A Personalized Medicine Approach: Psychosocial and Genetic Risk Assessments Predictors of Bariatric Surgery Outcomes After 3 Years
Abstract
1. Introduction
2. Methods
2.1. Participants
2.2. Surgery
2.3. Data Collection
2.4. Psychosocial Questionnaires
2.5. Genetic Addiction Risk Severity (GARS)
2.6. Statistical Analysis
2.7. Ethics
3. Results
3.1. Demographic Results
3.2. Psychosocial and GARS Data
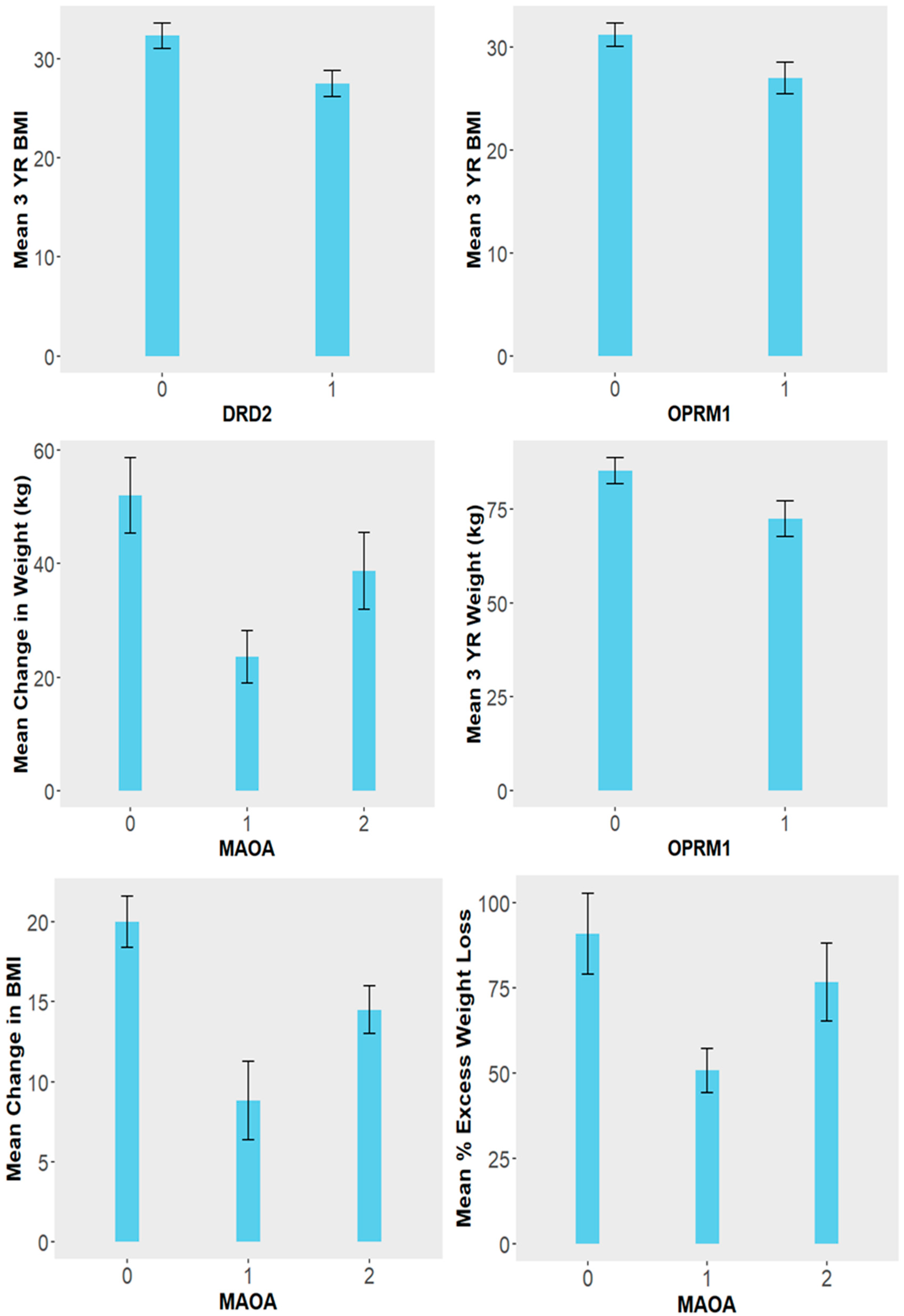
3.3. Risk Allele Correlations
4. Discussion
5. Conclusions
Author Contributions
Funding
Institutional Review Board Statement
Informed Consent Statement
Data Availability Statement
Acknowledgments
Conflicts of Interest
References
- Mohammadian Khonsari, N.; Khashayar, P.; Shahrestanaki, E.; Kelishadi, R.; Mohammadpoor Nami, S.; Heidari-Beni, M.; Esmaeili Abdar, Z.; Tabatabaei-Malazy, O.; Qorbani, M. Normal Weight Obesity and Cardiometabolic Risk Factors: A Systematic Review and Meta-Analysis. Front. Endocrinol. 2022, 13, 857930. [Google Scholar] [CrossRef]
- Caballero, B. Humans against Obesity: Who Will Win? Adv. Nutr. 2019, 10, S4–S9. [Google Scholar] [CrossRef]
- Kelly, T.; Yang, W.; Chen, C.S.; Reynolds, K.; He, J. Global burden of obesity in 2005 and projections to 2030. Int. J. Obes. 2008, 32, 1431–1437. [Google Scholar] [CrossRef] [PubMed]
- Kloock, S.; Ziegler, C.G.; Dischinger, U. Obesity and its comorbidities, current treatment options and future perspectives: Challenging bariatric surgery? Pharmacol. Ther. 2023, 251, 108549. [Google Scholar] [CrossRef]
- Apovian, C.M. Obesity: Definition, comorbidities, causes, and burden. Am. J. Manag. Care 2016, 22, s176–s185. [Google Scholar]
- Bray, G.A.; Frühbeck, G.; Ryan, D.H.; Wilding, J.P. Management of obesity. Lancet 2016, 387, 1947–1956. [Google Scholar] [CrossRef]
- Grönroos, S.; Helmiö, M.; Juuti, A.; Tiusanen, R.; Hurme, S.; Löyttyniemi, E.; Ovaska, J.; Leivonen, M.; Peromaa-Haavisto, P.; Mäklin, S.; et al. Effect of Laparoscopic Sleeve Gastrectomy vs. Roux-en-Y Gastric Bypass on Weight Loss and Quality of Life at 7 Years in Patients with Morbid Obesity: The SLEEVEPASS Randomized Clinical Trial. JAMA Surg. 2021, 156, 137–146. [Google Scholar] [CrossRef] [PubMed]
- Moreira, S.H.C.; Alvarez-Leite, J.I.; Souza, R.P.; Resmini, G.C.; Resende, C.M.M.; de Marco, L.; Bastos-Rodrigues, L. Predictors of Successful Weight Loss in Extremely Obese Individuals Undergoing Roux-en-Y Gastric Bypass Surgery. J. Obes. Metab. Syndr. 2024, 33, 337–347. [Google Scholar] [CrossRef] [PubMed]
- Praxedes, D.R.; Silva-Júnior, A.E.; Macena, M.L.; Gearhardt, A.N.; Bueno, N.B. Prevalence of food addiction among patients undergoing metabolic/bariatric surgery: A systematic review and meta-analysis. Obes. Rev. 2023, 24, e13529. [Google Scholar] [CrossRef]
