Combined Effects of Multiple Per- and Polyfluoroalkyl Substances Exposure on Allostatic Load Using Bayesian Kernel Machine Regression
Abstract
1. Introduction
2. Materials and Methods
2.1. Description of Cohort
2.2. Blood Serum Measurements
2.3. PFAS Extraction and Quantitation
2.4. Quantifying Allostatic Load
2.5. Operationalizing Allostatic Load
2.6. Statistical Analysis
2.6.1. Statistical Results Analysis Using BKMR
BKMR Analysis
2.6.2. BKMR Modeling for the Binary Outcome (Allostatic Load as 0 and 1)
3. Results
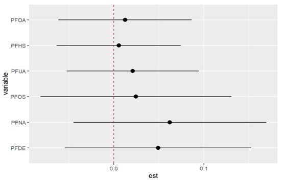
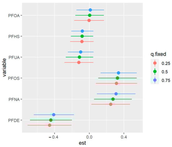
3.1. Critical PFAS Values Elevating Allostatic Load Is US Adults
3.2. BKMR Modeling for the Binary Outcome (Allostatic Load as 0 and 1) with Lead (within the Covariates)
3.3. BKMR Modeling for the Continuous Outcome (Allostatic Load as Countinuous Variable)
4. Discussion
5. Conclusions
Author Contributions
Funding
Institutional Review Board Statement
Informed Consent Statement
Data Availability Statement
Conflicts of Interest
References
- Wild, C.P. The exposome: From concept to utility. Int. J. Epidemiol. 2012, 41, 24–32. [Google Scholar] [CrossRef] [PubMed]
- Bashir, T.; Obeng-Gyasi, E. The Association between Multiple Per- and Polyfluoroalkyl Substances’ Serum Levels and Allostatic Load. Int. J. Environ. Res. Public Health 2022, 19, 5455. [Google Scholar] [CrossRef] [PubMed]
- Garg, S.; Kumar, P.; Mishra, V.; Guijt, R.; Singh, P.; Dumée, L.F.; Sharma, R.S. A review on the sources, occurrence and health risks of per-/poly-fluoroalkyl substances (PFAS) arising from the manufacture and disposal of electric and electronic products. J. Water Process Eng. 2020, 38, 101683. [Google Scholar] [CrossRef]
- Glüge, J.; Scheringer, M.; Cousins, I.T.; DeWitt, J.C.; Goldenman, G.; Herzke, D.; Lohmann, R.; Ng, C.A.; Trier, X.; Wang, Z. An overview of the uses of per- and polyfluoroalkyl substances (PFAS). Environ. Sci. Process. Impacts 2020, 22, 2345–2373. [Google Scholar] [CrossRef] [PubMed]
- Szyf, M.; McGowan, P.; Meaney, M.J. The social environment and the epigenome. Environ. Mol. Mutagen. 2008, 49, 46–60. [Google Scholar] [CrossRef] [PubMed]
- Caplin, A.; Ghandehari, M.; Lim, C.; Glimcher, P.; Thurston, G. Advancing environmental exposure assessment science to benefit society. Nat. Commun. 2019, 10, 1236. [Google Scholar] [CrossRef] [PubMed]
- Juster, R.-P.; McEwen, B.S.; Lupien, S.J. Allostatic load biomarkers of chronic stress and impact on health and cognition. Neurosci. Biobehav. Rev. 2010, 35, 2–16. [Google Scholar] [CrossRef]
- Utumatwishima, J.N.; Baker, R.L.; Bingham, B.A.; Chung, S.T.; Berrigan, D.; Sumner, A.E. Stress measured by allostatic load score varies by reason for immigration: The Africans in America study. J. Racial Ethn. Health Disparities 2018, 5, 279–286. [Google Scholar] [CrossRef]
- McEwen, B.S. Protective and damaging effects of stress mediators. N. Engl. J. Med. 1998, 338, 171–179. [Google Scholar] [CrossRef]
- Duong, M.T.; Bingham, B.A.; Aldana, P.C.; Chung, S.T.; Sumner, A.E. Variation in the calculation of allostatic load score: 21 examples from NHANES. J. Racial Ethn. Health Disparities 2017, 4, 455–461. [Google Scholar] [CrossRef]
- De Hollander, A.E.; Melse, J.M.; Lebret, E.; Kramers, P.G.J.E. An aggregate public health indicator to represent the impact of multiple environmental exposures. Epidemiology 1999, 10, 606–617. [Google Scholar] [CrossRef] [PubMed]
