was extracted, and the mRNA expression level of lipid metabolism-related factors in mouse liver was detected via a fluorescence quantitative polymerase chain reaction (PCR). Naringin significantly (p < 0.01) reduced the body weight, organ index, serum TG, LDL-C, and TC levels of hyperlipidemic mice, but increased the serum HDL-C levels (p < 0.01). Furthermore, naringin increased GSH Px and SOD activity (p < 0.01), while decreasing MDA, ALT, and AST levels, as well as the liver index (p < 0.01). There was no statistically significant difference in the brain, heart, spleen, kidney, and other indicators (p > 0.05). A histopathological analysis of mouse liver showed that naringin could alleviate the degenerative damage of fatty liver cells in hyperlipidemic mice. Naringin could significantly (p < 0.01) reduce the expression of FAS and SREBP-1c mRNA, and simultaneously increase PPARα mRNA expression. This study shows that naringin has the strong effect of lowering lipids and protecting the liver in hyperlipidemic mice. Our findings underscore the anti-hyperlipidemia potential of naringin and increase the scientific understanding of its anti-hyperlipidemia effects, that may lead to its potential application as a dietary strategy for hyperlipidemia management in the future. Full article
Show Figures

Figure 1

18 pages, 6086 KB  
Article
A Pumpkin-Based Emulsion Gel as a Texture Improvement of Mixed Horsemeat Semi-Smoked Sausages
by Rysgul Ashakayeva, Bakhytkul Assenova, Galiya Tumenova, Almagul Nurgazezova, Gulnara Zhumanova, Zhibek Atambayeva, Assemgul Baikadamova, Dmitrii Il and Assel Dautova
Foods 2022, 11(23), 3886; https://doi.org/10.3390/foods11233886 - 1 Dec 2022
Cited by 10 | Viewed by 3769
Abstract
Semi-smoked sausages were made with 5%, 10%, 15%, 20%, and 25% replacement of horsemeat by emulsion gel made with offal broth (stomach, kidney, liver, heart, brain, and a miscellaneous trimmings of a horse), pumpkin flour, and egg yolk in a ratio of 5:4:1. [...] Read more.
Semi-smoked sausages were made with 5%, 10%, 15%, 20%, and 25% replacement of horsemeat by emulsion gel made with offal broth (stomach, kidney, liver, heart, brain, and a miscellaneous trimmings of a horse), pumpkin flour, and egg yolk in a ratio of 5:4:1. The technological, nutritional, oxidative, and rheological (G′ and G″) properties were studied. Sausage water holding capacity (WHC) rose after being incorporated with pumpkin-based emulsion gel (PEG). There was a statistically significant (p < 0.01) improvement in sausage emulsion stability. Lipid oxidation in all samples, especially 5% and 15% addition of emulsion gel samples, was below the rancidity criterion, which is TBARS > 2.0–2.5 mg MDA/kg sample. This really is encouraging because unsaturated fatty acids, such as those found in horsemeat, are easily oxidized. Use of the emulsion gel did not noticeably alter the sausages’ pH. Using emulsion gel considerably reduced the cooking loss (p < 0.05) of sausages and significantly improved texture (p < 0.05). Partial replacement of mixed horsemeat with emulsion gel improved the physicochemical characteristics of semi-smoked sausages. The elasticity modulus (G′) showed that PEG15 (15% of emulsion gel) was the most resilient gel. The least powerful gels (p < 0.05) were PEG20 and PEG25. According to this study, adding a pumpkin-based emulsion gel to the meat matrix could improve the quality of the emulsified meat system and provide important data for related research and companies as strategies to market a healthier and more nutritious product with the necessary quality characteristics. Full article
(This article belongs to the Special Issue Women’s Special Issue Series: Food Science)
Show Figures

Figure 1

23 pages, 766 KB  
Review
Valuation of Goat and Sheep By-Products: Challenges and Opportunities for Their Use
by Ana Rita Ribeiro de Araújo Cordeiro, Taliana Kênia Alencar Bezerra and Marta Suely Madruga
Animals 2022, 12(23), 3277; https://doi.org/10.3390/ani12233277 - 24 Nov 2022
Cited by 14 | Viewed by 7313
Abstract
Goat and sheep meat production is a challenge for the meat industry as well as for environmental management. Yet within cultures, certain by-products, such as liver, the lungs, heart, brain, spleen, blood, tail and ears, are traditionally used in the production of typical [...] Read more.
Goat and sheep meat production is a challenge for the meat industry as well as for environmental management. Yet within cultures, certain by-products, such as liver, the lungs, heart, brain, spleen, blood, tail and ears, are traditionally used in the production of typical dishes for regional or local cuisine. These by-products are a rich source of lipids, proteins, essential amino acids, B-complex vitamins, and minerals. They can be effectively exploited for higher (value-added) applications, including functional foods or feed ingredients, food supplements, enzymes and other chemical products such as hydrolyzed proteins and flavorings. This review article gathers data on: (i) the production of by-products obtained from slaughter and available for processing, and (ii) potential strategies for using and applying these by-products in obtaining new value-added ingredients. Other than proteins, the review discusses other macromolecules and possible uses of these by-products in culinary dishes, as hydrolyzed enzymes, and as food additives. Even though these by-products undoubtedly present themselves as rich in nutrients, there remains an unfortunate lack of documented information on the potential use of these by-products for their bioactive components, peptides that have various biological and technological properties, and the use of hydrolyzed versions of these by-products as precursors for the production of flavorings. Full article
Show Figures

