Sign in to use this feature.

Years

Between: -

Subjects

remove_circle_outline
remove_circle_outline
remove_circle_outline
remove_circle_outline
remove_circle_outline
remove_circle_outline
remove_circle_outline

Journals

Article Types

Countries / Regions

Search Results (17)

Search Parameters:
Keywords = articular splints

Order results
Result details
Results per page
Select all
Export citation of selected articles as:
8 pages, 1321 KB  
Case Report
Open Reduction and Internal Fixation of a Volar Displaced Salter–Harris III Mallet Fracture in a Pediatric Patient: A Case Report
by Alexander Baur, Taylor Anthony, Keith Lustig and Michael L. Lee
Pediatr. Rep. 2025, 17(4), 82; https://doi.org/10.3390/pediatric17040082 - 6 Aug 2025
Viewed by 933
Abstract
Introduction: Finger injuries are common in pediatric patients and typically heal well with conservative management. However, rare fracture patterns involving significant displacement and physeal injury, such as the one described in this case, require specialized surgical intervention to ensure proper healing and prevent [...] Read more.
Introduction: Finger injuries are common in pediatric patients and typically heal well with conservative management. However, rare fracture patterns involving significant displacement and physeal injury, such as the one described in this case, require specialized surgical intervention to ensure proper healing and prevent long-term complications. Case Presentation: A 12-year-old left-hand-dominant female presented with pain, swelling, and deformity at the distal interphalangeal (DIP) joint following hyperextension of the left fifth digit. Initial radiographs revealed a volar displaced intra-articular fracture with physis involvement, confirmed by computed tomography (CT) imaging. Conservative management with closed reduction and splinting failed to achieve adequate alignment. Surgical intervention was performed via a dorsal approach, utilizing ORIF with K-wire fixation to restore joint congruity and ensure anatomic alignment. Outcomes: Postoperative follow-up demonstrated satisfactory healing, maintained reduction, and resolution of pain with no complications. The patient regained functional use of the digit with minimal stiffness, and the growth plate remained uninvolved during the recovery period. Discussion: This case underscores the importance of advanced imaging, early referral, and tailored surgical intervention for rare mallet fractures involving volar displacement and physeal injury. ORIF provided reliable stabilization and optimal outcomes in this complex case. Conclusions: Volar displaced Salter–Harris III fractures of the DIP joint are rare and challenging injuries in pediatric patients. This case highlights the role of ORIF in achieving successful outcomes and emphasizes the importance of precise reduction and stabilization to prevent long-term complications. Full article
Show Figures

Figure 1

17 pages, 1835 KB  
Systematic Review
Clinical Efficacy of Prolotherapy for Temporomandibular Joint Disorders: A Systematic Review and Meta-Analysis
by Antonios Saramantos, Athanassios Kyrgidis, Gregorios Venetis, Georgios Hatziantoniou, Anestis Chrysostomidis, Chrysanthi Sardeli and Ioannis Tilaveridis
Clin. Pract. 2025, 15(3), 51; https://doi.org/10.3390/clinpract15030051 - 27 Feb 2025
Cited by 3 | Viewed by 3669 | Correction
Abstract
Background: Temporomandibular disorders (TMDs) encompass a group of conditions characterized by anatomical, histological, and/or functional abnormalities that affect the muscular and/or articular components of the temporomandibular joint. Prolotherapy is an injectable treatment modality for chronic musculoskeletal pain that involves dextrose solution administration in [...] Read more.
Background: Temporomandibular disorders (TMDs) encompass a group of conditions characterized by anatomical, histological, and/or functional abnormalities that affect the muscular and/or articular components of the temporomandibular joint. Prolotherapy is an injectable treatment modality for chronic musculoskeletal pain that involves dextrose solution administration in the joint. Aims: To summarize, the aims involve considering the existing quality of clinical evidence on the efficacy of prolotherapy versus placebo and other active comparators, such as autologous blood products or botulinum toxin, in improving the outcomes of TMDs. Methods: A literature search in MEDLINE, Scopus, and Cochrane databases was performed, following the PRISMA statement guidelines, to identify randomized controlled trials (RCTs) of patients with TMDs receiving prolotherapy. The maximal incisor opening (MIO), visual analogue score (VAS) for pain, and frequency of dislocations were analyzed as the outcomes. The weighted mean difference was used to pool outcomes. The risk of bias was recorded for the included studies. Results: Six studies comparing prolotherapy to placebo were identified. Prolotherapy is uniformly more efficient in reducing the VAS for pain when compared to the placebo (mean difference = 1.20, 95%CI: 0.56–1.84, p < 0.001). Perceived jaw mobility was improved among prolotherapy patients, (mean difference = 0.47, 95%CI: 0.05–0.90, p = 0.003) when compared to the placebo. A beneficial effect for prolotherapy with regard to MIO (mean difference = 0.84, 95%CI: −2.12–3.80, p = 0.58) was not confirmed. Prolotherapy appears to be more efficient than autologous blood products in reducing VAS for pain (mean difference = 0.49, 95%CI: 0.11–0.87, p = 0.01). Prolotherapy was found to be more effective in reducing pain, MIO, and clicking when compared to an occlusal splint in a single study. Conclusions: Prolotherapy is also a promising modality for TMDs, despite the limited number of randomized clinical trials. Existing evidence supports its use to reduce TMD-related pain, even against other modalities. Further research is needed to better describe the benefit of prolotherapy for other outcomes. Full article
(This article belongs to the Special Issue Clinical Outcome Research in the Head and Neck)
Show Figures

