Sign in to use this feature.

Years

Between: -

Subjects

remove_circle_outline
remove_circle_outline
remove_circle_outline
remove_circle_outline
remove_circle_outline
remove_circle_outline
remove_circle_outline
remove_circle_outline

Journals

Article Types

Countries / Regions

Search Results (16)

Search Parameters:
Keywords = arbuscule mycorrhizal symbiosis

Order results
Result details
Results per page
Select all
Export citation of selected articles as:
18 pages, 5600 KB  
Article
Effects of Nitrogen and Phosphorus Levels on Arbuscular Mycorrhizal Symbiosis and Associated Bacterial Communities in Culture
by Pengyuan Li, Jianbin Liu, Shubin Zhang, Yingbo Zhu, Xiaofang Yin, Lijun Xing, Dan Wei and Liang Jin
J. Fungi 2025, 11(11), 757; https://doi.org/10.3390/jof11110757 - 22 Oct 2025
Cited by 1 | Viewed by 1194
Abstract
Arbuscular mycorrhizal (AM) fungi establish mutualistic symbioses with plant roots, enhancing plant growth and improving soil fertility through nutrient exchange. Among these, soil nitrogen (N) and phosphorus (P) are critical for symbiosis formation, directly influencing nutrient uptake and translocation within the symbiotic system. [...] Read more.
Arbuscular mycorrhizal (AM) fungi establish mutualistic symbioses with plant roots, enhancing plant growth and improving soil fertility through nutrient exchange. Among these, soil nitrogen (N) and phosphorus (P) are critical for symbiosis formation, directly influencing nutrient uptake and translocation within the symbiotic system. This study aimed to examine the regulatory roles of N and P levels on AM fungal development and associated bacterial communities in culture. Sorghum was used as the host plant in pot experiments with two AM fungi, Rhizophagus irregularis and Funneliformis mosseae, under varying N and P concentrations. The analyzed parameters included mycorrhizal colonization, propagule production, plant biomass, nutrient contents (N, P, and K), and bacterial community diversity. N3P1 treatment (150 mg/L N, 30 mg/L P) yielded the highest colonization rate, spore production, and arbuscule abundance in both AM fungal symbionts. At equivalent N and P concentrations, the N, P, and K contents in inoculated plants were significantly higher than those in controls. AM fungal inoculation markedly increased the bacterial diversity in the culture (Shannon index raised by 15.2–28.7%) and enriched beneficial taxa, such as Bradyrhizobium and Pseudomonas. N and P concentrations substantially influenced AM fungal symbiosis, with optimal development observed under N3P1 conditions. By regulating AM symbiotic establishment, N and P levels reshaped microbial community composition, providing theoretical guidance for industrialized AM fungal cultivation and inoculant production. Full article
(This article belongs to the Special Issue Plant Symbiotic Fungi)
Show Figures

Figure 1

17 pages, 1932 KB  
Article
A Mycorrhiza-Associated Receptor-like Kinase Regulates Disease Resistance in Rice
by Zichao Zheng, Ke Zou, Guodong Lu, Zonghua Wang, Haitao Cui and Airong Wang
Agronomy 2025, 15(10), 2298; https://doi.org/10.3390/agronomy15102298 - 28 Sep 2025
Cited by 1 | Viewed by 793
Abstract
Most terrestrial plants establish symbiotic relationships with microorganisms to acquire nutrients and simultaneously restrict pathogen infection. In rice, the receptor-like kinase OsARK1 is essential for the colonization and development of arbuscular mycorrhizal (AM) fungi. However, whether OsARK1 participates in plant–pathogen interactions remain unknown. [...] Read more.
Most terrestrial plants establish symbiotic relationships with microorganisms to acquire nutrients and simultaneously restrict pathogen infection. In rice, the receptor-like kinase OsARK1 is essential for the colonization and development of arbuscular mycorrhizal (AM) fungi. However, whether OsARK1 participates in plant–pathogen interactions remain unknown. Here, we demonstrate that OsARK1 is involved in the transcriptional reprogramming of immune defense-related genes prior to and following AM colonization. Mutation of OsARK1 resulted in increased susceptibility to Magnaporthe oryzae (blast fungus) and Xanthomonas oryzae (bacterial blight). Transcriptomic profiling during blast infection demonstrated OsARK1 coordinates early immune responses; particularly, the upregulation of genes encoding lectin receptor-like kinases (LecRLKs), nucleotide-binding leucine-rich repeat (NLR) immune receptors and secondary metabolism-related genes was significantly impaired in Osark1 mutant. Collectively, OsARK1 acts as a positive regulator of rice immunity against pathogens while fine-tuning defense suppression during beneficial AM symbiosis. Full article
(This article belongs to the Special Issue Interaction Mechanisms Between Crops and Pathogens)
Show Figures