- Blum, K.; Thanos, P.K.; Wang, G.J.; Febo, M.; Demetrovics, Z.; Modestino, E.J.; Braverman, E.R.; Baron, D.; Badgaiyan, R.D.; Gold, M.S. The Food and Drug Addiction Epidemic: Targeting Dopamine Homeostasis. Curr. Pharm. Des. 2018, 23, 6050–6061. [Google Scholar] [CrossRef]
- Gondré-Lewis, M.C.; Bassey, R.; Blum, K. Pre-clinical models of reward deficiency syndrome: A behavioral octopus. Neurosci. Biobehav. Rev. 2020, 115, 164–188. [Google Scholar] [CrossRef]
- Blum, K.; Han, D.; Gupta, A.; Baron, D.; Braverman, E.R.; Dennen, C.A.; Kazmi, S.; Llanos-Gomez, L.; Badgaiyan, R.D.; Elman, I.; et al. Statistical Validation of Risk Alleles in Genetic Addiction Risk Severity (GARS) Test: Early Identification of Risk for Alcohol Use Disorder (AUD) in 74,566 Case-Control Subjects. J. Pers. Med. 2022, 12, 1385. [Google Scholar] [CrossRef]
- Blum, K.; Bailey, J.; Gonzalez, A.M.; Oscar-Berman, M.; Liu, Y.; Giordano, J.; Braverman, E.; Gold, M. Neuro-Genetics of Reward Deficiency Syndrome (RDS) as the Root Cause of “Addiction Transfer”: A New Phenomenon Common after Bariatric Surgery. J. Genet. Syndr. Gene Ther. 2011, 2012, S2-001. [Google Scholar] [CrossRef]
- Thanos, P.K.; Hanna, C.; Mihalkovic, A.; Hoffman, A.B.; Posner, A.R.; Busch, J.; Smith, C.; Badgaiyan, R.D.; Blum, K.; Baron, D.; et al. The First Exploratory Personalized Medicine Approach to Improve Bariatric Surgery Outcomes Utilizing Psychosocial and Genetic Risk Assessments: Encouraging Clinical Research. J. Pers. Med. 2023, 13, 1164. [Google Scholar] [CrossRef]
- Thanos, P.K.; Hanna, C.; Mihalkovic, A.; Hoffman, A.; Posner, A.; Butsch, J.; Blum, K.; Georger, L.; Mastrandrea, L.D.; Quattrin, T. Genetic Correlates as a Predictor of Bariatric Surgery Outcomes after 1 Year. Biomedicines 2023, 11, 2644. [Google Scholar] [CrossRef] [PubMed]
- Garner, D.M.; Olmsted, M.P.; Bohr, Y.; Garfinkel, P.E. The eating attitudes test: Psychometric features and clinical correlates. Psychol. Med. 1982, 12, 871–878. [Google Scholar] [CrossRef] [PubMed]
- Fitzsimmons-Craft, E.E.; Keatts, D.A.; Bardone-Cone, A.M. Eating Expectancies in Relation to Eating Disorder Recovery. Cogn. Ther. Res. 2013, 37, 104. [Google Scholar] [CrossRef] [PubMed]
- Koball, A.M.; Borgert, A.J.; Kallies, K.J.; Grothe, K.; Ames, G.; Gearhardt, A.N. Validation of the Yale Food Addiction Scale 2.0 in Patients Seeking Bariatric Surgery. Obes. Surg. 2021, 31, 1533–1540. [Google Scholar] [CrossRef]
- Meule, A.; Hermann, T.; Kübler, A. A short version of the Food Cravings Questionnaire-Trait: The FCQ-T-reduced. Front. Psychol. 2014, 5, 190. [Google Scholar] [CrossRef]
- Trottier, K.; McFarlane, T.; Olmsted, M.P.; McCabe, R.E. The Weight Influenced Self-Esteem Questionnaire (WISE-Q): Factor structure and psychometric properties. Body Image 2013, 10, 112–120. [Google Scholar] [CrossRef]
