Sign in to use this feature.

Years

Between: -

Subjects

remove_circle_outline
remove_circle_outline
remove_circle_outline
remove_circle_outline
remove_circle_outline
remove_circle_outline
remove_circle_outline
remove_circle_outline
remove_circle_outline

Journals

remove_circle_outline
remove_circle_outline
remove_circle_outline
remove_circle_outline
remove_circle_outline
remove_circle_outline
remove_circle_outline
remove_circle_outline
remove_circle_outline
remove_circle_outline
remove_circle_outline
remove_circle_outline
remove_circle_outline
remove_circle_outline
remove_circle_outline
remove_circle_outline
remove_circle_outline
remove_circle_outline

Article Types

Countries / Regions

remove_circle_outline
remove_circle_outline
remove_circle_outline
remove_circle_outline
remove_circle_outline

Search Results (1,211)

Search Parameters:
Keywords = bariatrics

Order results
Result details
Results per page
Select all
Export citation of selected articles as:
11 pages, 729 KB  
Perspective
Is Oral Semaglutide a Good Fit for Patients After Metabolic Bariatric Surgery? A Biopharmaceutical Mechanistic Perspective
by Almog Eliyahu Dahan, Carmil Azran and Arik Dahan
Pharmaceutics 2026, 18(4), 466; https://doi.org/10.3390/pharmaceutics18040466 - 10 Apr 2026
Abstract
Currently, GLP-1RAs are peptide drugs, typically administered by injection due to insufficient absorption, and only one GLP-1RA, semaglutide, is available as an orally administered drug. To overcome the absorption challenges of oral peptides, this drug product contains the absorption enhancer SNAC. As the [...] Read more.
Currently, GLP-1RAs are peptide drugs, typically administered by injection due to insufficient absorption, and only one GLP-1RA, semaglutide, is available as an orally administered drug. To overcome the absorption challenges of oral peptides, this drug product contains the absorption enhancer SNAC. As the tablet is eroded in the stomach, SNAC neutralizes the acidic gastric environment, thereby protecting the semaglutide from enzymatic degradation. Then, SNAC fluidizes the stomach lipidic membrane to increase semaglutide transcellular permeability across the gastric epithelium. It is necessary to realize that the use of such a unique drug product, that relies solely on the stomach for absorption, is expected to be affected by the extreme gastric anatomy/physiology changes post-MBS. Hence, we analyzed the key mechanisms that may affect the bioavailability of oral semaglutide post-MBS. Several mechanisms appear to potentially reduce oral semaglutide absorption post-MBS, including decreased inner gastric surface area, decreased gastric contractility, and faster gastric emptying. Hence, the effectiveness of the complex formulation, that relies solely on the stomach for the SNAC activity and semaglutide absorption, may be severely hampered post-MBS; clinicians should be aware of the potential malabsorption of oral GLP-1RA post-MBS, and preferably consider subcutaneous therapy until specific pharmacokinetic/clinical data are available. Full article
(This article belongs to the Section Biologics and Biosimilars)
Show Figures

Figure 1

16 pages, 1349 KB  
Article
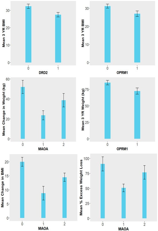
A Personalized Medicine Approach: Psychosocial and Genetic Risk Assessments Predictors of Bariatric Surgery Outcomes After 3 Years
by Panayotis K. Thanos, Shtakshe Chatrath, Colin Hanna, Fiona Comstock, John Butsch, Kenneth Blum, Albert Pinhasov, Lucy Mastrandrea, Teresa Quattrin, Lesley Georger and Alan Posner
Biomedicines 2026, 14(4), 870; https://doi.org/10.3390/biomedicines14040870 - 10 Apr 2026
Abstract
Background: This study aimed to further explore the application of genetic risk assessments in 24 metabolic bariatric surgery (MBS) patients to predict weight loss outcomes three years after the procedure. Methods: Participants were assessed using the Genetic Addiction Risk Severity (GARS) test, which [...] Read more.
Background: This study aimed to further explore the application of genetic risk assessments in 24 metabolic bariatric surgery (MBS) patients to predict weight loss outcomes three years after the procedure. Methods: Participants were assessed using the Genetic Addiction Risk Severity (GARS) test, which evaluates neurogenic polymorphisms linked to addiction and reward deficiency. Genetic and psychosocial data collected prior to surgery were analyzed in relation to post-operative weight loss measures, including weight change, body mass index (BMI), percentage of total weight loss (%TWL), and percentage of expected weight loss (%EWL). The analysis examined associations between specific genetic risk alleles, weight-related outcomes at three to four years post-surgery, and psychosocial trait scores. Results: Spearman’s correlations revealed that the DRD2 risk allele is negatively correlated with 3-year BMI (rs = −0.481, p < 0.05, 95% CI: –0.746 to –0.083). One-way ANOVA indicated that there is a significant difference in 3-year BMI (p = 0.018) between 0 and 1 DRD2 risk allele copy. There is also a significant difference in ∆weight (p = 0.022), ∆BMI (p = 0.014), and %EWL (p = 0.032) among the different SNP expression values of the MAOA risk allele. In addition, Spearman’s correlation revealed that FCQ scores are negatively correlated with ∆BMI (rs = −0.470, p < 0.05, 95% CI: −0.767, −0.005), %TWL (rs = −0.561, p < 0.05, 95% CI: −0.814, −0.129), and %EWL (rs = −0.533, p < 0.05, 95% CI: −0.800, −0.090) at 3 years post-surgery and positively correlated with 3-year weight (rs = 0.576, p < 0.05, 95% CI: 0.151, 0.821) and 3-year BMI (rs = 0.552, p < 0.05, 95% CI: 0.117, 0.810). Lastly, GARS scores are positively correlated with 3-year ∆weight (rs = 0.422, p < 0.05, 95% CI: 0.010, 0.712). Full article
(This article belongs to the Section Molecular Genetics and Genetic Diseases)
Show Figures