Figure 1

21 pages, 4477 KB  
Article
Diversity of Arbuscular Mycorrhiza Fungi in the Arid Desert Ecosystems of Kuwait: Detection and Identification from Perennial Native Grass Roots
by Tareq A. Madouh, Majda K. Suleiman, Ali. M. Quoreshi and Merlin K. Davidson
Diversity 2025, 17(2), 130; https://doi.org/10.3390/d17020130 - 14 Feb 2025
Cited by 4 | Viewed by 2148
Abstract
Arbuscular Mycorrhizal Fungi (AMF) play a key role in enduring stresses in desert ecosystems, as they enhance the moisture and nutrient supply to desert plants. An investigation was carried out to detect the existence of AMF in the root regions of five perennial [...] Read more.
Arbuscular Mycorrhizal Fungi (AMF) play a key role in enduring stresses in desert ecosystems, as they enhance the moisture and nutrient supply to desert plants. An investigation was carried out to detect the existence of AMF in the root regions of five perennial native desert grasses of Kuwait (Cenchrus ciliaris L., Cenchrus setigerus Vahl, Lasiurus scindicus Henrard, Pennisetum divisum (Forssk.) Henr., and Panicum turgidum Forssk.) in comparison with a non-native grass (Panicum virgatum L.). The native plants, C. setigerus and P. divisum had the highest colonization (100%) with vesicles, followed by P. turgidum (90%). The colonization of arbuscules was highest in the non-native grass, P. virgatum (60%), followed by C. setigerus (50%). Phylogenetic analysis for molecular identification to determine the genetic diversity of the AMF community in association with the native plant roots of the two dominant desert species, i.e., L. scindicus and P. turgidum, against P. virgatum, revealed a rich diversity. The AMF, Claroideoglomus lamellosum, and Rhizophagus sp. were identified from L. scindicus roots, Rhizophagus iranicus from P. turgidum roots, and Claroideoglomus lamellosum, from the non-native grass, P. virgatum, with almost 98–100% sequence similarity, indicating a significant difference between the mycorrhizal species in the nativity of grasses. This research confirms the diversity of AMF associated with native desert plants and emphasizes their symbiosis and host specificity. Thus, this study provides insight into AMF community structures, functions, and profiling, allowing us to understand their ecological and economic impacts, and ultimately implement strategies for sustainable biodiversity, productivity, and ecosystem management. Full article
(This article belongs to the Special Issue Biodiversity and Ecology of Soil Fungal Communities)
Show Figures

Figure 1

17 pages, 1285 KB  
Review
Decoding the Dialog Between Plants and Arbuscular Mycorrhizal Fungi: A Molecular Genetic Perspective
by Vanessa Díaz, Maite Villalobos, Karem Arriaza, Karen Flores, Lucas P. Hernández-Saravia and Alexis Velásquez
Genes 2025, 16(2), 143; https://doi.org/10.3390/genes16020143 - 24 Jan 2025
Cited by 8 | Viewed by 3815
Abstract
Arbuscular mycorrhizal (AM) symbiosis, a mutually beneficial interaction between plant roots and AM fungi, plays a key role in plant growth, nutrient acquisition, and stress tolerance, which make it a major focus for sustainable agricultural strategies. This intricate association involves extensive transcriptional reprogramming [...] Read more.
Arbuscular mycorrhizal (AM) symbiosis, a mutually beneficial interaction between plant roots and AM fungi, plays a key role in plant growth, nutrient acquisition, and stress tolerance, which make it a major focus for sustainable agricultural strategies. This intricate association involves extensive transcriptional reprogramming in host plant cells during the formation of arbuscules, which are specialized fungal structures for nutrient exchange. The symbiosis is initiated by molecular signaling pathways triggered by fungal chitooligosaccharides and strigolactones released by plant roots, which act as chemoattractants and signaling molecules to promote fungal spore germination, colonization, and arbuscule development. Calcium spiking, mediated by LysM domain receptor kinases, serves as a critical second messenger in coordinating fungal infection and intracellular accommodation. GRAS transcription factors are key components that regulate the transcriptional networks necessary for arbuscule development and maintenance, while small RNAs (sRNAs) from both plant and fungi, contribute to modifications in gene expression, including potential bidirectional sRNA exchange to modulate symbiosis. Understanding the molecular mechanisms related to AM symbiosis may provide valuable insights for implementation of strategies related to enhancing plant productivity and resilience. Full article
(This article belongs to the Section Microbial Genetics and Genomics)
Show Figures