- Su, F.; Zeeshan, M.; Xiong, L.-H.; Lv, J.-Y.; Wu, Y.; Tang, X.-J.; Zhou, Y.; Ou, Y.-Q.; Huang, W.-Z.; Feng, W.-R. Co-exposure to perfluoroalkyl acids and heavy metals mixtures associated with impaired kidney function in adults: A community-based population study in China. Sci. Total Environ. 2022, 839, 156299. [Google Scholar] [CrossRef]
- Bobb, J.F.; Henn, B.C.; Valeri, L.; Coull, B.A.J.E.H. Statistical software for analyzing the health effects of multiple concurrent exposures via Bayesian kernel machine regression. Environ. Health 2018, 17, 67. [Google Scholar] [CrossRef] [PubMed]
- Bobb, J.F.; Valeri, L.; Henn, B.C.; Christiani, D.C.; Wright, R.O.; Mazumdar, M.; Godleski, J.J.; Coull, B.A. Bayesian kernel machine regression for estimating the health effects of multi-pollutant mixtures. Biostatistics 2015, 16, 493–508. [Google Scholar] [CrossRef] [PubMed]
- Hassan, A. A Simulation Study of Bayesian Kernel Machine Regression with Application to Environmental Epidemiology Studies; Örebro University: Örebro, Sweden, 2022. [Google Scholar]
- Stafoggia, M.; Breitner, S.; Hampel, R.; Basagaña, X. Statistical approaches to address multi-pollutant mixtures and multiple exposures: The state of the science. Curr. Environ. Health Rep. 2017, 4, 481–490. [Google Scholar] [CrossRef] [PubMed]
- Sun, Z.; Tao, Y.; Li, S.; Ferguson, K.K.; Meeker, J.D.; Park, S.K.; Batterman, S.A.; Mukherjee, B. Statistical strategies for constructing health risk models with multiple pollutants and their interactions: Possible choices and comparisons. Environ. Health 2013, 12, 85. [Google Scholar] [CrossRef]
- Bobb, J. Introduction to Bayesian Kernel Machine Regression and the Bkmr R Package; R: The R Foundation: Vienna, Austria, 2017. [Google Scholar]
- Centers for Disease Control and Prevention. Laboratory Procedure Manual for Perfluoroalkyl and Polyfluoroalkyl Substances (NHANES 2013−2014); Method No. 6304.06; Centers for Disease Control and Prevention: Atlanta, GA, USA, 2013. [Google Scholar]
- Mottaleb, M.A.; Petriello, M.C.; Morris, A.J. High-throughput uhplc-ms/ms measurement of per- and poly-fluorinated alkyl substances in human serum. J. Anal. Toxicol. 2020, 44, 339–347. [Google Scholar] [CrossRef]
- Sabbah, W.; Watt, R.; Sheiham, A.; Tsakos, G. Effects of allostatic load on the social gradient in ischaemic heart disease and periodontal disease: Evidence from the Third National Health and Nutrition Examination Survey. J. Epidemiol. Community Health 2008, 62, 415–420. [Google Scholar] [CrossRef]
- Hill, M.; Obeng-Gyasi, E. The Association of Cytomegalovirus IgM and Allostatic Load. Diseases 2022, 10, 70. [Google Scholar] [CrossRef]
- Bashir, T.; Asiseh, F.; Jefferson-Moore, K.; Obeng-Gyasi, E. The Association of Per- and Polyfluoroalkyl Substances Serum Levels and Allostatic Load by Country of Birth and the Length of Time in the United States. Int. J. Environ. Res. Public Health 2022, 19, 9438. [Google Scholar] [CrossRef]
- Obeng-Gyasi, E.; Obeng-Gyasi, B. Chronic stress and cardiovascular disease among individuals exposed to lead: A pilot study. Diseases 2020, 8, 7. [Google Scholar] [CrossRef] [PubMed]
- Obeng-Gyasi, E. Cumulative effects of low-level lead exposure and chronic physiological stress on hepatic dysfunction—A preliminary study. Med. Sci. 2020, 8, 30. [Google Scholar] [CrossRef] [PubMed]
