Sign in to use this feature.

Years

Between: -

Subjects

remove_circle_outline
remove_circle_outline
remove_circle_outline
remove_circle_outline
remove_circle_outline
remove_circle_outline

Journals

Article Types

Countries / Regions

Search Results (57)

Search Parameters:
Keywords = bio-convective fluid

Order results
Result details
Results per page
Select all
Export citation of selected articles as:
31 pages, 12185 KB  
Article
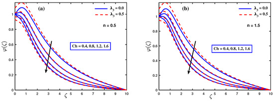
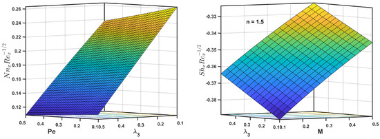
Artificial Neural Network-Based Heat Transfer Analysis of Sutterby Magnetohydrodynamic Nanofluid with Microorganism Effects
by Fateh Ali, Mujahid Islam, Farooq Ahmad, Muhammad Usman and Sana Ullah Asif
Magnetochemistry 2025, 11(10), 88; https://doi.org/10.3390/magnetochemistry11100088 - 10 Oct 2025
Viewed by 275
Abstract
Background: The study of non-Newtonian fluids in thin channels is crucial for advancing technologies in microfluidic systems and targeted industrial coating processes. Nanofluids, which exhibit enhanced thermal properties, are of particular interest. This paper investigates the complex flow and heat transfer characteristics of [...] Read more.
Background: The study of non-Newtonian fluids in thin channels is crucial for advancing technologies in microfluidic systems and targeted industrial coating processes. Nanofluids, which exhibit enhanced thermal properties, are of particular interest. This paper investigates the complex flow and heat transfer characteristics of a Sutterby nanofluid (SNF) within a thin channel, considering the combined effects of magnetohydrodynamics (MHD), Brownian motion, and bioconvection of microorganisms. Analyzing such systems is essential for optimizing design and performance in relevant engineering applications. Method: The governing non-linear partial differential equations (PDEs) for the flow, heat, concentration, and bioconvection are derived. Using lubrication theory and appropriate dimensionless variables, this system of PDEs is simplified into a more simplified system of ordinary differential equations (ODEs). The resulting nonlinear ODEs are solved numerically using the boundary value problem (BVP) Midrich method in Maple software to ensure accuracy. Furthermore, data for the Nusselt number, extracted from the numerical solutions, are used to train an artificial neural network (ANN) model based on the Levenberg–Marquardt algorithm. The performance and predictive capability of this ANN model are rigorously evaluated to confirm its robustness for capturing the system’s non-linear behavior. Results: The numerical solutions are analyzed to understand the variations in velocity, temperature, concentration, and microorganism profiles under the influence of various physical parameters. The results demonstrate that the non-Newtonian rheology of the Sutterby nanofluid is significantly influenced by Brownian motion, thermophoresis, bioconvection parameters, and magnetic field effects. The developed ANN model demonstrates strong predictive capability for the Nusselt number, validating its use for this complex system. These findings provide valuable insights for the design and optimization of microfluidic devices and specialized coating applications in industrial engineering. Full article
Show Figures