Figure 1

16 pages, 4560 KB  
Article
Arbuscular Mycorrhizal Fungi as a Salt Bioaccumulation Mechanism for the Establishment of a Neotropical Halophytic Fern in Saline Soils
by Mónica A. Lugo, María A. Negritto, Esteban M. Crespo, Hebe J. Iriarte, Samuel Núñez, Luisa F. Espinosa and Marcela C. Pagano
Microorganisms 2024, 12(12), 2587; https://doi.org/10.3390/microorganisms12122587 - 13 Dec 2024
Cited by 2 | Viewed by 1606
Abstract
Acrostichum aureum is a halophytic pantropical invasive fern growing in mangroves and swamps. Its association with arbuscular mycorrhizal fungi (AMF) has been reported in Asia. AMF and their symbiosis (AM) commonly colonise the absorption organs of terrestrial plants worldwide. Furthermore, AMF/AM are well [...] Read more.
Acrostichum aureum is a halophytic pantropical invasive fern growing in mangroves and swamps. Its association with arbuscular mycorrhizal fungi (AMF) has been reported in Asia. AMF and their symbiosis (AM) commonly colonise the absorption organs of terrestrial plants worldwide. Furthermore, AMF/AM are well known for their capacity to bioaccumulate toxic elements and to alleviate biotic and abiotic stress (e.g., salinity stress) in their hosts. However, the mechanisms underlying AMF involvement in the halophytism of A. aureum and the structures where NaCl accumulates remain unknown. This study shows that A. aureum forms AM in margins of natural thermal ponds in Neotropical wetlands. All mature sporophytes were colonised by AMF, with high percentages for root length (ca. 57%), arbuscules (23), and hyphae (25) and low values for vesicles (2%). In A. aureum–AMF symbiosis, NaCl accumulated in AMF vesicles, and CaSO4 precipitated in colonised roots. Therefore, AM can contribute to the halophytic nature of this fern, allowing it to thrive in saline and thermal environments by capturing NaCl from fern tissues, compartmentalising it inside its vesicles, and precipitating CaSO4. Full article
(This article belongs to the Section Plant Microbe Interactions)
Show Figures

Figure 1

16 pages, 3634 KB  
Article
Alleviation of NaCl Stress on Growth and Biochemical Traits of Cenchrus ciliaris L. via Arbuscular Mycorrhizal Fungi Symbiosis
by Jahangir A. Malik, Abdulaziz A. Alqarawi, Fahad Alotaibi, Muhammad M. Habib, Salah N. Sorrori, Majed B. R. Almutairi and Basharat A. Dar
Life 2024, 14(10), 1276; https://doi.org/10.3390/life14101276 - 8 Oct 2024
Cited by 2 | Viewed by 2001
Abstract
Soil salinization, especially in arid and semi-arid regions, is one of the major abiotic stresses that affect plant growth. To mediate and boost plant tolerance against this abiotic stress, arbuscular mycorrhizal fungi (AMF) symbiosis is commonly thought to be an effective tool. So, [...] Read more.
Soil salinization, especially in arid and semi-arid regions, is one of the major abiotic stresses that affect plant growth. To mediate and boost plant tolerance against this abiotic stress, arbuscular mycorrhizal fungi (AMF) symbiosis is commonly thought to be an effective tool. So, the main purpose of this study was to estimate the role of AMF (applied as a consortium of Claroideoglomus etunicatum, Funneliformis mosseae, Rhizophagus fasciculatum, and R. intraradices species) symbiosis in mitigating deleterious salt stress effects on the growth parameters (shoot length (SL), root length (RL), shoot dry weight (SDW), root dry weight (RDW), root surface area (RSA), total root length (TRL), root volume (RV), root diameter (RD), number of nodes and leaves) of Cenchrus ciliaris L. plants through improved accumulations of photosynthetic pigments (chlorophyll a, chlorophyll b, total chlorophyll), proline and phenolic compounds. The results of this experiment revealed that the roots of C. ciliaris plants were colonized by AMF under all the applied salinity levels (0, 75, 150, 225, and 300 mM NaCl). However, the rate of colonization was negatively affected by increasing salinity as depicted by the varied colonization structures (mycelium, vesicles, arbuscules and spores) which were highest under non-saline conditions. This association of AMF induced an increase in the growth parameters of the plant which were reduced by salinity stress. The improved shoot/root indices are likely due to enhanced photosynthetic activities as the AMF-treated plants showed increased accumulation of pigments (chlorophyll a, chlorophyll b and total chlorophyll), under saline as well as non-saline conditions, compared to non-AMF (N-AMF) plants. Furthermore, the AMF-treated plants also exhibited enhanced accumulation of proline and phenolic compounds. These accumulated metabolites act as protective measures under salinity stress, hence explaining the improved photosynthetic and growth parameters of the plants. These results suggest that AMF could be a good tool for the restoration of salt-affected habitats. However, more research is needed to check the true efficacy of different AMF inoculants under field conditions. Full article
(This article belongs to the Special Issue Plant Biotic and Abiotic Stresses 2024)
Show Figures

