Sign in to use this feature.

Years

Between: -

Subjects

remove_circle_outline
remove_circle_outline
remove_circle_outline
remove_circle_outline
remove_circle_outline
remove_circle_outline
remove_circle_outline

Journals

Article Types

Countries / Regions

Search Results (12)

Search Parameters:
Keywords = bivariate binary responses

Order results
Result details
Results per page
Select all
Export citation of selected articles as:
22 pages, 343 KB  
Article
Subset Selection with Curtailment Among Treatments with Two Binary Endpoints in Comparison with a Control
by Chishu Yin, Elena M. Buzaianu, Pinyuen Chen and Lifang Hsu
Mathematics 2025, 13(19), 3067; https://doi.org/10.3390/math13193067 - 24 Sep 2025
Viewed by 496
Abstract
We propose a sequential procedure with a closed and adaptive structure. It selects a subset of size t(>0) from k(t) treatments in such a way that any treatment superior to the control is guaranteed to [...] Read more.
We propose a sequential procedure with a closed and adaptive structure. It selects a subset of size t(>0) from k(t) treatments in such a way that any treatment superior to the control is guaranteed to be included. All the experimental treatments and the control are assumed to produce two binary endpoints, and the procedure is based on those two binary endpoints. A treatment is considered superior if both its endpoints are larger than those of the control. While responses across treatments are assumed to be independent, dependence between endpoints within each treatment is allowed and modeled via an odds ratio. The proposed procedure comprises explicit sampling, stopping, and decision rules. We demonstrate that, for any sample size n and parameter configuration, the probability of correct selection remains unchanged when switching from the fixed-sample-size procedure to the sequential one. We use the bivariate binomial and multinomial distributions in the computation and derive design parameters under three scenarios: (i) independent endpoints, (ii) dependent endpoints with known association, and (iii) dependent endpoints with unknown association. We provide tables with the sample size savings achieved by the proposed procedure compared to its fixed-sample-size counterpart. Examples are given to illustrate the procedure. Full article
(This article belongs to the Special Issue Sequential Sampling Methods for Statistical Inference)
17 pages, 269 KB  
Article
HPV-Related Knowledge and Impact of Patient–Provider Communication on HPV-Associated Cervical Cancer Awareness and Pap Smear Completion in US Women Aged 21–65 Years
by Adrienne Dean, Nada Eldawy, Jennifer Mendonca, Diana Lobaina, Yasmine Zerrouki, Goodness Okwaraji, Vama Jhumkhawala, Sara Burgoa, Chinenye Lynette Ejezie, Panagiota Kitsantas, Maria Mejia and Lea Sacca
Cancers 2025, 17(7), 1188; https://doi.org/10.3390/cancers17071188 - 31 Mar 2025
Cited by 4 | Viewed by 1409
Abstract
Background: The United States (US) continues to face a substantial burden of cervical cancer, which has been the focus of many policies and public health prevention agendas. Of the numerous risk factors associated with cervical cancer, human papillomavirus (HPV) infection remains the leading [...] Read more.
Background: The United States (US) continues to face a substantial burden of cervical cancer, which has been the focus of many policies and public health prevention agendas. Of the numerous risk factors associated with cervical cancer, human papillomavirus (HPV) infection remains the leading and most preventable cause of this chronic disease. Therefore, one major public health prevention strategy to decrease cervical cancer cases is HPV vaccination. Another screening tool that enables cervical cancer prevention and early intervention is the Pap smear, the primary method of screening for abnormal cervical cells. However, barriers such as social determinants of health and ineffective patient–provider communication hinder access to such critical preventive measures. The purpose of this study was to provide a comprehensive overview of the knowledge level of US female adults, aged 21–65 years, concerning HPV infection and cervical cancer prevention using the Health Information National Trends Survey (HINTS) database. Additionally, it assessed associations between patient–provider communication and the completion of Pap smear tests. Methods: Descriptive statistics were computed to explore the sociodemographic characteristics of female survey participants as well as to gather frequency and percentages of responses related to knowledge of HPV, awareness of the HPV vaccine, and history of Pap smear. Chi-squared tests were carried out to examine the associations between awareness of a cervical cancer vaccine or HPV shot and whether the participant has had a Pap smear, heard of the HPV vaccine, and knowledge of HPV’s association with cervical cancer. Next, binary logistic regression models were built to determine the size and direction of the association between patient–provider communication metrics and measures of (1) having had a Pap smear, (2) participant knowledge of HPV, (3) participant awareness of causality between HPV and cervical cancer, and (4) participant knowledge of HPV vaccine and cervical cancer prevention measures. Results: A substantial majority of participants (81.8%) reported having heard of HPV. Among them, 72.1% recognized that HPV could cause cervical cancer. Awareness of the HPV vaccine was reported by 88.1%, suggesting a relatively high reach of effective public health messaging. Regarding Pap tests, 43.3% of participants had undergone testing within the past year, but 12.6% had not been tested in over five years, and 3.6% have never been tested. Bivariate analysis using chi-squared tests revealed significant associations between participants’ history of Pap smears and their knowledge of HPV infection, its role in cervical cancer, and HPV vaccination as a prevention tool. Participants who had undergone a Pap test were more likely to have heard of HPV (p < 0.001), were knowledgeable of the HPV vaccine (p < 0.001), and were more aware of the HPV vaccine (p < 0.001). Participants reporting “never” for certain communication criteria significantly had an increased risk of having lower knowledge levels about the HPV vaccine and other cervical cancer prevention measures. They also had almost twice the risk of having lower knowledge levels about HPV prevention measures when reporting “never” (RR = 1.997, 95% CI (1.018–3.916) for “spending enough time with patients” compared to those selecting “always”. Additionally, participants responding “sometimes” (RR = 1.889, 95% CI (1.187–3.005) rather than “always” to feeling involved in healthcare decisions had a significantly higher risk of being unaware of the vaccine or other cervical cancer prevention measures. Conclusions: Strengthening provider communication and education skills not only encourages greater patient knowledge and adherence to preventative measures, such as HPV and cervical cancer screening, but also reduces disparities in healthcare stemming from limited health literacy. Full article