Figure 1

16 pages, 442 KB  
Review
Metabolic Amplification in Endometrial Carcinogenesis: Biological Rationale and Translational Limits of Precision Chemoprevention
by Weronika Rzeska and Aneta Adamiak-Godlewska
Biomedicines 2026, 14(4), 863; https://doi.org/10.3390/biomedicines14040863 - 9 Apr 2026
Abstract
Background: Endometrial cancer (EC) is the most common gynecologic malignancy in developed countries and one of the few solid tumors with a steadily rising incidence, paralleling global trends in obesity and insulin resistance. Its strong epidemiologic association with systemic metabolic dysfunction positions EC [...] Read more.
Background: Endometrial cancer (EC) is the most common gynecologic malignancy in developed countries and one of the few solid tumors with a steadily rising incidence, paralleling global trends in obesity and insulin resistance. Its strong epidemiologic association with systemic metabolic dysfunction positions EC as a uniquely accessible model for metabolically informed chemoprevention. Methods: This narrative review was conducted through a systematic search of PubMed/MEDLINE and Embase using the following terms: “endometrial cancer” AND (“insulin resistance” OR “metabolic syndrome” OR “PI3K” OR “chemoprevention” OR “bariatric surgery” OR “metformin” OR “cellular senescence”). Searches were limited to English-language publications; no date restriction was applied for foundational molecular studies, while clinical and translational evidence was reviewed from 2000 to 2025. Additional references were identified through manual review of reference lists of included articles. Results: We examine metabolic amplification as a conceptual framework in which hyperinsulinemia, inflammatory reinforcement, and redox-epigenetic modulation intensify proliferative signaling in biologically susceptible endometrial tissue, particularly within molecular subtypes enriched for PI3K pathway activation such as tumors lacking a specific molecular profile (NSMP). Bariatric surgery offers the strongest human evidence supporting the principle that durable metabolic correction can substantially reduce EC incidence. In contrast, pharmacologic interventions including metformin, anti-inflammatory agents, and nutraceutical compounds demonstrate variable or limited preventive efficacy, and short-term biomarker modulation cannot substitute for validated reduction in cancer risk. The endometrial intraepithelial neoplasia (EIN) model provides a uniquely accessible platform for biomarker-guided intervention. Conclusions: Integration of genomic subtype classification with metabolic profiling may enable precision prevention strategies in clearly defined high-risk populations. Effective chemoprevention will require molecular enrichment, confirmation of tissue-level target engagement, and clinically meaningful endpoints, while acknowledging the translational limits of pathway-directed approaches. Full article
(This article belongs to the Section Cancer Biology and Oncology)
Show Figures

Graphical abstract

22 pages, 930 KB  
Review
Endoscopy for Metabolic Diseases
by Maria Valeria Matteo, Jana Kefah Ibrahim Hussein, Giorgio Carlino, Vincenzo Bove, Valerio Pontecorvi, Loredana Gualtieri, Martina De Siena, Mariachiara Di Vincenzo, Lorenzo Zileri Dal Verme, Daniele Salvi, Clarissa Ferrari, Cristiano Spada and Ivo Boskoski
J. Clin. Med. 2026, 15(8), 2832; https://doi.org/10.3390/jcm15082832 - 8 Apr 2026
Viewed by 197
Abstract
Endoscopic bariatric and metabolic therapies (EBMTs) offer minimally invasive treatment options for obesity and related metabolic disorders such as type 2 diabetes mellitus (T2DM) and metabolic dysfunction-associated steatotic liver disease (MASLD). These therapies are broadly categorized into gastric and small bowel interventions. Gastric [...] Read more.
Endoscopic bariatric and metabolic therapies (EBMTs) offer minimally invasive treatment options for obesity and related metabolic disorders such as type 2 diabetes mellitus (T2DM) and metabolic dysfunction-associated steatotic liver disease (MASLD). These therapies are broadly categorized into gastric and small bowel interventions. Gastric EBMTs, including intragastric balloons and endoscopic sleeve gastroplasty, promote weight loss primarily through mechanical restriction and delayed gastric emptying, thereby improving metabolic outcomes. Small bowel therapies target the proximal intestine to modulate nutrient-sensing and hormonal pathways, providing metabolic benefits that may occur independently of weight loss. Techniques such as duodenal mucosal resurfacing, electroporation-based re-cellularization, and duodenal-jejunal bypass liners demonstrate promising effects on glycemic control, insulin sensitivity, and liver health. Emerging technologies utilizing thermal, vapor, and laser ablation further expand therapeutic possibilities. While these interventions show favorable safety profiles and potential as standalone or adjunctive treatments, further long-term studies and randomized trials are necessary to optimize patient selection and procedural protocols. Collectively, EBMTs represent an evolving paradigm in the management of obesity and metabolic diseases, bridging the gap between conservative medical therapies and bariatric surgery. Full article
(This article belongs to the Special Issue Novel Developments in Digestive Endoscopy)
Show Figures

