Sign in to use this feature.

Years

Between: -

Subjects

remove_circle_outline
remove_circle_outline
remove_circle_outline
remove_circle_outline
remove_circle_outline
remove_circle_outline

Journals

Article Types

Countries / Regions

Search Results (9)

Search Parameters:
Keywords = biodegradable balloon

Order results
Result details
Results per page
Select all
Export citation of selected articles as:
27 pages, 1117 KB  
Review
Evolution of Coronary Stents: From Birth to Future Trends
by Zhuo Huang, Charles Skarbek, Yulin Li, Joseph Touma, Pascal Desgranges, Romain Gallet and Jean Sénémaud
J. Clin. Med. 2026, 15(1), 47; https://doi.org/10.3390/jcm15010047 - 21 Dec 2025
Viewed by 678
Abstract
Coronary artery disease (CAD) remains one of the leading causes of mortality worldwide, affecting more than 300 million people. Over the past two decades, percutaneous coronary intervention (PCI) has become the cornerstone of CAD treatment, involving the implantation of coronary stents. This review [...] Read more.
Coronary artery disease (CAD) remains one of the leading causes of mortality worldwide, affecting more than 300 million people. Over the past two decades, percutaneous coronary intervention (PCI) has become the cornerstone of CAD treatment, involving the implantation of coronary stents. This review clarifies how coronary stents emerged, evolved, and ultimately reshaped modern interventional cardiology. Beginning with balloon angioplasty and progressing through bare-metal and drug-eluting stents, we show how each advancement solved key clinical shortcomings—dramatically reducing restenosis, thrombosis, and repeat revascularization. We further review the major technological advances driving modern stent development, such as biodegradable alloys and biomimetic coatings. We also highlight the remaining challenges, including long-term stability, manufacturing complexity, and limited translational readiness. Together, these elements support our central thesis: that the historical evolution of coronary stents is fundamental to understanding present PCI practice and to guiding the next phase of device innovation. Full article
Show Figures

Figure 1

12 pages, 862 KB  
Review
Biodegradable Stents in the Treatment of Arterial Stenosis
by Rasit Dinc and Evren Ekingen
J. Clin. Med. 2025, 14(2), 532; https://doi.org/10.3390/jcm14020532 - 16 Jan 2025
Cited by 8 | Viewed by 3660
Abstract
Arterial diseases (ADs) are a significant health problem, with high mortality and morbidity rates. Endovascular interventions, such as balloon angioplasty (BA), bare-metal stents (BMSs), drug-eluting stents (DESs) and drug-coated balloons (DCBs), have made significant progress in their treatments. However, the issue has not [...] Read more.
Arterial diseases (ADs) are a significant health problem, with high mortality and morbidity rates. Endovascular interventions, such as balloon angioplasty (BA), bare-metal stents (BMSs), drug-eluting stents (DESs) and drug-coated balloons (DCBs), have made significant progress in their treatments. However, the issue has not been fully resolved, with restenosis remaining a major concern. In this context, bioresorbable vascular stents (BVSs) have emerged as a promising area of investigation. This manuscript includes articles that assess the use of BVSs. Studies have identified ongoing challenges, such as negative vascular remodeling and elastic recoil post-angioplasty, stent-related injury, and in-stent restenosis following BMS placement. While DESs have mitigated these issues to a considerable extent, their durable structures are unable to prevent late stent thrombosis and delay arterial recovery. BVSs, with their lower support strength and tendency towards thicker scaffolds, increase the risk of scaffold thrombosis. Despite inconsistent study results, the superiority of BVSs over DESs has not been demonstrated in randomized trials, and DES devices continue to be the preferred choice for most cases of arterial disease. Esprit BTK (Abbott Vascular) received approval from the US FDA for below-knee lesions in 2024, offering hope for the use of BVSs in other vascular conditions. Enhancing the design and thickness of BVS scaffolds may open up new possibilities. Large-scale and longer-term comparative studies are still required. This article aims to provide an overview of the use of biodegradable stents in the endovascular treatment of vascular stenosis. Full article
(This article belongs to the Section Cardiovascular Medicine)
Show Figures

