Sign in to use this feature.

Years

Between: -

Subjects

remove_circle_outline
remove_circle_outline
remove_circle_outline
remove_circle_outline
remove_circle_outline
remove_circle_outline
remove_circle_outline
remove_circle_outline

Journals

Article Types

Countries / Regions

Search Results (41)

Search Parameters:
Keywords = aerodynamic parameter identification

Order results
Result details
Results per page
Select all
Export citation of selected articles as:
22 pages, 2709 KB  
Article
SPL-Based Modeling of Serrated Airfoil Noise via Functional Regression and Ensemble Learning
by Andrei-George Totu, Daniel-Eugeniu Crunțeanu, Luminița Drăgășanu, Grigore Cican and Constantin Levențiu
Computation 2025, 13(9), 203; https://doi.org/10.3390/computation13090203 - 22 Aug 2025
Viewed by 461
Abstract
This study presents a semi-empirical approach to generalizing the acoustic radiation generated by serrated airfoil configurations, based on small-scale aerodynamic/acoustic experiments and functional regression techniques. In the context of passive noise reduction strategies, such as leading-edge and trailing-edge serrations, acoustic measurements are performed [...] Read more.
This study presents a semi-empirical approach to generalizing the acoustic radiation generated by serrated airfoil configurations, based on small-scale aerodynamic/acoustic experiments and functional regression techniques. In the context of passive noise reduction strategies, such as leading-edge and trailing-edge serrations, acoustic measurements are performed in a controlled subsonic wind tunnel environment. Sound pressure level (SPL) spectra and acoustic power metrics are acquired for various geometric configurations and flow conditions. These spectral data are then analyzed using regression-based modeling techniques—linear, quadratic, logarithmic, and exponential forms—to capture the dependence of acoustic emission on key geometric and flow-related variables (e.g., serration amplitude, wavelength, angle of attack), without relying explicitly on predefined nondimensional numbers. The resulting predictive models aim to describe SPL behavior across relevant frequency bands (e.g., broadband or 1/3 octave) and to extrapolate acoustic trends for configurations beyond those tested. The proposed methodology allows for the identification of compact functional relationships between configuration parameters and acoustic output, offering a practical tool for the preliminary design and optimization of low-noise serrated profiles. The findings are intended to support both physical understanding and engineering application, bridging experimental data and parametric acoustic modeling in aerodynamic noise control. Full article
(This article belongs to the Section Computational Engineering)
Show Figures

Graphical abstract

25 pages, 5316 KB  
Article
Aircraft System Identification Using Multi-Stage PRBS Optimal Inputs and Maximum Likelihood Estimator
by Muhammad Fawad Mazhar, Muhammad Wasim, Manzar Abbas, Jamshed Riaz and Raees Fida Swati
Aerospace 2025, 12(2), 74; https://doi.org/10.3390/aerospace12020074 - 21 Jan 2025
Cited by 2 | Viewed by 1691
Abstract
A new method to discover open-loop, unstable, longitudinal aerodynamic parameters, using a ‘two-stage optimization approach’ for designing optimal inputs, and with an application on the fighter aircraft platform, has been presented. System identification of supersonic aircraft requires formulating optimal inputs due to the [...] Read more.
A new method to discover open-loop, unstable, longitudinal aerodynamic parameters, using a ‘two-stage optimization approach’ for designing optimal inputs, and with an application on the fighter aircraft platform, has been presented. System identification of supersonic aircraft requires formulating optimal inputs due to the extremely limited maneuver time, high angles of attack, restricted flight conditions, and the demand for an enhanced computational effect. A pre-requisite of the parametric model identification is to have a priori aerodynamic parameter estimates, which were acquired using linear regression and Least Squares (LS) estimation, based upon simulated time histories of outputs from heuristic inputs, using an F-16 Flight Dynamic Model (FDM). In the ‘first stage’, discrete-time pseudo-random binary signal (PRBS) inputs were optimized using a minimization algorithm, in accordance with aircraft spectral features and aerodynamic constraints. In the ‘second stage’, an innovative concept of integrating the Fisher Informative Matrix with cost function based upon D-optimality criteria and Crest Factor has been utilized to further optimize the PRBS parameters, such as its frequency, amplitude, order, and periodicity. This unique optimum design also solves the problem of non-convexity, model over-parameterization, and misspecification; these are usually caused by the use of traditional heuristic (doublets and multistep) optimal inputs. After completing the optimal input framework, parameter estimation was performed using Maximum Likelihood Estimation. A performance comparison of four different PRBS inputs was made as part of our investigations. The model performance was validated by using statistical metrics, namely the following: residual analysis, standard errors, t statistics, fit error, and coefficient of determination (R2). Results have shown promising model predictions, with an accuracy of more than 95%, by using a Single Sequence Band-limited PRBS optimum input. This research concludes that, for the identification of the decoupled longitudinal Linear Time Invariant (LTI) aerodynamic model of supersonic aircraft, optimum PRBS shows better results than the traditional frequency sweeps, such as multi-sine, doublets, square waves, and impulse inputs. This work also provides the ability to corroborate control and stability derivatives obtained from Computational Fluid Dynamics (CFD) and wind tunnel testing. This further refines control law design, dynamic analysis, flying qualities assessments, accident investigations, and the subsequent design of an effective ground-based training simulator. Full article
(This article belongs to the Special Issue Flight Dynamics, Control & Simulation (2nd Edition))
Show Figures