Figure 1

20 pages, 1249 KB  
Review
Microbial Shifts After Sleeve Gastrectomy: The Gut–Oral Axis, Periodontal Outcomes, and Competing Oral Risks
by Felicia Gabriela Beresescu, Razvan Marius Ion, Adriana-Stela Crisan and Andrea Bors
Biomedicines 2026, 14(4), 838; https://doi.org/10.3390/biomedicines14040838 - 7 Apr 2026
Viewed by 238
Abstract
Background: Severe obesity is associated with chronic low-grade inflammation, dysglycemia, and higher periodontitis risk. Sleeve gastrectomy (SG) is now a dominant bariatric procedure and reliably improves weight and metabolic status yet reported oral and periodontal trajectories after surgery remain heterogeneous. Objective: [...] Read more.
Background: Severe obesity is associated with chronic low-grade inflammation, dysglycemia, and higher periodontitis risk. Sleeve gastrectomy (SG) is now a dominant bariatric procedure and reliably improves weight and metabolic status yet reported oral and periodontal trajectories after surgery remain heterogeneous. Objective: To synthesize SG-centered evidence on periodontal outcomes, oral and gut microbiome remodeling, and mechanistic pathways that may link postoperative physiology to the gut–oral axis. Methods: We conducted a structured narrative review guided by SANRA principles using targeted searches of PubMed/MEDLINE, Web of Science, Scopus, and Embase, complemented by citation chaining of key reviews and mechanistic anchor papers; evidence was organized into clinical, oral microbiome, gut microbiome, and mechanistic gut–oral axis streams and interpreted with a pragmatic evidence hierarchy. Results: Small prospective SG cohorts suggest bleeding on probing (BOP), gingival indices, and sometimes probing depth (PD) may improve in some patients, particularly alongside weight loss, improved glycemic control, and lower systemic inflammatory burden, whereas clinical attachment level (CAL) and longer-term structural trajectories remain mixed; mixed-procedure syntheses also report early deterioration in some settings. Oral microbiome findings after bariatric surgery are site- and time-dependent, and salivary signals do not necessarily mirror subgingival plaque, whereas gut microbiome remodeling and bile acid signaling changes are more consistently reported and provide plausible but indirect mediator candidates. At the same time, reflux, vomiting, salivary changes, diet patterning, medications, and periodontal care can modify or counteract potential periodontal benefits and may increase competing risks such as caries or erosive tooth wear. Conclusions: The SG–gut–oral axis-periodontal pathway is a biologically plausible working hypothesis rather than a proven causal pathway in humans. The present evidence for any periodontal benefit relies mainly on small observational cohorts and is most credibly demonstrated for inflammatory, not structural, endpoints. Full article
(This article belongs to the Special Issue Advances in Periodontal Disease and Systemic Disease)
Show Figures