Figure 1

13 pages, 3398 KB  
Article
Interactions between Root Hair Development and Arbuscular Mycorrhizal Fungal Colonization in Trifoliate Orange Seedlings in Response to P Levels
by Xiu Cao, Yu Zhao, Ren-Xue Xia, Qiang-Sheng Wu, Abeer Hashem and Elsayed Fathi Abd_Allah
Agriculture 2024, 14(5), 763; https://doi.org/10.3390/agriculture14050763 - 15 May 2024
Cited by 5 | Viewed by 2313
Abstract
Both arbuscular mycorrhizal (AM) fungi and root hairs are crucial in facilitating plant uptake of phosphorus (P), while it is unclear whether and how they respond to varying P supplies. In order to explore how AM fungal colonization and root hair development are [...] Read more.
Both arbuscular mycorrhizal (AM) fungi and root hairs are crucial in facilitating plant uptake of phosphorus (P), while it is unclear whether and how they respond to varying P supplies. In order to explore how AM fungal colonization and root hair development are affected by substrate P supply, trifoliate orange (Poncirus trifoliata) seedlings were inoculated with AM fungus Rhizophagus intraradices and grown under low, moderate, and high P conditions; then, root hair morphological features and AM fungal colonization were measured. Following 120 days of AM fungal inoculation, root hair density, root hair length, AM fungal colonization rate, arbuscule colonization rate, and AM fungal colonization frequency all increased significantly under P-deficient conditions but decreased under high P conditions. Moreover, the colonization of AM fungi had a major impact on root hair formation by altering the expression of related genes and the growth of epidermal cells. The effect of AM fungi was dependent on P supply levels, as evidenced by the fact that root hair density and length increased at high P levels but decreased at low P levels. As a result, root hairs may serve as a preferential site for AM fungal colonization, and their morphology could influence the early stage of AM symbiosis establishment. Full article
(This article belongs to the Special Issue Arbuscular Mycorrhiza in Cropping Systems)
Show Figures

Figure 1

16 pages, 1616 KB  
Article
Soil Properties and Forest Decline in the North-Western Part of Romania
by Aurelia Onet, Roxana Vidican, Carmen Ghergheles, Larisa Corcoz, Vlad Stoian, Cristian Onet and Alin Cristian Teusdea
Forests 2024, 15(1), 124; https://doi.org/10.3390/f15010124 - 8 Jan 2024
Cited by 2 | Viewed by 2506
Abstract
The paper presents the study of the soil quality and health expressed by the chemical and biological properties in a research field placed at Varciorog, Bihor County, Romania. The soil samples were collected from 3 soil variants in March 2023. In each soil [...] Read more.
The paper presents the study of the soil quality and health expressed by the chemical and biological properties in a research field placed at Varciorog, Bihor County, Romania. The soil samples were collected from 3 soil variants in March 2023. In each soil variant, some soil chemical parameters and the abundance of bacteria were determined. The frequency and intensity of colonization, along with arbuscules and vesicles, were scored to determine the mycorrhizal potential of each soil. The community-level physiological profile was used to determine the functional microbiome and its ability to decompose a specific set of substrates. In the control variant (CTRL), which is a functional forest cultivated with beech in a proportion of 90%, the soil properties were compared with those determined from Site 1 (a declined mixed forest) and from Site 2 (chestnut forest in a stage of complete drying). The data were statistically processed with a one-way ANOVA test, followed by the Duncan post-hoc test, which revealed significant variation in the potential of microbial functional communities across the analyzed sites. Also, the soil parameters that significantly varied in the 3 soil variants were bacterial number, pH, humus, exchangeable aluminum, coarse sand, dust, and fine sand. The Pearson correlation was computed to study the links between bacterial numbers and chemical parameters. The results showed strong correlations between most of the studied soil properties. The Ecoplates approach to soil functional microbiome highlighted various differences between the microbial communities of the three tested sites. Mycorrhizal colonization shows different potentials for symbiosis formation. The peak of mycorrhizal colonization was in declined forest, with 43.36% colonization frequency and 24.56% intensity. Arbuscules reached 11.36% in declined forest, while in control and decayed sites, the indicator was under 4%. Vesicles are more associated with control and decayed forests, with values of presence over 1.30%. As an indicator of microbial general activity, the sum of recorded activities was higher in declined and decayed forests. At these sites, the activity of the functional microbiome was amplified. The decline process activates a higher diversity of functional groups and is associated with a larger area of substrate decomposition capacity, which indicates a more extensive range of microbial functions related to breaking down organic matter. Full article
Show Figures