(This article belongs to the Special Issue Cervical Cancer: Risk Factors, Screening, and Prevention Strategies)
21 pages, 340 KB  
Article
Adaptation of the Information, Motivation, and Behavioral Skills Framework for Understanding COVID-19 Prevention Behaviors among Youth and Young Adults by Sexual Identity, Gender Identity and Race/Ethnicity
by Gregory Phillips, Jiayi Xu, Michael G. Curtis, Megan M. Ruprecht, Shahin Davoudpour, Joseph Choi, Kay Quiballo, Sophia Huang and Kathryn Macapagal
Sexes 2023, 4(4), 656-676; https://doi.org/10.3390/sexes4040042 - 12 Dec 2023
Cited by 2 | Viewed by 2471
Abstract
Youth and young adults (YYA) have been uniquely affected by COVID-19. Behavioral models have not yet been applied to understand YYA’s preventive behavior, though the Information–Motivation–Behavior (IMB) model may be appropriate. We used data from a national, diverse survey of COVID-19 effects and [...] Read more.
Youth and young adults (YYA) have been uniquely affected by COVID-19. Behavioral models have not yet been applied to understand YYA’s preventive behavior, though the Information–Motivation–Behavior (IMB) model may be appropriate. We used data from a national, diverse survey of COVID-19 effects and prevention behaviors in YYA ages 14–24 (n = 1026) and conducted an exploratory factor analysis and bivariate linear regressions to assess the association between demographics and IMB measures. Significant differences by sexual identity were identified, with bisexual/pansexual, gay/lesbian, and queer populations reporting significantly lower prevention stigma, in comparison to their straight respondents. Non-binary respondents (vs. women/girls) and transgender and gender diverse individuals (vs. cisgender) had significantly higher intentions to social distance. Racial/ethnicity differences were also found in lower prevention efficacy beliefs (Latinx and multiracial vs. white), and lower motivation norms (Black and Latinx vs. white). Our findings about critical disparities in IMB measures provide recommendations for future prevention research, practice, and policy development in response to the pandemic, particularly related to highly marginalized communities. Full article
(This article belongs to the Section Sexual Behavior and Attitudes)
20 pages, 1718 KB  
Article
Epidemiological Determinants of Patient Non-Conveyance to the Hospital in an Emergency Medical Service Environment
by Hassan Farhat, Cyrine Abid, Kawther El Aifa, Padarath Gangaram, Andre Jones, Mohamed Chaker Khenissi, Moncef Khadhraoui, Imed Gargouri, Loua Al-Shaikh, James Laughton and Guillaume Alinier
Int. J. Environ. Res. Public Health 2023, 20(14), 6404; https://doi.org/10.3390/ijerph20146404 - 20 Jul 2023
Cited by 11 | Viewed by 3628
Abstract
Background: The increasing prevalence of comorbidities worldwide has spurred the need for time-effective pre-hospital emergency medical services (EMS). Some pre-hospital emergency calls requesting EMS result in patient non-conveyance. Decisions for non-conveyance are sometimes driven by the patient or the clinician, which may jeopardize [...] Read more.
Background: The increasing prevalence of comorbidities worldwide has spurred the need for time-effective pre-hospital emergency medical services (EMS). Some pre-hospital emergency calls requesting EMS result in patient non-conveyance. Decisions for non-conveyance are sometimes driven by the patient or the clinician, which may jeopardize the patients’ healthcare outcomes. This study aimed to explore the distribution and determinants of patient non-conveyance to hospitals in a Middle Eastern national Ambulance Service that promotes the transportation of all emergency call patients and does not adopt clinician-based non-conveyance decision. Methods: Using R Language, descriptive, bivariate, and binary logistic regression analyses were conducted for 334,392 multi-national patient non-conveyance emergency calls from June 2018 to July 2022, from a total of 1,030,228 calls to which a response unit was dispatched. Results: After data pre-processing, 237,862 cases of patient non-conveyance to hospital were retained, with a monthly average of 41.96% (n = 8799) of the emergency service demands and a standard deviation of 5.49% (n = 2040.63). They predominantly involved South Asians (29.36%, n = 69,849); 64.50% (n = 153,427) were of the age category from 14 to 44 years; 61.22% (n = 145,610) were male; 74.59% (n = 177,424) from the urban setting; and 71.28% (n = 169,552) had received on-scene treatment. Binary logistic regression with full variables and backward methods identified the final models of the determinants of patient non-conveyance decisions with an Akaike information criterion prediction estimator, respectively, of (250,200) and (250,169), indicating no significant difference between both models (Chi-square test; p-value = 0.63). Conclusions: Despite exercising a cautious protocol by encouraging patient transportation to hospital, patient non-conveyance seems to be a problem in the healthcare system that strains the pre-hospital medical response teams’ resources. Policies and regulations should be adopted to encourage individuals to access other primary care centers when required rather than draining emergency services for non-emergency situations. Full article
(This article belongs to the Section Health Care Sciences & Services)
Show Figures