Figure 1

19 pages, 321 KB  
Article
Evaluating Trends in Bleeding Complications Associated with Metabolic Bariatric Surgery: A 14-Year Single-Center Experience
by Mădălina Maxim, Petru Radu Soroceanu, Alin Constantin Pînzariu, Vlad Ionut Vlăsceanu, Lucian Ambrosie, Liviu Răzvan Platon, Alina Onofriescu, Gheorghe Balan, Alexandru Filip, Radu Gheorghe Grigore, Raoul Vasile Lupușoru, Alexandra Gabriela Trofin and Daniel Vasile Timofte
J. Clin. Med. 2026, 15(7), 2750; https://doi.org/10.3390/jcm15072750 - 5 Apr 2026
Viewed by 149
Abstract
Background/Objectives: Gastrointestinal bleeding after metabolic bariatric surgery is a relatively rare adverse event, but it has significant morbidity potential. The clinical course can be rapidly unfavorable, requiring early recognition and prompt intervention. The management of this complication often involves different approaches, surgical or [...] Read more.
Background/Objectives: Gastrointestinal bleeding after metabolic bariatric surgery is a relatively rare adverse event, but it has significant morbidity potential. The clinical course can be rapidly unfavorable, requiring early recognition and prompt intervention. The management of this complication often involves different approaches, surgical or endoscopic, the use of which is influenced by the particularities of the postoperative anatomy and the timing of the bleeding. This study aimed to evaluate the incidence, clinical characteristics, and factors associated with postoperative bleeding following bariatric surgery. Methods: A retrospective observational study was conducted on patients who underwent bariatric surgery between 2012 and 2025 at a single tertiary center. During this period, 1010 bariatric procedures were performed. Of these, 68 patients developed postoperative complications and 24 experienced postoperative bleeding. Postoperative bleeding was defined as a hemoglobin drop > 2 g/dL and/or clinically evident bleeding requiring intervention. As bleeding represents a specific subtype of postoperative complication, all statistical analyses were restricted to patients with documented complications. Results: Among the 68 patients with postoperative complications, 24 (35.3%) developed postoperative bleeding. In this exploratory analysis, male sex showed a signal suggestive of association with postoperative bleeding (OR: 9.69, p = 0.005); however, this finding should be interpreted as hypothesis-generating given the study design and the analysis’s being restricted to patients with complications. Given the limited number of bleeding events, effect estimates should be interpreted cautiously. In an exploratory multivariate model, dyslipidemia was associated with increased odds of bleeding (OR: 19.90, p = 0.047), while hepatomegaly and male sex showed positive but non-significant associations. Conclusions: Among patients who developed postoperative complications after bariatric surgery, male sex emerged as a potential signal associated with postoperative bleeding in this exploratory analysis. These findings should be interpreted as hypothesis-generating rather than definitive predictors and require validation in larger cohorts. Dyslipidemia and hepatomegaly emerged as potential associated factors in exploratory analyses, but these findings require confirmation in prospective and multicentric studies. Full article
(This article belongs to the Special Issue Clinical Advances in Obesity and Bariatric Surgery—2nd Edition)
21 pages, 5627 KB  
Article
Comparative Performance of Large Language Models on European Gastroenterology Board-Style Questions: Analysis of Reasoning Versus Non-Reasoning Architectures
by Cem Simsek, Petr Vanek, Hakan Aydinli, Jan Krivinka, Manuel Lehner, Sara Schiavone, Cesare Hassan and Henriette H. Heinrich
J. Clin. Med. 2026, 15(7), 2692; https://doi.org/10.3390/jcm15072692 - 2 Apr 2026
Viewed by 254
Abstract
Background: While large language models (LLMs) have demonstrated proficiency in medical examinations, their comparative performance on European gastroenterology assessments remains underexplored, particularly regarding architectural differences between reasoning and non-reasoning models. This study benchmarks five state-of-the-art LLMs—DeepSeek-R1, ChatGPT-o1, ChatGPT-4o, Gemini-1.5-Pro, and Llama-3.1-405B (All [...] Read more.
Background: While large language models (LLMs) have demonstrated proficiency in medical examinations, their comparative performance on European gastroenterology assessments remains underexplored, particularly regarding architectural differences between reasoning and non-reasoning models. This study benchmarks five state-of-the-art LLMs—DeepSeek-R1, ChatGPT-o1, ChatGPT-4o, Gemini-1.5-Pro, and Llama-3.1-405B (All versions January 2025)—using 203 board-style questions from validated ESEGH preparation materials. Methods: Questions from two commercial ESEGH preparation banks were administered five times per model using standardized prompts. Accuracy, consistency, and domain-specific performance across clinical, diagnostic, and therapeutic questions were analyzed. Four practicing gastroenterologists validated human performance under uniform conditions. Results: ChatGPT-o1 achieved the highest overall accuracy at 84.0% (95% CI: 81.8–86.3), followed closely by ChatGPT-4o (81.7%), DeepSeek-R1 (79.0%), and Llama-3.1-405B (77.2%), while Gemini-1.5-Pro significantly underperformed with 68.5% accuracy (difference vs. ChatGPT-o1: 15.5 percentage points, 95% CI: 11.9 to 19.1, p < 0.01). Although all models exhibited high internal consistency ≥98.4% average agreement across repeated attempts, with 94.6–98.0% of questions answered identically in all five attempts), greater consistency did not necessarily correspond to higher accuracy. Domain-specific analysis revealed that diagnostic questions were answered most accurately, whereas clinical examination questions posed considerable challenges. Topic analysis demonstrated that questions on small intestine disorders were answered with the highest accuracy, in contrast to the lower performance observed in bariatric and pancreatic disorders. Notably, reasoning models, which employed explicit chain-of-thought strategies, outperformed non-reasoning counterparts (81.5% vs. 75.8%, difference: 5.7 percentage points, 95% CI: 3.4 to 8.0, p < 0.001), particularly on therapy questions and complex bait-and-switch formats. Practicing gastroenterologists achieved substantially lower accuracy (mean: 50.9%, range: 37.9–69.0%) compared to all LLMs. All models exceeded the current ESEGH passing threshold of 61.5%, with the top four models surpassing this benchmark by 15.7–22.5 percentage points. Conclusions: This benchmarking study demonstrates that current LLMs, particularly those with reasoning architectures, achieve high accuracy on European gastroenterology board-style questions. However, significant performance gaps in specific domains highlight limitations that must be addressed before clinical application. These findings provide a baseline for evaluating LLM capabilities in European medical contexts. Full article
Show Figures

