Sign in to use this feature.

Years

Between: -

Subjects

remove_circle_outline
remove_circle_outline
remove_circle_outline
remove_circle_outline
remove_circle_outline
remove_circle_outline
remove_circle_outline
remove_circle_outline
remove_circle_outline

Journals

remove_circle_outline
remove_circle_outline
remove_circle_outline
remove_circle_outline
remove_circle_outline
remove_circle_outline
remove_circle_outline
remove_circle_outline
remove_circle_outline
remove_circle_outline
remove_circle_outline
remove_circle_outline

Article Types

Countries / Regions

remove_circle_outline
remove_circle_outline
remove_circle_outline
remove_circle_outline
remove_circle_outline

Search Results (556)

Search Parameters:
Keywords = aggressive variants

Order results
Result details
Results per page
Select all
Export citation of selected articles as:
56 pages, 4081 KB  
Article
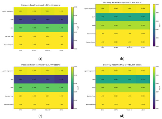
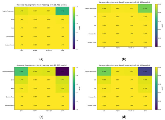
A Systematic Ablation Study of GAN-Based Minority Augmentation for Intrusion Detection on UWF-ZeekData22
by Asfaw Debelie, Sikha S. Bagui, Subhash C. Bagui and Dustin Mink
Electronics 2026, 15(6), 1291; https://doi.org/10.3390/electronics15061291 - 19 Mar 2026
Abstract
Generative adversarial networks (GANs) are increasingly applied to mitigate extreme class imbalance in intrusion detection systems, yet reported improvements often obscure role augmentation intensity and adversarial stability. This paper presents a controlled ablation study that isolates the impact of adversarial objective choice, augmentation [...] Read more.
Generative adversarial networks (GANs) are increasingly applied to mitigate extreme class imbalance in intrusion detection systems, yet reported improvements often obscure role augmentation intensity and adversarial stability. This paper presents a controlled ablation study that isolates the impact of adversarial objective choice, augmentation ratio, and training duration on GAN-based minority data augmentation for highly imbalanced tabular cybersecurity data. Using the UWF-ZeekData22 dataset, nine MITRE ATT&CK tactic-versus-benign classification tasks are evaluated under augmentation ratios of 0.25 and 0.50 and training durations of 400 and 800 epochs. Four GAN variants—Vanilla GAN, Conditional GAN (cGAN), WGAN, and WGAN-GP—are assessed using stratified cross-validation and five classical classifiers representing diverse inductive biases. The results reveal consistent structural patterns. Moderate augmentation (r = 0.25) with controlled training (400 epochs) yields the most stable and reliable improvement in minority recall. Wasserstein-based objectives demonstrate superior stability under aggressive augmentation and prolonged training, while conditional GANs frequently exhibit recall collapse in ultra-sparse regimes. Increasing augmentation volume does not uniformly improve performance and may introduce distributional overlaps that degrade linear and margin-based classifiers. Tree-based classifiers remain largely invariant once sufficient minority density is achieved. These findings demonstrate that adversarial calibration is more important than architectural complexity for improving the detection of rare attacks. The study provides practical guidance for designing robust GAN-based augmentation pipelines under extreme cybersecurity class imbalance. Full article
(This article belongs to the Special Issue Intelligent Solutions for Network and Cyber Security)
Show Figures

Figure 1

17 pages, 1170 KB  
Article
Distinct Mutation Signatures in Peripheral Blood Mitochondrial DNA from Liquid Biopsy Reveal Insights into Pancreatic Cancer
by Hannah Randeu, Abel Bronkhorst, Angela Oberhofer, Karolina Worf, Carsten Uhlig, Eleni Polatoglou, Zsuzsanna Mayer, Klara Dorman, Danmei Zhang, Stefan Boeck, Volker Heinemann, Michael Haas and Stefan Holdenrieder
Cells 2026, 15(6), 527; https://doi.org/10.3390/cells15060527 - 16 Mar 2026
Viewed by 212
Abstract
Pancreatic cancer (PC) is a highly aggressive malignancy characterized by limited opportunities for early diagnosis and poor clinical outcomes, underscoring the need for minimally invasive biomarkers to improve detection and patient stratification. Given emerging evidence that mitochondrial DNA (mtDNA) alterations reflect cancer-related biological [...] Read more.
Pancreatic cancer (PC) is a highly aggressive malignancy characterized by limited opportunities for early diagnosis and poor clinical outcomes, underscoring the need for minimally invasive biomarkers to improve detection and patient stratification. Given emerging evidence that mitochondrial DNA (mtDNA) alterations reflect cancer-related biological processes, this study investigated whether blood-derived mtDNA profiles could provide clinically relevant information in PC. In this exploratory study, whole-blood mtDNA from 33 PC patients and 10 healthy individuals were analyzed using next-generation sequencing to assess single-nucleotide variants (SNVs), allele frequencies, and mtDNA copy number. A total of 252 unique mtDNA SNVs were identified, including variants exclusive to PC patients, variants unique to controls, and variants shared between groups. While the overall SNV burden did not differ significantly between groups, PC patients showed distinct mutation distributions and allele frequency patterns, with cancer-exclusive variants occurring predominantly at low allele frequencies. Mutation hotspots were observed in the ND5, COI, and D-loop regions, implicating genes involved in oxidative phosphorylation and mtDNA maintenance. Although mtDNA copy number did not differ significantly between groups, greater variability was observed among PC patients and was associated with differences in survival outcomes. Overall, these findings indicate that blood-based mtDNA profiling captures biologically relevant variation associated with PC and supports further development of integrated mtDNA-based approaches for improved risk assessment and patient stratification. Full article
Show Figures