Figure 1

24 pages, 4216 KB  
Article
Improvement of a Free-Wake Model for the Aerodynamic and Aeroacoustic Analysis of a Small-Scale Two-Bladed Propeller in Hover
by Manuel Iannotta, Antonio Visingardi, Domenico Quagliarella, Fabrizio De Gregorio, Mattia Barbarino and Alex Zanotti
Aerospace 2025, 12(1), 5; https://doi.org/10.3390/aerospace12010005 - 25 Dec 2024
Cited by 3 | Viewed by 1393
Abstract
The aim of the present work is the improvement of a free-wake model for the analysis of a small-scale two-bladed propeller in hover. The simulations are carried out using a BEM approach implemented in the medium-fidelity solver RAMSYS. An acoustic validation is also [...] Read more.
The aim of the present work is the improvement of a free-wake model for the analysis of a small-scale two-bladed propeller in hover. The simulations are carried out using a BEM approach implemented in the medium-fidelity solver RAMSYS. An acoustic validation is also performed using the developed tool ACO-FWH. The work proves that even mild discrepancies in the propeller geometry must be accounted for as their influence is not negligible, especially on the aeroacoustics of the propeller. In particular, the proper modeling of the blades enables the correct identification of the sub-harmonics of the SPL spectra. An optimization procedure based on the application of the evolutionary Genetic Algorithm is followed to identify the values of the parameters describing the dissipative and diffusive properties in the Bhagwat–Leishman vortex core model, an upgraded version of the classical Lamb–Oseen one. On average, this approach enabled the further improvement of the accuracy of the numerical model in terms of acoustic signature evaluation with respect to the one obtained by only modeling blade dissimilarities. The results obtained demonstrate the promising capabilities of a fine-tuned free-wake medium-fidelity approach to simulate the aerodynamic and acoustic details of a small-scale propeller in hover, provided the accurate geometrical modeling of the propeller and the selection of suitable parameters to be used in the wake modeling. Full article
Show Figures

Figure 1

17 pages, 6603 KB  
Article
Parameter Identification of an Unmanned Sailboat Combining Experiments and Numerical Analysis
by Yifan Chen, Shuo Liu, Tian Xie, Zhaozhao Zhang, Yu Zhang, Wanglin Lin, Kaiyou Jiang and Tao Wang
J. Mar. Sci. Eng. 2024, 12(12), 2226; https://doi.org/10.3390/jmse12122226 - 4 Dec 2024
Cited by 2 | Viewed by 1083
Abstract
It is meaningful to develop an accurate model to predict the dynamical motion of an unmanned sailboat. Considering cost and convenience, this work proposes a parameter identification method based on the combination of experiments and numerical analysis. Firstly, a free-running trial is carried [...] Read more.
It is meaningful to develop an accurate model to predict the dynamical motion of an unmanned sailboat. Considering cost and convenience, this work proposes a parameter identification method based on the combination of experiments and numerical analysis. Firstly, a free-running trial is carried out by utilizing the propellers on the studied sailboat to acquire real navigation information. Secondly, particle swarm optimization (PSO), which is highly efficient and easily implemented, is designed to acquire the hydrodynamic parameters of the sailboat’s hull. At the same time, the aerodynamic parameters of the sail are acquired by computational fluid dynamics (CFD) simulation. Finally, a three degree-of-freedom (DOF) model is established, the effectiveness of which is verified through comparisons between sea trials and simulation. The results prove that this parameter identification method has the desired accuracy and reliability. Full article
(This article belongs to the Section Ocean Engineering)
Show Figures