Figure 1

12 pages, 253 KB  
Review
Targeted Endoscopic Therapies for Gastro-Esophageal Reflux Disease (GERD): A Narrative Review
by Pier Alberto Testoni and Sabrina Gloria Giulia Testoni
J. Pers. Med. 2026, 16(4), 190; https://doi.org/10.3390/jpm16040190 - 1 Apr 2026
Viewed by 279
Abstract
Transoral endoscopic therapies in gastro-esophageal reflux disease (GERD) are increasingly performed in patients who do not respond to medical therapy or are not suitable for or willing to undergo long-term PPI therapy or surgery. Currently available effective techniques include reconstruction of the gastro-esophageal [...] Read more.
Transoral endoscopic therapies in gastro-esophageal reflux disease (GERD) are increasingly performed in patients who do not respond to medical therapy or are not suitable for or willing to undergo long-term PPI therapy or surgery. Currently available effective techniques include reconstruction of the gastro-esophageal valve by transoral incisionless fundoplication (TIF) and tightening of the gastro-esophageal junction through scarring, obtained by mucosal resection or ablation. TIF may be accomplished by an EsophyX 2.0/Z, MUSE, or GERD-X device. An iatrogenic stricture of the cardia may be obtained using a procedure called anti-reflux mucosectomy (ARMS), which includes several technical variants, or through mucosal ablation (ARMA). TIF using EsophyX 2.0 has strong evidence of efficacy in patients with small hiatal hernias, irrespective of hernia reducibility, who experience high-volume reflux episodes and troublesome regurgitation despite PPI therapy. MUSE can be performed only in the presence of a spontaneously reducing hiatal hernia and is probably more effective than EsophyX in maintaining the reduced hernia over time. However, MUSE is no longer available in Western countries. GERD-X shows promising results but needs further confirmation of its efficacy over the long term. ARMS and ARMA are not indicated in the presence of hiatal hernias but have shown promising results in the short term and are less expensive than TIF. Appropriate patient selection and the possibility of proposing a tailored approach to different types of patients and clinical/anatomical conditions result in favorable outcomes in most GERD patients, especially considering their quality of life and independence from PPIs. In the last several years, transoral endoscopic therapies have been proposed, along with concomitant laparoscopic repair for large hiatal hernias (cTIF), for GERD occurring after esophageal peroral endoscopic myotomy (E-POEM), in obese patients before or after bariatric surgery, and in patients with Barrett’s esophagus. Full article
(This article belongs to the Section Personalized Therapy in Clinical Medicine)
11 pages, 504 KB  
Article
Association Among Liver Enzymes, Liver-to-Spleen Hounsfield Unit Ratio, and Glycemic Profiles After Sleeve Gastrectomy in Diabetic and Non-Diabetic Japanese Patients with Obesity: A Retrospective Pilot Study
by Yoshinori Ozeki, Takayuki Masaki, Nao Imaishi, Chiaki Yonezu, Machiko Morita, Yumi Mori, Takaaki Noguchi, Shotaro Miyamoto, Yuichi Yoshida, Koro Gotoh, Yuichi Endo, Masafumi Inomata and Hirotaka Shibata
Livers 2026, 6(2), 26; https://doi.org/10.3390/livers6020026 - 1 Apr 2026
Viewed by 196
Abstract
Background and Objectives: This study investigated the correlation of the liver-to-spleen (L/S) Hounsfield unit ratio on abdominal CT with liver function and diabetic indicators before and after laparoscopic sleeve gastrectomy (LSG), comparing patients with and without diabetes mellitus (DM and non-DM groups). Methods: [...] Read more.
Background and Objectives: This study investigated the correlation of the liver-to-spleen (L/S) Hounsfield unit ratio on abdominal CT with liver function and diabetic indicators before and after laparoscopic sleeve gastrectomy (LSG), comparing patients with and without diabetes mellitus (DM and non-DM groups). Methods: Patients undergoing LSG were categorized into DM and non-DM groups. Metabolic parameters and abdominal CT scans were assessed preoperatively and one year postoperatively. Correlations among these variables were analyzed, and intergroup comparisons were performed. Results: Preoperative body weight and postoperative weight loss were comparable between the DM and non-DM groups. Before surgery, the DM group showed significantly higher levels of fasting plasma glucose (FPG), hemoglobin A1c (HbA1c), aspartate transaminase (AST), alanine transaminase (ALT), and γ-glutamyl transpeptidase (γ-GTP). After LSG, both groups exhibited significant reductions in FPG, HbA1c, AST, ALT, and γ-GTP, along with a significant increase in the L/S ratio. The reduction in γ-GTP was more pronounced in the DM group. In the DM group, changes in glycemic markers (FPG and HbA1c) were significantly correlated with changes in liver enzymes and with the change in L/S ratio. Conclusions: LSG reduced body weight and fat mass and improved glucose metabolism and liver function in patients with obesity, regardless of their diabetes status. Improvements in liver enzymes and/or the L/S ratio were more marked in diabetic patients and might be closely linked to better glycemic control following surgery. Full article
Show Figures