Figure 1

17 pages, 8067 KB  
Article
Differential Responses of Medicago truncatula NLA Homologs to Nutrient Deficiency and Arbuscular Mycorrhizal Symbiosis
by Wei-Yi Lin, Hsin-Ni Yang, Chen-Yun Hsieh and Chen Deng
Plants 2023, 12(24), 4129; https://doi.org/10.3390/plants12244129 - 11 Dec 2023
Cited by 3 | Viewed by 2124
Abstract
NITROGEN LIMITATION ADAPTATION (NLA), a plasma-membrane-associated ubiquitin E3 ligase, plays a negative role in the control of the phosphate transporter family 1 (PHT1) members in Arabidopsis and rice. There are three NLA homologs in the Medicago truncatula genome, but it has been unclear [...] Read more.
NITROGEN LIMITATION ADAPTATION (NLA), a plasma-membrane-associated ubiquitin E3 ligase, plays a negative role in the control of the phosphate transporter family 1 (PHT1) members in Arabidopsis and rice. There are three NLA homologs in the Medicago truncatula genome, but it has been unclear whether the function of these homologs is conserved in legumes. Here we investigated the subcellular localization and the responses of MtNLAs to external phosphate and nitrate status. Similar to AtNLA1, MtNLA1/MtNLA2 was localized in the plasma membrane and nucleus. MtNLA3 has three alternative splicing variants, and intriguingly, MtNLA3.1, the dominant variant, was not able to target the plasma membrane, whereas MtNLA3.2 and MtNLA3.3 were capable of associating with the plasma membrane. In contrast with AtNLA1, we found that MtNLAs were not affected or even upregulated by low-phosphate treatment. We also found that MtNLA3 was upregulated by arbuscular mycorrhizal (AM) symbiosis, and overexpressing MtNLA3.1 in Medicago roots resulted in a decrease in the transcription levels of STR, an essential gene for arbuscule development. Taken together, our results highlight the difference between MtNLA homologs and AtNLA1. Further characterization will be required to reveal the regulation of these genes and their roles in the responses to external nutrient status and AM symbiosis. Full article
(This article belongs to the Collection Feature Papers in Plant Physiology and Metabolism)
Show Figures

Figure 1

22 pages, 4339 KB  
Article
Mycorrhizal Patterns in the Roots of Dominant Festuca rubra in a High-Natural-Value Grassland
by Larisa Corcoz, Florin Păcurar, Victoria Pop-Moldovan, Ioana Vaida, Vlad Stoian and Roxana Vidican
Plants 2022, 11(1), 112; https://doi.org/10.3390/plants11010112 - 30 Dec 2021
Cited by 16 | Viewed by 3255
Abstract
Grassland ecosystems occupy significant areas worldwide and represent a reservoir for biodiversity. These areas are characterized by oligotrophic conditions that stimulate mycorrhizal symbiotic partnerships to meet nutritional requirements. In this study, we selected Festuca rubra for its dominance in the studied mountain grassland, [...] Read more.
Grassland ecosystems occupy significant areas worldwide and represent a reservoir for biodiversity. These areas are characterized by oligotrophic conditions that stimulate mycorrhizal symbiotic partnerships to meet nutritional requirements. In this study, we selected Festuca rubra for its dominance in the studied mountain grassland, based on the fact that grasses more easily accept a symbiotic partner. Quantification of the entire symbiosis process, both the degree of colonization and the presence of a fungal structure, was performed using the root mycorrhizal pattern method. Analysis of data normality indicated colonization frequency as the best parameter for assessing the entire mycorrhizal mechanism, with five equal levels, each of 20%. Most of the root samples showed an intensity of colonization between 0 and 20% and a maximum of arbuscules of about 5%. The colonization degree had an average value of 35%, which indicated a medium permissiveness of roots for mycorrhizal partners. Based on frequency regression models, the intensity of colonization presented high fluctuations at 50% frequency, while the arbuscule development potential was set to a maximum of 5% in mycorrhized areas. Arbuscules were limited due to the unbalanced and unequal root development and their colonizing hyphal networks. The general regression model indicated that only 20% of intra-radicular hyphae have the potential to form arbuscules. The colonization patterns of dominant species in mountain grasslands represent a necessary step for improved understanding of the symbiont strategies that sustain the stability and persistence of these species. Full article
(This article belongs to the Special Issue Agricultural Microbiology)
Show Figures

