Sign in to use this feature.

Years

Between: -

Subjects

remove_circle_outline
remove_circle_outline
remove_circle_outline
remove_circle_outline
remove_circle_outline
remove_circle_outline

Journals

Article Types

Countries / Regions

Search Results (12)

Search Parameters:
Keywords = bamboo as a substitute for plastic

Order results
Result details
Results per page
Select all
Export citation of selected articles as:
16 pages, 3374 KB  
Article
Optimization Study on the Pyrolysis Process of Moso Bamboo Wastes in a Fluidized Bed Pyrolyzer Based on Response Surface Methodology
by Zongchen Yan, Ying Li, Zhijia Guo and Xueyong Ren
Energies 2025, 18(24), 6600; https://doi.org/10.3390/en18246600 - 17 Dec 2025
Viewed by 167
Abstract
Against the backdrop of the global “Bamboo as a Substitute for Plastic” initiative, China’s bamboo processing industry has expanded rapidly, generating large amounts of residues annually. To achieve high-value utilization of this biomass, this study optimized the fluidized bed pyrolysis process using Response [...] Read more.
Against the backdrop of the global “Bamboo as a Substitute for Plastic” initiative, China’s bamboo processing industry has expanded rapidly, generating large amounts of residues annually. To achieve high-value utilization of this biomass, this study optimized the fluidized bed pyrolysis process using Response Surface Methodology (RSM). Bamboo residue served as the feedstock, with particle size (8–28 mesh), pyrolysis temperature (400–700 °C), and N2 flow rate (25–30 L/min) as independent variables. The yields of pyrolytic char, pyrolytic oil, and total product were targeted for optimization. Interaction effects between each pair of variables—such as particle size and temperature, etc.—were systematically evaluated, revealing significant coupling influences on product distribution. Optimal conditions were identified as 10–12 mesh, 577 °C, and 27.5 L/min N2 flow, yielding 28.65% char and 43.50% bio-oil, with a total yield of 72.15%, consistent with RSM predictions. This study confirms the effectiveness of RSM in optimizing bamboo pyrolysis and offers valuable insights for industrial-scale valorization of bamboo residues into biochar and bio-oil. Full article
(This article belongs to the Special Issue Study on Biomass Gasification and Pyrolysis Process)
Show Figures

Figure 1

15 pages, 6299 KB  
Article
Finite Element Analysis of Structural Strength in Flattened Bamboo Sheet Furniture
by Chunjin Wu, Yan Li, Ran Chen, Shasha Song, Yi Liu and Huanrong Liu
Forests 2025, 16(12), 1857; https://doi.org/10.3390/f16121857 - 15 Dec 2025
Viewed by 172
Abstract
To advance “bamboo-as-plastic-substitute” initiatives and the sustainable use of furniture materials, this study investigates flattened bamboo sheets by determining their principal-direction elastic constants and evaluating two common furniture T-joints—dowel-jointed panel-type and right-angle mortise-and-tenon frame-type—through tensile and bending load-bearing tests alongside finite element (FE) [...] Read more.
To advance “bamboo-as-plastic-substitute” initiatives and the sustainable use of furniture materials, this study investigates flattened bamboo sheets by determining their principal-direction elastic constants and evaluating two common furniture T-joints—dowel-jointed panel-type and right-angle mortise-and-tenon frame-type—through tensile and bending load-bearing tests alongside finite element (FE) comparisons. The results show a pronounced anisotropy, with the longitudinal elastic modulus markedly higher than in other directions. At the joint level, the average ultimate load-bearing capacities were 4.06 kN (panel-type tension), 3.70 kN (frame-type tension), 0.264 kN (panel-type bending), and 0.589 kN (frame-type bending). Under identical structural configurations and boundary conditions, the tensile and bending capacities of flattened bamboo sheets were comparable to or exceeded those of the comparator materials (MDF, cherry wood, bamboo-based composites), and failures predominantly occurred in the adhesive layer rather than the bamboo substrate. Across four representative cases, FE predictions achieved a mean absolute percentage error (MAPE) of 6.5% with a maximum relative error of 12.5%; the regression correlation was R2 ≈ 0.999 based on four paired observations, which should be interpreted with caution due to the small sample size. The study validates that FE models driven by experimentally measured anisotropic parameters can effectively reproduce the mechanical response of flattened bamboo T-joints, providing a basis for structural design, lightweighting, and parameter optimization in furniture applications. Further work should characterize adhesive systems, environmental durability, and interfacial failure mechanisms to enhance the model’s general applicability. Full article
Show Figures

