Due to scheduled maintenance work on our servers, there may be short service disruptions on this website between 11:00 and 12:00 CEST on March 28th.
Sign in to use this feature.

Years

Between: -

Subjects

remove_circle_outline
remove_circle_outline
remove_circle_outline
remove_circle_outline
remove_circle_outline
remove_circle_outline
remove_circle_outline
remove_circle_outline
remove_circle_outline

Journals

remove_circle_outline
remove_circle_outline
remove_circle_outline
remove_circle_outline
remove_circle_outline
remove_circle_outline
remove_circle_outline
remove_circle_outline
remove_circle_outline
remove_circle_outline
remove_circle_outline
remove_circle_outline
remove_circle_outline
remove_circle_outline
remove_circle_outline
remove_circle_outline

Article Types

Countries / Regions

remove_circle_outline
remove_circle_outline
remove_circle_outline
remove_circle_outline

Search Results (895)

Search Parameters:
Keywords = behavioral box

Order results
Result details
Results per page
Select all
Export citation of selected articles as:
21 pages, 4613 KB  
Article
Linear and Nonlinear Performance Evaluation of Composite Space Truss Decks in Cable-Stayed Bridges: Suez Canal Bridge Case Study
by Hesham Fawzy Shaaban, Ayman El-Zohairy and Mohamed Atabi
Infrastructures 2026, 11(4), 112; https://doi.org/10.3390/infrastructures11040112 - 25 Mar 2026
Abstract
This study investigates the structural performance of a novel composite space truss deck system as an alternative to the conventional steel box girder in cable-stayed bridges. Using the Suez Canal Bridge as a benchmark, comprehensive linear and nonlinear finite element analyses were performed [...] Read more.
This study investigates the structural performance of a novel composite space truss deck system as an alternative to the conventional steel box girder in cable-stayed bridges. Using the Suez Canal Bridge as a benchmark, comprehensive linear and nonlinear finite element analyses were performed to evaluate the global behavior of both deck configurations under dead, live, wind, and temperature loads. The proposed system consists of a three-dimensional square-on-square truss acting compositely with a 25 cm reinforced concrete slab, designed to optimize stiffness and material efficiency. The results revealed that the composite space truss deck achieved a 5–7% reduction in mid-span deflection under live loading and a 6% increase in torsional rigidity compared with the steel box girder, while maintaining comparable self-weight (490 kg/m2 versus 480 kg/m2). The influence of geometric nonlinearity was moderate, 6.56% for the space truss and 1.64% for the box girder, whereas temperature variations of ±30 °C induced up to a 25.3% change in mid-span deflection, highlighting the space truss’s higher thermal sensitivity. Parametric analyses demonstrated that increasing the truss depth from 2.5 m to 4.0 m enhanced global stiffness by 15%, and using lightweight concrete reduced mid-span deflection by 30%. Overall, the composite space truss system offers superior stiffness-to-weight efficiency, substantial steel savings (two-thirds less), and competitive construction economy, establishing it as a promising solution for medium- and long-span cable-stayed bridges. Full article
(This article belongs to the Special Issue Sustainable Bridge Engineering)
Show Figures