Figure 1

23 pages, 916 KB  
Entry
Arbuscular Mycorrhizal Fungi in Agriculture
by Thomas I. Wilkes
Encyclopedia 2021, 1(4), 1132-1154; https://doi.org/10.3390/encyclopedia1040085 - 2 Nov 2021
Cited by 26 | Viewed by 14263
Definition
Arbuscular mycorrhizal (AM) fungi are biotrophic symbionts forming close relationships with an estimated 80% of terrestrial plants suitable as their host. Via an established AM fungal–host relationship, soil-bound nutrients are made available to the host plant through root cortical arbuscules as the site [...] Read more.
Arbuscular mycorrhizal (AM) fungi are biotrophic symbionts forming close relationships with an estimated 80% of terrestrial plants suitable as their host. Via an established AM fungal–host relationship, soil-bound nutrients are made available to the host plant through root cortical arbuscules as the site of exchange. At these sites, photosynthetic carbohydrates are provided to the AM fungus—carbohydrates that cannot be produced by the fungus. AM fungal–host symbiosis is very sensitive to soil disturbance, for example, agricultural tillage practices can damage and reduce AM fungal abilities to interact with a host and provide plant growth-promoting properties. Full article
(This article belongs to the Collection Encyclopedia of Fungi)
Show Figures

Figure 1

33 pages, 8937 KB  
Article
Genome-Wide Analysis of Nutrient Signaling Pathways Conserved in Arbuscular Mycorrhizal Fungi
by Xiaoqin Zhou, Jiangyong Li, Nianwu Tang, Hongyun Xie, Xiaoning Fan, Hui Chen, Ming Tang and Xianan Xie
Microorganisms 2021, 9(8), 1557; https://doi.org/10.3390/microorganisms9081557 - 22 Jul 2021
Cited by 20 | Viewed by 7044
Abstract
Arbuscular mycorrhizal (AM) fungi form a mutualistic symbiosis with a majority of terrestrial vascular plants. To achieve an efficient nutrient trade with their hosts, AM fungi sense external and internal nutrients, and integrate different hierarchic regulations to optimize nutrient acquisition and homeostasis during [...] Read more.
Arbuscular mycorrhizal (AM) fungi form a mutualistic symbiosis with a majority of terrestrial vascular plants. To achieve an efficient nutrient trade with their hosts, AM fungi sense external and internal nutrients, and integrate different hierarchic regulations to optimize nutrient acquisition and homeostasis during mycorrhization. However, the underlying molecular networks in AM fungi orchestrating the nutrient sensing and signaling remain elusive. Based on homology search, we here found that at least 72 gene components involved in four nutrient sensing and signaling pathways, including cAMP-dependent protein kinase A (cAMP-PKA), sucrose non-fermenting 1 (SNF1) protein kinase, target of rapamycin kinase (TOR) and phosphate (PHO) signaling cascades, are well conserved in AM fungi. Based on the knowledge known in model yeast and filamentous fungi, we outlined the possible gene networks functioning in AM fungi. These pathways may regulate the expression of downstream genes involved in nutrient transport, lipid metabolism, trehalase activity, stress resistance and autophagy. The RNA-seq analysis and qRT-PCR results of some core genes further indicate that these pathways may play important roles in spore germination, appressorium formation, arbuscule longevity and sporulation of AM fungi. We hope to inspire further studies on the roles of these candidate genes involved in these nutrient sensing and signaling pathways in AM fungi and AM symbiosis. Full article
Show Figures