Figure 1

28 pages, 5287 KB  
Article
Bayesian Identification of High-Performance Aircraft Aerodynamic Behaviour
by Muhammad Fawad Mazhar, Syed Manzar Abbas, Muhammad Wasim and Zeashan Hameed Khan
Aerospace 2024, 11(12), 960; https://doi.org/10.3390/aerospace11120960 - 21 Nov 2024
Cited by 3 | Viewed by 1113
Abstract
In this paper, nonlinear system identification using Bayesian network has been implemented to discover open-loop lateral-directional aerodynamic model parameters of an agile aircraft using a grey box modelling structure. Our novel technique has been demonstrated on simulated flight data from an F-16 nonlinear [...] Read more.
In this paper, nonlinear system identification using Bayesian network has been implemented to discover open-loop lateral-directional aerodynamic model parameters of an agile aircraft using a grey box modelling structure. Our novel technique has been demonstrated on simulated flight data from an F-16 nonlinear simulation of its Flight Dynamic Model (FDM). A mathematical model has been obtained using time series analysis of a Box–Jenkins (BJ) model structure, and parameter refinement has been performed using Bayesian mechanics. The aircraft nonlinear Flight Dynamic Model is adequately excited with doublet inputs, as per the dictates of its natural frequency, in accordance with non-parametric modelling (Finite Impulse Response) estimates. Time histories of optimized doublet inputs in the form of aileron and rudder deflections, and outputs in the form of roll and yaw rates are recorded. Dataset is pre-processed by implementing de-trending, smoothing, and filtering techniques. Blend of System Identification time-domain grey box modelling structures to include Output Error (OE) and Box–Jenkins (BJ) Models are stage-wise implemented in multiple flight conditions under varied stochastic models. Furthermore, a reduced order parsimonious model is obtained using Akaike information Criteria (AIC). Parameter error minimization activity is conducted using the Levenberg–Marquardt (L-M) Algorithm, and parameter refinement is performed using the Bayesian Algorithm due to its natural connection with grey box modelling. Comparative analysis of different nonlinear estimators is performed to obtain best estimates for the lateral–directional aerodynamic model of supersonic aircraft. Model Quality Assessment is conducted through statistical techniques namely: Residual Analysis, Best Fit Percentage, Fit Percentage Error, Mean Squared Error, and Model order. Results have shown promising one-step model predictions with an accuracy of 96.25%. Being a sequel to our previous research work for postulating longitudinal aerodynamic model of supersonic aircraft, this work completes the overall aerodynamic model, further leading towards insight to its flight control laws and subsequent simulator design. Full article
(This article belongs to the Section Aeronautics)
Show Figures

Graphical abstract

22 pages, 4028 KB  
Article
Longitudinal Motion System Identification of a Fixed-Wing Unmanned Aerial Vehicle Using Limited Unplanned Flight Data
by Nuno M. B. Matos and André C. Marta
Aerospace 2024, 11(12), 959; https://doi.org/10.3390/aerospace11120959 - 21 Nov 2024
Cited by 2 | Viewed by 1963
Abstract
Acquiring knowledge of aircraft flight dynamics is crucial for simulation, control, mission performance and safety assurance analysis. In the fast-paced UAV market, long flight testing campaigns are hard to achieve, leaving limited controlled flight data and a significant amount of unplanned flight data. [...] Read more.
Acquiring knowledge of aircraft flight dynamics is crucial for simulation, control, mission performance and safety assurance analysis. In the fast-paced UAV market, long flight testing campaigns are hard to achieve, leaving limited controlled flight data and a significant amount of unplanned flight data. This work delves into the application of system identification techniques on unplanned flight data when faced with a shortage of dedicated flight test data. Based on a medium-sized, fixed-wing UAV, it focuses on the system identification of longitudinal dynamics using structural routine flight test data of pitch down and pitch up manoeuvres with no specific guidelines for the control inputs given. The proposed solution uses first- and second-order parameter-based models to build a non-linear dynamic model which, using a least square error optimisation algorithm in a time domain formulation, has its parameters tuned to converge the model behaviour with the real aircraft dynamics. The optimisation uses a combination of pitch, altitude, airspeed and pitch rate responses as a measure of model accuracy. Very significant improvements regarding the UAV model response are found when trimmed flight manoeuvres are used, resulting in proper estimation of important aerodynamic and control derivatives. Pitching moment and control derivatives are shown to be the crucial parameters. However, difficulties in estimation are shown for untrimmed flight manoeuvres. Better results were obtained when using multiple manoeuvres simultaneously in the optimisation error metric, as opposed to single manoeuvres that led to system bias. The proposed system identification procedure can be applied to any fixed-wing UAV without the need for specific flight testing campaigns. Full article
(This article belongs to the Section Aeronautics)
Show Figures