Figure 1

13 pages, 4990 KB  
Article
Effect of the Alkali Pretreatment on the Structure and Properties of Bamboo-Based Porous Molding Materials
by Baoyong Liu, Weichen Li, Xiaowei Zhuang, Xin Pan, Hui Qiao and Yongshun Feng
Polymers 2025, 17(23), 3166; https://doi.org/10.3390/polym17233166 - 28 Nov 2025
Viewed by 404
Abstract
The development of novel materials from biomass is a potential alternative to replace traditional petrochemical resources. In accordance with the “Bamboo Substitute Plastic” initiative, bamboo-based lightweight porous materials are a class of foam materials fully prepared from biomass resources with a lightweight and [...] Read more.
The development of novel materials from biomass is a potential alternative to replace traditional petrochemical resources. In accordance with the “Bamboo Substitute Plastic” initiative, bamboo-based lightweight porous materials are a class of foam materials fully prepared from biomass resources with a lightweight and high-strength structure. However, issues such as excessive lignin content and uneven pore structure distribution within these materials hinder their application. This study utilized bamboo powder as a raw material to prepare lightweight, porous molding materials through a hydrothermal grinding process. The influence of different concentrations of alkaline pretreatment was investigated. The fabricated molding material had a density of 0.36–0.49 g/cm3 at 80 °C and 0.32–0.38 g/cm3 at 105 °C. Samples dried at 80 °C had a water absorption of 161% to 304%, while those dried at 105 °C had a water absorption of 223% to 305%. The wet swelling was characterized by volume expansion from 6.2% to 7.7%. The surface of the molding materials became increasingly homogeneous without any cracks due to the alkali pretreatment. FTIR data showed that more surface hydroxyl groups were observed after alkaline pretreatment, and some carbonyl groups in the hemicellulose structure were removed; meanwhile, the crystallinity index after alkaline pretreatment was higher than that of untreated bamboo. The alkali solution was proposed to remove part of the lignin and improve the fibrillation degree of the bamboo fibers. The highest tensile strength of the samples was 9.63 MPa, while the highest compressive strength obtained was 0.92 MPa under the alkali treatment. With lightweight and fully degradable properties, the bamboo-based porous molding materials have promising application prospects in environmental protection, construction, packaging, and related fields. Full article
Show Figures

Figure 1

22 pages, 6301 KB  
Article
Spatiotemporal Evolution and Market Resilience of China’s Bamboo Product Trade Under the “Bamboo as a Substitute for Plastic” Initiative
by Qin Wang, Pingxian Li, Weiming Yang, Xue Ren, Enlong Xia and Lin Zhu
Forests 2025, 16(11), 1672; https://doi.org/10.3390/f16111672 - 2 Nov 2025
Viewed by 923
Abstract
Driven by the United Nations Sustainable Development Goals (SDGs) and the global “Bamboo as a Substitute for Plastic” initiative, China has become a key bamboo industry player by leveraging abundant resources and an integrated supply chain. To enhance international competitiveness, optimizing product structure [...] Read more.
Driven by the United Nations Sustainable Development Goals (SDGs) and the global “Bamboo as a Substitute for Plastic” initiative, China has become a key bamboo industry player by leveraging abundant resources and an integrated supply chain. To enhance international competitiveness, optimizing product structure and market resilience is essential. Using descriptive statistics, visualization, trade concentration index, and K-means clustering, this study analyzed China’s bamboo trade spatiotemporal patterns and market resilience based on 2015–2024 China customs data. Results revealed major revisions in the Harmonized System (HS) codes for bamboo products in 2017, yet existing classifications remain insufficiently detailed. Imports declined overall, characterized by fragmented primary products mainly sourced from the Taiwan region of China and Vietnam. In contrast, exports grew steadily, led by Bamboo Tableware, with the United States, Japan, and Europe as key markets, and notable expansion into Southeast Asia. In 2024, bamboo products accounted for over 99% of China’s total bamboo trade value, and the export–import gap kept widening. Compared with 2015, export concentration declined: low- and medium-concentration markets increased, highly concentrated ones decreased, and overall resilience improved. Cluster analysis split core destinations into seven groups in 2015 but only five in 2024, signalling broader demand diversity and fewer single-category-dominated markets. The study recommends refining HS codes to reflect new bamboo innovations; consolidating markets in Europe and America while expanding differentiated demand in Southeast Asia; upgrading Bamboo Tableware through technology; and boosting core product competitiveness to support global bamboo trade and the “Bamboo as a Substitute for Plastic” initiative. Full article
(This article belongs to the Section Wood Science and Forest Products)
Show Figures