Figure 1

19 pages, 2562 KB  
Article
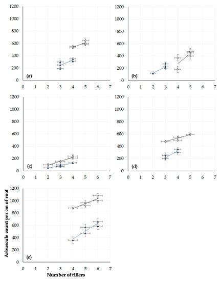
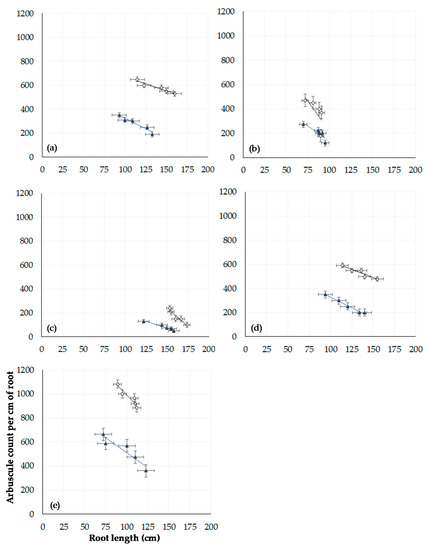
Species-Specific Interactions of Bacillus Innocula and Arbuscular Mycorrhizal Fungi Symbiosis with Winter Wheat
by Thomas I. Wilkes, Douglas J. Warner, Veronica Edmonds-Brown and Keith G. Davies
Microorganisms 2020, 8(11), 1795; https://doi.org/10.3390/microorganisms8111795 - 16 Nov 2020
Cited by 10 | Viewed by 3557
Abstract
Arbuscular mycorrhizal (AM) fungi establish close interactions with host plants, an estimated 80% of vascular plant species. The host plant receives additional soil bound nutrients that would otherwise not be available. Other components of the microbiome, such as rhizobacteria, may influence interactions between [...] Read more.
Arbuscular mycorrhizal (AM) fungi establish close interactions with host plants, an estimated 80% of vascular plant species. The host plant receives additional soil bound nutrients that would otherwise not be available. Other components of the microbiome, such as rhizobacteria, may influence interactions between AM fungi and the host plant. Within a commercial arable crop selected rhizobacteria in combination with AM fungi may benefit crop yields. The precise nature of interactions between rhizobacteria and AM fungi in a symbiotic relationship overall requires greater understanding. The present study aims to assess this relationship by quantifying: (1) AM fungal intracellular root structures (arbuscules) and soil glomalin as an indicator of AM fungal growth; and (2) root length and tiller number as a measure of crop growth, in response to inoculation with one of three species of Bacillus: B. amyloliquefaciences, B. pumilis, or B. subtilis. The influence of soil management, conventional (CT) or zero tillage (ZT) was a further variable evaluated. A significant (p < 0.0001) species-specific impact on the number of quantifiable AM fungal arbuscules was observed. The inoculation of winter wheat (Triticum aestivum) with B. amyloliquefaciences had a positive impact on AM fungal symbiosis, as indicated by an average of 3226 arbuscules per centimetre of root tissue. Bacillus subtilis increased root length significantly (p < 0.01) but decreased fungal symbiosis (p < 0.01). The inoculation of field soils altered the concentration of glomalin, an indicator of AM fungal growth, significantly (p < 0.00001) for each tillage treatment. The greatest increase was associated with B. amyloliquefaciences for both CT (p < 0.0001) and ZT (p < 0.00001). Bacillus subtilis reduced measured glomalin significantly in both tillage treatments (p < 0.0001 and p < 0.00001 for CT and ZT respectively). The interaction between rhizobacteria and AM fungi is variable, being beneficial or detrimental depending on species. This relationship was evident in both tillage treatments and has important implications for maximizing symbiosis in the crop plant-microbiome present in agricultural systems. Full article
(This article belongs to the Section Environmental Microbiology)
Show Figures