Figure 1

15 pages, 648 KB  
Article
Clinical and Epidemiological Profiles of Primary Healthcare Professionals with COVID-19 Infection and Long COVID: An Observational Study
by Esperanza Romero-Rodríguez, Rodrigo Vélez-Santamaría, Luis Ángel Pérula-de-Torres, Jesús González-Lama, Rafael Ángel Castro-Jiménez, Lucía Simón-Vicente, Celia Jiménez-García, Jerónimo J. González-Bernal, Mirian Santamaría-Peláez, Jessica Fernández-Solana and Josefa González-Santos
Healthcare 2023, 11(12), 1677; https://doi.org/10.3390/healthcare11121677 - 7 Jun 2023
Cited by 7 | Viewed by 2174
Abstract
Health professionals have been one of the groups most affected by the SARS-CoV-2 virus. Currently, there is little scientific evidence on the similarities and differences between COVID-19 infection and the development of long COVID in primary care (PC) workers. Therefore, it is necessary [...] Read more.
Health professionals have been one of the groups most affected by the SARS-CoV-2 virus. Currently, there is little scientific evidence on the similarities and differences between COVID-19 infection and the development of long COVID in primary care (PC) workers. Therefore, it is necessary to analyse their clinical and epidemiological profiles in depth. This study was observational and descriptive, including PC professionals who were divided into three comparison groups based on the diagnostic test for acute SARS-CoV-2 infection. The responses were analysed using descriptive and bivariate analysis to examinate the relationship between independent variables and the presence or not of long COVID. Binary logistic regression analysis was also conducted, with each symptom as the dependent variable and each group as the independent variable. The results describe the sociodemographic characteristics of these population groups, revealing that women in the health sector are the most affected by long COVID and that being in this group is associated with its development. Furthermore, individuals with long COVID exhibited the highest number of symptoms and pathologies. Certain symptoms were found to be associated with long COVID development in this population, including an altered sense of smell, pneumonia, fever, and sore throat, among others. Similarly, altered senses of smell and taste, chest tightness, and joint pain, among others, were found to be associated with acute COVID-19 infection. Additionally, patients with pre-existing overweight or obesity were more likely to experience acute COVID-19 and develop long COVID. The data obtained can be crucial for improving the detection, diagnosis, and treatment of long COVID patients, ultimately leading to an enhancement in their quality of life. Full article
(This article belongs to the Collection The Impact of COVID-19 on Healthcare Services)
Show Figures