Figure 1

16 pages, 7135 KB  
Article
Renal Tubule-Specific Deletion of Nephrocystin 3 (Nphp3) Causes Infantile Nephronophthisis-like Phenotypes in Mice
by Xuanjin Du, Chunyan Wang, Ye Fang, Gangqi Wang, Yihui Zhai, Qian Shen, Xiaoshan Tang and Hong Xu
Int. J. Mol. Sci. 2026, 27(6), 2687; https://doi.org/10.3390/ijms27062687 - 15 Mar 2026
Viewed by 190
Abstract
Patients with nephronophthisis caused by nephrocystin 3 (NPHP3) variants rapidly progress to end-stage kidney disease. However, existing Nphp3 mouse models fail to fully recapitulate the characteristics of this disease. We generated a renal tubule-specific Nphp3 knockout mouse model that more accurately mirrors the [...] Read more.
Patients with nephronophthisis caused by nephrocystin 3 (NPHP3) variants rapidly progress to end-stage kidney disease. However, existing Nphp3 mouse models fail to fully recapitulate the characteristics of this disease. We generated a renal tubule-specific Nphp3 knockout mouse model that more accurately mirrors the human disease course. The mouse model was first validated by confirming the loss of Nphp3 protein expression in renal tubules. Comprehensive phenotypic analyses were then performed to assess both renal and extrarenal manifestations. The origin of renal cysts was investigated, and the underlying mechanisms were further validated. We successfully generated a renal tubule-specific Nphp3 knockout mouse model (Cdh16-Cre; Nphp3flox/flox). These mice exhibited a markedly shortened lifespan (5–8 weeks) and developed key features of infantile nephronophthisis, including early-onset renal cysts originating from distal tubules and collecting ducts, progressive interstitial fibrosis that was evident by postnatal week 2, a rapid decline in kidney function, and increased urinary protein levels. Importantly, treatment with the vasopressin V2 receptor antagonist tolvaptan or the mitogen-activated extracellular signal-regulated kinase (MEK) inhibitor 2-(2-chloro-4-iodoanilino)-N-(cyclopropylmethoxy)-3,4-difluorobenzamide (CI-1040) significantly attenuated cyst growth and improved kidney morphology, confirming shared pathogenic pathways with other Nphp3 models. We established a renal tubule-specific Nphp3 knockout mouse model that accurately recapitulates the aggressive infantile form of nephronophthisis characterized by early cystogenesis, progressive fibrosis, and a shortened lifespan, and is ideal for evaluating novel interventions against this currently untreatable ciliopathy. Full article
(This article belongs to the Section Molecular Genetics and Genomics)
Show Figures