Figure 1

14 pages, 772 KB  
Review
Optimal Recovery: Unveiling the Success of Conservative Management for Proximal Phalanx Fractures in Adults—A Scoping Review
by Pasquale Arcuri, Paolo Boccolari, Mattia Bulli, Filippo Scarpelli, Danilo Donati and Roberto Tedeschi
Surgeries 2025, 6(1), 12; https://doi.org/10.3390/surgeries6010012 - 19 Feb 2025
Viewed by 3677
Abstract
Background: Proximal phalanx fractures of the hand are common and can significantly impact hand function. Conservative treatments, including splinting and dynamic mobilization, are often used, but their efficacy compared to surgical interventions needs thorough evaluation. Methods: A scoping review was conducted by analyzing [...] Read more.
Background: Proximal phalanx fractures of the hand are common and can significantly impact hand function. Conservative treatments, including splinting and dynamic mobilization, are often used, but their efficacy compared to surgical interventions needs thorough evaluation. Methods: A scoping review was conducted by analyzing studies focused on conservative treatments for proximal phalanx fractures in adults. Inclusion criteria encompassed studies with adult populations, conservative management methods, and clearly reported outcomes. Data from eight selected studies were synthesized to evaluate treatment efficacy, patient outcomes, and complication rates. Results: The review found that conservative treatments, including splinting, buddy taping, and dynamic mobilization, were highly effective for stable, extra-articular proximal phalanx fractures. These methods promoted early functional recovery and had high patient satisfaction rates. Studies comparing conservative and surgical treatments indicated excellent outcomes for both, with fewer complications observed in the surgical groups for unstable fractures. Dynamic and traction splints facilitated significant improvements in total active motion (TAM) and grip strength. Younger patients with transverse fractures showed better outcomes with conservative treatments. Conclusions: Conservative management strategies are effective for stable proximal phalanx fractures, promoting satisfactory functional recovery and minimizing complications. Surgical intervention is recommended for unstable or complex fractures to achieve better functional outcomes. Standardized treatment protocols and long-term follow-up are essential to validate these findings and optimize patient care. Further research with larger sample sizes and standardized outcome measures is needed to establish clear guidelines for the conservative management of proximal phalanx fractures in adults. Full article
Show Figures