Figure 1

23 pages, 2903 KB  
Article
Casson Fluid Saturated Non-Darcy Mixed Bio-Convective Flow over Inclined Surface with Heat Generation and Convective Effects
by Nayema Islam Nima, Mohammed Abdul Hannan, Jahangir Alam and Rifat Ara Rouf
Processes 2025, 13(7), 2295; https://doi.org/10.3390/pr13072295 - 18 Jul 2025
Viewed by 694
Abstract
This paper explores the complex dynamics of mixed convective flow in a Casson fluid saturated in a non-Darcy porous medium, focusing on the influence of gyrotactic microorganisms, internal heat generation, and multiple convective mechanisms. Casson fluids, known for their non-Newtonian behavior, are relevant [...] Read more.
This paper explores the complex dynamics of mixed convective flow in a Casson fluid saturated in a non-Darcy porous medium, focusing on the influence of gyrotactic microorganisms, internal heat generation, and multiple convective mechanisms. Casson fluids, known for their non-Newtonian behavior, are relevant in various industrial and biological contexts where traditional fluid models are insufficient. This study addresses the limitations of the standard Darcy’s law by examining non-Darcy flow, which accounts for nonlinear inertial effects in porous media. The governing equations, derived from conservation laws, are transformed into a system of no linear ordinary differential equations (ODEs) using similarity transformations. These ODEs are solved numerically using a finite differencing method that incorporates central differencing, tridiagonal matrix manipulation, and iterative procedures to ensure accuracy across various convective regimes. The reliability of this method is confirmed through validation with the MATLAB (R2024b) bvp4c scheme. The investigation analyzes the impact of key parameters (such as the Casson fluid parameter, Darcy number, Biot numbers, and heat generation) on velocity, temperature, and microorganism concentration profiles. This study reveals that the Casson fluid parameter significantly improves the velocity, concentration, and motile microorganism profiles while decreasing the temperature profile. Additionally, the Biot number is shown to considerably increase the concentration and dispersion of motile microorganisms, as well as the heat transfer rate. The findings provide valuable insights into non-Newtonian fluid behavior in porous environments, with applications in bioengineering, environmental remediation, and energy systems, such as bioreactor design and geothermal energy extraction. Full article
Show Figures

Figure 1

6 pages, 204 KB  
Correction
Correction: Yusuf et al. Magneto-Bioconvection Flow of Williamson Nanofluid over an Inclined Plate with Gyrotactic Microorganisms and Entropy Generation. Fluids 2021, 6, 109
by Tunde A. Yusuf, Fazle Mabood, B. C. Prasannakumara and Ioannis E. Sarris
Fluids 2025, 10(4), 103; https://doi.org/10.3390/fluids10040103 - 17 Apr 2025
Viewed by 340
Abstract
This is an erratum to our published paper Reference [...] Full article
16 pages, 1372 KB  
Review
Bioconvection in Microalgae: Review of Mathematical Models
by Laura Barsanti, Lorenzo Birindelli, Angelo Di Garbo and Paolo Gualtieri
Appl. Sci. 2025, 15(5), 2708; https://doi.org/10.3390/app15052708 - 3 Mar 2025
Cited by 2 | Viewed by 1388
Abstract
Bioconvection can be defined as an aggregation pattern-generating phenomenon characterized by the collective behavior of swimming microorganisms in response to external influences and self-induced fluid flow, and it has attracted significant interest in the study of microalgae. This review aims to provide a [...] Read more.
Bioconvection can be defined as an aggregation pattern-generating phenomenon characterized by the collective behavior of swimming microorganisms in response to external influences and self-induced fluid flow, and it has attracted significant interest in the study of microalgae. This review aims to provide a comprehensive examination of this phenomenon in a concentrated population of suspended microalgae definable as nonlinear dynamical systems (i.e., generators of spatial and temporal patterns), describing and clarifying the underlying mechanisms, ecological implications, and possible biotechnological applications in different fields for the improvement of bioreactor design for biomass cultivation, wastewater treatment, or bioremediation. The most influential models used to capture the complexity of bioconvection are perused in order to explore the intricate interplay of internal and external influences (biological, physical, and environmental) governing pattern formation dynamics alongside recent advancements in modeling techniques and experimental approaches. Full article
(This article belongs to the Section Environmental Sciences)
Show Figures