Figure 1

16 pages, 1109 KB  
Review
Development and Future Prospects of Bamboo Gene Science
by Xiaolin Di, Xiaoming Zou, Qingnan Wang and Huayu Sun
Int. J. Mol. Sci. 2025, 26(15), 7259; https://doi.org/10.3390/ijms26157259 - 27 Jul 2025
Viewed by 1414
Abstract
Bamboo gene science has witnessed significant advancements over the past two decades, driven by breakthroughs in gene cloning, marker-assisted breeding, sequencing, gene transformation, and gene editing technologies. These developments have not only enhanced our understanding of bamboo’s genetic diversity and adaptability but also [...] Read more.
Bamboo gene science has witnessed significant advancements over the past two decades, driven by breakthroughs in gene cloning, marker-assisted breeding, sequencing, gene transformation, and gene editing technologies. These developments have not only enhanced our understanding of bamboo’s genetic diversity and adaptability but also provided critical tools for its genetic improvement. Compared to other crops, bamboo faces unique challenges, including its long vegetative growth cycle, environmental dependency, and limited genetic transformation efficiency. Then, the launch of China’s “Bamboo as a Substitute for Plastic” initiative in 2022, supported by the International Bamboo and Rattan Organization, has opened new opportunities for bamboo gene science as well as for bamboo production systems. This policy framework has spurred research into bamboo genetic regulation, fiber-oriented recombination, and green separation technologies, aiming to develop sustainable alternatives to plastic. Future research directions include overcoming bamboo’s environmental limitations, improving genetic transformation efficiency, and deciphering the mechanisms behind its flowering. By addressing these challenges, bamboo genetic science can enhance its economic and ecological value, contributing to global sustainability goals and the “dual-carbon” strategy. Full article
(This article belongs to the Special Issue Molecular Research in Bamboo, Tree, Grass, and Other Forest Products)
Show Figures

Figure 1

14 pages, 1926 KB  
Article
Subjective and Objective Evaluation of Surface Properties of Flattened Bamboo and Polyurethane Self-Foaming Plastic
by Yushu Chen, Qianwei Liang, Jinjing Wang and Xinyu Ma
Polymers 2025, 17(7), 894; https://doi.org/10.3390/polym17070894 - 26 Mar 2025
Cited by 2 | Viewed by 579
Abstract
With the increasing demand for environmental protection, flattened bamboo is gradually attracting attention as a sustainable material. The purpose of this study was to compare and analyze the surface properties of flattened bamboo and PU self-foaming plastic by subjective and objective evaluation methods, [...] Read more.
With the increasing demand for environmental protection, flattened bamboo is gradually attracting attention as a sustainable material. The purpose of this study was to compare and analyze the surface properties of flattened bamboo and PU self-foaming plastic by subjective and objective evaluation methods, and to explore the substitutability of flattened bamboo and PU self-foaming plastic in furniture design. Objective test methods such as surface hardness testing, gloss measurement, and friction coefficient determination were used in the experiments, and the subjective evaluation of visual and tactile perception of the materials were combined with the semantic differential method. It was found that the flattened bamboo was generally superior to the PU self-foaming plastics in terms of color, gloss, roughness, and wettability, giving a more delicate, warm and comfortable feeling, while the PU self-foaming plastics stood out in terms of personalized style. Further correlation analysis showed that surface gloss and color saturation had a significant effect on the users’ psychological feelings. This study provides a scientific basis for replacing PU self-foaming plastic with bamboo in furniture design and also provides a valuable reference for “bamboo instead of plastic” product design. Full article
(This article belongs to the Section Biobased and Biodegradable Polymers)
Show Figures