Figure 1

14 pages, 7689 KB  
Review
Trends in Rheumatoid Hand Surgery: Indications, Techniques, and Outcomes
by Masanori Nakayama, Yasuhiro Kiyota, Soichiro Nakamura and Mitsuru Yagi
J. Clin. Med. 2025, 14(2), 319; https://doi.org/10.3390/jcm14020319 - 7 Jan 2025
Cited by 1 | Viewed by 4973
Abstract
Rheumatoid arthritis (RA) causes persistent synovitis and arthritis, resulting in joint deformity and destruction throughout the body. As RA medications have evolved over the past 30 years, the surgical indications and techniques for RA joint deformities have changed. The aim of this review [...] Read more.
Rheumatoid arthritis (RA) causes persistent synovitis and arthritis, resulting in joint deformity and destruction throughout the body. As RA medications have evolved over the past 30 years, the surgical indications and techniques for RA joint deformities have changed. The aim of this review article is to summarize the recent trend of surgery for rheumatoid hand/finger deformities in previous reports and to present our recent surgical methods and outcomes for these deformities. A typical hand and finger deformity caused by RA is ulnar deviation, which is mainly caused by joint laxity and dislocation of the metacarpophalangeal joints, in addition to extensor tendon dislocation and/or wrist joint deformity. Although the incidence of hand/finger deformity and ulnar deviation caused by RA is decreasing due to advances in RA medications, patients with long-term RA or those with difficult-to-treat RA may still develop hand/finger deformity and ulnar deviation. If the hand/finger deformity is mild, it can be reduced manually, and conservative treatment with orthoses or splints may be required. If joint pain is severe despite good medical control of RA, or if the patient hopes to improve the appearance of the hand or fingers, surgical intervention is required. If there is only subluxation of the joints, which preserves their structure, reconstruction with only soft tissue surgery may be required. For example, for swan-neck deformity and boutonniére deformity, two of the most typical finger deformities due to RA, when the joint structures are almost intact and can be corrected manually, we opt for a surgical procedure that involves only soft tissue manipulation without the use of prosthetic implants. For ulnar deviation without joint destruction, we usually use a soft tissue-only surgical procedure. Our results have shown that the soft tissue-only surgery for ulnar deviation is as effective as joint replacement with implants. If the destruction of the joint has occurred and its dislocation/subluxation cannot be reduced manually, implant arthroplasty becomes necessary. If the joint destruction is severe, only intra-articular arthrodesis is required. In the era when RA can be controlled by medication, the hand surgeon should not overlook the change in the stage of the rheumatoid hand and should perform surgical intervention via the appropriate surgical method. Full article
(This article belongs to the Section Orthopedics)
Show Figures

Figure 1

16 pages, 6958 KB  
Article
Comparison of Modified Occlusal Splint, Standard Splint Protocol, and Conventional Physical Therapy in Management of Temporomandibular Joint Disc Displacement with Reduction and Intermittent Locking: A Randomized Controlled Trial
by Sandro Prati, Funda Goker, Margherita Tumedei, Aldo Bruno Gianni, Massimo Del Fabbro and Gianluca Martino Tartaglia
Appl. Sci. 2024, 14(24), 11743; https://doi.org/10.3390/app142411743 - 16 Dec 2024
Cited by 1 | Viewed by 7127
Abstract
Background: Temporomandibular joint disc displacement with reduction is one of the most common types of TMJ arthropathy. This single-blinded, randomized clinical study aimed to evaluate the effectiveness of three different therapeutic methods. Methods: Standard splints (Group 1), modified occlusal splint (Group 2), and [...] Read more.
Background: Temporomandibular joint disc displacement with reduction is one of the most common types of TMJ arthropathy. This single-blinded, randomized clinical study aimed to evaluate the effectiveness of three different therapeutic methods. Methods: Standard splints (Group 1), modified occlusal splint (Group 2), and conventional physical therapy with exercises (Group 3). A total of 48 patients were randomly assigned by a computer-generated allocation sequence to receive rehabilitation. The outcome was defined as improvements in pain and intermittent locking episodes. The follow-up visits were scheduled as one month and a long-term evaluation at one (T1), two (T2), three (T3), and four years (T4). Magnetic resonance images were also taken to evaluate each patient before treatment and at one year. Image analysis involved the evaluation of morphology and the function of intra-articular structures. Variables such as age, gender, and pre- vs. post-treatment values of VAS and TMJ locks between the three intervention categories were compared for statistical evaluations. p values ≤ 0.05 were taken as being significant. Results: A total of 16 subjects were allocated to each group. At T1, a decrease in pain and TMJ locking episodes was observed, which was maintained throughout the course of the study for four years of follow-ups, with no statistically significant differences. However, there was a tendency for better outcomes in favor of Group 2, with less clicking of the TMJ at opening. Conclusions: The modified mandibular splint seems to be successful as an effective alternative for the management of temporomandibular joint disc displacement with reductions in intermittent locking. Full article
Show Figures