- Smarr, K.L.; Keefer, A.L. Measures of depression and depressive symptoms: Beck Depression Inventory-II (BDI-II), Center for Epidemiologic Studies Depression Scale (CES-D), Geriatric Depression Scale (GDS), Hospital Anxiety and Depression Scale (HADS), and Patient Health Questionnaire-9 (PHQ-9). Arthritis Care Res. 2011, 63, S454–S466. [Google Scholar]
- Mancinelli, E.; Cottu, M.; Salcuni, S. Validation of the Difficulties in Emotion Regulation Scale-Short Form in a sample of Italian adolescents. J. Clin. Psychol. 2024, 80, 2209–2227. [Google Scholar] [CrossRef]
- Schulz, P.; Jansen, L.J.; Schlotz, W. Stressreaktivität: Theoretisches Konzept und Messung. Diagnostica 2005, 51, 124–133. [Google Scholar] [CrossRef]
- Buysse, D.J.; Reynolds, C.F., 3rd; Monk, T.H.; Berman, S.R.; Kupfer, D.J. The Pittsburgh Sleep Quality Index: A new instrument for psychiatric practice and research. Psychiatry Res. 1989, 28, 193–213. [Google Scholar] [CrossRef]
- Blum, K.; Chen, A.L.C.; Thanos, P.K.; Febo, M.; Demetrovics, Z.; Dushaj, K.; Kovoor, A.; Baron, D.; Smith, D.E.; Roy, A.K., III; et al. Genetic addiction risk score (GARS)™, a predictor of vulnerability to opioid dependence. Front. Biosci. 2018, 10, 175–196. [Google Scholar] [CrossRef] [PubMed]
- Blum, K.; Kazmi, S.; Modestino, E.J.; Downs, B.W.; Bagchi, D.; Baron, D.; McLaughlin, T.; Green, R.; Jalali, R.; Thanos, P.K.; et al. A Novel Precision Approach to Overcome the “Addiction Pandemic” by Incorporating Genetic Addiction Risk Severity (GARS) and Dopamine Homeostasis Restoration. J. Pers. Med. 2021, 11, 212. [Google Scholar] [CrossRef] [PubMed]
- Blum, K.; Bowirrat, A.; Baron, D.; Lott, L.; Ponce, J.V.; Brewer, R.; Siwicki, D.; Boyett, B.; Gondre-Lewis, M.C.; Smith, D.E.; et al. Biotechnical development of genetic addiction risk score (GARS) and selective evidence for inclusion of polymorphic allelic risk in substance use disorder (SUD). J. Syst. Integr. Neurosci. 2020, 6, 10-15761. [Google Scholar] [CrossRef]
- Blum, K.; Modestino, E.J.; Gondre-Lewis, M.; Chapman, E.J.; Neary, J.; Siwicki, D.; Baron, D.; Hauser, M.; Smith, D.E.; Roy, A.K.; et al. The Benefits of Genetic Addiction Risk Score (GARS(™)) Testing in Substance Use Disorder (SUD). Int. J. Genom. Data Min. 2018, 2018, 115. [Google Scholar] [CrossRef] [PubMed]
- Moran, M.; Blum, K.; Ponce, J.V.; Lott, L.; Gondré-Lewis, M.C.; Badgaiyan, S.; Brewer, R.; Downs, B.W.; Fynman, P.; Weingarten, A.; et al. High Genetic Addiction Risk Score (GARS) in Chronically Prescribed Severe Chronic Opioid Probands Attending Multi-pain Clinics: An Open Clinical Pilot Trial. Mol. Neurobiol. 2021, 58, 3335–3346. [Google Scholar] [CrossRef]