Figure 1

18 pages, 6059 KB  
Article
Moso Bamboo’s Survival Strategy Against Chilling Stress in Signaling Dynamics
by Xiong Jing, Chunju Cai, Pengfei Geng and Yi Wang
Forests 2024, 15(12), 2132; https://doi.org/10.3390/f15122132 - 2 Dec 2024
Cited by 1 | Viewed by 1425
Abstract
Phyllostachys edulis, an economically and ecologically significant bamboo species, has substantial research value in applications as a bamboo substitute for plastic and in forest carbon sequestration. However, frequent seasonal low-temperature events due to global climate change affect the growth, development, and productivity [...] Read more.
Phyllostachys edulis, an economically and ecologically significant bamboo species, has substantial research value in applications as a bamboo substitute for plastic and in forest carbon sequestration. However, frequent seasonal low-temperature events due to global climate change affect the growth, development, and productivity of P. edulis. Calcium signaling, serving as a versatile second messenger, is involved in various stress responses and nitrogen metabolism. In this study, we analyzed the calcium signaling dynamics and regulatory strategies in P. edulis under chilling stress. Differentially expressed genes (DEGs) from the CBF families, AMT families, NRT families, and Ca2+ sensor families, including CaM, CDPK, and CBL, were identified using transcriptomics. Additionally, we explored the law of Ca2+ flux and distribution in the roots of P. edulis under chilling stress and validated these findings by assessing the content or activity of Ca2+ sensor proteins and nitrogen transport proteins in the roots. The results indicated that the Ca2+ sensor families of CaM, CDPK, and CBL in P. edulis exhibited significant transcriptional changes under chilling stress. Notably, PH02Gene03957, PH02Gene42787, and PH02Gene19300 were significantly upregulated, while the expressions of PH02Gene08456, PH02Gene01209, and PH02Gene37879 were suppressed. In particular, the expression levels of the CBF family gene PH02Gene14168, a downstream target gene of the calcium channels, increased significantly. P. edulis exhibited an influx of Ca2+ at the root, accompanied by oscillating negative peaks under chilling stress. Spatially, the cytosolic calcium concentration ([Ca2+]cyt) within the root cells increased. The CIPK family genes, interacting with Ca2+-CBL in downstream signaling pathways, showed significant differential expressions. In addition, the expressions of the NRT and AMT family genes changed correspondingly. Our study demonstrates that Ca2+ signaling is involved in the regulatory network of P. edulis under chilling stress. [Ca2+]cyt fluctuations in the roots of P. edulis are induced by chilling stress, reflecting an influx of extracellular Ca2+. Upon binding to Ca2+, downstream target genes from the CBF family are activated. Within the Ca2+–CBL–CIPK signaling network, the CIPK family plays a crucial role in nitrogen metabolism pathways. Full article
Show Figures

Figure 1

16 pages, 3660 KB  
Review
Bamboo Breeding Strategies in the Context of “Bamboo as a Substitute for Plastic Initiative”
by Xiaohua Li and Huayu Sun
Forests 2024, 15(7), 1180; https://doi.org/10.3390/f15071180 - 6 Jul 2024
Cited by 9 | Viewed by 4830
Abstract
Bamboo breeding strategies are essential in realizing “Bamboo as a Substitute for Plastic (BASP)”. This review article aims to explore the crucial role of breeding strategies in achieving the substitution of plastic products with bamboo as outlined under the BASP Initiative. Firstly, we [...] Read more.
Bamboo breeding strategies are essential in realizing “Bamboo as a Substitute for Plastic (BASP)”. This review article aims to explore the crucial role of breeding strategies in achieving the substitution of plastic products with bamboo as outlined under the BASP Initiative. Firstly, we address the issue of plastic pollution, along with the background of reducing the market share and demand for plastic products. It categorizes the types of bamboo products that can fully or partially replace plastic products in various categories, such as daily necessities, building materials, and industrial products. Then, we investigate which bamboo species can replace which plastic products and propose the need for bamboo improvement. Furthermore, it presents data from positioning observation research stations for bamboo forest ecosystems in China and outlines the essential traits necessary for bamboo substitution, including characteristics like long internode length, extended fiber length, thick culm wall, and optimal cellulose-to-lignin content ratio, among others. Finally, we discuss breeding methods and genetic improvement as key strategies to achieve bamboo substitution and suggest the potential of enhancing bamboo traits to serve as a viable replacement source for plastics. This comprehensive approach aims to enhance bamboo’s growth features and physical properties to meet the criteria for substituting bamboo for plastics effectively. Full article
Show Figures