- Goldbourt, U.; Yaari, S.; Medalie, J.H. Isolated low HDL cholesterol as a risk factor for coronary heart disease mortality: A 21-year follow-up of 8000 men. Arterioscler. Thromb. Vasc. Biol. 1997, 17, 107–113. [Google Scholar] [CrossRef] [PubMed]
- Mahon, N.G.; Blackstone, E.H.; Francis, G.S.; Starling, R.C.; Young, J.B.; Lauer, M.S. The prognostic value of estimated creatinine clearance alongside functional capacity in ambulatory patients with chronic congestive heart failure. J. Am. Coll. Cardiol. 2002, 40, 1106–1113. [Google Scholar] [CrossRef]
- Horwich, T.B.; Kalantar-Zadeh, K.; MacLellan, R.W.; Fonarow, G.C. Albumin levels predict survival in patients with systolic heart failure. Am. Heart J. 2008, 155, 883–889. [Google Scholar] [CrossRef]
- Ackermann, R.T.; Cheng, Y.J.; Williamson, D.F.; Gregg, E.W. Identifying adults at high risk for diabetes and cardiovascular disease using hemoglobin A1c: National Health and Nutrition Examination Survey 2005–2006. Am. J. Prev. Med. 2011, 40, 11–17. [Google Scholar] [CrossRef]
- Navas-Acien, A.; Guallar, E.; Silbergeld, E.K.; Rothenberg, S.J. Lead exposure and cardiovascular disease: A systematic review. Environ. Health Perspect. 2007, 115, 472–482. [Google Scholar] [CrossRef]
- Isomaa, B.; Almgren, P.; Tuomi, T.; Forsén, B.; Lahti, K.; Nissen, M.; Taskinen, M.-R.; Groop, L. Cardiovascular morbidity and mortality associated with the metabolic syndrome. Diabetes Care 2001, 24, 683–689. [Google Scholar] [CrossRef]
- Weverling-Rijnsburger, A.W.; Blauw, G.J.; Lagaay, A.M.; Knock, D.L.; Meinders, A.E.; Westendorp, R.G. Total cholesterol and risk of mortality in the oldest old. Lancet 1997, 350, 1119–1123. [Google Scholar] [CrossRef]
- Kaestner, R.; Pearson, J.A.; Keene, D.; Geronimus, A.T. Stress, allostatic load, and health of Mexican immigrants. Soc. Sci. Q. 2009, 90, 1089–1111. [Google Scholar] [CrossRef]
- Scott, J.G.; Berger, J.O. Bayes and empirical-Bayes multiplicity adjustment in the variable-selection problem. Ann. Stat. 2010, 38, 2587–2619. [Google Scholar] [CrossRef]
- Ding, X.; Barban, N.; Mills, M.C. Educational attainment and allostatic load in later life: Evidence using genetic markers. Prev. Med. 2019, 129, 105866. [Google Scholar] [CrossRef] [PubMed]
- Tian, Y.; Luan, M.; Zhang, J.; Yang, H.; Wang, Y.; Chen, H. Associations of single and multiple perfluoroalkyl substances exposure with folate among adolescents in NHANES 2007–2010. Chemosphere 2022, 307, 135995. [Google Scholar] [CrossRef] [PubMed]
- Liu, J.-J.; Cui, X.-X.; Tan, Y.-W.; Dong, P.-X.; Ou, Y.-Q.; Li, Q.-Q.; Chu, C.; Wu, L.-Y.; Liang, L.-X.; Qin, S.-J. Per- and perfluoroalkyl substances alternatives, mixtures and liver function in adults: A community-based population study in China. Environ. Int. 2022, 163, 107179. [Google Scholar] [CrossRef]
- Feng, X.; Long, G.; Zeng, G.; Zhang, Q.; Song, B.; Wu, K.-H. Association of increased risk of cardiovascular diseases with higher levels of perfluoroalkylated substances in the serum of adults. Environ. Sci. Pollut. Res. 2022, 29, 89081–89092. [Google Scholar] [CrossRef]
- Liang, Y.; Zhou, H.; Zhang, J.; Li, S.; Shen, W.; Lei, L. Exposure to perfluoroalkyl and polyfluoroalkyl substances and estimated glomerular filtration rate in adults: A cross-sectional study based on NHANES (2017–2018). Environ. Sci. Pollut. Res. 2023, 30, 57931–57944. [Google Scholar] [CrossRef]