Figure 1

34 pages, 8592 KB  
Article
Neural Network Modeling of Air Spring Dynamic Stiffness Based on Its Pneumatic Physics
by Yuelian Wang, Tao Bo, Wenzheng Hu, Jiaqi Zhao, Fa Su, Zuguo Ma and Ye Zhuang
Mathematics 2026, 14(6), 1057; https://doi.org/10.3390/math14061057 - 20 Mar 2026
Viewed by 132
Abstract
To meet the real-time computational requirements of active suspension control systems, this study shifts from complex microscopic physical equations to a direct nonlinear functional mapping between the relative motion states (displacement and velocity) and the output force of air springs. This approach aims [...] Read more.
To meet the real-time computational requirements of active suspension control systems, this study shifts from complex microscopic physical equations to a direct nonlinear functional mapping between the relative motion states (displacement and velocity) and the output force of air springs. This approach aims to preserve critical nonlinear hysteresis characteristics while significantly reducing the computational overhead. A progressive modeling strategy is implemented to characterize these complex behaviors. Initially, polynomial fitting is employed to identify key input features; however, its limited capacity to capture intricate nonlinearities necessitates more advanced methods. Subsequently, standard Feedforward Neural Networks (FNNs) are explored for their nonlinear mapping capabilities, yet their inherent “black-box” nature often leads to convergence difficulties and restricted generalization. To address these issues, a Physics-Informed Neural Network (PINN) architecture is introduced, embedding physical governing equations as regularization constraints within the loss function to integrate data-driven flexibility with mathematical rigor. Recognizing that conventional PINNs often encounter convergence challenges due to conflicts between PDE constraints and data-driven loss terms, this research develops a Physics-Embedded Hierarchical Network (PEHN). By deriving specialized PDE constraints tailored to air spring dynamics and designing a hierarchical architecture aligned with these physical requirements, the PEHN effectively balances physical priors with experimental data. Experimental results demonstrate that, compared to the baseline models, the proposed PEHN exhibits stronger stability and superior accuracy in capturing the complex nonlinearities of air spring dynamics. Full article
Show Figures

Figure 1

22 pages, 3196 KB  
Article
An Explainable Neuro-Symbolic Framework for Online Exam Cheating Detection
by Turgut Özseven and Beyza Esin Özseven
Appl. Sci. 2026, 16(6), 2884; https://doi.org/10.3390/app16062884 - 17 Mar 2026
Viewed by 183
Abstract
With the proliferation of online examination systems, protecting academic integrity and reliably detecting cheating have become significant research problems. Current AI-based online monitoring systems can achieve high accuracy by analyzing visual behavioral cues; however, their often black-box nature limits their explainability, reliability, and [...] Read more.
With the proliferation of online examination systems, protecting academic integrity and reliably detecting cheating have become significant research problems. Current AI-based online monitoring systems can achieve high accuracy by analyzing visual behavioral cues; however, their often black-box nature limits their explainability, reliability, and legal compliance (e.g., GDPR). In contrast, while rule-based approaches are interpretable, they are insufficient for generalizing complex and ambiguous human behaviors. This study proposes an explainable neuro-symbolic framework combining data-driven learning with symbolic reasoning for cheating detection in online exams. The proposed framework comprises three main layers: a neural perceptron layer that generates a suspicious behavior score; a symbolic reasoning layer comprising ANFIS and ILP methods to increase explainability and manage ambiguity; and a neuro-symbolic fusion layer that integrates these two layers. The success of the proposed framework for plagiarism detection was evaluated using a dataset containing visual–behavioral features such as gaze behavior, head pose, hand-object interaction, and device usage, along with the XGBoost method at the neural perceptron layer. Experimental results show that the proposed approach achieves high detection success and supports decision-making using logical rules, thereby reducing false positives. In this respect, the study offers an ethical, transparent, and reliable solution for online exam security. Full article
Show Figures