Figure 1

9 pages, 1143 KB  
Article
Treatment Outcome of 2nd to 5th Metacarpal Fractures: Kirschner Wires Versus Intramedullary Screws
by Melissa Walde, Dirk Johannes Schaefer and Alexandre Kaempfen
J. Clin. Med. 2024, 13(24), 7626; https://doi.org/10.3390/jcm13247626 - 14 Dec 2024
Cited by 3 | Viewed by 4805
Abstract
Background/Objectives: Most metacarpal fractures are isolated, simple, closed, and stable fractures and located distally. They are often caused by accidental falls, strikes by humans, by objects or traffic accidents. The majority can be treated conservatively. When unstable, angulated, malrotated or shortened, a [...] Read more.
Background/Objectives: Most metacarpal fractures are isolated, simple, closed, and stable fractures and located distally. They are often caused by accidental falls, strikes by humans, by objects or traffic accidents. The majority can be treated conservatively. When unstable, angulated, malrotated or shortened, a surgical fixation of these frequent fractures is needed. To treat simple, spiral, distal or shaft fractures, intramedullary Kirschner wiring (KW) or intramedullary compression screws (ISs) are used. We wanted to compare the outcomes of those two treatments. Methods: In a retrospective study we analyzed the prospectively collected data of our hospital on the indication factors and outcome factors of selected patients with simple or spiral, distal or shaft metacarpal fractures of the second to fifth finger. Indication factors were sex, age, profession, hand dominance, comorbidities, metacarpal finger number, total active range of motion (TAM), rotation, soft tissue damage, localization, articular involvement, fracture type, dislocation and axial shortening. Outcome factors were TAM, rotation, splint time, return to work, bone healing and complications. Results: Out of 750 patients, 59 fractures could be included in this study, containing 34 in the KW Group and 25 in the IS Group. Only fracture localization and fracture type were significantly different in the two groups, with more shaft and spiral fractures in the IS Group. The primary outcome of TAM and rotation as well as the secondary outcome of splint time, return to work, bone healing and complication rates showed no significant difference. Only a difference in mean follow-up time was seen. Conclusions: Intramedullary screw fixation seems a valid alternative to KW fixation for certain fracture types regarding active range of motion and rotation after treatment, splint time, bone healing and return to work time. Only the tendency of an earlier return to work and a higher rate of full TAM after treatment was seen in favor of intramedullary screws. Full article
Show Figures

Figure 1

22 pages, 10678 KB  
Article
Condylar Remodeling and Skeletal Changes Following Occlusal Splint and Manual Therapy: A Cone Beam Computed Tomography Study in Temporomandibular Disorders
by Manuela Tăut, Ioan Barbur, Mihaela Hedeșiu, Alina Ban, Daniel Leucuța, Marius Negucioiu, Smaranda Dana Buduru and Aranka Ilea
J. Clin. Med. 2024, 13(18), 5567; https://doi.org/10.3390/jcm13185567 - 19 Sep 2024
Cited by 7 | Viewed by 6400
Abstract
Background: Temporomandibular disorders (TMD) may be associated with degenerative disease of temporomandibular joint (TMJ), such as condyle erosion and subchondral cysts. Occlusal splint and cranio-mandibular manual therapy, or combined therapy, is recommended as a conservative treatment to alleviate pain-related signs and symptoms [...] Read more.
Background: Temporomandibular disorders (TMD) may be associated with degenerative disease of temporomandibular joint (TMJ), such as condyle erosion and subchondral cysts. Occlusal splint and cranio-mandibular manual therapy, or combined therapy, is recommended as a conservative treatment to alleviate pain-related signs and symptoms in TMD. This study aimed to assess osseous condylar changes and skeletal changes following occlusal splint and cranio-mandibular manual therapy in TMD using cone beam computed tomography (CBCT). Methods: A retrospective cohort study included 24 patients diagnosed with TMD. Combined therapy was performed until pain-related signs and symptoms disappeared. CBCT scans were performed before and after therapy. Osseous structure of condyles and their subsequent modifications were analyzed on CBCT images: flattening, erosion, and subchondral cyst. Sella-Nasion-A point (SNA), Sella-Nasion-B point (SNB), A point-Nasion-B point (ANB), Sella-Articulare-Gonion (Condylar angle), and anterior and posterior facial height (AFH, PFH) were measured on CBCT-generated lateral cephalograms. A paired t-test, Wilcoxon rank-sum test, McNemar test, and Stuart–Maxwell test were used for the statistical analyses. Results: The treatment period with combined therapy was 7.42 ± 3.27 months, and 21 out of 33 TMJ presenting degenerative disease (63.6%) had significant complete remodeling (p < 0.05). Following therapy, SNB significantly decreased from 75.61 ±3.47° to 74.82 ± 3.41° (p = 0.02), ANB significantly increased from 4.05° (3.35–4.9°) to 4.8° (3.3–6.12°) (p < 0.001), AFH significantly increased from 112.85 mm (109.28–118.72) to 115.3 mm (112.58–118.88) (p < 0.001), PFH/AFH significantly decreased from 64.17 (61.39–66.1) to 63 (59.68–64.51) (p = 0.012), and condylar angle significantly increased from 140.84 ± 8.18° to 144.42 ± 8.87° (p = 0.007). Conclusion: Combined therapy promoted significant condylar remodeling in TMJ degenerative disease, along with skeletal changes (mandibular retrusion and increase in facial height). Therapeutic strategies should consider condylar remodeling in TMD. Skeletal and dental parameters should be evaluated prior to occlusal splint therapy. Full article
Show Figures