Figure 1

18 pages, 3175 KB  
Article
Genetic Mechanism of Tissue-Specific Expression of PPAR Genes in Turbot (Scophthalmus maximus) at Different Temperatures
by Xinan Wang, Tingting Zhao and Aijun Ma
Int. J. Mol. Sci. 2022, 23(20), 12205; https://doi.org/10.3390/ijms232012205 - 13 Oct 2022
Cited by 6 | Viewed by 2334
Abstract
In this study, we used PCR to measure the levels of the peroxisome proliferator activated receptor genes PPARα1, PPARα2, PPARβ, and PPARγ in the intestine, liver, gill, heart, kidney, brain, muscle, spleen, skin, and stomach of turbot (Scophthalmus maximus) [...] Read more.
In this study, we used PCR to measure the levels of the peroxisome proliferator activated receptor genes PPARα1, PPARα2, PPARβ, and PPARγ in the intestine, liver, gill, heart, kidney, brain, muscle, spleen, skin, and stomach of turbot (Scophthalmus maximus) cultured under different temperature conditions (14, 20, 23, 25, and 28 °C). We used split-split-plot (SSP) analysis of variance, additive main effects and multiplicative interaction (AMMI) analysis, and genotype main effects and genotype × environment interaction (GGE) biplot analysis to evaluate the genotype × tissue interaction effects on gene expression. The results of the SSP analysis of variance showed that temperature and tissue × gene have highly significant (p < 0.01) effect on the expression of S. maximus PPAR genes. The AMMI analysis results revealed that the expression of PPAR genes at the appropriate temperature (14 °C) mainly depended on genotype × tissue interaction and tissue effects. Under stress temperatures, genotype effects, tissue effects, and genotype × tissue interaction, all had significant effects on the expression of PPAR genes. The contribution of the genotype effect slowly increased with increasing temperature; it increased faster at 20 °C and then slowly declined at 25 °C. The contribution of the tissue effect slowly increased from 14 to 20 °C, where it sharply decreased, and then it stabilized after a slight fluctuation. The contribution of the genotype × tissue interaction effect showed a fluctuating upward trend throughout the experiment, and it had a significant impact on PPAR gene expression. The key temperature at which the three effects changed was 20 °C, indicating that it is the limit temperature for active lipid metabolism under high-temperature stress. The GGE biplot analysis results showed that under suitable water temperature, the expression difference of PPAR genes in the liver was the largest; at 20 and 23 °C, the expression difference in the gill was the largest; and at 25 and 28 °C, the expression difference in the brain was the largest. Overall, our results suggest that the mechanism responsible for PPAR gene expression under the three high temperatures (23, 25, and 28 °C) was relatively consistent, but it differed from that at 20 °C. Full article
(This article belongs to the Section Molecular Genetics and Genomics)
Show Figures

Figure 1

21 pages, 1128 KB  
Review
Delivery of RNAs to Specific Organs by Lipid Nanoparticles for Gene Therapy
by Kelly Godbout and Jacques P. Tremblay
Pharmaceutics 2022, 14(10), 2129; https://doi.org/10.3390/pharmaceutics14102129 - 7 Oct 2022
Cited by 43 | Viewed by 13057
Abstract
Gene therapy holds great promise in the treatment of genetic diseases. It is now possible to make DNA modifications using the CRISPR system. However, a major problem remains: the delivery of these CRISPR-derived technologies to specific organs. Lipid nanoparticles (LNPs) have emerged as [...] Read more.
Gene therapy holds great promise in the treatment of genetic diseases. It is now possible to make DNA modifications using the CRISPR system. However, a major problem remains: the delivery of these CRISPR-derived technologies to specific organs. Lipid nanoparticles (LNPs) have emerged as a very promising delivery method. However, when delivering LNPs intravenously, most of the cargo is trapped by the liver. Alternatively, injecting them directly into organs, such as the brain, requires more invasive procedures. Therefore, developing more specific LNPs is crucial for their future clinical use. Modifying the composition of the lipids in the LNPs allows more specific deliveries of the LNPs to some organs. In this review, we have identified the most effective compositions and proportions of lipids for LNPs to target specific organs, such as the brain, lungs, muscles, heart, liver, spleen, and bones. Full article
Show Figures