Figure 1

20 pages, 6572 KB  
Article
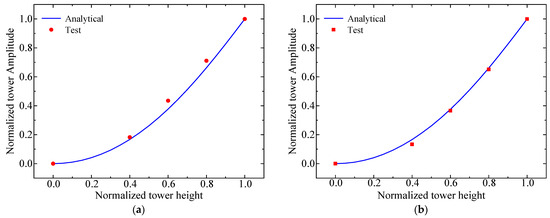
Study on the Dynamic Characteristics of a Wind Turbine Tower Based on Wind Tunnel Experiments
by Yong Yao, Chi Yu, Mumin Rao, Zhaowei Wang, Xugang Hua and Chao Chen
Energies 2024, 17(16), 4080; https://doi.org/10.3390/en17164080 - 16 Aug 2024
Viewed by 1823
Abstract
This study aims to comprehensively investigate the dynamic characteristics of the tower of a scaled wind turbine model through wind tunnel tests. A model was scaled from the NREL 5 MW prototype wind turbine with a geometric scale ratio of 1/75, based on [...] Read more.
This study aims to comprehensively investigate the dynamic characteristics of the tower of a scaled wind turbine model through wind tunnel tests. A model was scaled from the NREL 5 MW prototype wind turbine with a geometric scale ratio of 1/75, based on the similarity rules in thrust coefficient and dynamic characteristics. A series of wind tunnel tests were carried out on the scaled wind turbine model under different operating conditions and parked conditions with different yaw angles, and the modal parameters of the scaled model were identified by the stochastic subspace identification method and rotor stop tests. It was found that the vibration response of the tower in the fore–aft direction achieved its maximum value when the yaw angle was 90° with feathered blades, while the tower vibration response in the side–side direction was relatively severe with the yaw angle ranging from 10° to 50°. These observations are found to be well aligned with the aerodynamic characteristics of the airfoil. Moreover, the experimental results indicate that the scaled wind turbine model can reflect the vibration responses of its full-scale counterpart in the fore–aft direction. The natural frequencies and mode shapes of the scaled model can be accurately identified by different methods, but the identified damping ratios are relatively scattered. Full article
(This article belongs to the Section A3: Wind, Wave and Tidal Energy)
Show Figures

Figure 1

16 pages, 6505 KB  
Article
Passive Control of Vortices in the Wake of a Bluff Body
by Marek Pátý, Michael Valášek, Emanuele Resta, Roberto Marsilio and Michele Ferlauto
Fluids 2024, 9(6), 131; https://doi.org/10.3390/fluids9060131 - 31 May 2024
Viewed by 1757
Abstract
Vortices belong to the most important phenomena in fluid dynamics and play an essential role in many engineering applications. They can act detrimentally by harnessing the flow energy and reducing the efficiency of an aerodynamic device, whereas in other cases, their presence can [...] Read more.
Vortices belong to the most important phenomena in fluid dynamics and play an essential role in many engineering applications. They can act detrimentally by harnessing the flow energy and reducing the efficiency of an aerodynamic device, whereas in other cases, their presence can be exploited to achieve targeted flow conditions. The control of the vortex parameters is desirable in both cases. In this paper, we introduce an optimization strategy for the control of vortices in the wake of a bluff body. Flow modelling is based on RANS and DES computations, validated by experimental data. The algorithm for vortex identification and characterization is based on the triple decomposition of motion. It produces a quantitative measure of vortex strength which is used to define the objective function in the optimization procedure. It is shown how the shape of an aerodynamic device can be altered to achieve the desired characteristics of vortices in its wake. The studied case is closely related to flame holders for combustion applications, but the conceptual approach has a general applicability to vortex control. Full article
Show Figures