Figure 1

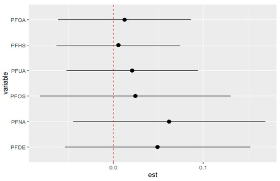
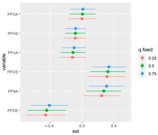
22 pages, 4560 KB  
Article
Combined Effects of Multiple Per- and Polyfluoroalkyl Substances Exposure on Allostatic Load Using Bayesian Kernel Machine Regression
by Tahir Bashir and Emmanuel Obeng-Gyasi
Int. J. Environ. Res. Public Health 2023, 20(10), 5808; https://doi.org/10.3390/ijerph20105808 - 12 May 2023
Cited by 7 | Viewed by 4119
Abstract
This study aims to investigate the combined effects of per- and polyfluoroalkyl substances (PFAS) on allostatic load, an index of chronic stress that is linked to several chronic diseases, including cardiovascular disease and cancer. Using data from the National Health and Nutrition Examination [...] Read more.
This study aims to investigate the combined effects of per- and polyfluoroalkyl substances (PFAS) on allostatic load, an index of chronic stress that is linked to several chronic diseases, including cardiovascular disease and cancer. Using data from the National Health and Nutrition Examination Survey (NHANES) 2007–2014, this study examines the relationship between six PFAS variables (PFDE, PFNA, PFOS, PFUA, PFOA, and PFHS) and allostatic load using Bayesian Kernel Machine Regression (BKMR) analysis. The study also investigates the impact of individual and combined PFAS exposure on allostatic load using various exposure-response relationships, such as univariate, bivariate, or multivariate models. The analysis reveals that the combined exposure to PFDE, PFNA, and PFUA had the most significant positive trend with allostatic load when it was modeled as a binary variable, while PFDE, PFOS, and PFNA had the most significant positive trend with allostatic load when modeled as a continuous variable. These findings provide valuable insight into the consequences of cumulative exposure to multiple PFAS on allostatic load, which can help public health practitioners identify the dangers associated with potential combined exposure to select PFAS of interest. In summary, this study highlights the critical role of PFAS exposure in chronic stress-related diseases and emphasizes the need for effective strategies to minimize exposure to these chemicals to reduce the risk of chronic diseases. It underscores the importance of considering the combined effects of PFAS when assessing their impact on human health and offers valuable information for policymakers and regulators to develop strategies to protect public health. Full article
Show Figures