Figure 1

15 pages, 6568 KB  
Article
From Plastics to Prognosis: ANO4 Susceptibility Links Phthalate Exposure to Prostate Cancer Progression
by Chi-Fen Chang, Shu-Pin Huang, Yei-Tsung Chen, Lih-Chyang Chen, Chao-Yuan Huang, Chia-Cheng Yu, Victor C. Lin, Te-Ling Lu and Bo-Ying Bao
Diagnostics 2026, 16(5), 794; https://doi.org/10.3390/diagnostics16050794 - 7 Mar 2026
Viewed by 285
Abstract
Background/Objective: Di-2-ethylhexyl phthalate and its bioactive metabolite mono-2-ethylhexyl phthalate (MEHP) are ubiquitous endocrine-disrupting chemicals implicated in carcinogenesis. However, the molecular mechanisms linking MEHP exposure, host genetic susceptibility, and prostate cancer progression remain incompletely defined. Methods: We integrated transcriptomic profiling of MEHP-exposed human prostate [...] Read more.
Background/Objective: Di-2-ethylhexyl phthalate and its bioactive metabolite mono-2-ethylhexyl phthalate (MEHP) are ubiquitous endocrine-disrupting chemicals implicated in carcinogenesis. However, the molecular mechanisms linking MEHP exposure, host genetic susceptibility, and prostate cancer progression remain incompletely defined. Methods: We integrated transcriptomic profiling of MEHP-exposed human prostate epithelial cells with a genetic association study of 630 patients with prostate cancer receiving androgen deprivation therapy. MEHP-responsive genes were identified from public microarray datasets and subjected to pathway enrichment analyses. Germline single-nucleotide polymorphisms (SNPs) in MEHP-regulated genes were evaluated for their association with progression-free survival, overall survival, and cancer-specific survival. The clinical and functional relevance of the key genes was further assessed using large-scale public prostate cancer expression datasets. Results: MEHP exposure induced widespread transcriptional reprogramming, prominently suppressing focal adhesion and cell–matrix interaction pathways. Genetic analyses identified multiple prognostically relevant SNPs within MEHP-responsive genes, with anoctamin 4 (ANO4) variants showing consistent associations across all clinical endpoints. The minor allele of rs17485225 in ANO4 was significantly associated with reduced all-cause and prostate cancer-specific mortality. Pooled analyses revealed reduced ANO4 expression levels in prostate cancer tissues and improved survival in patients with high ANO4 expression levels. Pathway analyses linked low ANO4 expression levels with enhanced cell cycle activity and compromised cell adhesion. Conclusions: Our findings suggest that ANO4 may act as a mediator of MEHP-associated prostate cancer progression and support a gene–environment interaction model in which environmental toxicant exposure and germline variation converge on focal adhesion dysregulation to potentially contribute to aggressive disease. Full article
(This article belongs to the Special Issue Predictive Biomarkers in Oncology)
Show Figures

Figure 1

33 pages, 1846 KB  
Article
Evaluating Bio-Inspired Metaheuristics for Dynamic Surgical Scheduling: A Resilient Three-Stage Flow Shop Model Under Stochastic Emergency Arrivals
by Marcelo Becerra-Rozas, Bady Gana, José Lara, Andres Leiva-Araos, Broderick Crawford, José M. Gómez Pulido, Cristian Contreras, José J. Caro-Miranda and Miguel García-Remesal
Biomimetics 2026, 11(3), 183; https://doi.org/10.3390/biomimetics11030183 - 3 Mar 2026
Viewed by 355
Abstract
Optimal surgical scheduling necessitates a strategic balance between elective efficiency and responsiveness to stochastic emergency arrivals. This study evaluates a Genetic Algorithm alongside discretized variants of Particle Swarm Optimization, the Secretary Bird Optimization Algorithm, and the Mantis Shrimp Optimization Algorithm. These algorithms are [...] Read more.
Optimal surgical scheduling necessitates a strategic balance between elective efficiency and responsiveness to stochastic emergency arrivals. This study evaluates a Genetic Algorithm alongside discretized variants of Particle Swarm Optimization, the Secretary Bird Optimization Algorithm, and the Mantis Shrimp Optimization Algorithm. These algorithms are assessed within a dynamic three-stage flexible flow shop model under no-buffer blocking constraints. Findings from 300 Monte Carlo replications demonstrate that while the Genetic Algorithm achieves peak global efficiency, discretized bio-inspired algorithms reach a comparable statistical efficiency frontier. Notably, the discretized Secretary Bird Optimization Algorithm facilitates superior emergency integration by maintaining natural capacity buffers, whereas the aggressive local optimization characteristic of alternative methods often triggers resource saturation in recovery units. These results indicate a potential recovery of 90 annual operating hours per theater.These results indicate a potential recovery of 90 annual operating hours per theater, representing a 6.7% increase in resource utilization efficiency. This improvement provides a critical data-driven capacity margin to mitigate the non-prioritized (Non-GES) surgical backlog in Chilean public hospitals. Full article
Show Figures