Figure 1

13 pages, 487 KB  
Article
Volterra Black-Box Models Identification Methods: Direct Collocation vs. Least Squares
by Denis Sidorov, Aleksandr Tynda, Vladislav Muratov and Eugeny Yanitsky
Mathematics 2024, 12(2), 227; https://doi.org/10.3390/math12020227 - 10 Jan 2024
Cited by 5 | Viewed by 1473
Abstract
The Volterra integral-functional series is the classic approach for nonlinear black box dynamical system modeling. It is widely employed in many domains including radiophysics, aerodynamics, electronic and electrical engineering and many others. Identifying the time-varying functional parameters, also known as Volterra kernels, poses [...] Read more.
The Volterra integral-functional series is the classic approach for nonlinear black box dynamical system modeling. It is widely employed in many domains including radiophysics, aerodynamics, electronic and electrical engineering and many others. Identifying the time-varying functional parameters, also known as Volterra kernels, poses a difficulty due to the curse of dimensionality. This refers to the exponential growth in the number of model parameters as the complexity of the input-output response increases. The least squares method (LSM) is widely acknowledged as the standard approach for tackling the issue of identifying parameters. Unfortunately, the LSM suffers with many drawbacks such as the sensitivity to outliers causing biased estimation, multicollinearity, overfitting and inefficiency with large datasets. This paper presents an alternative approach based on direct estimation of the Volterra kernels using the collocation method. Two model examples are studied. It is found that the collocation method presents a promising alternative for optimization, surpassing the traditional least squares method when it comes to the Volterra kernels identification including the case when input and output signals suffer from considerable measurement errors. Full article
Show Figures

Figure 1

21 pages, 909 KB  
Article
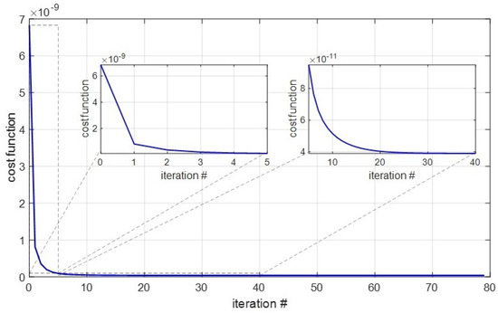
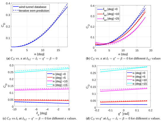
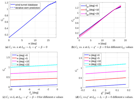
Development of Aerodynamic and Propulsion Models Using the Iterative Equation Error Method
by Murat Millidere, Ferhat Akgül, Kemal Leblebicioğlu and James F. Whidborne
Aerospace 2024, 11(1), 8; https://doi.org/10.3390/aerospace11010008 - 21 Dec 2023
Viewed by 2234
Abstract
For developing high-fidelity flight simulations, an accurate and complete representation of the aerodynamic characteristics of the aircraft is necessary. To obtain a realistic aerodynamic database, system identification methods can be used to describe the applied forces and moments acting on the aircraft. This [...] Read more.
For developing high-fidelity flight simulations, an accurate and complete representation of the aerodynamic characteristics of the aircraft is necessary. To obtain a realistic aerodynamic database, system identification methods can be used to describe the applied forces and moments acting on the aircraft. This study is based on simulated flight test data from a nonlinear simulation of the F-16 aircraft. It is demonstrated that the complete set of aerodynamic coefficients can be reconstructed from the flight test data. Thrust forces and moments are obtained from ground tests. A practical system identification methodology based on the iterative equation error method to determine the nonlinear aerodynamic and engine thrust models in the absence of engine manufacturer data is developed. The estimated values obtained using the method are compared with the actual parameter values. A mathematical engine model that can be used to estimate the thrust force for any flight condition is also developed. The findings demonstrate that the proposed method yields accurate results. The developed methodology is well-suited for the identification of isolated aerodynamic drag and lift coefficients and the thrust model. Full article
Show Figures