Figure 1

27 pages, 6375 KB  
Article
Fractal Dimension and Chaotic Dynamics of Multiscale Network Factors in Asset Pricing: A Wavelet Packet Decomposition Approach Based on Fractal Market Hypothesis
by Qiaoqiao Zhu and Yuemeng Li
Fractal Fract. 2026, 10(3), 196; https://doi.org/10.3390/fractalfract10030196 - 16 Mar 2026
Viewed by 283
Abstract
The nature of nonlinear dynamics of financial markets results in fractal geometry and chaotic behavior that can be viewed on a variety of scales in time. This paper conducts research on the fractal characteristics of the stock network and its contribution to the [...] Read more.
The nature of nonlinear dynamics of financial markets results in fractal geometry and chaotic behavior that can be viewed on a variety of scales in time. This paper conducts research on the fractal characteristics of the stock network and its contribution to the price of assets based on the Fractal Market Hypothesis (FMH). A multiscale network centrality measure is built based on high-frequency return dependencies to measure the self-similar, scale-invariant nature of inter-stock dependencies. The network factor and portfolio returns are then broken down with the wavelet packet decomposition (WPD) to obtain frequency-domain profiles, which characterize the variability of risk transmission in relation to investment horizons. The profiles are consistent with scaling properties of fractal, but the decomposition does not identify causal pathways on its own. Estimation of fractal dimension by use of the box-counting technique aided by the Hurst exponent analysis reveals that the A-share of China market exhibited long-range dependence and multifractal scaling. Network factor has the largest explanatory power in mid-frequency between the D5 and D6 bands of 32 to 128 days. This intermediary frequency concentration is consistent with the hypothesis of heterogeneous markets, in which the groups of investors with varying time horizons generate scale-related price dynamics. The addition of the network factor to a 6-factor specification lowers the GRS under the 5-factor specification by 31.45 to 17.82 on the same test-asset universe, indicating better cross-sectional coverage in the sample. The estimates of the Lyapunov exponents (0.039) as well as the correlation dimension (D2=4.7) confirm the presence of low-dimensional chaotic processes of the network factor series, but these values are specific to the Chinese A-share market over the 2005–2023 sample period. These results provide a frequency-disaggregated use of network-based factor modeling and suggest that it can be applicable in multiscale portfolio risk management where the investor horizon is not uniform. Full article
Show Figures

Figure 1

29 pages, 6970 KB  
Article
Early-Age Behavior of Wide-Deck PK Concrete Box Girders Considering Spatially Non-Uniform Material Properties
by Hongsheng Li, Jia Wang, Dingle Ma, Xuefei Shi and Bin Huang
Appl. Sci. 2026, 16(6), 2781; https://doi.org/10.3390/app16062781 - 13 Mar 2026
Viewed by 219
Abstract
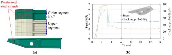
This study investigates early-age cracking in the inclined bottom slabs of a 37.6 m wide PK-section concrete box girder during winter cantilever construction. A numerical method considering non-uniform material property development based on equivalent age was established. The method was validated by synchronous [...] Read more.
This study investigates early-age cracking in the inclined bottom slabs of a 37.6 m wide PK-section concrete box girder during winter cantilever construction. A numerical method considering non-uniform material property development based on equivalent age was established. The method was validated by synchronous temperature and strain monitoring. The validated program was then used to analyze cracking causes and optimization measures. Results indicated that 3 days after casting, the maximum difference in equivalent age exceeded 7 days. Differences in elastic modulus and strength reached 30% and 34%, respectively, showing significant material non-uniformity. The restraint from completed segments was the primary cause of cracking. The total stress at the crack location was 5.5 MPa, with a 95% cracking probability. The ratio of thermal to shrinkage stress was 3.6:1. In summer, both total stress and strength increased, resulting in a similar cracking probability. Reducing the placing temperature decreased thermal stress by 0.13 MPa/°C in both seasons but had little effect on shrinkage. A 3 °C reduction lowered the cracking probability by 5–15%. Adding prestressed tendons to the bottom slab reduced total stress to 3.2 MPa and cracking probability to 37%, significantly mitigating cracking risk. Full article
(This article belongs to the Section Civil Engineering)
Show Figures