Figure 1

10 pages, 919 KB  
Article
Awareness and Use of Virtual Clinics following the COVID-19 Pandemic in Saudi Arabia
by Saja Al-Rayes, Arwa Alumran, Haifa Aljanoubi, Aram Alkaltham, Manar Alghamdi and Duaa Aljabri
Healthcare 2022, 10(10), 1893; https://doi.org/10.3390/healthcare10101893 - 28 Sep 2022
Cited by 10 | Viewed by 3460
Abstract
Studies have shown that virtual clinics enjoyed high use and high patient satisfaction during the COVID-19 pandemic. Thus, virtual clinics are expected to be the new normal mode of receiving care after the COVID-19 pandemic. This study aimed to assess public awareness and [...] Read more.
Studies have shown that virtual clinics enjoyed high use and high patient satisfaction during the COVID-19 pandemic. Thus, virtual clinics are expected to be the new normal mode of receiving care after the COVID-19 pandemic. This study aimed to assess public awareness and use of virtual clinics following the pandemic and identify factors associated with virtual clinic use. Methods: A cross-sectional design was employed in which data were collected via a structured online questionnaire based on the Technology Acceptance Model (TAM) domains: perceived usefulness, perceived ease of use, and social influence. Participants were selected based on the non-probability sampling of convenience. Univariate, bivariate, and binary logistic regression models were used for analysis. Results: A total of 405 responses were received; of those, 286 (70.6%) were aware of the existence of virtual clinics and 99 (34.6%) were post-pandemic users. Among users, 50% used virtual clinics more than two times, 72% used virtual clinics to seek care for themselves, with the vast majority using it via voice calls (83.8%), and for visits to the family medicine clinic (55%). Young adults, females, single adults, those with a higher level of education, the employed, and those with lower income were more likely to use virtual clinics (p < 0.05). The logistic regression model showed that 20% of the variation in virtual clinic use was explained by perceived usefulness and perceived use (p < 0.001). Conclusion: This study showed high awareness of virtual clinics among the population following the COVID-19 pandemic, with one-third being active users. Age, gender, marital status, education, income, employment status, perceived usefulness, and ease of use are associated with virtual clinics’ awareness and use. Considering those factors is important when planning for sustained use of e-health and virtual care. Full article
(This article belongs to the Special Issue COVID-19: Digital Health Response around the World)
Show Figures

Figure 1

13 pages, 1140 KB  
Article
Predictors of Low Back Pain Risk among Rubber Harvesters
by Parnchon Chokprasit, Supabhorn Yimthiang and Siriluk Veerasakul
Int. J. Environ. Res. Public Health 2022, 19(17), 10492; https://doi.org/10.3390/ijerph191710492 - 23 Aug 2022
Cited by 9 | Viewed by 3809
Abstract
Low back pain (LBP) is a significant work-related musculoskeletal disorder among rubber farmers. This major occupational health problem was highly reported in the agricultural sector. While rubber farming is a profession with high risk of LBP, predictors for LBP remain unclear. This study [...] Read more.
Low back pain (LBP) is a significant work-related musculoskeletal disorder among rubber farmers. This major occupational health problem was highly reported in the agricultural sector. While rubber farming is a profession with high risk of LBP, predictors for LBP remain unclear. This study was designed to investigate the risk predictors of LBP among rubber farmers during the harvesting process. A cross-sectional study was conducted between January and March 2021, in which an interviewer administered a pretested structured questionnaire. Bivariate and multivariate binary logistic regression analyses were performed. A total of 317 rubber farmers were recruited with a 100% response rate. The prevalence of LBP was 71.2% with 95% confidence interval (CI) of (0.716–1.900). Significant risk predictors were working experience (adjusted odds ratio (AOR): 1.743, 95% CI (1.034–2.937)), agricultural registration (AOR: 2.022, 95% CI (1.078–3.792)), work without training (AOR: 2.037, 95% CI (1.083–3.832)), heavy workload (AOR: 2.120, 95% CI (1.242–3.621)), and prolonged standing (AOR: 2.944, 95% CI (1.586–5.465)). Intriguingly, those with sufficient income had a reduced risk of LBP than those with insufficient income. This study confirmed that LBP is a major work-related musculoskeletal disorder among rubber farmers. The result here suggests that the five predictors reported above should be prioritized for further disease prevention. Full article
(This article belongs to the Special Issue Second Edition: Low Back Pain (LBP))
Show Figures