Figure 1

20 pages, 6597 KB  
Article
Advancing Renewable Energy Systems: A Numerical Approach to Investigate Nanofluidics’ Role in Engineering Involving Physical Quantities
by Muhammad Abdul Basit, Muhammad Imran, Tayyiba Anwar-Ul-Haq, Chang-Feng Yan, Daniel Breaz, Luminita-Ioana Cotîrlă and Alin Danciu
Nanomaterials 2025, 15(4), 261; https://doi.org/10.3390/nano15040261 - 10 Feb 2025
Cited by 5 | Viewed by 1174
Abstract
Nanofluids, with their enhanced thermal properties, provide innovative solutions for improving heat transfer efficiency in renewable energy systems. This study investigates a numerical simulation of bioconvective flow and heat transfer in a Williamson nanofluid over a stretching wedge, incorporating the effects of chemical [...] Read more.
Nanofluids, with their enhanced thermal properties, provide innovative solutions for improving heat transfer efficiency in renewable energy systems. This study investigates a numerical simulation of bioconvective flow and heat transfer in a Williamson nanofluid over a stretching wedge, incorporating the effects of chemical reactions and hydrogen diffusion. The system also includes motile microorganisms, which induce bioconvection, a phenomenon where microorganisms’ collective motion creates a convective flow that enhances mass and heat transport processes. This mechanism is crucial for improving the distribution of nanoparticles and maintaining the stability of the nanofluid. The unique rheological behavior of Williamson fluid, extensively utilized in hydrometallurgical and chemical processing industries, significantly influences thermal and mass transport characteristics. The governing nonlinear partial differential equations (PDEs), derived from conservation laws and boundary conditions, are converted into dimensionless ordinary differential equations (ODEs) using similarity transformations. MATLAB’s bvp4c solver is employed to numerically analyze these equations. The outcomes highlight the complex interplay between fluid parameters and flow characteristics. An increase in the Williamson nanofluid parameters leads to a reduction in fluid velocity, with solutions observed for the skin friction coefficient. Higher thermophoresis and Williamson nanofluid parameters elevate the fluid temperature, enhancing heat transfer efficiency. Conversely, a larger Schmidt number boosts fluid concentration, while stronger chemical reaction effects reduce it. These results are generated by fixing parametric values as 0.1<ϖ<1.5, 0.1<Nr<3.0, 0.2<Pr<0.5, 0.1<Sc<0.4, and 0.1<Pe<1.5. This work provides valuable insights into the dynamics of Williamson nanofluids and their potential for thermal management in renewable energy systems. The combined impact of bioconvection, chemical reactions, and advanced rheological properties underscores the suitability of these nanofluids for applications in solar thermal, geothermal, and other energy technologies requiring precise heat and mass transfer control. This paper is also focused on their applications in solar thermal collectors, geothermal systems, and thermal energy storage, highlighting advanced experimental and computational approaches to address key challenges in renewable energy technologies. Full article
(This article belongs to the Special Issue Thermal Challenges in Renewable Energy: Nanofluidic Solutions)
Show Figures

Figure 1

22 pages, 4035 KB  
Article
Mixed Bioconvection Flow Around a Vertical Thin Needle with Variable Surface Fluxes
by Nayema Islam Nima and Mohammed Abdul Hannan
Dynamics 2025, 5(1), 2; https://doi.org/10.3390/dynamics5010002 - 11 Jan 2025
Cited by 1 | Viewed by 1363
Abstract
This study investigates mixed convection flow over a vertical thin needle with variable surface heat, mass, and microbial flux, incorporating the influence of gyrotactic microorganisms. The governing partial differential equations are transformed into ordinary differential equations using appropriate similarity transformations and then solved [...] Read more.
This study investigates mixed convection flow over a vertical thin needle with variable surface heat, mass, and microbial flux, incorporating the influence of gyrotactic microorganisms. The governing partial differential equations are transformed into ordinary differential equations using appropriate similarity transformations and then solved numerically by employing MATLAB’s Bvp4c solver. The primary focus lies in examining the influence of various dimensionless parameters, including the mixed convection parameter, power-law index, buoyancy parameters, bioconvection parameters, and needle size parameters, on the velocity, temperature, concentration, and microbe profiles. The results indicate that these parameters significantly affect the surface (wall) temperature, fluid concentration, and motile microbe concentration, as well as the corresponding velocity, temperature, concentration, and microorganism profiles. The findings provide insights into the intricate dynamics of mixed convection flow with bioconvection and have potential applications in diverse fields such as biomedicine and engineering. Full article
Show Figures