- Ojo, A.F.; Peng, C.; Ng, J.C. Assessing the human health risks of per- and polyfluoroalkyl substances: A need for greater focus on their interactions as mixtures. J. Hazard. Mater. 2021, 407, 124863. [Google Scholar] [CrossRef]
- Wielsøe, M.; Long, M.; Ghisari, M.; Bonefeld-Jørgensen, E.C. Perfluoroalkylated substances (PFAS) affect oxidative stress biomarkers in vitro. Chemosphere 2015, 129, 239–245. [Google Scholar] [CrossRef]
- Meneguzzi, A.; Fava, C.; Castelli, M.; Minuz, P. Exposure to perfluoroalkyl chemicals and cardiovascular disease: Experimental and epidemiological evidence. Front. Endocrinol. 2021, 12, 706352. [Google Scholar] [CrossRef]
















| Overall effects | ||||||
| Models | ||||||
| BKMR 1 | Oracle 2 | Linear 3 | TRUE 4 | |||
| 0.172 | −0.239 | −0.315 | −0.429 | |||
| Individual effect | ||||||
| Models | ||||||
| Variable number | Variable | PIP 5 | BKMR | Oracle | Linear | TRUE |
| 1 | PFDE | 0.532 | 0.085 | −1.341 | −0.729 | −1.629 |
| 2 | PFNA | 0.627 | 0.018 | 0.421 | 0.139 | 0.272 |
| 3 | PFOS | 0.071 | 0.001 | −0.728 | 0.035 | 0.062 |
| 4 | PFUA | 0.463 | 0.031 | 0.154 | −0.281 | −0.441 |
| 5 | PFOA | 0.153 | 0.002 | 1.153 | −0.011 | −0.014 |
| 6 | PFHS | 0.067 | 0.001 | −0.357 | −0.036 | −0.064 |
| Allostatic Load | PFAS | |||||
|---|---|---|---|---|---|---|
| PFDE N = 21,597 | PFNA N = 22,405 | PFOS N = 23,200 | PFUA N = 20,856 | PFOA N = 23,482 | PFHS N = 19,952 | |
| Mean | Mean | Mean | Mean | Mean | Mean | |
| High | 2.40 | 3.00 | 1.02 | 4.20 | 1.04 | 1.10 |
| Low | −4.00 | 2.30 | −0.90 | −2.00 | −0.81 | −1.03 |
| Overall effects | ||||||
| Models | ||||||
| BKMR 1 | Oracle 2 | Linear 3 | TRUE 4 | |||
| 0.162 | −0.078 | −0.183 | −0.429 | |||
| Individual effect | ||||||
| Models | ||||||
| Variable Number | Variable | PIP 5 | BKMR | oracle | Linear | TRUE |
| 1 | PFDE | 0.606 | 0.067 | −1.384 | −0.768 | −1.629 |
| 2 | PFNA | 0.687 | 0.023 | 0.429 | 0.144 | 0.272 |
| 3 | PFOS | 0.021 | 0.001 | −0.699 | 0.034 | 0.062 |
| 4 | PFUA | 0.574 | 0.048 | 0.085 | −0.291 | −0.441 |
| 5 | PFOA | 0.135 | 0.002 | 1.201 | −0.009 | −0.014 |
| 6 | PFHS | 0.064 | 0.001 | −0.411 | −0.034 | −0.064 |
| Allostatic Load | PFAS | |||||
|---|---|---|---|---|---|---|
| PFDE N = 21,597 | PFNA N = 22,405 | PFOS N = 23,200 | PFUA N = 20,856 | PFOA N = 23,482 | PFHS N = 19,952 | |
| Mean | Mean | Mean | Mean | Mean | Mean | |
| High | 4.80 | 2.45 | 0.06 | 1.85 | 0.07 | 0.01 |
| Low | −3.91 | −2.5 | −0.03 | −2.00 | −0.02 | −0.03 |
| AL | PFDE | PFNA | PFOS | PFUA | PFOA | PFHS | |
|---|---|---|---|---|---|---|---|
| AL | 1 | 0.80 | 0.71 | 0.74 | 0.06 | 0.52 | 0.27 |
| PFDE | 0.80 | 1 | −0.23 | 0.05 | −0.041 | 0.09 | 0.21 |
| PFNA | 0.71 | −0.03 | 1 | −0.08 | 0.01 | −0.09 | 0.19 |
| PFOS | 0.74 | 0.56 | 0.91 | 1 | 0.75 | 0.53 | 0.47 |
| PFUA | 0.06 | 0.16 | 0.45 | 0.53 | 1 | 0.84 | 0.56 |
| PFOA | 0.52 | 0.76 | 0.84 | 0.92 | 0.57 | 1 | 0.48 |
| PFHS | 0.27 | 0.18 | 0.07 | 0.30 | 0.63 | 0.49 | 1 |
| Variable Number | Variable | PIP a1 | Individual Exposure Fixed nth Percentile a2 | Percentiles Changed a3 | ||
|---|---|---|---|---|---|---|
| 25th | 50th | 75th | 25th to 75th | |||
| Effects Changed on the Outcome | ||||||
| 1 | PFDE | 0.959 | −0.458 | −0.442 | −0.409 | 0.0493 |
| 2 | PFNA | 0.581 | 0.248 | 0.274 | 0.311 | 0.062 |