- Toups, M.S.; Myers, A.K.; Wisniewski, S.R.; Kurian, B.; Morris, D.W.; Rush, A.J.; Fava, M.; Trivedi, M.H. Relationship between obesity and depression: Characteristics and treatment outcomes with antidepressant medication. Psychosom. Med. 2013, 75, 863–872. [Google Scholar] [CrossRef]
- Glatt, S.J.; Faraone, S.V.; Lasky-Su, J.A.; Kanazawa, T.; Hwu, H.G.; Tsuang, M.T. Family-based association testing strongly implicates DRD2 as a risk gene for schizophrenia in Han Chinese from Taiwan. Mol. Psychiatry 2009, 14, 885–893. [Google Scholar] [CrossRef][Green Version]
- Carpenter, C.L.; Wong, A.M.; Li, Z.; Noble, E.P.; Heber, D. Association of dopamine D2 receptor and leptin receptor genes with clinically severe obesity. Obesity 2013, 21, E467–E473. [Google Scholar] [CrossRef]
- Cameron, J.D.; Riou, M.; Tesson, F.; Goldfield, G.S.; Rabasa-Lhoret, R.; Brochu, M.; Doucet, É. The TaqIA RFLP is associated with attenuated intervention-induced body weight loss and increased carbohydrate intake in post-menopausal obese women. Appetite 2013, 60, 111–116. [Google Scholar] [CrossRef]
- Crist, R.C.; Reiner, B.C.; Berrettini, W.H. A review of opioid addiction genetics. Curr. Opin. Psychol. 2019, 27, 31–35. [Google Scholar] [CrossRef]
- Sanwald, S.; Montag, C.; Kiefer, M. Cumulative Genetic Score of DRD2 Polymorphisms Is Associated with Impulsivity and Masked Semantic Priming. J. Mol. Neurosci. 2022, 72, 1682–1694. [Google Scholar] [CrossRef]
- Niu, Y.M.; Zhang, J.; Tang, H.; Cao, L.H.; Jiang, T.Y.; Hu, Y.Y. Association between DRD2/ANKK1 rs1800497 C > T polymorphism and post-traumatic stress disorder susceptibility: A multivariate meta-analysis. Front. Neurosci. 2023, 17, 1102573. [Google Scholar] [CrossRef]
- Tsou, C.C.; Chou, H.W.; Ho, P.S.; Kuo, S.C.; Chen, C.Y.; Huang, C.C.; Liang, C.S.; Lu, R.B.; Huang, S.Y. DRD2 and ANKK1 genes associate with late-onset heroin dependence in men. World J. Biol. Psychiatry 2019, 20, 605–615. [Google Scholar] [CrossRef]
- D’Ambrosio, E.; Pergola, G.; Pardiñas, A.F.; Dahoun, T.; Veronese, M.; Sportelli, L.; Taurisano, P.; Griffiths, K.; Jauhar, S.; Rogdaki, M.; et al. A polygenic score indexing a DRD2-related co-expression network is associated with striatal dopamine function. Sci. Rep. 2022, 12, 12610. [Google Scholar] [CrossRef]
- Blum, K.; Sheridan, P.J.; Wood, R.C.; Braverman, E.R.; Chen, T.J.; Comings, D.E. Dopamine D2 receptor gene variants: Association and linkage studies in impulsive-addictive-compulsive behaviour. Pharmacogenetics 1995, 5, 121–141. [Google Scholar] [CrossRef]
- Ribeiro, G.; Maia, A.; Cotovio, G.; Oliveira, F.P.M.; Costa, D.C.; Oliveira-Maia, A.J. Striatal dopamine D2-like receptors availability in obesity and its modulation by bariatric surgery: A systematic review and meta-analysis. Sci. Rep. 2023, 13, 4959. [Google Scholar] [CrossRef]