Figure 1

27 pages, 853 KB  
Article
Overlapping Grid-Based Spectral Collocation Technique for Bioconvective Flow of MHD Williamson Nanofluid over a Radiative Circular Cylindrical Body with Activation Energy
by Musawenkosi Patson Mkhatshwa
Computation 2024, 12(4), 75; https://doi.org/10.3390/computation12040075 - 5 Apr 2024
Cited by 7 | Viewed by 1775
Abstract
The amalgamation of motile microbes in nanofluid (NF) is important in upsurging the thermal conductivity of various systems, including micro-fluid devices, chip-shaped micro-devices, and enzyme biosensors. The current scrutiny focuses on the bioconvective flow of magneto-Williamson NFs containing motile microbes through a horizontal [...] Read more.
The amalgamation of motile microbes in nanofluid (NF) is important in upsurging the thermal conductivity of various systems, including micro-fluid devices, chip-shaped micro-devices, and enzyme biosensors. The current scrutiny focuses on the bioconvective flow of magneto-Williamson NFs containing motile microbes through a horizontal circular cylinder placed in a porous medium with nonlinear mixed convection and thermal radiation, heat sink/source, variable fluid properties, activation energy with chemical and microbial reactions, and Brownian motion for both nanoparticles and microbes. The flow analysis has also been considered subject to velocity slips, suction/injection, and heat convective and zero mass flux constraints at the boundary. The governing equations have been converted to a non-dimensional form using similarity variables, and the overlapping grid-based spectral collocation technique has been executed to procure solutions numerically. The graphical interpretation of various pertinent variables in the flow profiles and physical quantities of engineering attentiveness is provided and discussed. The results reveal that NF flow is accelerated by nonlinear thermal convection, velocity slip, magnetic fields, and variable viscosity parameters but decelerated by the Williamson fluid and suction parameters. The inclusion of nonlinear thermal radiation and variable thermal conductivity helps to enhance the fluid temperature and heat transfer rate. The concentration of both nanoparticles and motile microbes is promoted by the incorporation of activation energy in the flow system. The contribution of microbial Brownian motion along with microbial reactions on flow quantities justifies the importance of these features in the dynamics of motile microbes. Full article
Show Figures

Figure 1

21 pages, 4380 KB  
Article
Analyzing the MHD Bioconvective Eyring–Powell Fluid Flow over an Upright Cone/Plate Surface in a Porous Medium with Activation Energy and Viscous Dissipation
by Francis Peter, Paulsamy Sambath and Seshathiri Dhanasekaran
Computation 2024, 12(3), 48; https://doi.org/10.3390/computation12030048 - 4 Mar 2024
Cited by 11 | Viewed by 2555
Abstract
In the field of heat and mass transfer applications, non-Newtonian fluids are potentially considered to play a very important role. This study examines the magnetohydrodynamic (MHD) bioconvective Eyring–Powell fluid flow on a permeable cone and plate, considering the viscous dissipation (0.3 ≤ E [...] Read more.
In the field of heat and mass transfer applications, non-Newtonian fluids are potentially considered to play a very important role. This study examines the magnetohydrodynamic (MHD) bioconvective Eyring–Powell fluid flow on a permeable cone and plate, considering the viscous dissipation (0.3 ≤ Ec ≤0.7), the uniform heat source/sink (−0.1 ≤ Q0 ≤ 0.1), and the activation energy (−1 ≤ E1 ≤ 1). The primary focus of this study is to examine how MHD and porosity impact heat and mass transfer in a fluid with microorganisms. A similarity transformation (ST) changes the nonlinear partial differential equations (PDEs) into ordinary differential equations (ODEs). The Keller Box (KB) finite difference method solves these equations. Our findings demonstrate that adding MHD (0.5 ≤ M ≤ 0.9) and porosity (0.3 ≤ Γ ≤ 0.7) effects improves microbial diffusion, boosting the rates of mass and heat transfer. Our comparison of our findings to prior studies shows that they are reliable. Full article
(This article belongs to the Section Computational Engineering)
Show Figures