Figure 1

14 pages, 4285 KB  
Article
Tillage, Glyphosate and Beneficial Arbuscular Mycorrhizal Fungi: Optimising Crop Management for Plant–Fungal Symbiosis
by Thomas I. Wilkes, Douglas J. Warner, Keith G. Davies and Veronica Edmonds-Brown
Agriculture 2020, 10(11), 520; https://doi.org/10.3390/agriculture10110520 - 3 Nov 2020
Cited by 26 | Viewed by 4965
Abstract
Zero till cropping systems typically apply broad-spectrum herbicides such as glyphosate as an alternative weed control strategy to the physical inversion of the soil provided by cultivation. Glyphosate targets 5-enolpyruvylshikimate-3-phosphate (EPSP) synthase in plants. There is growing evidence that this may have a [...] Read more.
Zero till cropping systems typically apply broad-spectrum herbicides such as glyphosate as an alternative weed control strategy to the physical inversion of the soil provided by cultivation. Glyphosate targets 5-enolpyruvylshikimate-3-phosphate (EPSP) synthase in plants. There is growing evidence that this may have a detrimental impact on non-target organisms such as those present in the soil microbiome. Species of commercial importance, such as arbuscular mycorrhizal (AM) fungi that form a symbiotic relationship with plant roots are an important example. This study investigates the impact of soil cultivation and glyphosate application associated with conventional tillage (CT) and zero tillage (ZT) respectively on AM fungi populations under field and glasshouse conditions. Topsoil (<10 cm) was extracted from CT and ZT fields cropped with winter wheat, plus non-cropped control plots within the same field boundary, throughout the cropping year. Glyphosate was applied in glasshouse experiments at rates between 0 and 350 g L−1. Ergosterol, an indicator of fungal biomass, was measured using high performance liquid chromatography before and after glyphosate application. Fungal root arbuscules, an indicator of AM fungi–root symbiosis, were quantified from the roots of wheat plants. Under glasshouse conditions root arbuscules were consistently higher in wheat grown in ZT field extracted soils (P = 0.01) compared to CT. Glyphosate application however inhibited fungal biomass in both the ZT (P < 0.00001) and CT (P < 0.001) treatments. In the absence of glyphosate, the number of stained root arbuscules increased significantly. Ergosterol levels, used as a proxy for fungal biomass, remained lower in the soil post glyphosate application. The results suggest that CT has a greater negative impact on AM fungal growth than ZT and glyphosate, but that glyphosate is also detrimental to AM fungal growth and hinders subsequent population recovery. Full article
(This article belongs to the Section Agricultural Soils)
Show Figures

Figure 1

26 pages, 9399 KB  
Article
Integrative Analysis of the Wheat PHT1 Gene Family Reveals A Novel Member Involved in Arbuscular Mycorrhizal Phosphate Transport and Immunity
by Yi Zhang, Lizong Hu, Deshui Yu, Kedong Xu, Ju Zhang, Xiaoli Li, Pengfei Wang, Guo Chen, Zhihui Liu, Chunfeng Peng, Chengwei Li and Tiancai Guo
Cells 2019, 8(5), 490; https://doi.org/10.3390/cells8050490 - 22 May 2019
Cited by 37 | Viewed by 6372
Abstract
Phosphorus (P) deficiency is one of the main growth-limiting factors for plants. However, arbuscular mycorrhizal (AM) symbiosis can significantly promote P uptake. Generally, PHT1 transporters play key roles in plants’ P uptake, and thus, PHT1 genes have been investigated in some plants, but [...] Read more.
Phosphorus (P) deficiency is one of the main growth-limiting factors for plants. However, arbuscular mycorrhizal (AM) symbiosis can significantly promote P uptake. Generally, PHT1 transporters play key roles in plants’ P uptake, and thus, PHT1 genes have been investigated in some plants, but the regulation and functions of these genes in wheat (TaPHT1) during AM symbiosis have not been studied in depth. Therefore, a comprehensive analysis of TaPHT1 genes was performed, including sequence, phylogeny, cis-elements, expression, subcellular localization and functions, to elucidate their roles in AM-associated phosphate transport and immunity. In total, 35 TaPHT1s were identified in the latest high-quality bread wheat genome, 34 of which were unevenly distributed on 13 chromosomes, and divided into five groups. Sequence analysis indicated that there are 11 types of motif architectures and five types of exon-intron structures in the TaPHT1 family. Duplication mode analysis indicated that the TaPHT1 family has expanded mainly through segmental and tandem duplication events, and that all duplicated gene pairs have been under purifying selection. Transcription analysis of the 35 TaPHT1s revealed that not only known the mycorrhizal-specific genes TaPht-myc, TaPT15-4B (TaPT11) and TaPT19-4D (TaPT10), but also four novel mycorrhizal-specific/inducible genes (TaPT3-2D, TaPT11-4A, TaPT29-6A, and TaPT31-7A) are highly up-regulated in AM wheat roots. Furthermore, the mycorrhizal-specific/inducible genes are significantly induced in wheat roots at different stages of infection by colonizing fungi. Transient Agrobacterium tumefaciens-mediated transformation expression in onion epidermal cells showed that TaPT29-6A is a membrane-localized protein. In contrast to other AM-specific/inducible PHT1 genes, TaPT29-6A is apparently required for the symbiotic and direct Pi pathway. TaPT29-6A-silenced lines exhibited reduced levels of AM fungal colonization and arbuscules, but increased susceptibility to biotrophic, hemi-biotrophic and necrotrophic pathogens. In conclusion, TaPT29-6A was not only essential for the AM symbiosis, but also played vital roles in immunity. Full article
(This article belongs to the Section Cell Nuclei: Function, Transport and Receptors)
Show Figures

Figure 1

Back to TopTop