Figure 1

28 pages, 1359 KB  
Review
Micronutrient Deficiencies in Obese Patients and Risk of Postoperative Fistula: A Forgotten Link in Bariatric and Metabolic Surgery
by Ludwig Alvarez-Cordova, Victoria Gonzalez, Facundo Saettone, María Sol Barry, Laura Verónica Godoy, Julieta Siman, Natalia Llobera, Melannie Toral-Noristz and Sebastián Chapela
Nutrients 2026, 18(7), 1131; https://doi.org/10.3390/nu18071131 - 31 Mar 2026
Viewed by 295
Abstract
Micronutrient deficiencies are commonly observed in patients with obesity and may persist or worsen following bariatric and metabolic surgery. Emerging evidence suggests that micronutrients play a fundamental role in tissue repair, collagen synthesis, immune function, and inflammatory regulation processes that are critical in [...] Read more.
Micronutrient deficiencies are commonly observed in patients with obesity and may persist or worsen following bariatric and metabolic surgery. Emerging evidence suggests that micronutrients play a fundamental role in tissue repair, collagen synthesis, immune function, and inflammatory regulation processes that are critical in postoperative healing. Therefore, deficiencies in these nutrients could be pivotal in understanding and preventing postoperative complications. However, the potential link between preoperative micronutrient status and the development of postoperative complications, such as anastomotic or gastric fistula, remains underexplored. This narrative review aims to investigate the correlation between specific micronutrient deficiencies (e.g., vitamin C, zinc, selenium, vitamin A, and iron) and the incidence of fistula after bariatric surgery. We will discuss the underlying biological mechanisms, clinical evidence, and possible preventive strategies, including preoperative screening and targeted supplementation. Our aim is to highlight the often-overlooked micronutrient deficiency as a risk factor in patients undergoing bariatric surgery, both in the pre- and postoperative periods, and to propose a more comprehensive approach to patient assessment and management. Full article
(This article belongs to the Special Issue Diet and Nutrition in Bariatric Interventions)
Show Figures

Figure 1

11 pages, 652 KB  
Article
Soluble CD14 Levels Predict Liver Fibrosis in Metabolic Dysfunction-Associated Steatotic Liver Disease (MASLD) Independently of Obesity and Type 2 Diabetes
by Ilaria Barchetta, Flavia Agata Cimini, Federica Sentinelli, Sara Dule, Valentina Frattina, Giulia Passarella, Maria Neve Hirsch, Alessandro Oldani, Marco Giorgio Baroni and Maria Gisella Cavallo
Int. J. Mol. Sci. 2026, 27(7), 3050; https://doi.org/10.3390/ijms27073050 - 27 Mar 2026
Viewed by 289
Abstract
Increased intestinal permeability has been implicated in metabolic dysfunction-associated steatotic liver disease (MASLD), but its relationship with liver fibrosis independent of metabolic risk factors remains unclear. The aim of this study was to investigate the relationship between markers of gut-derived immune activation and [...] Read more.
Increased intestinal permeability has been implicated in metabolic dysfunction-associated steatotic liver disease (MASLD), but its relationship with liver fibrosis independent of metabolic risk factors remains unclear. The aim of this study was to investigate the relationship between markers of gut-derived immune activation and liver fibrosis in individuals with metabolic disease. We enrolled 139 adults (48.8 ± 11 years; BMI 33.7 ± 9.5 kg/m2; 50% type 2 diabetes); liver steatosis and fibrosis were estimated using the Hepatic Steatosis Index (HSI) and Fibrotic NASH Index (FNI); liver biopsies were available in a bariatric subgroup. Plasma soluble CD14 (sCD14) and lipopolysaccharide-binding protein (LBP) levels were measured by ELISA kits, and the LBP/sCD14 ratio was calculated. MASLD was present in 78% of participants; in these individuals, sCD14 levels correlated with HSI and FNI (both p < 0.01). In multivariable analysis adjusting for age, sex, BMI, waist circumference, and type 2 diabetes, sCD14 was independently associated with advanced fibrosis (OR: 3.16, 95% CI 1.32–7.55; p = 0.010). This association was confirmed by histology (p = 0.02). Overall, these findings point to a link between gut-derived immune activation and fibrotic burden in MASLD and provide insight into the pathophysiological relevance of the gut–liver axis in metabolic disease. Full article
(This article belongs to the Special Issue Molecular Insights into Chronic Liver Disease and Liver Failure)
Show Figures