Figure 1

35 pages, 13531 KB  
Article
A Theory-Guided Transformer for Interpretable Hyperspectral Unmixing
by Hongyue Cao, Fanlei Meng, Haixin Sun, Xinyu Cui and Dan Shao
Remote Sens. 2026, 18(6), 886; https://doi.org/10.3390/rs18060886 - 13 Mar 2026
Viewed by 302
Abstract
Hyperspectral unmixing (HU) is fundamental for conducting quantitative analyses in remote sensing, yet existing methods face a persistent tradeoff between model performance and physical interpretability. Although deep learning models achieve superior performance, even “gray-box” models that incorporate physical constraints still suffer from an [...] Read more.
Hyperspectral unmixing (HU) is fundamental for conducting quantitative analyses in remote sensing, yet existing methods face a persistent tradeoff between model performance and physical interpretability. Although deep learning models achieve superior performance, even “gray-box” models that incorporate physical constraints still suffer from an intrinsically opaque decision-making process, which hinders their trustworthiness in critical applications. To address this challenge, this paper introduces a theory-guided unmixing framework aimed at enhancing mechanistic interpretability called the sparse and subspace-attentive transformer unmixing network (SSTU-Net). Unlike heuristic architectures, SSTU-Net is rigorously derived from the first principles of sparse rate reduction (SRR) theory. Its core modules—the multi-head subspace self-attention (MSSA) and the iterative shrinkage-thresholding algorithm (ISTA)—directly implement the essential mathematical steps of information compression and sparsification within the SRR theory, respectively. Extensive experiments on both synthetic and real hyperspectral datasets demonstrate that SSTU-Net achieves competitive performance compared to representative state-of-the-art methods—including advanced autoencoder-based networks (e.g., CyCU-Net and DAAN) and recent transformer-based unmixing architectures (e.g., DeepTrans and MAT-Net)—while strictly adhering to theoretically predicted evolutionary trajectories. More importantly, a series of specifically designed structural interpretability validation experiments mechanistically confirm the theoretically predicted behaviors, such as layer-wise information compression, feature sparsification, and subspace orthogonalization. These results reveal the internal working mechanisms of SSTU-Net, validating the feasibility and significant potential of our principled theory-guided framework for developing high-performance and trustworthy intelligent models in remote sensing. Full article
Show Figures

Figure 1

26 pages, 3911 KB  
Article
Parametric Optimization of VLM Panel Discretization Using Bio-Inspired Crayfish and Aquila Algorithms Coupled with Hybrid RSM-Based Ensemble Machine Learning Surrogate Models: A Case Study
by Yüksel Eraslan and Esmanur Şengün
Biomimetics 2026, 11(3), 204; https://doi.org/10.3390/biomimetics11030204 - 11 Mar 2026
Viewed by 318
Abstract
Fast and reliable aerodynamic predictions are crucial in the early phases of aircraft design, where a quick assessment of various configurations is required. In this context, the Vortex Lattice Method (VLM) is widely adopted due to its computational efficiency; however, its predictive accuracy [...] Read more.
Fast and reliable aerodynamic predictions are crucial in the early phases of aircraft design, where a quick assessment of various configurations is required. In this context, the Vortex Lattice Method (VLM) is widely adopted due to its computational efficiency; however, its predictive accuracy is highly sensitive to panel discretization strategies, which are often determined heuristically. This study proposes a bio-inspired optimization framework for VLM panel discretization and evaluates it through a systematic case study on a representative wing geometry. A grid-convergence analysis was initially carried out to ensure solution independence across various spanwise-to-chordwise panel ratios. Subsequently, a novel Hybrid Response Surface Methodology (HRSM), integrating Box–Behnken and Central Composite experimental designs, was employed to enable a more comprehensive exploration of the factor space while quantifying the effects of clustering parameters at the leading-edge, trailing-edge, root, and tip regions of the wing. The HRSM dataset was further utilized to train Ensemble Machine-Learning surrogate models, which were coupled with bio-inspired Crayfish and Aquila optimization algorithms, alongside a classical Genetic Algorithm (GA) as a performance benchmark, to identify the optimal discretization strategy and to enable a comparative assessment of their convergence behavior and robustness against the numerical noise of the ensemble-based landscape. Compared to base (i.e., uniform) panel distribution, the optimally clustered discretization enhanced overall aerodynamic prediction accuracy by approximately 33%, particularly at low angles of attack, while maintaining robust performance at higher angles. Both algorithms converged to similar minima; however, the Aquila algorithm achieved higher solution consistency, whereas the Crayfish algorithm exhibited greater dispersion despite faster convergence, revealing a multimodal optimization landscape. The variance decomposition revealed that trailing-edge clustering dominated aerodynamic accuracy at low angles of attack, contributing up to 90% of the total variance, whereas tip clustering became increasingly influential at higher angles, exceeding 30%, highlighting the need for adaptive discretization strategies to ensure reliable VLM-based aerodynamic analyses. Full article
Show Figures