Graphical abstract

19 pages, 746 KB  
Review
Pancreatic Neuroendocrine Tumors: From Benchside to Surgical Treatment
by Giovanni Conzo, Federico Maria Mongardini, Maddalena Paolicelli, Michele Klain, Giuseppe Bellastella, Alessandra Conzo, Zhou Bo, Eduardo Lanza, Leandra Piscopo and Renato Patrone
Medicina 2026, 62(3), 479; https://doi.org/10.3390/medicina62030479 - 3 Mar 2026
Viewed by 392
Abstract
Pancreatic neuroendocrine tumors (pNETs) are rare, clinically heterogeneous neoplasms with rising incidence linked to improved diagnostics. This review examines pNET management, addressing epidemiology, classification, diagnosis, treatment, and emerging therapies. Epidemiologically, pNETs show higher prevalence in Western populations, with emerging associations to metabolic disorders. [...] Read more.
Pancreatic neuroendocrine tumors (pNETs) are rare, clinically heterogeneous neoplasms with rising incidence linked to improved diagnostics. This review examines pNET management, addressing epidemiology, classification, diagnosis, treatment, and emerging therapies. Epidemiologically, pNETs show higher prevalence in Western populations, with emerging associations to metabolic disorders. The 2022 WHO classification highlights distinct prognoses for well-differentiated NETs versus poorly differentiated NECs, guided by Ki-67 and mitotic indices. Non-functional tumors often present late, while functional variants manifest hormonal syndromes, necessitating tailored approaches. Advanced imaging (contrast-enhanced CT/MRI, 68Ga-DOTATATE PET) and endoscopic ultrasound-guided biopsy enable precise localization and grading. Surgical resection remains curative for localized disease, with minimally invasive techniques reducing morbidity. Active surveillance is favored for small (<2 cm), low-grade, non-functional tumors, while larger or aggressive lesions require resection. Systemic therapies, including mTOR inhibitors (everolimus), anti-angiogenics (surufatinib), and peptide receptor radionuclide therapy (PRRT), extend survival in advanced cases, though immunotherapy efficacy remains limited. Future strategies emphasize molecular profiling, biomarker development, and multidisciplinary integration to optimize outcomes. This evolving paradigm prioritizes precision medicine, balancing oncologic control with quality of life and functional preservation. Full article
(This article belongs to the Special Issue Clinical Treatment of Neuroendocrine Neoplasm)
Show Figures

Figure 1

15 pages, 1567 KB  
Article
Transcriptional Control of Hepatocellular Carcinoma Cells Aggressiveness by AAV2/8-Mediated Delivery of Human Centenarian-Associated SIRT6 N308K/A313S
by Maanya Vittal, Niccolo Liorni, Ahmed Kazaili, Eric Leire, Riaz Akhtar, Tommaso Mazza and Manlio Vinciguerra
Cancers 2026, 18(5), 812; https://doi.org/10.3390/cancers18050812 - 3 Mar 2026
Viewed by 355
Abstract
Background/Objectives: Hepatocellular carcinoma (HCC) is the sixth most prevalent cancer and a chief cause of cancer-related mortality throughout the world. SIRT6 is a fundamental sirtuin that governs several disease processes encompassing inflammation and cancer, including HCC. Longevity in centenarian Ashkenazi Jews was recently [...] Read more.
Background/Objectives: Hepatocellular carcinoma (HCC) is the sixth most prevalent cancer and a chief cause of cancer-related mortality throughout the world. SIRT6 is a fundamental sirtuin that governs several disease processes encompassing inflammation and cancer, including HCC. Longevity in centenarian Ashkenazi Jews was recently associated to novel allelic variants of SIRT6 (N308K/A313S), which ameliorate genome maintenance and DNA repair, and suppress cancer cells. It is currently unknown whether the above-mentioned SIRT6 variants display divergent or similar roles in HCC pathogenesis, compared to the wild-type (WT) counterpart. Methods: Our goal was to elucidate how these new centenarian-associated SIRT6 genetic variants may modulate HCC cell lines’ (HepG2 and Huh-7) aggressiveness and behavior, using functional and transcriptomic approaches. Results: We demonstrate that adeno-associated virus (AAV2/8)-mediated overexpression of centenarian-associated SIRT6 variants hampered HCC cell proliferation, with transcriptomic data showing the modulation of hallmark genes involved in the turnover of collagen/extracellular matrix (ECM). In addition, we found that AAV2/8-mediated overexpression of SIRT6 N308K/A313S decreased invasion and also increased stiffness in HCC cells, as measured by nanoindentation, in a more pronounced fashion compared to SIRT6 WT. Intracellular stiffness is a property of the cancer cells themselves, which, along with ECM invasiveness, plays a significant role in the progression of HCC. Conclusions: These data suggest that increased intracellular stiffening mirrors increased cell motility and invasive behavior; it can be indicative of suppressed cancer development and progression by the centenarian-associated SIRT6 N308K/A313S mutant. Full article
Show Figures