Graphical abstract

18 pages, 1303 KB  
Article
Living in the Extreme: Fatty Acid Profiles and Their Specificity in Certain Tissues of Dominant Antarctic Silverfish, Pleuragramma antarcticum, from the Antarctic Sound (Southern Ocean) Collected during the Austral Summer
by Svetlana N. Pekkoeva, Viktor P. Voronin, Aleksej V. Mishin, Alexei M. Orlov and Svetlana A. Murzina
Diversity 2022, 14(10), 817; https://doi.org/10.3390/d14100817 - 29 Sep 2022
Cited by 3 | Viewed by 2902
Abstract
The fatty acid profile of seven different organs (brain, gills, heart, muscles, gonads, liver, and gall bladder) of the lipid-rich Antarctic silverfish, Pleuragramma antarcticum, from the Antarctic Sound was studied. Qualitative and quantitative analyses of fatty acids were performed using gas chromatography [...] Read more.
The fatty acid profile of seven different organs (brain, gills, heart, muscles, gonads, liver, and gall bladder) of the lipid-rich Antarctic silverfish, Pleuragramma antarcticum, from the Antarctic Sound was studied. Qualitative and quantitative analyses of fatty acids were performed using gas chromatography with mass-selective and flame ionization detectors. It was seen that the muscles and gills differed from the other organs with the prevalence of saturated fatty acids, mainly due to 16:0 and 14:0 that may reveal their additional metabolic role in these organs for adaptation of the fish to the cold Antarctic waters. Monounsaturated fatty acids 18:1(n − 9) and 16:1(n − 7) were prevalent in the other organs of silverfish, especially their high content in the liver, reflecting the carnivorous feeding type (mainly adult ice krill) of the species and their dietary preferences in the austral summer. The high content of essential fatty acids, 22:6(n − 3) (14% of total fatty acids) found in the brain and 20:5(n − 3) (12% of total fatty acids) found in the muscles, highlights the functional significance of these lipid components in the studied tissues of fish. The results will improve the understanding of the functional value of individual fatty acids in terms of their organ specificity and the adaptation of the Antarctic silverfish to life in the frigid ice waters of the Antarctic pelagic ecosystem. Full article
Show Figures

Figure 1

13 pages, 4628 KB  
Article
Evidence of a Gastro-Duodenal Effect on Adipose Tissue and Brain Metabolism, Potentially Mediated by Gut–Liver Inflammation: A Study with Positron Emission Tomography and Oral 18FDG in Mice
by Maria Angela Guzzardi, Federica La Rosa, Daniela Campani, Andrea Cacciato Insilla, Monica Nannipieri, Maurizia Rossana Brunetto, Ferruccio Bonino and Patricia Iozzo
Int. J. Mol. Sci. 2022, 23(5), 2659; https://doi.org/10.3390/ijms23052659 - 28 Feb 2022
Cited by 5 | Viewed by 3048
Abstract
Interventions affecting gastrointestinal (GI) physiology suggest that the GI tract plays an important role in modulating the uptake of ingested glucose by body tissues. We aimed at validating the use of positron emission tomography (PET) with oral 18FDG administration in mice, and [...] Read more.
Interventions affecting gastrointestinal (GI) physiology suggest that the GI tract plays an important role in modulating the uptake of ingested glucose by body tissues. We aimed at validating the use of positron emission tomography (PET) with oral 18FDG administration in mice, and to examine GI effects on glucose metabolism in adipose tissues, brain, heart, muscle, and liver, and interfering actions of oral lipid co-administration. We performed sequential whole-body PET studies in 3 groups of 10 mice, receiving i.p. glucose and 18FDG or oral glucose and 18FDG ± lipids, to measure tissue glucose uptake (GU) and GI transit, and compute the absorption lumped constant (LCa) as ratio of oral 18FDG-to-glucose incremental blood levels. GI and liver histology and circulating hormones were tested to generate explanatory hypothesis. Median LCa was 1.18, constant over time and not significantly affected by lipid co-ingestion. Compared to the i.p. route, the oral route (GI effect) resulted in lower GU rates in adipose tissues and brain, and a greater steatohepatitis score (+17%, p = 0.03). Lipid co-administration accelerated GI transit, in relation to the suppression in GIP, GLP1, glucagon, PP, and PYY (GI motility regulators), abolishing GI effects on subcutaneous fat GU. Duodenal crypt size, gastric wall 18FDG uptake, and macro-vesicular steatosis were inversely related to adipose tissue GU, and positively associated with liver GU. We conclude that 18FDG-PET is a suitable tool to examine the role of the GI tract on glucose transit, absorption, and bio-distribution. The GI effect consists in the suppression of glucose metabolism selectively in organs responsible for energy intake and storage, and is blunted by lipid ingestion. Modulation of gut and liver inflammation, as reflected by high GU, may be involved in the acute signalling of the energy status. Full article
(This article belongs to the Special Issue Gut Hormone: From Molecular Mechanism to Clinical Aspects 2021)
Show Figures

Figure 1

Back to TopTop