| 3 | PFOS | 0.985 | 0.315 | 0.326 | 0.330 | 0.025 |
| 4 | PFUA | 0.446 | −0.120 | −0.112 | −0.099 | 0.021 |
| 5 | PFHS | 0.294 | −0.115 | −0.111 | −0.076 | 0.006 |
| 6 | PFOA | 0.180 | 0.008 | 0.031 | 0.035 | 0.012 |
| Years | Quartiles | Variables | |||||
|---|---|---|---|---|---|---|---|
| PFDE | PFNA | PFOS | PFUA | PFOA | PFHS | ||
| 2007–2008 | Q1 | 0.070 | 0.058 | 0.140 | 0.070 | 0.070 | 0.070 |
| Q2 | 0.090 | 0.058 | 0.150 | 0.110 | 0.320 | 0.940 | |
| Q3 | 0.200 | 0.902 | 12.300 | 0.140 | 3.500 | 1.800 | |
| IQR | 0.130 | 0.844 | 12.160 | 0.070 | 3.430 | 1.730 | |
| 2009–2010 | Q1 | 0.070 | 0.058 | 0.140 | 0.070 | 0.070 | 0.070 |
| Q2 | 0.083 | 0.058 | 0.140 | 0.096 | 0.107 | 0.370 | |
| Q3 | 0.200 | 0.984 | 6.500 | 0.100 | 2.700 | 1.050 | |
| IQR | 0.130 | 0.926 | 6.360 | 0.030 | 2.630 | 0.980 | |
| 2011–2012 | Q1 | 0.070 | 0.058 | 0.140 | 0.070 | 0.070 | 0.070 |
| Q2 | 0.102 | 0.058 | 0.140 | 0.092 | 0.542 | 0.414 | |
| Q3 | 0.160 | 0.670 | 4.850 | 0.100 | 1.600 | 0.980 | |
| IQR | 0.090 | 0.612 | 4.710 | 0.030 | 1.530 | 0.910 | |
| 2013–2014 | Q1 | 0.070 | 0.058 | 0.140 | 0.070 | 0.070 | 0.070 |
| Q2 | 0.101 | 0.058 | 0.140 | 0.110 | 0.253 | 0.531 | |
| Q3 | 0.200 | 0.550 | 0.250 | 0.125 | 0.790 | 0.950 | |
| IQR | 0.130 | 0.492 | 0.110 | 0.055 | 0.720 | 0.880 | |
| All Exposures Fixed at nth Percentile * | Est Effects on Outcome ** |
|---|---|
| 25th | −0.024 |
| 30th | −0.018 |
| 35th | −0.015 |
| 40th | 0.002 |
| 45th | −0.014 |
| 50th | 0.000 |
| 55th | −0.005 |
| 60th | 0.009 |
| 65th | −0.008 |
| 70th | −0.013 |
| 75th | −0.035 |
Disclaimer/Publisher’s Note: The statements, opinions and data contained in all publications are solely those of the individual author(s) and contributor(s) and not of MDPI and/or the editor(s). MDPI and/or the editor(s) disclaim responsibility for any injury to people or property resulting from any ideas, methods, instructions or products referred to in the content. |
© 2023 by the authors. Licensee MDPI, Basel, Switzerland. This article is an open access article distributed under the terms and conditions of the Creative Commons Attribution (CC BY) license (https://creativecommons.org/licenses/by/4.0/).
Share and Cite
Bashir, T.; Obeng-Gyasi, E. Combined Effects of Multiple Per- and Polyfluoroalkyl Substances Exposure on Allostatic Load Using Bayesian Kernel Machine Regression. Int. J. Environ. Res. Public Health 2023, 20, 5808. https://doi.org/10.3390/ijerph20105808
Bashir T, Obeng-Gyasi E. Combined Effects of Multiple Per- and Polyfluoroalkyl Substances Exposure on Allostatic Load Using Bayesian Kernel Machine Regression. International Journal of Environmental Research and Public Health. 2023; 20(10):5808. https://doi.org/10.3390/ijerph20105808
Chicago/Turabian StyleBashir, Tahir, and Emmanuel Obeng-Gyasi. 2023. "Combined Effects of Multiple Per- and Polyfluoroalkyl Substances Exposure on Allostatic Load Using Bayesian Kernel Machine Regression" International Journal of Environmental Research and Public Health 20, no. 10: 5808. https://doi.org/10.3390/ijerph20105808
APA StyleBashir, T., & Obeng-Gyasi, E. (2023). Combined Effects of Multiple Per- and Polyfluoroalkyl Substances Exposure on Allostatic Load Using Bayesian Kernel Machine Regression. International Journal of Environmental Research and Public Health, 20(10), 5808. https://doi.org/10.3390/ijerph20105808