Figure 1

43 pages, 19694 KB  
Article
Influence of Gyrotactic Microorganisms on Bioconvection in Electromagnetohydrodynamic Hybrid Nanofluid through a Permeable Sheet
by Ahmed S. Rashed, Ehsan H. Nasr and Samah M. Mabrouk
Computation 2024, 12(1), 17; https://doi.org/10.3390/computation12010017 - 20 Jan 2024
Cited by 15 | Viewed by 2816
Abstract
Many biotechnology sectors that depend on fluids and their physical characteristics, including the phenomenon of bioconvection, have generated a great deal of discussion. The term “bioconvection” describes the organized movement of microorganisms, such as bacteria or algae. Microorganisms that participate in bioconvection display [...] Read more.
Many biotechnology sectors that depend on fluids and their physical characteristics, including the phenomenon of bioconvection, have generated a great deal of discussion. The term “bioconvection” describes the organized movement of microorganisms, such as bacteria or algae. Microorganisms that participate in bioconvection display directed movement, frequently in the form of upward or downward streaming, which can lead to the production of distinctive patterns. The interaction between the microbes’ swimming behavior and the physical forces acting on them, such as buoyancy and fluid flow, is what drives these patterns. This work considers the laminar-mixed convection incompressible flow at the stagnation point with viscous and gyrotactic microorganisms in an unsteady electrically conducting hybrid nanofluid (Fe3O4-Cu/water). In addition, hybrid nanofluid flow over a horizontal porous stretched sheet, as well as external and induced magnetic field effects, can be used in biological domains, including drug delivery and microcirculatory system flow dynamics. The governing system has been reduced to a set of ordinary differential equations (ODEs) through the use of the group technique. The current research was inspired by an examination of the impacts of multiple parameters, including Prandtl number, Pr, magnetic diffusivity, η0, shape factor, n, microorganism diffusion coefficient, Dn, Brownian motion coefficient, DB, thermophoresis diffusion coefficient,  DT, bioconvection Peclet number, Pe, temperature difference,  δt, and concentration difference,  δc. The results show that as Pr rises, temperature, heat flux, and nanoparticles all decrease. In contrast, when the η0 value increases, the magnetic field and velocity decrease. Heat flow, bacterial density, and temperature decrease as the DB value rises, yet the number of nanoparticles increases. As the DT value increases, the temperature, heat flow, and concentration of nanoparticles all rise while the density of bacteria decreases. Even though temperature, heat flux, nanoparticles, and bacterial density all decrease as δc values climb, bacterial density rises as Dn values do although bacterial density falls with increasing,  δt and Pe values; on the other hand, when n values increase, temperature and heat flow increase but the density of bacteria and nanoparticle decrease. The physical importance and behavior of the present parameters were illustrated graphically. Full article
Show Figures

Figure 1

19 pages, 6138 KB  
Article
Comparative Numerical Analysis for the Error Estimation of the Fluid Flow over an Inclined Axisymmetric Cylinder with a Gyrotactic Microbe
by Fuad A. Awwad, Emad A. A. Ismail, Waris Khan, Taza Gul and Abdul Samad Khan
Symmetry 2023, 15(10), 1811; https://doi.org/10.3390/sym15101811 - 22 Sep 2023
Cited by 3 | Viewed by 1448
Abstract
The numerical investigation of bioconvective nanofluid (NF) flow, which involves gyrotactic microbes and heat and mass transmission analysis above an inclined extending axisymmetric cylinder, is presented in this study. The study aims to investigate the bioconvection flow of nanofluid under the influence of [...] Read more.
The numerical investigation of bioconvective nanofluid (NF) flow, which involves gyrotactic microbes and heat and mass transmission analysis above an inclined extending axisymmetric cylinder, is presented in this study. The study aims to investigate the bioconvection flow of nanofluid under the influence of heat sources/sinks. Through proper transformation, all partial differential equations are transformed into a non-linear ODE scheme. A new set of variables is presented in the directive to get the first-order convectional equations and then solved numerically using bvp4c MATLAB, embedded in the function. The proposed model is validated after calculating the error estimation and obtaining the residual error. The influence of various factors on the velocity, energy, concentration, and density of motile microorganisms is examined and studied. The analysis describes and addresses all physical measures of concentration such as Skin Friction (SF), Sherwood number, the density of motile microorganisms, and Nusselt number. To validate the present study, a comparison is conducted with previous studies, and excellent correspondence is found. In addition, the ND-Solve approach is utilized to confirm the bvp4c. The mathematical model is confirmed through error analysis. This study provides the platform for industrial applications such as cooling capacity polymers, heat exchange, and chemical production sectors. Full article
(This article belongs to the Special Issue Symmetry in Numerical Analysis and Computational Fluid Dynamics)
Show Figures