- Nakamura, Y.; Koike, S. Daily fat intake is associated with basolateral amygdala response to high-calorie food cues and appetite for high-calorie food. Nutr. Neurosci. 2024, 27, 809–817. [Google Scholar] [CrossRef]
- Arinami, T.; Itokawa, M.; Aoki, J.; Shibuya, H.; Ookubo, Y.; Iwawaki, A.; Ota, K.; Shimizu, H.; Hamaguchi, H.; Toru, M. Further association study on dopamine D2 receptor variant S311C in schizophrenia and affective disorders. Am. J. Med. Genet. 1996, 67, 133–138. [Google Scholar] [CrossRef]
- Noble, E.P.; Blum, K.; Ritchie, T.; Montgomery, A.; Sheridan, P.J. Allelic association of the D2 dopamine receptor gene with receptor-binding characteristics in alcoholism. Arch. Gen. Psychiatry 1991, 48, 648–654. [Google Scholar] [CrossRef]
- Noble, E.P. The D2 dopamine receptor gene: A review of association studies in alcoholism and phenotypes. Alcohol 1998, 16, 33–45. [Google Scholar] [CrossRef]
- Uhl, G.; Blum, K.; Noble, E.; Smith, S. Substance abuse vulnerability and D2 receptor genes. Trends Neurosci. 1993, 16, 83–88. [Google Scholar] [CrossRef]
- Ferreira, C.M.; Reis, N.D.D.; Castro, A.O.; Höfelmann, D.A.; Kodaira, K.; Silva, M.T.; Galvao, T.F. Prevalence of childhood obesity in Brazil: Systematic review and meta-analysis. J. Pediatr. 2021, 97, 490–499. [Google Scholar] [CrossRef]
- Cai, N.; Choi, K.W.; Fried, E.I. Reviewing the genetics of heterogeneity in depression: Operationalizations, manifestations and etiologies. Hum. Mol. Genet. 2020, 29, R10–R18. [Google Scholar] [CrossRef]
- Nonino, C.B.; Barato, M.; Ferreira, F.C.; Delfino, H.B.P.; Noronha, N.Y.; Nicoletti, C.F.; Junior, W.S.; Welendorf, C.R.; Souza, D.R.S.; Ferreira-Julio, M.A.; et al. DRD2 and BDNF polymorphisms are associated with binge eating disorder in patients with weight regain after bariatric surgery. Eat. Weight Disord. 2022, 27, 1505–1512. [Google Scholar] [CrossRef]
- Zhu, J.F.; Chen, L.H.; Yuan, K.; Liang, L.; Wang, C.L. Dopamine receptor D2 polymorphism is associated with alleviation of obesity after 8-year follow-up: A retrospective cohort study in obese Chinese children and adolescents. J. Zhejiang Univ. Sci. B 2018, 19, 807–814. [Google Scholar] [CrossRef]
- Volkow, N.D.; Wang, G.J.; Fowler, J.S.; Telang, F. Overlapping neuronal circuits in addiction and obesity: Evidence of systems pathology. Philos. Trans. R. Soc. Lond. B Biol. Sci. 2008, 363, 3191–3200. [Google Scholar] [CrossRef]
- Volkow, N.D.; Wang, G.J.; Baler, R.D. Reward, dopamine and the control of food intake: Implications for obesity. Trends Cogn. Sci. 2011, 15, 37–46. [Google Scholar] [CrossRef]