Figure 1

21 pages, 9826 KB  
Article
Assessment of Foundation Reinforcement Adequacy for Subway Box Structures Exhibiting Displacement
by Jung-Youl Choi, Dae-Hui Ahn and In-Soo Jang
Appl. Sci. 2026, 16(6), 2659; https://doi.org/10.3390/app16062659 - 11 Mar 2026
Viewed by 183
Abstract
Frequent large-scale construction projects have rendered subway box structures vulnerable to displacements. This study examined the adequacy of foundation reinforcement for a subway box structure exhibiting displacement behavior. A displacement function was derived from the optical leveling data, and a three-dimensional numerical analysis [...] Read more.
Frequent large-scale construction projects have rendered subway box structures vulnerable to displacements. This study examined the adequacy of foundation reinforcement for a subway box structure exhibiting displacement behavior. A displacement function was derived from the optical leveling data, and a three-dimensional numerical analysis was performed by applying the computed subgrade elastic modulus as a boundary condition. The analysis produced estimates of uplift and subsidence at the nodes along both the transverse and longitudinal directions of the structure. To determine the required amount of reinforcement (grouting volume), the nodal reinforcement depth obtained from the analysis was applied to a grid-based volumetric calculation method. The nodal intervals were subdivided to the maximum feasible extent, and rectangular grids with sufficient resolution were established to ensure accurate reinforcement-volume calculation. The reinforcement volumes estimated through the numerical analysis were compared with actual field values to assess the adequacy of the foundation reinforcement. Some differences were observed, which were attributed to field constraints that prevented reinforcements at certain required locations. Based on these findings, additional reinforcements can be applied at the analytically identified locations to ensure the structural safety of the subway box structure. Full article
(This article belongs to the Section Civil Engineering)
Show Figures

Figure 1

31 pages, 2615 KB  
Article
Zeroth-Order Riemannian Adaptive Regularized Proximal Quasi-Newton Optimization Method
by Yinpu Ma, Cunlin Li, Zhichao Wang and Qian Li
Axioms 2026, 15(3), 203; https://doi.org/10.3390/axioms15030203 - 10 Mar 2026
Viewed by 292
Abstract
Recently, the adaptive regularized proximal quasi-Newton (ARPQN) method has demonstrated a strong performance in solving composite optimization problems over the Stiefel manifold. However, its reliance on first-order information limits its applicability to scenarios where gradient and Hessian evaluations are unavailable or costly. In [...] Read more.
Recently, the adaptive regularized proximal quasi-Newton (ARPQN) method has demonstrated a strong performance in solving composite optimization problems over the Stiefel manifold. However, its reliance on first-order information limits its applicability to scenarios where gradient and Hessian evaluations are unavailable or costly. In this paper, we propose a zeroth-order adaptive regularized proximal quasi-Newton method (ZO-ARPQN) for black-box composite optimization over Riemannian manifolds, particularly the Stiefel and symmetric positive definite (SPD) manifolds. The proposed method estimates the Riemannian gradient and curvature information through randomized one-point finite-difference approximations and adaptively updates a regularized quasi-Newton matrix to capture the local manifold geometry. Theoretically, we established global convergence and complex analyses under mild assumptions. More importantly, by incorporating curvature-aware regularization and random perturbations in the proximal quasi-Newton framework, we proved that ZO-ARPQN can escape strict saddle points with a high probability. This guarantees convergence to a stationary point, even in the absence of explicit gradients. Extensive numerical experiments were conducted on manifold-constrained problems, including sparse PCA and robot stiffness tuning. These demonstrated that ZO-ARPQN shows a competitive convergence behavior compared with other state-of-the-art Riemannian optimization methods, while requiring only function evaluations. Full article
(This article belongs to the Section Geometry and Topology)
Show Figures