Figure 1

23 pages, 8920 KB  
Article
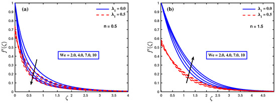
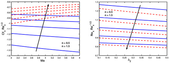
Bio-Convection Effects of MHD Williamson Fluid Flow over a Symmetrically Stretching Sheet: Machine Learning
by P. Priyadharshini, V. Karpagam, Nehad Ali Shah and Mansoor H. Alshehri
Symmetry 2023, 15(9), 1684; https://doi.org/10.3390/sym15091684 - 1 Sep 2023
Cited by 19 | Viewed by 2750
Abstract
The primary goal of this research study is to examine the influence of Brownian motion and thermophoresis diffusion with the impact of thermal radiation and the bioconvection of microorganisms in a symmetrically stretching sheet of non-Newtonian typical Williamson fluid. Structures of the momentum, [...] Read more.
The primary goal of this research study is to examine the influence of Brownian motion and thermophoresis diffusion with the impact of thermal radiation and the bioconvection of microorganisms in a symmetrically stretching sheet of non-Newtonian typical Williamson fluid. Structures of the momentum, energy, concentration, and bio-convection equations are interconnected with the imperative partial differential equations (PDEs). Similarity transformations are implemented to translate pertinent complicated partial differential equations into ordinary differential equations (ODEs). The BVP4C approach from the MATLAB assemblage computational methods scheme is extensively impacted by the results of these ODEs. The impact of several physical parameters, including Williamson fluid We(0.2We1.2), the magnetic field parameter M(0.0M2.5), Brownian motion Nb(0.0Nb1.0), thermophoresis diffusion Nt(0.1Nt0.9). In addition, various physical quantities of the skin friction (RexCfx), Nusselt number (Nux), Sherwood number (Shx), and motile microorganisms (Nnx) are occupied and demonstrate the visualization of graphs and tabular values. These outcomes are validated with earlier obtained results, displaying excellent synchronicity in the physical parameters. Furthermore, the physical quantities concerning the non-dimensional parameters are anticipated by employing Multiple Linear Regression (MLR) in Machine Learning (ML) as successfully executed a novelty of this study. These innovative techniques can help to advance development and technologies for future researchers. The real-world implications of this research are that bio-remediation, microbial movements in mixed fluids, and cancer prevention therapy are crucial. Full article
(This article belongs to the Special Issue Symmetry in Numerical Analysis and Computational Fluid Dynamics)
Show Figures

Figure 1

21 pages, 7035 KB  
Article
Melting Heat Transfer Rheology in Bioconvection Cross Nanofluid Flow Confined by a Symmetrical Cylindrical Channel with Thermal Conductivity and Swimming Microbes
by Fuad A. Awwad, Emad A. A. Ismail, Taza Gul, Waris Khan and Ishtiaq Ali
Symmetry 2023, 15(9), 1647; https://doi.org/10.3390/sym15091647 - 25 Aug 2023
Cited by 6 | Viewed by 1514
Abstract
Nonlinear thermal transport of non-Newtonian polymer flows is an increasingly important area in materials engineering. Motivated by new developments in this area which entail more refined and more mathematical frameworks, the present analysis investigates the boundary-layer approximation and heat transfer persuaded by a [...] Read more.
Nonlinear thermal transport of non-Newtonian polymer flows is an increasingly important area in materials engineering. Motivated by new developments in this area which entail more refined and more mathematical frameworks, the present analysis investigates the boundary-layer approximation and heat transfer persuaded by a symmetrical cylindrical surface positioned horizontally. To simulate thermal relaxation impacts, the bioconvection Cross nanofluid flow Buongiorno model is deployed. The study examines the magnetic field effect applied to the nanofluid using the heat generated, as well as the melting phenomenon. The nonlinear effect of thermosolutal buoyant forces is incorporated into the proposed model. The novel mathematical equations include thermophoresis and Brownian diffusion effects. Via robust transformation techniques, the primitive resulting partial equations for momentum, energy, concentration, and motile living microorganisms are rendered into nonlinear ordinary equations with convective boundary postulates. An explicit and efficient numerical solver procedure in the Mathematica 11.0 programming platform is developed to engage the nonlinear equations. The effects of multiple governing parameters on dimensionless fluid profiles is examined using plotted visuals and tables. Finally, outcomes related to the surface drag force, heat, and mass transfer coefficients for different influential parameters are presented using 3D visuals. Full article
(This article belongs to the Special Issue Symmetry in System Theory, Control and Computing)
Show Figures