- Haghighi, A.; Melka, M.G.; Bernard, M.; Abrahamowicz, M.; Leonard, G.T.; Richer, L.; Perron, M.; Veillette, S.; Xu, C.J.; Greenwood, C.M.; et al. Opioid receptor mu 1 gene, fat intake and obesity in adolescence. Mol. Psychiatry 2014, 19, 63–68. [Google Scholar] [CrossRef]
- Nummenmaa, L.; Saanijoki, T.; Tuominen, L.; Hirvonen, J.; Tuulari, J.J.; Nuutila, P.; Kalliokoski, K. μ-opioid receptor system mediates reward processing in humans. Nat. Commun. 2018, 9, 1500. [Google Scholar] [CrossRef]
- Karlsson, H.K.; Tuominen, L.; Tuulari, J.J.; Hirvonen, J.; Parkkola, R.; Helin, S.; Salminen, P.; Nuutila, P.; Nummenmaa, L. Obesity is associated with decreased μ-opioid but unaltered dopamine D2 receptor availability in the brain. J. Neurosci. 2015, 35, 3959–3965. [Google Scholar] [CrossRef]
- Need, A.C.; Ahmadi, K.R.; Spector, T.D.; Goldstein, D.B. Obesity is associated with genetic variants that alter dopamine availability. Ann. Hum. Genet. 2006, 70, 293–303. [Google Scholar] [CrossRef]
- Ziegler, C.; Domschke, K. Epigenetic signature of MAOA and MAOB genes in mental disorders. J. Neural Transm. 2018, 125, 1581–1588. [Google Scholar] [CrossRef]
- Chmurzynska, A.; Mlodzik-Czyzewska, M.A.; Radziejewska, A.; Wiebe, D.J. Hedonic Hunger Is Associated with Intake of Certain High-Fat Food Types and BMI in 20- to 40-Year-Old Adults. J. Nutr. 2021, 151, 820–825. [Google Scholar] [CrossRef]
- Avsar, O.; Kuskucu, A.; Sancak, S.; Genc, E. Are dopaminergic genotypes risk factors for eating behavior and obesity in adults? Neurosci. Lett. 2017, 654, 28–32. [Google Scholar] [CrossRef]
- Kanarik, M.; Grimm, O.; Mota, N.R.; Reif, A.; Harro, J. ADHD co-morbidities: A review of implication of gene × environment effects with dopamine-related genes. Neurosci. Biobehav. Rev. 2022, 139, 104757. [Google Scholar] [CrossRef]
- Dias, H.; Muc, M.; Padez, C.; Manco, L. Association of polymorphisms in 5-HTT (SLC6A4) and MAOA genes with measures of obesity in young adults of Portuguese origin. Arch. Physiol. Biochem. 2016, 122, 8–13. [Google Scholar] [CrossRef]
- Manco, L.; Machado-Rodrigues, A.M.; Padez, C. Association study of common functional genetic polymorphisms in SLC6A4 (5-HTT) and MAOA genes with obesity in portuguese children. Arch. Physiol. Biochem. 2022, 128, 1510–1515. [Google Scholar] [CrossRef] [PubMed]
- Bosun, A.; Albu-Kalinovic, R.; Neda-Stepan, O.; Bosun, I.; Farcas, S.S.; Enatescu, V.R.; Andreescu, N.I. Dopaminergic Epistases in Schizophrenia. Brain Sci. 2024, 14, 1089. [Google Scholar] [CrossRef]
- Jiang, Z.; Chen, Z.; Chen, X. Candidate gene-environment interactions in substance abuse: A systematic review. PLoS ONE 2023, 18, e0287446. [Google Scholar] [CrossRef]