Figure 1

27 pages, 6415 KB  
Article
Emergence of Longitudinal Queues in Group Navigation: An Interpretable Approach via Projective Simulation
by Decheng Kong, Kai Xue, Ping Wang and Zeyu Xu
Biomimetics 2026, 11(3), 201; https://doi.org/10.3390/biomimetics11030201 - 10 Mar 2026
Viewed by 316
Abstract
The formation of longitudinal queues is critical for biological and artificial swarm systems to achieve efficient long-distance navigation. However, the “black-box” nature of conventional deep reinforcement learning models often obscures the microscopic rules driving the emergence of such ordered behaviors. To address this [...] Read more.
The formation of longitudinal queues is critical for biological and artificial swarm systems to achieve efficient long-distance navigation. However, the “black-box” nature of conventional deep reinforcement learning models often obscures the microscopic rules driving the emergence of such ordered behaviors. To address this challenge, this paper proposes an interpretable computational model of collective behavior based on Projective Simulation and Episodic Compositional Memory, which enables individuals to learn decision-making strategies within a transparent state–action network. Simulation results demonstrate that the swarm can self-organize into stable and highly elongated longitudinal queues. Crucially, through visualization of microscopic strategies, we reveal a deterministic target-priority mechanism: when local neighbor alignment conflicts with global target orientation, individuals learn to strictly prioritize the target direction, serving as the key driving force for queue formation. Further parametric analysis indicates that the action space granularity exerts a nonlinear impact on stability, identifying moderate control precision as the optimal choice. This study not only provides a transparent computational explanation for the self-organization mechanism of queues in collective motion but also offers a theoretical foundation for designing interpretable swarm navigation systems. Full article
(This article belongs to the Section Bioinspired Sensorics, Information Processing and Control)
Show Figures

Graphical abstract

44 pages, 3365 KB  
Article
A Moment-Targeting Normality Transformation Based on Simultaneous Optimization of Tukey g–h Distribution Parameters
by Zeynel Cebeci, Figen Ceritoglu, Melis Celik Guney and Adnan Unalan
Symmetry 2026, 18(3), 458; https://doi.org/10.3390/sym18030458 - 6 Mar 2026
Viewed by 374
Abstract
This study proposes Optimized Skewness and Kurtosis Transformation (OSKT), a novel moment-targeting normality transformation that corrects asymmetry and peakedness in non-normal data. OSKT employs a transformation function derived from the Tukey g–h distribution, incorporating skewness and kurtosis parameters, and is optimized by minimizing [...] Read more.
This study proposes Optimized Skewness and Kurtosis Transformation (OSKT), a novel moment-targeting normality transformation that corrects asymmetry and peakedness in non-normal data. OSKT employs a transformation function derived from the Tukey g–h distribution, incorporating skewness and kurtosis parameters, and is optimized by minimizing a single objective function based on the Anderson–Darling test statistic. The optimization process uses L-BFGS-B to tune the transformation parameters to find the best fit for the standard normal distribution. OSKT ensures a balance between symmetry and tail behavior by minimizing deviations from theoretical normality. It has highly competitive performance compared to the alternative, Box–Cox, Yeo–Johnson transformations, including their robust variants and moment-matching Lambert W method, for normalizing complex distributions. According to our analysis, OSKT also achieves superior normalization for highly non-Gaussian data, successfully transforming highly resistant distributions, including approximately symmetric bimodal datasets, where other methods fail. Full article
(This article belongs to the Section Mathematics)
Show Figures