Figure 1

25 pages, 7382 KB  
Article
Evolutionary Padé Approximation for Heat and Mass Transfer Analysis of Falkner–Skan Flow of a Bio-Convective Casson Fluid
by Ghada Ali Basendwah, Nauman Raza and Javaid Ali
Mathematics 2023, 11(7), 1688; https://doi.org/10.3390/math11071688 - 31 Mar 2023
Cited by 2 | Viewed by 1401
Abstract
This study presents numerical work to investigate the Falkner–Skan flow of a bio-convective Casson fluid over a wedge using an Evolutionary Padé Approximation (EPA) scheme. The governing partial differential equations and boundary conditions of a Falkner–Skan flow model are transformed to a system [...] Read more.
This study presents numerical work to investigate the Falkner–Skan flow of a bio-convective Casson fluid over a wedge using an Evolutionary Padé Approximation (EPA) scheme. The governing partial differential equations and boundary conditions of a Falkner–Skan flow model are transformed to a system of ordinary differential equations involving ten dimensionless parameters by using similarity transformations. In the proposed EPA framework, an equivalent constrained optimization problem is formed. The solution of the resulting optimization problem is analogous to the solution of the dimensionless system of ordinary differential equations. The solutions produced in this work, with respect to various combinations of the physical parameters, are found to be in good agreement with those reported in the previously published literature. The effects of a non-dimensional physical-parameter wedge, Casson fluid, fluid phase effective heat capacity, Brownian motion, thermophoresis, radiation, and magnetic field on velocity profile, temperature profile, fluid concentration profile, and the density of motile microorganisms are discussed and presented graphically. It is observed that the fluid velocity rises with a rise in the Casson fluid viscosity force parameter, and an increase in the Prandtl number causes a decrease in the heat transfer rate. Another significant observation is that the temperature and fluid concentration fields are greatly increased by an increase in the thermophoresis parameter. An increase in the Péclet number suppresses the microorganism density. Moreover, the increased values of the Prandtl number increase the local Nusslet number, whereas the skin friction is increased when an increase in the Prandtl number occurs. Full article
(This article belongs to the Special Issue Advances in Computational Fluid Dynamics with Applications)
Show Figures