Figure 1

14 pages, 3184 KB  
Article
Effect of Irradiation Process on Physical and Chemical Properties and Mildew Resistance of Bamboo
by Shengfeng Mao, Zhuchao Xu, Qiuyi Wang, Xin Han, Xinzhou Wang, Meiling Chen and Yanjun Li
Forests 2023, 14(5), 1055; https://doi.org/10.3390/f14051055 - 20 May 2023
Cited by 8 | Viewed by 2916
Abstract
With the scarcity of wood resources and calls for “substituting bamboo for wood” and “substituting bamboo for plastic”, bamboo has gained greater popularity for its abundant reserves and outstanding mechanical properties. However, Mildew is a common problem for bamboo, which can significantly reduce [...] Read more.
With the scarcity of wood resources and calls for “substituting bamboo for wood” and “substituting bamboo for plastic”, bamboo has gained greater popularity for its abundant reserves and outstanding mechanical properties. However, Mildew is a common problem for bamboo, which can significantly reduce the quality and service lives of bamboo products. In this work, a safe, eco-friendly, controllable and efficient method of gamma-ray irradiation was used to modify bamboo. The irradiation dose, moisture content (MC), and irradiation dose rate were adopted as factors of an orthogonal experiment. The results showed that the bamboo strips reached their best mechanical properties under the condition of irradiation at 150 KGy doses, moisture content of 40%, and irradiation dose rate of 44 KGy/H. In addition, the change in the chemical composition of bamboo and mildew resistance was also explored in this paper. The major chemical components (cellulose, hemicellulose and lignin), as well as starch, were degraded, and the bamboo strips exhibited excellent mildew resistance after gamma-ray irradiation. Full article
(This article belongs to the Section Wood Science and Forest Products)
Show Figures

Figure 1

17 pages, 1972 KB  
Article
Effect of Wood Vinegar Substitutes on Acetic Acid for Coagulating Natural Para Rubber Sheets during the Drying Process
by Wachara Kalasee and Panya Dangwilailux
Appl. Sci. 2021, 11(17), 7891; https://doi.org/10.3390/app11177891 - 26 Aug 2021
Cited by 5 | Viewed by 4413
Abstract
The coagulating properties of wood vinegar from para rubber wood, bamboo, and coconut shell used as a substitute for acetic acid in the production process of natural rubber (NR) sheets were investigated and considered. For the dirt and volatile content, the tensile strength [...] Read more.
The coagulating properties of wood vinegar from para rubber wood, bamboo, and coconut shell used as a substitute for acetic acid in the production process of natural rubber (NR) sheets were investigated and considered. For the dirt and volatile content, the tensile strength at break, the percentage of elongation at break, and the 300% modulus, the results showed that the types of wood vinegar coagulants were not significantly different from acetic acid. However, the Mooney viscosity and plasticity retention index (PRI) properties were significantly different from those of acetic acid. The NR sheet temperature increased rapidly during the first hour after the drying process started due to heat transfer from the hot air. Afterward, the temperature of the NR sheet samples began to stabilize. When the drying process started, the drying temperature was increased, so the trend was reducing the drying time. For the yellowness index (YI) value, the increase in the YI value was related to the type of coagulating material, the increase in the airspeed, and the drying temperature. The dried sheet samples using para rubber wood vinegar as the coagulating material had a color value at the same level as acetic acid and the referent. However, the bamboo and coconut shell wood vinegars were at a lower level. In comparing the YI value data between the experimental results and prediction values, the second-degree model had a better fit in prediction than the zero-degree and first-degree models. This result was confirmed by the higher mean of the coefficient of determination. The dried sheet product coagulated by using wood vinegar had fungus growth prior to supplying it to the customer. Full article
Show Figures