Figure 1

15 pages, 794 KB  
Article
Effectiveness of a Bariatric-Specific Multivitamin Versus Conventional Targeted Supplementation for Preoperative Micronutrient Deficiency Correction in Bariatric Surgery Candidates: A Multicenter Retrospective Cohort Study
by Luigi Schiavo, Monica Mingo, Gianluca Rossetti, Farnaz Rahimi, Simona Bo, Luigi Cobellis, Francesco Cobellis, Emmanuele Giglio, Lilia Bertolani and Vincenzo Pilone
Nutrients 2026, 18(7), 1047; https://doi.org/10.3390/nu18071047 - 25 Mar 2026
Viewed by 359
Abstract
Background: Micronutrient deficiencies (MD) are highly prevalent among candidates for bariatric surgery (BS) and are associated with adverse perioperative and postoperative outcomes. Although guidelines recommend systematic preoperative screening and correction, conventional targeted supplementation (CTS) often requires multiple products, potentially limiting adherence and delaying [...] Read more.
Background: Micronutrient deficiencies (MD) are highly prevalent among candidates for bariatric surgery (BS) and are associated with adverse perioperative and postoperative outcomes. Although guidelines recommend systematic preoperative screening and correction, conventional targeted supplementation (CTS) often requires multiple products, potentially limiting adherence and delaying surgical readiness. Bariatric-specific multivitamins (BSM) may simplify nutritional management, but their real-world effectiveness for preoperative correction of multiple MD remains insufficiently investigated. Objective: To compare the effectiveness, efficiency, and adherence of a BSM versus CTS for preoperative correction of multiple MD in BS candidates. Methods: This retrospective multicenter cohort study included 1560 adults with obesity evaluated for BS between 2020 and 2024 across three Italian bariatric centers. The primary efficacy analysis was restricted to patients presenting with ≥3 laboratory-confirmed MD at baseline. Patients treated between 2020 and 2022 received individualized CTS using multiple products, whereas those treated between 2023 and 2024 received a single BSM. Biochemical follow-up was scheduled at 4 and 8 weeks. The primary outcome was the achievement of complete biochemical correction of all baseline deficiencies at the predefined 4-week follow-up assessment (composite endpoint). Secondary outcomes included supplementation burden and self-reported adherence. Early correction rates were compared using absolute risk differences and risk ratios; adjusted associations were evaluated using multivariable regression models including center and baseline deficiency burden. As a supplementary analysis, the patient-level proportion of baseline deficiencies corrected at 4 weeks was also evaluated. Results: Among patients with ≥3 baseline deficiencies (n = 216), complete biochemical correction at 4 weeks was achieved in 55/134 patients (41.0%) in the BSM group and in 13/82 patients (15.9%) in the CTS group, corresponding to an absolute risk difference of 25.2 percentage points (95% CI 7.8–40.0) and a risk ratio of 2.59 (95% CI 1.51–4.44). In adjusted analyses accounting for center and baseline deficiency pattern, BSM use remained independently associated with early complete correction (adjusted absolute risk difference 26.3 percentage points; adjusted risk ratio 2.69). Sensitivity analyses restricting follow-up timing and excluding early calendar periods yielded consistent results. The mean proportion of baseline deficiencies corrected per patient at 4 weeks was higher in the BSM group compared with CTS (0.74 ± 0.25 vs. 0.54 ± 0.30). Compared with CTS, BSM was associated with lower supplementation burden (1 vs. 3.5 supplements on average) and higher adherence (92% vs. 70%). Conclusions: In a real-world multicenter cohort of BS candidates with ≥3 baseline MD, a simplified preoperative supplementation strategy based on a BSM was associated with a significantly higher probability of complete biochemical correction at 4 weeks, lower supplementation burden, and higher reported adherence compared with CTS. Although complete correction was not universal at 4 weeks, BSM significantly increased the likelihood of achieving early multi-deficiency normalization. Given the non-concurrent observational design, these findings should be interpreted as hypothesis-generating and warrant confirmation in prospective studies with concurrent cohorts. Full article
(This article belongs to the Section Nutrition and Obesity)
Show Figures

Figure 1

13 pages, 960 KB  
Article
Perioperative Tranexamic Acid Reduces Bleeding and Wound Complications in Post-Bariatric Abdominoplasty: A Retrospective Cohort Study
by Shaghayegh Gorji, Bettina Zidek, Tobias Hirsch, Philipp Wiebringhaus, Maximilian Jacobi and Sascha Wellenbrock
Life 2026, 16(3), 519; https://doi.org/10.3390/life16030519 - 21 Mar 2026
Viewed by 353
Abstract
Background: Post-bariatric abdominoplasty is associated with a high risk of bleeding and wound complications due to extensive tissue resection and impaired tissue quality. Tranexamic acid (TXA) reduces perioperative bleeding in multiple surgical disciplines, but evidence in massive-weight-loss abdominoplasty is limited. The aim of [...] Read more.
Background: Post-bariatric abdominoplasty is associated with a high risk of bleeding and wound complications due to extensive tissue resection and impaired tissue quality. Tranexamic acid (TXA) reduces perioperative bleeding in multiple surgical disciplines, but evidence in massive-weight-loss abdominoplasty is limited. The aim of our study was to evaluate the association between perioperative TXA use and bleeding-related and surgical outcomes in post-bariatric abdominoplasty. Methods: This retrospective cohort study included 97 patients undergoing post-bariatric abdominoplasty, of whom 49 received perioperative TXA and 48 did not. The primary outcome was a composite of bleeding-related complications within 30 days, including hematoma, clinically relevant bleeding, or reoperation. Secondary outcomes included overall and specific surgical site complications, drain output and duration, length of hospital stay, and perioperative hemoglobin changes. Multivariable regression analyses adjusted for body mass index, abdominoplasty type, and year of surgery. Results: Bleeding-related complications were significantly lower in the TXA group compared with controls (4.1% vs. 33.3%; unadjusted OR 0.09, 95% CI 0.02–0.40; p < 0.001). This association remained significant after adjustment (adjusted OR 0.13, 95% CI 0.03–0.68; p = 0.016). TXA use was associated with lower cumulative drain output (median 200 vs. 382.5 mL; p < 0.001) and shorter drainage duration (median 4 vs. 5 days; p < 0.001). Overall complications were reduced in the TXA group (42.9% vs. 66.7%; p = 0.025), driven by fewer wound healing disturbances. Hemoglobin changes, seroma, and infection rates were similar between groups. Conclusions: Perioperative TXA use in post-bariatric abdominoplasty is associated with significantly fewer bleeding-related and wound complications without increased adverse effects, supporting its use in this high-risk population. Full article
(This article belongs to the Section Medical Research)
Show Figures