Figure 1

14 pages, 1880 KB  
Article
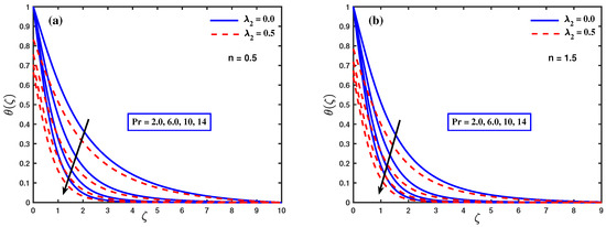
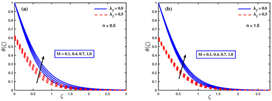
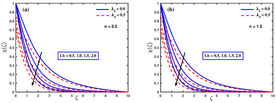
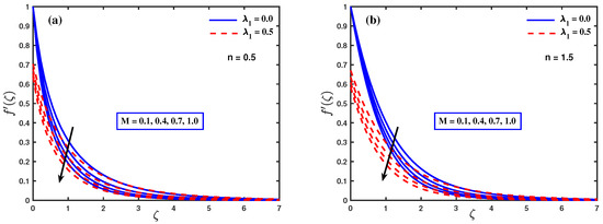
Significance of Weissenberg Number, Soret Effect and Multiple Slips on the Dynamic of Biconvective Magnetohydrodynamic Carreau Nanofuid Flow
by Pardeep Kumar, Hemant Poonia, Liaqat Ali, Nehad Ali Shah and Jae Dong Chung
Mathematics 2023, 11(7), 1685; https://doi.org/10.3390/math11071685 - 31 Mar 2023
Cited by 25 | Viewed by 4348
Abstract
This study focused on the analysis of two-dimensional incompressible magnetohydrodynamic Carreau nanofluid flow across a stretching cylinder containing microorganisms with the impacts of chemical reactions and multiple slip boundary conditions. Moreover, the main objective is concerned with the enhancement of thermal transportation with [...] Read more.
This study focused on the analysis of two-dimensional incompressible magnetohydrodynamic Carreau nanofluid flow across a stretching cylinder containing microorganisms with the impacts of chemical reactions and multiple slip boundary conditions. Moreover, the main objective is concerned with the enhancement of thermal transportation with the effect of heat source and bioconvection. By assigning pertinent similarity transitions to the governing partial differential equations, a series of equations (ODES) is generated. An optimum computational solver, namely the bvp5c software package, is utilized for numerical estimations. The impact of distinct parameters on thermal expansion, thermophoresis, and the Nusselt number has been emphasized, employing tables, diagrams, and surface maps for both shear thinning (n < 1) and shear thickening (n > 1) instances. Motile concentration profiles decrease with Lb and the motile microorganism density slip parameter. It is observed that with increasing values of Pr, both the boundary layer thickness and temperature declined in both cases. The Weissenberg number demonstrates a different nature depending on the type of fluid; skin friction, the velocity profile and Nusselt number drop when n < 1 and increase when n > 1. The two- and three-dimensional graphs show the simultaneous effect of involving parameters with physical quantities. The accuracy of the existing observations is evidenced by the impressive resemblance between the contemporary and preceding remedies. Full article
(This article belongs to the Section E: Applied Mathematics)
Show Figures

Figure 1

18 pages, 6129 KB  
Article
Effect of Thermal Radiation and Variable Viscosity on Bioconvective and Thermal Stability of Non-Newtonian Nanofluids under Bidirectional Porous Oscillating Regime
by Lioua Kolsi, Kamel Al-Khaled, Sami Ullah Khan and Nidhal Ben Khedher
Mathematics 2023, 11(7), 1600; https://doi.org/10.3390/math11071600 - 26 Mar 2023
Cited by 13 | Viewed by 1818
Abstract
The bioconvective flow of a Jeffrey fluid conveying tiny particles under the effect of an oscillating stretched bidirectional surface is considered in this paper. The effects of thermal radiation and a porous medium are also investigated. The Cattaneo–Christov diffusion theories are used to [...] Read more.
The bioconvective flow of a Jeffrey fluid conveying tiny particles under the effect of an oscillating stretched bidirectional surface is considered in this paper. The effects of thermal radiation and a porous medium are also investigated. The Cattaneo–Christov diffusion theories are used to analyze the heat and mass transfer phenomena. The activation energy effects are included in the concentration equation. The solved dimensionless equations system is established, based on non-dimensional variables. The analytical findings are evaluated using the homotopic analysis technique. The convergence of solutions is ensured. The results are validated by already available published findings and a good concordance is encountered. The fundamental physical aspect of flow parameters is graphically evaluated. The main results reveal that the velocity is reduced by increasing the permeability of the porous medium. An increase in the temperature occurs when the viscosity of the fluid is varied. The obtained results can be useful in thermal systems, energy production, heat transfer devices, solar systems, biofuels, fertilizers, etc. Full article
Show Figures

Figure 1

Back to TopTop