Figure 1

11 pages, 3465 KB  
Article
Preparation of Plastics- and Foaming Agent-Free and Porous Bamboo Charcoal based Composites Using Sodium Silicate as Adhesives
by Weisheng Chai, Liang Zhang, Wenzhu Li, Min Zhang, Jingda Huang and Wenbiao Zhang
Materials 2021, 14(10), 2468; https://doi.org/10.3390/ma14102468 - 11 May 2021
Cited by 5 | Viewed by 2816
Abstract
Plastics and foaming agents are often used to prepare large-size and low-density bamboo charcoal (BC) based composites. In this study, a plastic-free and foaming agent-free BC based composite was prepared by substituting sodium silicate (SS) for plastics. The effect of both the BC [...] Read more.
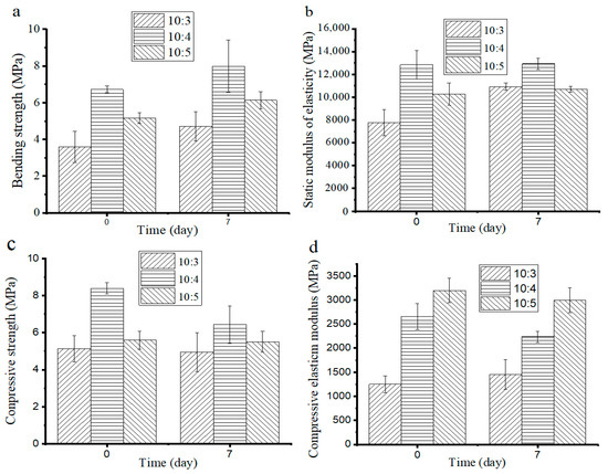
Plastics and foaming agents are often used to prepare large-size and low-density bamboo charcoal (BC) based composites. In this study, a plastic-free and foaming agent-free BC based composite was prepared by substituting sodium silicate (SS) for plastics. The effect of both the BC particle sizes and the usage amount of SS on the mechanical and adsorptive properties of the BC/SS composites were investigated. The experimental results show that when the BC particle size is 270 μm and the mass ratio of BC to SS is equal to 10:5, the BC/SS composite has the optimal foaming effect and best comprehensive properties. In addition, the foaming pores of the composite are caused by water vapor, which has difficulty escaping the BC because of the blockage of SS during the hot pressing process. In the BC/SS composite (10:5), the static bending intensity and the compressive strength reach respectively 6.13 MPa and 5.5 MPa, and the average pore size and porosity are 557.85 nm and 52.03%, respectively. In addition, its formaldehyde adsorptionrate reaches 21.6%. In view of good mechanical properties, formaldehyde adsorption, and environmentally friendly performance, the BC/SS composite has a great potential as a core layer of interior building materials. Full article
Show Figures

Figure 1

18 pages, 6818 KB  
Article
Development of Biodegradable Flame-Retardant Bamboo Charcoal Composites, Part I: Thermal and Elemental Analyses
by Shanshan Wang, Liang Zhang, Kate Semple, Min Zhang, Wenbiao Zhang and Chunping Dai
Polymers 2020, 12(10), 2217; https://doi.org/10.3390/polym12102217 - 27 Sep 2020
Cited by 29 | Viewed by 4932
Abstract
In this study, bamboo charcoal (BC) was used as a substitute filler for bamboo powder (BP) in a lignocellulose-plastic composite made from polylactic acid (PLA), with aluminum hypophosphite (AHP) added as a fire retardant. A set of BC/PLA/AHP composites were successfully prepared and [...] Read more.
In this study, bamboo charcoal (BC) was used as a substitute filler for bamboo powder (BP) in a lignocellulose-plastic composite made from polylactic acid (PLA), with aluminum hypophosphite (AHP) added as a fire retardant. A set of BC/PLA/AHP composites were successfully prepared and tested for flame-retardancy properties. Objectives were to (a) assess compatibility and dispersibility of BC and AHP fillers in PLA matrix, and (b) improve flame-retardant properties of PLA composite. BC reduced flexural properties while co-addition of AHP enhanced bonding between PLA and BC, improving strength and ductility properties. Adding AHP drastically reduced the heat release rate and total heat release of the composites by 72.2% compared with pure PLA. The formation of carbonized surface layers in the BC/PLA/AHP composites effectively improved the fire performance index (FPI) and reduced the fire growth index (FGI). Flame-retardant performance was significantly improved with limiting oxygen index (LOI) of BC/PLA/AHP composite increased to 31 vol%, providing a V-0 rating in UL-94 vertical flame test. Adding AHP promoted earlier initial thermal degradation of the surface of BC/PLA/AHP composites with a carbon residue rate up to 40.3%, providing a protective layer of char. Further raw material and char residue analysis are presented in Part II of this series. Full article
(This article belongs to the Special Issue Advances in Wood Composites III)
Show Figures

Figure 1

Back to TopTop