Figure 1

18 pages, 8697 KB  
Review
Radiomics-Based Characterization of Aggressive Prostate Cancer Variants: Diagnostic Challenges and Opportunities
by Katarzyna Sklinda, Martyna Rajca, Marek Kasprowicz, Łukasz Michałowski, Michał Małek, Bartłomiej Olczak and Jerzy Walecki
Cancers 2026, 18(5), 780; https://doi.org/10.3390/cancers18050780 - 28 Feb 2026
Viewed by 337
Abstract
Background/Objectives: Aggressive variants of prostate cancer pose significant diagnostic and prognostic challenges due to atypical imaging appearances, variable prostate-specific antigen behavior, and distinct molecular features. Conventional imaging may underestimate their biological aggressiveness. This review aimed to synthesize current evidence on imaging characteristics, biomarker [...] Read more.
Background/Objectives: Aggressive variants of prostate cancer pose significant diagnostic and prognostic challenges due to atypical imaging appearances, variable prostate-specific antigen behavior, and distinct molecular features. Conventional imaging may underestimate their biological aggressiveness. This review aimed to synthesize current evidence on imaging characteristics, biomarker dynamics, tumor localization, histology, and radiomic features of aggressive prostate cancer variants, and to evaluate the potential role of radiomics in early recognition and risk stratification. Methods: A structured narrative review was performed of studies reporting imaging, clinical, and molecular features of aggressive prostate cancer variants. Imaging modalities included multiparametric magnetic resonance imaging, positron emission tomography with prostate-specific membrane antigen or fluorodeoxyglucose, bone scintigraphy, and transrectal ultrasound. Data on prostate-specific antigen levels and kinetics, intraprostatic tumor location, tumor size, metastatic patterns, and molecular alterations were extracted. Evidence for rare entities such as basaloid and primary squamous carcinomas was derived from published case reports and series, while selected variants were complemented by institutional imaging and histopathologic observations. Results: Neuroendocrine and small cell carcinomas frequently showed low prostate-specific antigen levels, high fluorodeoxyglucose uptake, low prostate-specific membrane antigen expression, and central or transitional zone involvement with large tumor size at diagnosis. Ductal adenocarcinoma demonstrated marked diffusion restriction and elevated prostate-specific antigen, whereas basal cell carcinoma often appeared inconspicuous on conventional imaging. Radiomic analysis consistently captured tumor heterogeneity and spatial complexity beyond standard qualitative metrics. Conclusions: Aggressive prostate cancer variants represent a diagnostic blind spot in routine imaging. Radiomics offers complementary quantitative information that may improve early detection, subtype differentiation, and risk stratification when integrated into multimodal imaging workflows. Further prospective and radiogenomic studies are warranted to validate these findings. Full article
(This article belongs to the Special Issue Radiomics in Cancer Imaging: Theory and Applications in Solid Tumours)
Show Figures

Figure 1

18 pages, 959 KB  
Systematic Review
Impact of the Micropapillary Variant in Urothelial Carcinoma of the Bladder—A Comprehensive Review of Meta-Analyses and Contemporary Cohort Studies
by Agnieszka Leśniewska-Bocianowska and Jan Bocianowski
Cancers 2026, 18(5), 727; https://doi.org/10.3390/cancers18050727 - 24 Feb 2026
Viewed by 360
Abstract
Background/Objectives: Micropapillary urothelial carcinoma of the urinary bladder (MPUC) represents a rare but highly aggressive histological variant of urothelial carcinoma (UC), frequently presenting at an advanced stage of disease. Although data on histological variants consistently suggest inferior oncological outcomes, the independent prognostic [...] Read more.
Background/Objectives: Micropapillary urothelial carcinoma of the urinary bladder (MPUC) represents a rare but highly aggressive histological variant of urothelial carcinoma (UC), frequently presenting at an advanced stage of disease. Although data on histological variants consistently suggest inferior oncological outcomes, the independent prognostic role of the micropapillary variant remains controversial. Methods: The present work synthesizes the findings of a large meta-analysis evaluating histological variants of UC and a separate meta-analysis focusing exclusively on MPUC, and further examines the most recent cohort-based evidence published between 2016 and 2025. Results: The presence of any histological variant in UC treated with radical cystectomy is associated with significantly worse recurrence-free survival, disease-specific survival, and overall survival, as reflected by pooled hazard ratios (HRs). For the micropapillary variant specifically, a modest increase in overall mortality has been demonstrated (pooled HR ≈ 1.20); however, results from adjusted analyses dedicated to MPUC remain inconsistent. Conclusions: Micropapillary urothelial carcinoma is consistently associated with adverse pathological features and poorer oncological outcomes. However, whether micropapillary morphology independently predicts prognosis beyond established factors such as pathological stage and nodal status remains uncertain, as adjusted analyses across studies have yielded inconsistent results. Part of the observed survival disadvantage may be explained by stage migration, although an intrinsic residual risk cannot be definitively ruled out. This review integrates contemporary population-based registry analyses with prior meta-analytic evidence to provide a clinically oriented synthesis of the prognostic and therapeutic implications of MPUC. In addition, we propose minimal reporting standards aimed at improving comparability across future studies and strengthening risk stratification and treatment decision-making. Full article
(This article belongs to the Section Cancer Pathophysiology)
Show Figures