Figure 1

10 pages, 534 KB  
Article
Long-Term Body Composition Trajectories After Bariatric Surgery: A 5-Year Comparative Study of Biliopancreatic Diversion, Roux-en-Y Gastric Bypass, and Sleeve Gastrectomy
by María Antequera-González, Elena González Arnáiz, Diana G. Ariadel-Cobo, Diana García Sastre, María López Melgar, Ana Urioste Fondo, M. Carmen Dameto Pons, María Casado Rodríguez, Jesús Manuel Silva Fernández, Luis González-Herráez García and María D. Ballesteros-Pomar
J. Clin. Med. 2026, 15(6), 2354; https://doi.org/10.3390/jcm15062354 - 19 Mar 2026
Viewed by 495
Abstract
Background/Objectives: Long-term comparative data on body composition (BC) trajectories following different bariatric procedures remain limited, particularly regarding potential muscle preservation after malabsorptive techniques. We aimed to compare 5-year changes in adiposity and muscle mass following biliopancreatic diversion (BPD), Roux-en-Y gastric bypass (RYGB), [...] Read more.
Background/Objectives: Long-term comparative data on body composition (BC) trajectories following different bariatric procedures remain limited, particularly regarding potential muscle preservation after malabsorptive techniques. We aimed to compare 5-year changes in adiposity and muscle mass following biliopancreatic diversion (BPD), Roux-en-Y gastric bypass (RYGB), and sleeve gastrectomy (SG), adjusting for baseline heterogeneity. Methods: In this retrospective longitudinal study, 128 patients with severe obesity were followed for 60 months. BC was assessed annually using multi-frequency bioelectrical impedance analysis. Multivariable linear mixed-effects models adjusted for baseline BMI, age, and sex were used to evaluate trajectories of total weight loss (%WL), fat mass loss (%FML), and skeletal muscle mass (SMM). Results: BPD demonstrated a significantly superior longitudinal trajectory for %WL (β = 0.124 [95% CI: 0.013–0.235], p = 0.028) and %FML (β = 0.288 [95% CI: 0.135–0.440], p < 0.001) over 5 years. However, no statistically significant independent differences between techniques were observed at the isolated 60-month endpoint after full adjustment. Although BPD was associated with a higher percentage of muscle mass loss (p = 0.019), absolute skeletal and appendicular muscle mass did not differ significantly across procedures. Age emerged as an independent negative predictor of weight and fat loss (p < 0.001). Conclusions: After rigorous adjustment for baseline characteristics, BPD provides greater long-term adiposity reduction without evidence of disproportionate impairment of absolute muscle mass compared with RYGB or SG. These findings contribute to a more refined understanding of long-term body composition dynamics following bariatric surgery. Full article
(This article belongs to the Section Endocrinology & Metabolism)
Show Figures

Figure 1

12 pages, 934 KB  
Article
Prevalence and Clinical Characteristics of Dizziness, Imbalance, and Associated Factors Following Bariatric Surgery
by Sumaia Alanazi, Murad Almomani, Abdullah S. Alanazi, Abdullah A. Albarrak, Danah Alyahya, Salam M. Almomani, Esraa M. Almomani, Yassin Abdelsamad, Shagun Agarwal and Faizan Kashoo
J. Clin. Med. 2026, 15(6), 2265; https://doi.org/10.3390/jcm15062265 - 17 Mar 2026
Viewed by 323
Abstract
Background/Objectives: Bariatric surgery has emerged as an effective intervention for severe obesity; however, post-operative dizziness remains poorly characterized in the literature. This study aimed to determine the prevalence of dizziness, imbalance, and hearing problems following bariatric surgery and to identify associated risk [...] Read more.
Background/Objectives: Bariatric surgery has emerged as an effective intervention for severe obesity; however, post-operative dizziness remains poorly characterized in the literature. This study aimed to determine the prevalence of dizziness, imbalance, and hearing problems following bariatric surgery and to identify associated risk factors. Methods: A cross-sectional study was conducted among 156 patients who underwent bariatric surgery at multiple centers in Saudi Arabia. Data were collected through structured questionnaires assessing demographic characteristics, surgical details, and post-operative vestibular symptoms. Bivariate and multivariate logistic regression analyses were performed to identify predictors of dizziness. Results: The prevalence of post-operative dizziness was 77.3% (95% CI: 70.0–83.3%), imbalance was 38.0% (95% CI: 30.6–46.0%), and hearing problems were 10.7% (95% CI: 6.7–16.6%). Bivariate logistic regression identified weight loss was significantly associated with dizziness (OR = 1.063, 95% CI: 1.024–1.103, p = 0.001). In the multivariate model, each percentage point increase in weight loss was associated with a 6.1% increased dizziness (adjusted OR = 1.061, 95% CI: 1.017–1.107, p = 0.006). Dizziness was strongly associated with imbalance (chi-square = 14.325, p < 0.001) and falls (chi-square = 7.085, p = 0.008). Conclusions: Vestibular complications, particularly dizziness, are highly prevalent following bariatric surgery and demonstrate a significant dose–response relationship with the magnitude of weight loss. Enhanced awareness and systematic screening for dizziness in post-bariatric patients are warranted. Full article
(This article belongs to the Section General Surgery)
Show Figures

Figure 1

Back to TopTop