Figure 1

11 pages, 465 KB  
Article
Use of Vaginal Dinoprostone (PGE2) in Patients with Premature Rupture of Membranes (PROM) Undergoing Induction of Labor: A Comparative Study
by Nuria López-Jiménez, Fiamma García-Sánchez, Rafael Hernández Pailos, Valentin Rodrigo-Álvaro, Ana Pascual-Pedreño, María Moreno-Cid, Antonio Hernández-Martínez and Milagros Molina-Alarcón
J. Clin. Med. 2022, 11(8), 2217; https://doi.org/10.3390/jcm11082217 - 15 Apr 2022
Cited by 3 | Viewed by 3872
Abstract
Purpose: To evaluate the effect and safety of vaginal dinoprostone in pregnant women with PROM who undergo induction of labor (IoL). Materials and Methods: Prospective observational study conducted at La Mancha Centro hospital from 1 February 2019, to 30 August 2020. Obstetric and [...] Read more.
Purpose: To evaluate the effect and safety of vaginal dinoprostone in pregnant women with PROM who undergo induction of labor (IoL). Materials and Methods: Prospective observational study conducted at La Mancha Centro hospital from 1 February 2019, to 30 August 2020. Obstetric and neonatal variables of 94 pregnant women with PROM who underwent IoL with vaginal dinoprostone were analyzed, and the results were compared with 330 patients without PROM who also underwent IoL. Bivariate and multivariate analyses were performed using binary and multiple linear regression. Results: A total of 424 women were included in this study. A greater response to cervical ripening (Bishop score > 6) with PGE2 was observed in the PROM group (odds ratio (OR) 2.73, 95% confidence interval (CI) 1.50–4.99, p = 0.001), as well as a shorter total duration of IoL (mean difference (MD) 2823.37 min (min), 95% CI 1257.30–4389.43, p < 0.001). Cesarean sections were performed in 28.7% (n = 27) of patients in the PROM group vs. 34.2% (n = 113) of patients in the non-PROM group, with no significant differences (OR 0.87%, 95% CI 0.47–1.60, p = 0.652). There were no significant differences in changes in the cardiotocographic record (CTG), postpartum hemorrhage (PPH), uterine rupture, or adverse neonatal outcomes between the two groups. Conclusions: The use of vaginal dinoprostone in pregnant women undergoing IoL with PROM is safe for the mother and the fetus, shortens the total delivery time, and does not increase the risk of cesarean section compared with pregnant women undergoing IoL without PROM. Full article
(This article belongs to the Section Obstetrics & Gynecology)
Show Figures

Figure 1

11 pages, 264 KB  
Article
Association between Diet and Xerostomia: Is Xerostomia a Barrier to a Healthy Eating Pattern?
by Indre Stankeviciene, Jolanta Aleksejuniene, Alina Puriene and Lina Stangvaltaite-Mouhat
Nutrients 2021, 13(12), 4235; https://doi.org/10.3390/nu13124235 - 25 Nov 2021
Cited by 11 | Viewed by 4094
Abstract
Objective. Xerostomia is a subjective feeling of dry mouth and is commonly observed in patients with autoimmune diseases. Our study examines the association between xerostomia and diet. Materials and Methods. The cross-sectional study includes 1405 adults from 15 Lithuanian geographical areas (52% response [...] Read more.
Objective. Xerostomia is a subjective feeling of dry mouth and is commonly observed in patients with autoimmune diseases. Our study examines the association between xerostomia and diet. Materials and Methods. The cross-sectional study includes 1405 adults from 15 Lithuanian geographical areas (52% response rate). A self-reported questionnaire inquired about xerostomia, sex, age, education, residence, and consumption of selected 23 diet items. For the multivariable analysis, 23 diet items were categorized into eight major diet groups. The data were analyzed by bivariate and multivariable analyses. Results. When comparing participants with and without xerostomia, there were significant differences in consumption frequencies concerning cold-pressed oil (p = 0.013), bread (p = 0.029), processed meat products (p = 0.016), fat and lean fish (p = 0.009), and probiotic supplements (p = 0.002). In the multivariable binary logistic regression model, when controlled for other determinants, the higher consumption of carbohydrates (OR 0.39, 95% CI 0.23–0.65), proteins (OR 0.56, 95% CI 0.32–0.99), and oils (OR 0.58, 95% CI 0.34–1.00) was associated with a lower likelihood of xerostomia. Conclusions. The association between xerostomia and the consumption of the six diet items—cold-pressed oils, lean and fat fish, bread, processed meat, and probiotic supplements— and the three major diet groups—carbohydrates, proteins, and oils—was observed. Longitudinal studies are needed to validate the observed associations. Full article
18 pages, 525 KB  
Article
A Logit Model for Bivariate Binary Responses
by Purhadi Purhadi and M. Fathurahman
Symmetry 2021, 13(2), 326; https://doi.org/10.3390/sym13020326 - 16 Feb 2021
Cited by 11 | Viewed by 4286
Abstract
This article provides a bivariate binary logit model and statistical inference procedures for parameter estimation and hypothesis testing. The bivariate binary logit (BBL) model is an extension of the binary logit model that has two correlated binary responses. The BBL model responses were [...] Read more.
This article provides a bivariate binary logit model and statistical inference procedures for parameter estimation and hypothesis testing. The bivariate binary logit (BBL) model is an extension of the binary logit model that has two correlated binary responses. The BBL model responses were formed using a 2 × 2 contingency table, which follows a multinomial distribution. The maximum likelihood and Berndt–Hall–Hall–Hausman (BHHH) methods were used to obtain the BBL model. Hypothesis testing of the BBL model contains the simultaneous test and the partial test. The test statistics of the simultaneous test and the partial test were determined using the maximum likelihood ratio test method. The likelihood ratio statistics of the simultaneous test and the partial test were approximately asymptotically chi-square distributed with 3p degrees of freedom. The BBL model was applied to a real dataset, and the BBL model with the single covariate was better than the BBL model with multiple covariates. Full article
(This article belongs to the Section Mathematics)
Show Figures