- Heidinger, B.A.; Cameron, J.D.; Vaillancourt, R.; De Lisio, M.; Ngu, M.; Tasca, G.A.; Chyurlia, L.; Doucet, É.; Doucette, S.; Maria Obregón Rivas, A.; et al. No association between dopaminergic polymorphisms and response to treatment of binge-eating disorder. Gene 2021, 781, 145538. [Google Scholar] [CrossRef] [PubMed]





| Mean ± SD | |
|---|---|
| BMI | 30.2 ± 4.9 |
| ∆BMI | 13.0 ± 7.3 |
| ∆Weight | 34.5 ± 19.5 kg |
| % Excess Weight Loss (EWL) | 67.3 ± 30.7% |
| % Total Weight Loss (TWL) | 28.3 ± 14.5 |
| Significant Correlations (p < 0.05) with the Following Variables | |
| Genetic Addiction Risk Severity (GARS) Score | ∆Weight |
| GARS Score | BMI at 3 Years |
| (Categorized as ≤ 7 or > 7) | |
| Food Cravings Questionnaire (FCQ) Scores | Weight at 3 Years |
| BMI at 3 Years | |
| ∆BMI | |
| %EWL | |
| %TWL | |
| DRD2 Risk Allele | BMI at 3 Years |
Disclaimer/Publisher’s Note: The statements, opinions and data contained in all publications are solely those of the individual author(s) and contributor(s) and not of MDPI and/or the editor(s). MDPI and/or the editor(s) disclaim responsibility for any injury to people or property resulting from any ideas, methods, instructions or products referred to in the content. |
© 2026 by the authors. Licensee MDPI, Basel, Switzerland. This article is an open access article distributed under the terms and conditions of the Creative Commons Attribution (CC BY) license.
Share and Cite
Thanos, P.K.; Chatrath, S.; Hanna, C.; Comstock, F.; Butsch, J.; Blum, K.; Pinhasov, A.; Mastrandrea, L.; Quattrin, T.; Georger, L.; et al. A Personalized Medicine Approach: Psychosocial and Genetic Risk Assessments Predictors of Bariatric Surgery Outcomes After 3 Years. Biomedicines 2026, 14, 870. https://doi.org/10.3390/biomedicines14040870
Thanos PK, Chatrath S, Hanna C, Comstock F, Butsch J, Blum K, Pinhasov A, Mastrandrea L, Quattrin T, Georger L, et al. A Personalized Medicine Approach: Psychosocial and Genetic Risk Assessments Predictors of Bariatric Surgery Outcomes After 3 Years. Biomedicines. 2026; 14(4):870. https://doi.org/10.3390/biomedicines14040870
Chicago/Turabian StyleThanos, Panayotis K., Shtakshe Chatrath, Colin Hanna, Fiona Comstock, John Butsch, Kenneth Blum, Albert Pinhasov, Lucy Mastrandrea, Teresa Quattrin, Lesley Georger, and et al. 2026. "A Personalized Medicine Approach: Psychosocial and Genetic Risk Assessments Predictors of Bariatric Surgery Outcomes After 3 Years" Biomedicines 14, no. 4: 870. https://doi.org/10.3390/biomedicines14040870
APA StyleThanos, P. K., Chatrath, S., Hanna, C., Comstock, F., Butsch, J., Blum, K., Pinhasov, A., Mastrandrea, L., Quattrin, T., Georger, L., & Posner, A. (2026). A Personalized Medicine Approach: Psychosocial and Genetic Risk Assessments Predictors of Bariatric Surgery Outcomes After 3 Years. Biomedicines, 14(4), 870. https://doi.org/10.3390/biomedicines14040870