Figure 1

20 pages, 3008 KB  
Article
Data-Driven Modeling and Simulation of Angle–Torque in a Sensorless Pneumatic Soft Bending Actuator Using the Ideal Gas Law
by Wenyuan Shi and M. B. J. Wijesundara
Actuators 2026, 15(3), 146; https://doi.org/10.3390/act15030146 - 3 Mar 2026
Viewed by 299
Abstract
This paper presents a data-driven modeling and sensorless angle–torque prediction method for a pneumatic soft bending actuator. The actuator contains no embedded angle or torque sensors; instead, only airflow and pressure sensors located in the external control box (standard components in pneumatic systems) [...] Read more.
This paper presents a data-driven modeling and sensorless angle–torque prediction method for a pneumatic soft bending actuator. The actuator contains no embedded angle or torque sensors; instead, only airflow and pressure sensors located in the external control box (standard components in pneumatic systems) are used during operation. The proposed method, and therefore eliminates the need for onboard sensing and detailed valve hysteresis modeling. Based on the ideal gas law, four continuous, monotonic, and single-valued pneumatic state equations were derived and experimentally validated. As a case study, a pneumatic soft actuator was designed to generate high torque for assisting knee and ankle extension. An experimental setup with multiple sensors collected key data on air mass, internal pressure, actuator torque, and bending angle. These additional sensors were used only during dataset generation. A data-driven modeling approach was developed with training neural networks to generate four fitting functions to predict actuator behavior, including equations for angle and torque prediction. An angle-sensorless closed-loop control simulation study, incorporating a PID controller, a proportional valve delay block, and torque prediction, demonstrated the controllability and computational feasibility of the proposed model as well as the actuator’s effectiveness in supporting additional weight during squat-to-stand motion. Full article
(This article belongs to the Special Issue Design and Control of Soft Assistive Wearable Robots)
Show Figures

Figure 1

24 pages, 9279 KB  
Article
Research on Finite Element Analysis Method of Curved Beam Walking Incremental Launching Construction
by Wen Li, Lipeng An, Tianxing Wen, Hong Wang and Liqiang Jiang
Buildings 2026, 16(5), 965; https://doi.org/10.3390/buildings16050965 - 1 Mar 2026
Viewed by 276
Abstract
The “direct method” is commonly employed to establish analytical models for assessing the stress state of curved beam bridges during incremental walking-launch construction. However, this approach often involves cumbersome mathematical derivations for curved elements and entails high computational costs. To overcome these limitations, [...] Read more.
The “direct method” is commonly employed to establish analytical models for assessing the stress state of curved beam bridges during incremental walking-launch construction. However, this approach often involves cumbersome mathematical derivations for curved elements and entails high computational costs. To overcome these limitations, this study proposes a “straight-line substitution method” and examines its applicability for analyzing the mechanical behavior of a composite system consisting of steel box girders and steel guide beams during the curved beam walking-launch process. Using a curved river-crossing bridge as a case study, finite element analysis (FEA) is conducted to compare the mechanical responses of the composite system under various loading conditions obtained from the proposed method and the conventional direct method. Furthermore, a parameter analysis is performed to investigate the influence of variations in beam height and width on the consistency between the two methods. The results demonstrate that the straight-line substitution method yields computational outcomes highly consistent with those of the direct method across different beam heights and widths. Moreover, the proposed method exhibits superior modeling efficiency compared to the direct method. Full article
(This article belongs to the Special Issue Large-Span, Tall and Special Steel and Composite Structures)
Show Figures