Figure 1

15 pages, 3431 KB  
Article
Effectiveness of Rehabilitation for Disk Displacement of the Temporomandibular Joint—A Cross-Sectional Study
by Małgorzata Kulesa-Mrowiecka, Patryk Ciężarek and Małgorzata Pihut
J. Clin. Med. 2024, 13(3), 902; https://doi.org/10.3390/jcm13030902 - 4 Feb 2024
Cited by 3 | Viewed by 4655
Abstract
(1) Background: Dislocations of articular disk can occur as a result of parafunctions in the Temporo Mandibular Joint (TMJ), which limits the opening of the mandible and other movements. The aim of this study was to evaluate the effectiveness of rehabilitation in [...] Read more.
(1) Background: Dislocations of articular disk can occur as a result of parafunctions in the Temporo Mandibular Joint (TMJ), which limits the opening of the mandible and other movements. The aim of this study was to evaluate the effectiveness of rehabilitation in patients with disk displacement of the TMJ. A total of 327 subjects with Temporo Mandibular Disorders underwent stomathognatic physiotherapy. (2) Methods: Based on the results obtained by a manual functional analysis, 35 patients who were identified with articular disk locking (disk displacement without reduction) were included in the study. The study group (N = 35) was subjected to passive repositioning of the articular disk, reposition splints, and physiotherapy. The patient’s TMJs were then examined before the therapy, immediately after the therapy, and during the follow-up visit 3–6 weeks after the therapy. The Diagnostic Criteria for the Most Common Intra-articular Temporomandibular Disorders was used to evaluate the effects of rehabilitation on the patients’ range of motions and the Numeric Pain Rating Scale (NPRS). For the statistical analysis, Pearson’s r correlation coefficient test and Wilcoxon signed-rank test were used. (3) Results: The results showed a significant improvement in the range of motion of the mandible movements. The level of improvement was dependent on the time from the incident until undergoing rehabilitation. (4) Conclusions: The stomatognathic physiotherapy applied increased the range of motion of the mandible and reduced pain levels to the expected range. Full article
(This article belongs to the Topic Advances in Dental Health)
Show Figures