Graphical abstract

21 pages, 2309 KB  
Article
Multistep ctDNA Monitoring of Minimal Residual Disease in Colorectal Cancer Liver Metastases: From Tissue NGS to Highly Sensitive Digital PCR Platforms
by Izabela Górzyńska, Agata Konieczka, Paweł Gaj, Michał Świerniak, Tomasz Stokłosa, Michał Grąt and Oskar Kornasiewicz
Diagnostics 2026, 16(5), 645; https://doi.org/10.3390/diagnostics16050645 - 24 Feb 2026
Viewed by 428
Abstract
Background/Objectives: Colorectal cancer (CRC) liver metastases present a significant clinical challenge due to high recurrence risks post-resection. Traditional diagnostics often fail to detect early-stage minimal residual disease (MRD). This preliminary pilot study evaluated ctDNA dynamics in 10 patients with liver metastases using [...] Read more.
Background/Objectives: Colorectal cancer (CRC) liver metastases present a significant clinical challenge due to high recurrence risks post-resection. Traditional diagnostics often fail to detect early-stage minimal residual disease (MRD). This preliminary pilot study evaluated ctDNA dynamics in 10 patients with liver metastases using a personalized multistep approach. Methods: Following primary tumor Next-Generation Sequencing (NGS) to identify somatic mutations in KRAS, NRAS, TP53, RET, APC, and WRN, custom TaqMan assays were designed for longitudinal plasma analysis. Four methodologies were compared: HRM-PCR, PNA-enhanced qPCR, and two digital platforms (dPCR and ddPCR). Results: While HRM-PCR sensitivity was limited in plasma, digital platforms demonstrated 100% qualitative concordance. MRD-negative status (VAF 0.00%) was identified in 70% of cases (P01, P03, P06, P07, P08, P09, P10), while detectable ctDNA in patients P02, P04, and P05 strongly correlated with aggressive progression. Digital PCR enabled the ultra-low detection of Variant Allele Frequencies (VAFs), identifying high molecular burdens (e.g., P05, VAF 49%) correlating with rapid decline, and capturing early molecular residue in P04 (VAF 0.62%). Conclusions: Our preliminary findings confirm that personalized longitudinal VAF tracking via digital PCR provides superior prognostic value, serving as a robust tool for recurrence monitoring in personalized CRC therapy. Full article
(This article belongs to the Special Issue Utilization of Liquid Biopsy in Cancer Diagnosis and Management 2025)
Show Figures

Figure 1

10 pages, 1795 KB  
Case Report
CDX2 Expression and Fluoropyrimidine Response in Rare Non-GI Tumors: A Three-Case Series
by Riham Suleiman, Andrea Dipp Garcia, Binav Baral, Thorvardur Halfdanarson and Harry Fuentes-Bayne
Curr. Oncol. 2026, 33(2), 126; https://doi.org/10.3390/curroncol33020126 - 21 Feb 2026
Viewed by 276
Abstract
Caudal type homeobox 2 (CDX2) is an intestine-specific transcription factor that serves as a diagnostic marker of enteric differentiation and may also reflect tumor behavior and therapeutic susceptibility. Emerging evidence suggests that CDX2 expression may predict sensitivity to fluoropyrimidine-based therapy independent of tissue [...] Read more.
Caudal type homeobox 2 (CDX2) is an intestine-specific transcription factor that serves as a diagnostic marker of enteric differentiation and may also reflect tumor behavior and therapeutic susceptibility. Emerging evidence suggests that CDX2 expression may predict sensitivity to fluoropyrimidine-based therapy independent of tissue of origin. We report a retrospective case series of three patients with metastatic adenocarcinoma (aggressive variant prostate, minor salivary gland, and intestinal-type sinonasal tract) exhibiting strong CDX2 nuclear expression. In all cases, tumors were refractory to or lacked established standard systemic therapy. Treatment decisions were informed by the CDX2-positive enteric phenotype, leading to the initiation of fluoropyrimidine-based regimens. Response was assessed using PET-CT and MRI. All three patients achieved marked metabolic and clinical responses, including a sustained complete metabolic response in the prostate cancer case and durable disease control in the salivary gland and sinonasal tumors. These findings highlight CDX2 as a potential biomarker requiring validation, which may identify tumors intrinsically susceptible to fluoropyrimidines regardless of anatomical origin. CDX2 immunohistochemistry is widely available and inexpensive, and may complement genomic profiling in rare malignancies or in settings where standard treatment algorithms are limited. This report is hypothesis-generating and not intended to estimate response rates or treatment efficacy. Full article
(This article belongs to the Section Oncology Biomarkers)
Show Figures