Figure 1

16 pages, 4033 KB  
Article
Assessment of Bioprotect’s Biodegradable Balloon System as a Rectal Spacer in Radiotherapy: An Animal Study on Tissue Response and Biocompatibility
by Yuval Ramot, Tal Levin-Harrus, Adva Ezratty, Michal Steiner, Nati Ezov, Abraham J. Domb, Muhammad Abdel-Haq, Shaul Shohat, Liron Aperman, Lee Adler, Oleg Dolkart and Abraham Nyska
Pharmaceutics 2023, 15(12), 2744; https://doi.org/10.3390/pharmaceutics15122744 - 7 Dec 2023
Viewed by 1907
Abstract
Prostate cancer is a significant health concern for men, emphasizing the need for effective treatment strategies. Dose-escalated external beam radiotherapy shows promise in improving outcomes but presents challenges due to radiation effects on nearby structures, such as the rectum. Innovative techniques, including rectal [...] Read more.
Prostate cancer is a significant health concern for men, emphasizing the need for effective treatment strategies. Dose-escalated external beam radiotherapy shows promise in improving outcomes but presents challenges due to radiation effects on nearby structures, such as the rectum. Innovative techniques, including rectal spacers, have emerged to mitigate these effects. This study comprehensively assessed tissue responses following the implantation of the Bioprotect biodegradable fillable balloon as a rectal spacer in a rat model. Evaluation occurred at multiple time points (4, 26, and 52 weeks) post-implantation. Results revealed localized tissue responses consistent with the expected reaction to biodegradable materials, characterized by mild to moderate fibrotic reactions and encapsulation, underscoring the safety and biocompatibility of the balloon. Importantly, no other adverse events occurred, and the animals remained healthy throughout the study. These findings support its potential clinical utility in radiotherapy treatments to enhance patient outcomes and minimize long-term implant-related complications, serving as a benchmark for future similar studies and offering valuable insights for researchers in the field. In conclusion, the findings from this study highlight the safety, biocompatibility, and potential clinical applicability of the Bioprotect biodegradable fillable balloon as a promising rectal spacer in mitigating radiation-induced complications during prostate cancer radiotherapy. Full article
(This article belongs to the Special Issue Advanced Pharmaceutical Science and Technology in Israel)
Show Figures

Figure 1

23 pages, 1753 KB  
Article
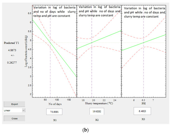
Comparison of the Prediction Accuracy of Total Viable Bacteria Counts in a Batch Balloon Digester Charged with Cow Manure: Multiple Linear Regression and Non-Linear Regression Models
by Stephen Tangwe, Patrick Mukumba and Golden Makaka
Energies 2022, 15(19), 7407; https://doi.org/10.3390/en15197407 - 9 Oct 2022
Cited by 2 | Viewed by 1753
Abstract
Biogas technology is rapidly gaining market penetration, and the type of digesters employed in the harnessing of the biogas from biodegradable waste is crucial in enhancing the total viable bacteria counts. This study focused on the exploration of input parameter (number of days, [...] Read more.
Biogas technology is rapidly gaining market penetration, and the type of digesters employed in the harnessing of the biogas from biodegradable waste is crucial in enhancing the total viable bacteria counts. This study focused on the exploration of input parameter (number of days, daily slurry temperature, and pH) and target (total viable bacteria counts) datasets from anaerobic balloon digester charged with cow manure using data acquisition system and standard methods. The predictors were ranked according to their weights of importance to the desired targets using the reliefF test. The complete dataset was randomly partitioned into testing and validated samples at a ratio of 60% and 40%, respectively. The developed non-linear regression model applied on the testing samples was capable of predicting the yield of the total viable bacteria counts with better accuracy as the determination coefficient, mean absolute error, and p-value were 0.959, 0.180, and 0.602, respectively, as opposed to the prediction with the multiple linear regression model that yielded 0.920, 0.206, and 0.514, respectively. The 2D multi-contour surface plots derived from the developed models were used to simulate the variation in the desired targets to each predictor while the others were held constant. Full article
Show Figures