Figure 1

10 pages, 303 KB  
Article
The Effect of Arthrocentesis Treatment for Maximum Mouth Opening and Pain in Temporomandibular Joint Diseases and the Effect of Splint, Drug, and Physical Therapy on This Treatment
by Mehmet Gökhan Demir
Medicina 2023, 59(10), 1767; https://doi.org/10.3390/medicina59101767 - 4 Oct 2023
Cited by 3 | Viewed by 2819
Abstract
Background and Purpose: Temporomandibular disorders (TMD) are a heterogeneous group of musculoskeletal and neuromuscular diseases involving the temporomandibular joint complex and the surrounding muscle and osseous structure. TMD can be classified as intra-articular or extra-articular. The aim of this study was to [...] Read more.
Background and Purpose: Temporomandibular disorders (TMD) are a heterogeneous group of musculoskeletal and neuromuscular diseases involving the temporomandibular joint complex and the surrounding muscle and osseous structure. TMD can be classified as intra-articular or extra-articular. The aim of this study was to evaluate the effect of arthrocentesis in terms of maximum mouth opening (MMO) and pain in patients with TMD of intra-articular origin. In addition to this treatment, the effects of factors such as splints, medication, and physical therapy on arthrocentesis were examined. Material and methods: This retrospectively designed study was conducted with 79 patients who had previously undergone arthrocentesis. These patients were divided into three groups according to the Research Diagnostic Criteria for temporomandibular disorder: disc displacement (DD) with locking (Group 1), DD without locking (Group 2), and degenerative joint diseases (Group 3) groups. The maximum mouth opening (MMO) and visual analog score (VAS) values of the groups were recorded before arthrocentesis (Baseline: T0), on the third day after arthrocentesis (T1), and at the sixth month (T2) after arthrocentesis. Information about whether the patients received concurrent medical treatment, splint treatment, and physical therapy was also recorded. These data were compared between groups. Results: It was observed that the VAS scores in all three groups decreased from T1 compared to T0 (p < 0.05). Likewise, the MMO value increased in all groups at T1 compared to T0. (p < 0.05). It was observed that splint treatment, pain killer and muscle relaxant treatment, and physical therapy made no additional contribution to arthrocentesis in terms of reducing pain or increasing MMO value (p > 0.05). Conclusions: Arthrocentesis was observed to be effective in terms of pain and function in TMJ patients in this study. It was observed that splint therapy, physical therapy, and medical therapy made no additional contribution to arthrocentesis in terms of MMO or pain. Full article
(This article belongs to the Section Dentistry and Oral Health)
13 pages, 951 KB  
Article
Occlusal Splint Therapy Combined with Cranio-Temporomandibular Kinesiotherapy in Patients with Temporomandibular Disorders—A CBCT Study
by Manuela Tăut, Smaranda Dana Buduru, Daniel Tălmăceanu, Alina Ban, Raluca Roman, Daniel Leucuța, Ioan Barbur and Aranka Ilea
Life 2022, 12(12), 2143; https://doi.org/10.3390/life12122143 - 19 Dec 2022
Cited by 8 | Viewed by 4128
Abstract
Occlusal splints are used as a non-invasive treatment for patients diagnosed with temporomandibular disorders (TMD). Another non-invasive treatment option for TMD patients is kinesiotherapy, which may be used alone or in conjunction with occlusal splint therapy. The aim of this study was to [...] Read more.
Occlusal splints are used as a non-invasive treatment for patients diagnosed with temporomandibular disorders (TMD). Another non-invasive treatment option for TMD patients is kinesiotherapy, which may be used alone or in conjunction with occlusal splint therapy. The aim of this study was to evaluate the changes in the intra-articular spaces of the temporomandibular joint (TMJ) after occlusal splint therapy combined with cranio-temporomandibular kinesiotherapy in TMD patients. Twenty-four patients (N = 24) diagnosed with TMD according to Research Diagnostic Criteria for Temporomandibular Disorders (RDC/TMD) were included. Cone beam computed tomography (CBCT) images were taken before and after treatment. The anterior, superior, posterior, and medial joint spaces were measured on the CBCT images, and the condylar ratio was calculated using Pullinger and Hollender’s formula. Additionally, the thickness of the glenoid fossa (GFT), condylar medio-lateral widths (MLW), and condylar height (HCo) were measured. The condylar ratio was significantly higher after treatment (p = 0.049). The changes in dimensions of the anterior, superior, posterior and medial joint spaces were not statistically significant after treatment. No statistically significant differences were found in the dimensions of the GFT, MLW, and HCo post treatment. The condylar position did not shift anteriorly in a statistically significant way after occlusal splint therapy combined with cranio-temporomandibular kinesiotherapy in TMD patients. Full article
(This article belongs to the Special Issue Temporomandibular Joint Imaging)
Show Figures