Figure 1

23 pages, 677 KB  
Article
Road-Traffic Noise: Annoyance, Risk Perception, and Noise Sensitivity in the Finnish Adult Population
by Enembe Oku Okokon, Anu W. Turunen, Sari Ung-Lanki, Anna-Kaisa Vartiainen, Pekka Tiittanen and Timo Lanki
Int. J. Environ. Res. Public Health 2015, 12(6), 5712-5734; https://doi.org/10.3390/ijerph120605712 - 26 May 2015
Cited by 102 | Viewed by 10126
Abstract
Exposure to road-traffic noise commonly engenders annoyance, the extent of which is determined by factors not fully understood. Our aim was to estimate the prevalence and determinants of road-traffic noise annoyance and noise sensitivity in the Finnish adult population, while comparing the perceptions [...] Read more.
Exposure to road-traffic noise commonly engenders annoyance, the extent of which is determined by factors not fully understood. Our aim was to estimate the prevalence and determinants of road-traffic noise annoyance and noise sensitivity in the Finnish adult population, while comparing the perceptions of road-traffic noise to exhausts as environmental health problems. Using a questionnaire that yielded responses from 1112 randomly selected adult Finnish respondents, we estimated road-traffic noise- and exhausts-related perceived exposures, health-risk perceptions, and self-reported annoyance on five-point scales, while noise sensitivity estimates were based on four questions. Determinants of noise annoyance and sensitivity were investigated using multivariate binary logistic regression and linear regression models, respectively. High or extreme noise annoyance was reported by 17% of respondents. Noise sensitivity scores approximated a Gaussian distribution. Road-traffic noise and exhausts were, respectively, considered high or extreme population-health risks by 22% and 27% of respondents. Knowledge of health risks from traffic noise, OR: 2.04 (1.09–3.82) and noise sensitivity, OR: 1.07 (1.00–1.14) were positively associated with annoyance. Knowledge of health risks (p < 0.045) and positive environmental attitudes (p < 000) were associated with higher noise sensitivity. Age and sex were associated with annoyance and sensitivity only in bivariate models. A considerable proportion of Finnish adults are highly annoyed by road-traffic noise, and perceive it to be a significant health risk, almost comparable to traffic exhausts. There is no distinct noise-sensitive population subgroup. Knowledge of health risks of road-traffic noise, and attitudinal variables are associated with noise annoyance and sensitivity. Full article
(This article belongs to the Special Issue The Combined Health Effects of Environmental Exposures)
Show Figures

Figure 1

Back to TopTop