Figure 1

11 pages, 2611 KB  
Article
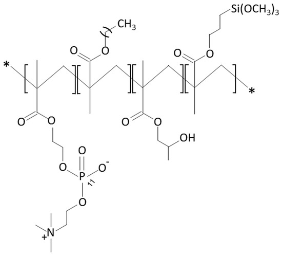
Poly 3-Hydroxybutyrate 4-hydroxybutyrate (P34HB) as a Potential Polymer for Drug-Eluting Coatings on Metal Coronary Stents
by Yihui Jian and Yufang Zhu
Polymers 2022, 14(5), 994; https://doi.org/10.3390/polym14050994 - 28 Feb 2022
Cited by 17 | Viewed by 4144
Abstract
Drug-eluting stents (DES) are a main interventional therapeutic instrument to treat coronary diseases. Degradable polymers such as polylactic acid (PLA) for coatings that only degrade into small molecules in human bodies have been developed for coating polymers, but most coatings often lack ductility [...] Read more.
Drug-eluting stents (DES) are a main interventional therapeutic instrument to treat coronary diseases. Degradable polymers such as polylactic acid (PLA) for coatings that only degrade into small molecules in human bodies have been developed for coating polymers, but most coatings often lack ductility and can be easily peeled off from the stents after balloon expansion. In this study, biodegradable poly 3-hydroxybutyrate 4-hydroxybutyrate (P34HB) with good ductility was proposed to be a latent polymer for drug-eluting coatings on the stents. Using P34HB-1 (4HB% = 1%wt, Mw: 225,000) and P34HB-10 (4HB% = 10%wt, Mw: 182,000) as two candidates, both P34HB-1 and P34HB-10 exhibited excellent solubility in CHCl3. Their drug solutions remained highly stable and did not become turbid over a period of 48 h, and were conducive to batch preparation of uniform drug coatings. Drug coatings made by both P34HB-1 and P34HB-10 on the stents were almost complete before and after dilation by balloon owing to their excellent adhesion and extrusion resistance properties. Furthermore, both P34HB-1 and P34HB-10 had excellent biocompatibility in cytotoxicity and hemolysis tests. However, P34HB-1 drug coatings showed better drug release control than P34HB-10 drug coatings and Firebird2®, indicating that P34HB-1 is more suitable for a latent coating polymer of coronary stents. Full article
(This article belongs to the Section Polymer Applications)
Show Figures

Figure 1

52 pages, 5041 KB  
Review
Drug-Eluting Stents and Balloons—Materials, Structure Designs, and Coating Techniques: A Review
by I. Rykowska, I. Nowak and R. Nowak
Molecules 2020, 25(20), 4624; https://doi.org/10.3390/molecules25204624 - 11 Oct 2020
Cited by 88 | Viewed by 14913
Abstract
Controlled drug delivery is a matter of interest to numerous scientists from various domains, as well as an essential issue for society as a whole. In the treatment of many diseases, it is crucial to control the dosing of a drug for a [...] Read more.
Controlled drug delivery is a matter of interest to numerous scientists from various domains, as well as an essential issue for society as a whole. In the treatment of many diseases, it is crucial to control the dosing of a drug for a long time and thus maintain its optimal concentration in the tissue. Heart diseases are particularly important in this aspect. One such disease is an obstructive arterial disease affecting millions of people around the world. In recent years, stents and balloon catheters have reached a significant position in the treatment of this condition. Balloon catheters are also successfully used to manage tear ducts, paranasal sinuses, or salivary glands disorders. Modern technology is continually striving to improve the results of previous generations of stents and balloon catheters by refining their design, structure, and constituent materials. These advances result in the development of both successive models of drug-eluting stents (DES) and drug-eluting balloons (DEB). This paper presents milestones in the development of DES and DEB, which are a significant option in the treatment of coronary artery diseases. This report reviews the works related to achievements in construction designs and materials, as well as preparation technologies, of DES and DEB. Special attention was paid to the polymeric biodegradable materials used in the production of the above-mentioned devices. Information was also collected on the various methods of producing drug release coatings and their effectiveness in releasing the active substance. Full article
(This article belongs to the Section Medicinal Chemistry)
Show Figures

Figure 1

9 pages, 1909 KB  
Review
40 Years of Percutaneous Coronary Intervention: History and Future Directions
by John Canfield and Hana Totary-Jain
J. Pers. Med. 2018, 8(4), 33; https://doi.org/10.3390/jpm8040033 - 1 Oct 2018
Cited by 94 | Viewed by 12693
Abstract
The field of interventional cardiology has evolved significantly since the first percutaneous transluminal coronary angioplasty was performed 40 years ago. This evolution began with a balloon catheter mounted on a fixed wire and has progressed into bare-metal stents (BMS), first-generation drug-eluting stents (DES), [...] Read more.
The field of interventional cardiology has evolved significantly since the first percutaneous transluminal coronary angioplasty was performed 40 years ago. This evolution began with a balloon catheter mounted on a fixed wire and has progressed into bare-metal stents (BMS), first-generation drug-eluting stents (DES), second- and third-generation biodegradable polymer-based DES, and culminates with the advent of bioabsorbable stents, which are currently under development. Each step in technological advancement has improved outcomes, while new persisting challenges arise, caused by the stent scaffolds, the polymers employed, and the non-selective cytostatic and cytotoxic drugs eluted from the stents. Despite the promising technological advances made in stent technology, managing the balance between reductions in target lesion revascularization, stent thrombosis, and bleeding remain highly complex issues. This review summarizes the evolution of percutaneous coronary intervention with a focus on vascular dysfunction triggered by the non-selective drugs eluted from various stents. It also provides an overview of the mechanism of action of the drugs currently used in DES. We also discuss the efforts made in developing novel cell-selective drugs capable of inhibiting vascular smooth muscle cell (VSMC) proliferation, migration, and infiltration of inflammatory cells while allowing for complete reendothelialization. Lastly, in the era of precision medicine, considerations of patients’ genetic variance associated with myocardial infarction and in-stent restenosis are discussed. The combination of personalized medicine and improved stent platform with cell-selective drugs has the potential to solve the remaining challenges and improve the care of coronary artery disease patients. Full article
(This article belongs to the Special Issue Personalized and Targeted Atherosclerosis Treatments)
Show Figures