Figure 1

12 pages, 6131 KB  
Article
An Orthodontic Treatment Case of a TMD Patient with Maxillary Posterior Intrusion Using TSADs
by Gye-Hyeong Lee, Jae Hyun Park, Sang-Mi Lee, Eun-Jeong Kim, Seung-Weon Lim and Danal Moon
Appl. Sci. 2022, 12(23), 12098; https://doi.org/10.3390/app122312098 - 26 Nov 2022
Cited by 3 | Viewed by 6662
Abstract
The orthodontic treatment of patients having temporomandibular disorders are some of the most complicated cases to treat. The positions of the mandibular condyles are often unstable, which means clinicians find it difficult to have definite criteria for making an accurate and reliable orthodontic [...] Read more.
The orthodontic treatment of patients having temporomandibular disorders are some of the most complicated cases to treat. The positions of the mandibular condyles are often unstable, which means clinicians find it difficult to have definite criteria for making an accurate and reliable orthodontic diagnosis. This article reports the orthodontic treatment of a patient showing skeletal Class II and temporomandibular disorders with condylar resorption. To stabilize her condylar position and to relieve her symptoms in the temporomandibular joint, a stabilization splint was used before orthodontic tooth movement. After the splint therapy, the patient exhibited significantly increased open bite and a more severe Class II occlusal relationship as her mandibular condyles were seated anteriorly and superiorly in the articular fossae. The occlusion and facial esthetics of the patient were improved by orthodontic camouflage treatment with the proper use of temporary skeletal anchorage devices and treatment mechanics. Full article
Show Figures

Figure 1

23 pages, 25046 KB  
Article
sEMG and Vibration System Monitoring for Differential Diagnosis in Temporomandibular Joint Disorders
by Małgorzata Kulesa-Mrowiecka, Robert Barański and Maciej Kłaczyński
Sensors 2022, 22(10), 3811; https://doi.org/10.3390/s22103811 - 17 May 2022
Cited by 8 | Viewed by 8133
Abstract
The stomatognathic system represents an important element of human physiology, constituting a part of the digestive, respiratory, and sensory systems. One of the signs of temporomandibular joint disorders (TMD) can be the formation of vibroacoustic and electromyographic (sEMG) phenomena. The aim of the [...] Read more.
The stomatognathic system represents an important element of human physiology, constituting a part of the digestive, respiratory, and sensory systems. One of the signs of temporomandibular joint disorders (TMD) can be the formation of vibroacoustic and electromyographic (sEMG) phenomena. The aim of the study was to evaluate the effectiveness of temporomandibular joint rehabilitation in patients suffering from locking of the temporomandibular joint (TMJ) articular disc by analysis of vibrations, sEMG registration of masseter muscles, and hypertension of masticatory muscles. In this paper, a new system for the diagnosis of TMD during rehabilitation is proposed, based on the use of vibration and sEMG signals. The operation of the system was illustrated in a case study, a 27-year-old woman with articular dysfunction of the TMJ. The first results of TMD diagnostics using the k-nearest neighbors method are also presented on a group of fifteen people (ten women and five men). Vibroacoustic registration of temporomandibular joints, sEMG registration of masseter muscles, and functional manual analysis of the TMJ were simultaneously assessed before employing splint therapy with stomatognathic physiotherapy. Analysis of vibrations with the monitoring of sEMG in dysfunctions of the TMJ can lead to improve differential diagnosis and can be an objective way of monitoring the rehabilitation process of TMD. Full article
Show Figures

Figure 1

10 pages, 6420 KB  
Article
A Full Digital Workflow to Design and Mill a Splint for a Patient with Temporomandibular Joint Disorder
by Alessandro Nota, Alexander N. Ryakhovsky, Floriana Bosco and Simona Tecco
Appl. Sci. 2021, 11(1), 372; https://doi.org/10.3390/app11010372 - 2 Jan 2021
Cited by 19 | Viewed by 5183
Abstract
In the rehabilitation of a patient with loss of vertical dimension, repositioning of the condyle may be crucial to avoid loading on the retrodiscal area of the temporomandibular joint (TMJ). However, establishing a new position of the condyle within the glenoid cavity is [...] Read more.
In the rehabilitation of a patient with loss of vertical dimension, repositioning of the condyle may be crucial to avoid loading on the retrodiscal area of the temporomandibular joint (TMJ). However, establishing a new position of the condyle within the glenoid cavity is not a simple procedure, and several indications exist in the literature. Digital techniques and 3D visualization using cone beam computed tomography (CBCT) can help. In this clinical case, the procedure for the repositioning of the condyle is described on the basis of the restoration of the normal widths of the intra-articular spaces using a recently introduced software (Avantis3D). After the end of the rehabilitation with the splint, a second examination confirmed the accuracy of the repositioning with this full digital procedure which represents, in selected cases, a useful choice. Full article
(This article belongs to the Special Issue Applied Simulation and Experiment Research in Dentistry)
Show Figures