Figure 1

16 pages, 1545 KB  
Article
Acetate Metabolism in Thyroid Cancer Progression
by Enke Baldini, Silvia Cardarelli, Eleonora Lori, Poupak Fallahi, Camilla Virili, Marco Centanni, Vito D’Andrea, Alessandro Antonelli, Salvatore Sorrenti and Salvatore Ulisse
Int. J. Mol. Sci. 2026, 27(4), 2013; https://doi.org/10.3390/ijms27042013 - 20 Feb 2026
Viewed by 477
Abstract
In recent years, several studies have highlighted the ability of malignant cells to use acetate as an alternative energy and biosynthetic source to glucose. In this context, the present study aimed at characterizing the expression profile of genes involved in acetate metabolism in [...] Read more.
In recent years, several studies have highlighted the ability of malignant cells to use acetate as an alternative energy and biosynthetic source to glucose. In this context, the present study aimed at characterizing the expression profile of genes involved in acetate metabolism in thyroid carcinomas. To this end, we analyzed molecular and clinical data from 496 papillary thyroid cancers (PTCs) and 59 normal thyroid tissues from The Cancer Genome Atlas (TGCA). In addition, we examined 57 PTCs and matched normal tissues, and six anaplastic thyroid carcinomas (ATCs) collected in our institutions, using real time RT-PCR. The results show a downregulation of ACSS1, ACSS2, ACACB, PDHA1, SLC16A3 and SLC16A7 genes in PTCs compared with normal tissues, some of which were significantly lower in BRAF-mutated tumors, the more aggressive tall cell variant, and larger and/or metastatic PTCs. Overall, these findings point to a reduction in mitochondrial oxidative pathways that was more evident in advanced or aggressive disease forms. In ATCs, ACSS2 was the only upregulated gene, suggesting further tumor adaptation to the metabolic stress of rapidly growing cancers. In conclusion, our study demonstrates a dysregulated expression pattern of multiple genes involved in acetate metabolism, which could be exploited for the development of new therapeutic strategies. Full article
(This article belongs to the Special Issue Translational Oncology: From Molecular Basis to Therapy)
Show Figures

Figure 1

36 pages, 2301 KB  
Review
Cancer Stemness and Dedifferentiation in Anaplastic Thyroid Carcinoma: Insights into a Multigenic, Microenvironmental Network and the Role of CD44
by Benny Mosoane, Brandon S. Jackson, Michelle McCabe, Tebogo Marutha and Zodwa Dlamini
Biomedicines 2026, 14(2), 453; https://doi.org/10.3390/biomedicines14020453 - 18 Feb 2026
Viewed by 560
Abstract
Anaplastic thyroid carcinoma (ATC) is an aggressive and lethal malignancy that carries a poor prognosis. Moreover, there are limited therapeutic options for managing ATC. There is increasing evidence that implicates the role of cancer stem cells (CSCs) in the processes of dedifferentiation in [...] Read more.
Anaplastic thyroid carcinoma (ATC) is an aggressive and lethal malignancy that carries a poor prognosis. Moreover, there are limited therapeutic options for managing ATC. There is increasing evidence that implicates the role of cancer stem cells (CSCs) in the processes of dedifferentiation in the progression, therapeutic resistance, and metastatic potential of ATC. In this review, we integrate the molecular and cellular insights into the CSCs paradigm in ATC to highlight the role of stemness-associated markers that include CD44, CD133, and ALDH1. We put special emphasis on the role of CD44 and its variant isoforms (CD44v), which play a role in the interface of cancer stemness, tumour microenvironment crosstalk, modulation of epithelial–mesenchymal transition (EMT), chemoresistance, and metastasis. The contribution of signalling pathways (PI3K/AKT/mTOR, MAPK, Notch, Wnt/β-catenin, and Hedgehog) to hypoxia, cancer-associated fibroblasts (CAFs), and tumour-associated macrophages (TAMs) in sustaining CSC niches will be discussed. The review explores advances in molecular diagnostics, imaging technologies, and targeted therapeutic strategies with the potential to disrupt CSC-driven tumour maintenance. Through integration of multigenic, epigenetic, and microenvironmental perspectives, this review highlights the potential necessity of CSC-targeted and combination therapies to improve disease outcomes in ATC. Full article
(This article belongs to the Special Issue State-of-the-Art Endocrine Cancer Biology and Oncology)
Show Figures