Figure 1

14 pages, 4773 KB  
Article
Fabrication and Optimal Design of Biodegradable Polymeric Stents for Aneurysms Treatments
by Xue Han, Xia Wu, Michael Kelly and Xiongbiao Chen
J. Funct. Biomater. 2017, 8(1), 8; https://doi.org/10.3390/jfb8010008 - 28 Feb 2017
Cited by 15 | Viewed by 8448
Abstract
An aneurysm is a balloon-like bulge in the wall of blood vessels, occurring in major arteries of the heart and brain. Biodegradable polymeric stent-assisted coiling is expected to be the ideal treatment of wide-neck complex aneurysms. This paper presents the development of methods [...] Read more.
An aneurysm is a balloon-like bulge in the wall of blood vessels, occurring in major arteries of the heart and brain. Biodegradable polymeric stent-assisted coiling is expected to be the ideal treatment of wide-neck complex aneurysms. This paper presents the development of methods to fabricate and optimally design biodegradable polymeric stents for aneurysms treatment. Firstly, a dispensing-based rapid prototyping (DBRP) system was developed to fabricate coil and zigzag structures of biodegradable polymeric stents. Then, compression testing was carried out to characterize the radial deformation of the stents fabricated with the coil or zigzag structure. The results illustrated the stent with a zigzag structure has a stronger radial stiffness than the one with a coil structure. On this basis, the stent with a zigzag structure was chosen for the development of a finite element model for simulating the real compression tests. The result showed the finite element model of biodegradable polymeric stents is acceptable within a range of radial deformation around 20%. Furthermore, the optimization of the zigzag structure was performed with ANSYS DesignXplorer, and the results indicated that the total deformation could be decreased by 35.7% by optimizing the structure parameters, which would represent a significant advance of the radial stiffness of biodegradable polymeric stents. Full article
(This article belongs to the Special Issue Mechanical Properties of Tissue Engineering Scaffolds)
Show Figures

Figure 1

13 pages, 9234 KB  
Article
A Biodegradable Microneedle Cuff for Comparison of Drug Effects through Perivascular Delivery to Balloon-Injured Arteries
by Dae-Hyun Kim, Eui Hwa Jang, Kang Ju Lee, Ji Yong Lee, Seung Hyun Park, Il Ho Seo, Kang Woog Lee, Seung Hyun Lee, WonHyoung Ryu and Young-Nam Youn
Polymers 2017, 9(2), 56; https://doi.org/10.3390/polym9020056 - 8 Feb 2017
Cited by 14 | Viewed by 8553
Abstract
Restenosis at a vascular anastomosis site is a major cause of graft failure and is difficult to prevent by conventional treatment. Perivascular drug delivery has advantages as drugs can be diffused to tunica media and subintima while minimizing the direct effect on endothelium. [...] Read more.
Restenosis at a vascular anastomosis site is a major cause of graft failure and is difficult to prevent by conventional treatment. Perivascular drug delivery has advantages as drugs can be diffused to tunica media and subintima while minimizing the direct effect on endothelium. This in vivo study investigated the comparative effectiveness of paclitaxel, sirolimus, and sunitinib using a perivascular biodegradable microneedle cuff. A total of 31 New Zealand white rabbits were used. Rhodamine was used to visualize drug distribution (n = 3). Sirolimus- (n = 7), sunitinib- (n = 7), and paclitaxel-loaded (n = 7) microneedle cuffs were placed at balloon-injured abdominal aortae and compared to drug-free cuffs (n = 7). Basic histological structures were not affected by microneedle devices, and vascular wall thickness of the device-only group was similar to that of normal artery. Quantitative analysis revealed significantly decreased neointima formation in all drug-treated groups (p < 0.001). However, the tunica media layer of the paclitaxel-treated group was significantly thinner than that of other groups and also showed the highest apoptotic ratio (p < 0.001). Proliferating cell nuclear antigen (PCNA)-positive cells were significantly reduced in all drug-treated groups. Sirolimus or sunitinib appeared to be more appropriate for microneedle devices capable of slow drug release because vascular wall thickness was minimally affected. Full article
Show Figures

Figure 1

Back to TopTop