Figure 1

14 pages, 5322 KB  
Article
Development of a Smart Splint to Monitor Different Parameters during the Treatment Process
by José María De Agustín Del Burgo, Fernando Blaya Haro, Roberto D’Amato and Juan Antonio Juanes Méndez
Sensors 2020, 20(15), 4207; https://doi.org/10.3390/s20154207 - 29 Jul 2020
Cited by 8 | Viewed by 5120
Abstract
For certain musculoskeletal complex rupture injuries, the only treatment available is the use of immobilization splints. This type of treatment usually causes discomfort and certain setbacks in patients. In addition, other complications are usually generated at the vascular, muscular, or articular level. Currently, [...] Read more.
For certain musculoskeletal complex rupture injuries, the only treatment available is the use of immobilization splints. This type of treatment usually causes discomfort and certain setbacks in patients. In addition, other complications are usually generated at the vascular, muscular, or articular level. Currently, there is a really possible alternative that would solve these problems and even allows a faster and better recovery. This is possible thanks to the application of engineering on additive manufacturing techniques and the use of biocompatible materials available in the market. This study proposes the use of these materials and techniques, including sensor integration inside the splints. The main parameters considered to be studied are pressure, humidity, and temperature. These aspects are combined and analyzed to determine any kind of unexpected evolution of the treatment. This way, it will be possible to monitor some signals that would be studied to detect problems that are associated to the very initial stage of the treatment. The goal of this study is to generate a smart splint by using biomaterials and engineering techniques based on the advanced manufacturing and sensor system, for clinical purposes. The results show that the prototype of the smart splint allows to get data when it is placed over the arm of a patient. Two temperatures are read during the treatment: in contact with the skin and between skin and splint. The humidity variations due to sweat inside the splint are also read by a humidity sensor. A pressure sensor detects slight changes of pressure inside the splint. In addition, an infrared sensor has been included as a presence detector. Full article
(This article belongs to the Special Issue Sensors and Technological Ecosystems for eHealth)
Show Figures

Figure 1

10 pages, 871 KB  
Article
Different Treatments in Patients with Temporomandibular Joint Disorders: A Comparative Randomized Study
by Bruno Macedo De Sousa, Nansi López-Valverde, Antonio López-Valverde, Francisco Caramelo, Javier Flores Fraile, Julio Herrero Payo and María João Rodrigues
Medicina 2020, 56(3), 113; https://doi.org/10.3390/medicina56030113 - 5 Mar 2020
Cited by 43 | Viewed by 5052
Abstract
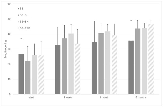
Background and Objectives: Temporomandibular joint disorders (TMJDs) are associated with pain and reduced jaw mobility. The aim of this study was to compare the outcome of patients with TMJ arthralgia when submitted to four different treatment modalities, in some cases using intra-articular [...] Read more.
Background and Objectives: Temporomandibular joint disorders (TMJDs) are associated with pain and reduced jaw mobility. The aim of this study was to compare the outcome of patients with TMJ arthralgia when submitted to four different treatment modalities, in some cases using intra-articular injections of substances with anti-inflammatory properties and in others, a more conservative approach consisting only of a bite splint. Materials and Methods: The sample was made up of 80 patients, randomly distributed into 4 groups of 20 patients each. Each patient was given a nocturnal bite splint. One of the groups was treated with the bite splint only, while each patient in the other 3 was injected with betamethasone, sodium hyaluronate, or platelet-rich plasma in addition to using the bite splint. Two variables were assessed, namely pain intensity between 0 to 10 according to the visual analogue scale and maximum pain-free mouth opening in mm. The patients were evaluated at four different points: at the beginning of the treatment, as well as one week, one month and six months after initiation. Results: The results showed that maximum pain-free mouth opening improved in all the groups that made up the sample, with either a reduction in pain severity or with no pain. However, the group injected with platelet-rich plasma yielded the best results after six months, while patients treated with sodium hyaluronate or betamethasone obtained the best results at the end of the first week. Conclusions: We concluded that all the treatments used caused a reduction in pain and increased pain-free mouth opening. The splint combined with the platelet-rich plasma injection achieved long-term success. Full article
(This article belongs to the Section Dentistry and Oral Health)
Show Figures

Figure 1

Back to TopTop