Figure 1

23 pages, 1072 KB  
Review
PD-L1 Expression in Prostate Cancer: Anatomopathological Features, Methodological Pitfalls, and Therapeutic Potential
by Ludovica Pepe, Cristina Pizzimenti, Pietro Tralongo, Valeria Zuccalà, Antonio Ieni, Pietro Pepe, Gabriele Ricciardi, Vincenzo Cianci, Cristina Mondello, Maurizio Martini, Guido Fadda and Vincenzo Fiorentino
Int. J. Mol. Sci. 2026, 27(4), 1797; https://doi.org/10.3390/ijms27041797 - 13 Feb 2026
Viewed by 469
Abstract
Programmed death-ligand 1 (PD-L1) has become a central biomarker and therapeutic target across multiple solid tumors, yet its clinical meaning in prostate cancer (PCa) remains unsettled. PCa is commonly described as an immunologically ‘cold’ malignancy, characterized by limited baseline cytotoxic T-cell infiltration and [...] Read more.
Programmed death-ligand 1 (PD-L1) has become a central biomarker and therapeutic target across multiple solid tumors, yet its clinical meaning in prostate cancer (PCa) remains unsettled. PCa is commonly described as an immunologically ‘cold’ malignancy, characterized by limited baseline cytotoxic T-cell infiltration and a tumor microenvironment (TME) shaped by myeloid-driven suppression and low neoantigen load in many cases. Against this background, PD-L1 expression in PCa is typically low in untreated primary tumors but can increase in aggressive variants, advanced stages, and metastatic castration-resistant disease, where therapy pressure and microenvironmental cues may select for immune-evasive phenotypes. The literature is further complicated by major analytic variability, including differences in antibody clones and platforms, scoring algorithms (tumor proportion score, combined positive score, immune-cell scoring), cut-offs, tissue sites and timing, and pre-analytical variables such as fixation and decalcification. Collectively, available studies suggest that higher PD-L1 expression tends to be associated with adverse clinicopathological features and may enrich for responses to immune checkpoint inhibitors in selected settings, but PD-L1 immunohistochemistry alone is insufficient as a stand-alone predictive tool in unselected patients. This review synthesizes the biological drivers of PD-L1 regulation in PCa, dissects key methodological sources of heterogeneity in PD-L1 assessment, summarizes clinicopathological and therapeutic correlations, and outlines emerging biomarkers and approaches (including mismatch repair deficiency/microsatellite instability, tumor mutational burden, gene-expression signatures, liquid biopsies, and neuro-immune interactions) that may enable more actionable patient stratification. Full article
(This article belongs to the Special Issue Pathogenesis and Treatment of Prostate Cancer)
Show Figures

Figure 1

11 pages, 10725 KB  
Case Report
Anaplastic Thyroid Carcinoma and High-Grade Tall Cell Papillary Thyroid Carcinoma: Case Report of a Rare Association
by Catalin-Bogdan Satala, Alina-Mihaela Gurau, Gabriela Patrichi and Daniela Mihalache
Reports 2026, 9(1), 56; https://doi.org/10.3390/reports9010056 - 10 Feb 2026
Viewed by 324
Abstract
Background and Clinical Significance: Anaplastic thyroid carcinoma (ATC) is a highly aggressive malignancy that may arise through dedifferentiation from pre-existing differentiated thyroid carcinomas. The tall cell subtype of papillary thyroid carcinoma (TC-PTC) represents an aggressive variant that has been involved in this [...] Read more.
Background and Clinical Significance: Anaplastic thyroid carcinoma (ATC) is a highly aggressive malignancy that may arise through dedifferentiation from pre-existing differentiated thyroid carcinomas. The tall cell subtype of papillary thyroid carcinoma (TC-PTC) represents an aggressive variant that has been involved in this tumor progression pathway. Case Presentation: We report on a rare case of ATC developed in association with a high-grade TC-PTC. A 67-year-old man presented with an enlarging anterior cervical mass. Imaging identified a suspicious nodule in the right thyroid lobe, and total thyroidectomy was performed. Histologic examination revealed a biphasic tumor composed of a nodular TC-PTC with high-grade features, contiguous with an infiltrative anaplastic carcinoma component. The anaplastic component showed marked pleomorphism, loss of thyroid differentiation markers, and an increased ki67 proliferation index. Multinucleated giant cells exhibited aberrant CD68 expression, without proliferative activity. Conclusions: This case illustrates the morphologic association between tall cell papillary thyroid carcinoma with high-grade features and anaplastic thyroid carcinoma, emphasizing diagnostic considerations within the framework of the WHO 5th edition classification. Full article
Show Figures

Figure 1

Back to TopTop