Figure 1

30 pages, 28967 KB  
Article
Dynamic Mechanisms and Screening Experiments of a Drum-Type Mulch-Film Impurity-Removal System
by Jiayong Pei, Feng Wu, Fengwei Gu, Mingzhu Cao, Hongbo Xu, Man Gu, Chenxu Zhao and Peng Zhang
Agriculture 2026, 16(5), 546; https://doi.org/10.3390/agriculture16050546 - 28 Feb 2026
Viewed by 213
Abstract
Efficient and clean separation of residual plastic mulch film is the primary bottleneck hindering its resource-oriented reutilization. Currently, the field faces critical technical challenges, most notably the elusive motion mechanisms of flexible materials and the inherent difficulty of film–impurity separation. To address these [...] Read more.
Efficient and clean separation of residual plastic mulch film is the primary bottleneck hindering its resource-oriented reutilization. Currently, the field faces critical technical challenges, most notably the elusive motion mechanisms of flexible materials and the inherent difficulty of film–impurity separation. To address these issues, this study investigates a drum-type mulch-film impurity-removal unit by modeling the throw-off motion mechanism of the material stream, followed by comprehensive multiphysics simulation and optimization. First, to overcome the simulation hurdles typical of flexible materials, “Meta-particles” and the “Bonding V2” contact model were implemented on the EDEM platform to establish a discrete element method (DEM) framework. The resulting analysis revealed a non-linear transport trajectory and morphological evolution within the drum flow field, characterized by a “wall-adhering–slipping–throwing” sequence. These findings were further quantified through MATLAB-based numerical calculations to determine collision frequency and axial residence behavior. Second, ANSYS modal analysis verified the dynamic stability of the frame structure, confirming that the operating frequency (2.37 Hz) remains well below the first natural frequency (6.77 Hz). Furthermore, Box–Behnken response surface methodology (RSM) was employed to elucidate the coupled effects of key process parameters. The results demonstrated that separation efficiency and impurity-removal mass are predominantly governed by the quadratic terms of the inclination angle and rotational speed, respectively. After multi-objective optimization and engineering refinement, the optimal operating parameters were established: a film length of 220 mm, an inclination angle of 3°, and a drum rotational speed of 25 r/min. Bench tests indicated that, under these optimal conditions, the impurity-removal rate stabilized between 71.5% and 72.4%, satisfying the design requirement (≥70%). By elucidating the drum’s throw-off screening mechanism, this study achieves a coordinated improvement in both impurity-removal mass and separation efficiency, resolving long-standing engineering uncertainties regarding film–impurity trajectories and providing a theoretical foundation for the clean treatment of waste mulch film. Full article
(This article belongs to the Section Agricultural Technology)
Show Figures

Figure 1

9 pages, 618 KB  
Article
Object Permanence Cognitive Task Solution Using Wild Rodents
by Daniil A. Blinov, Olga V. Perepelkina and Inga I. Poletaeva
Animals 2026, 16(5), 734; https://doi.org/10.3390/ani16050734 - 27 Feb 2026
Viewed by 294
Abstract
The understanding of the object permanence rule (the notion that an object that has disappeared from view continues to exist) is an important issue for animal cognition studies. This ability has been tested in laboratory rodents, but no studies have been conducted using [...] Read more.
The understanding of the object permanence rule (the notion that an object that has disappeared from view continues to exist) is an important issue for animal cognition studies. This ability has been tested in laboratory rodents, but no studies have been conducted using wild rodent species. The aim of this study was to compare the ability to use the object permanence rule in three species of wild rodents and to identify plausible interspecific behavioral differences. The wood mouse (Sylvaemus uralensis), the striped field mouse (Apodemus agrarius), and the bank vole (Clethrionomys glareolus) were used as subjects in the puzzle-box, in which an animal is motivated to escape from a brightly lit environment into the darkness. Test stages 2, 3 and 4 required an understanding that the underpass which leads from light into the dark part of a box still exists, although it is not seen any longer. The test difficulty gradually increased: at first, the passage to the dark was unobstructed; then, it was covered with sawdust; and, finally, it was blocked using a cardboard plug. Interspecific differences were found. Wood mice and striped field mice demonstrated consistently high success rates at all stages of the test, including the most difficult one (when the passage was blocked by a plug), indicating a well-developed ability to operate the object permanence rule. In contrast, the proportion of bank voles who solved the test decreased as the test complexity increased. Bank voles were also characterized by prolonged periods of immobility and lower levels of locomotion. The data suggest that interspecies variability in object permanence task solutions is associated not only with different levels of cognitive ability per se - but also with species-specific behavioral traits, which could be linked to the ecological specialization of these species. Full article
(This article belongs to the Section Wildlife)
Show Figures

Figure 1

Back to TopTop