Figure 1

13 pages, 2603 KB  
Article
Research on Variable-Step-Size Adaptive Filter Algorithm with a Momentum Term
by Binbin Li, Bo Lu, Xiping Kou, Yang Shi, Li Yu, Hongtao Guo, Binbin Lv and Kaichun Zeng
Appl. Sci. 2023, 13(21), 12077; https://doi.org/10.3390/app132112077 - 6 Nov 2023
Viewed by 3121
Abstract
To address the contradiction between the convergence error and convergence rate in the LMS algorithm, this study proposes a variable-step-size adaptive filter algorithm with a momentum term based on the logistic function. First, the normalization LMS algorithm is obtained by seeking the extremum [...] Read more.
To address the contradiction between the convergence error and convergence rate in the LMS algorithm, this study proposes a variable-step-size adaptive filter algorithm with a momentum term based on the logistic function. First, the normalization LMS algorithm is obtained by seeking the extremum under the Lagrange function constraint. Second, to reduce the convergence error of the algorithm, the logistic model is used as a function model of step size variation with error, resulting in a variable-step normalization LMS algorithm. Our experimental results demonstrate that this algorithm achieves smaller convergence errors compared to those of the traditional LMS algorithm. Finally, to further improve the convergence rate of the algorithm, a momentum term is introduced into the weight coefficient update process of the LMS algorithm. This leads to the development of a variable-step adaptive filter algorithm with a momentum term based on the logistic function. The impact of different parameters on the algorithm performance is also investigated. In order to verify the rationality of the proposed algorithm, a dynamic system mathematical model was identified using the proposed algorithm. The results showed that the proposed algorithm had an identification accuracy of over 97% for the mathematical model parameters and a suppression of over 99% for noise. In order to verify the engineering application value of the proposed algorithm, real-time vibration data fitting experiments were conducted in the Aeroelasticity Laboratory of the China Aerodynamics Research and Development Center, and their results were compared with three algorithms: ARMAX, N4SID, and LMS. The results showed that the proposed algorithm had a higher fitting accuracy than the three others. Through simulations and experiments, it is demonstrated that this study has value both theoretically and in engineering applications, promoting engineering applications of adaptive filtering algorithms and providing strong support for the research of adaptive control. Full article
Show Figures

Figure 1

20 pages, 3062 KB  
Article
Time-Domain Identification Method Based on Data-Driven Intelligent Correction of Aerodynamic Parameters of Fixed-Wing UAV
by Dapeng Yang, Jianwen Zang, Jun Liu and Kai Liu
Drones 2023, 7(9), 594; https://doi.org/10.3390/drones7090594 - 21 Sep 2023
Cited by 3 | Viewed by 2089
Abstract
In order to overcome the influence of complex environmental disturbance factors such as nonlinear time-varying characteristics on the dynamic control performance of small fixed-wing UAVs, the nonlinear expression relationship of neural networks (NNs) is combined with the recursive least squares (RLSs) identification algorithm. [...] Read more.
In order to overcome the influence of complex environmental disturbance factors such as nonlinear time-varying characteristics on the dynamic control performance of small fixed-wing UAVs, the nonlinear expression relationship of neural networks (NNs) is combined with the recursive least squares (RLSs) identification algorithm. This paper proposes a hybrid aerodynamic parameter identification method based on NN-RLS offline network training and online learning correction. The simulation results show that compared with the real value of the identification value obtained by this algorithm, the residual error of the moment coefficient is reduced by 69%, and the residual error of the force coefficient is reduced by 89%. Under the same identification accuracy, the identification time is shortened from the original 0.1 s to 0.01 s. Compared with traditional identification algorithms, better estimation results can be obtained. By using this algorithm to continuously update the NN model and iterate repeatedly, iterative learning for complex dynamic models can be realized, providing support for the optimization of UAV control schemes. Full article
Show Figures

Figure 1

20 pages, 5430 KB  
Article
Estimation of Fuel Consumption through PID Signals Using the Real Emissions Cycle in the City of Quito, Ecuador
by Paúl Andrés Molina Campoverde
Sustainability 2023, 15(16), 12474; https://doi.org/10.3390/su151612474 - 16 Aug 2023
Cited by 4 | Viewed by 2270
Abstract
In Ecuador, according to data from the Ministry of Energy, the internal combustion engine is the largest consumer of fossil fuels. For this reason, it is important to identify and develop proposals in the literature that enable the prediction of vehicle fuel consumption [...] Read more.
In Ecuador, according to data from the Ministry of Energy, the internal combustion engine is the largest consumer of fossil fuels. For this reason, it is important to identify and develop proposals in the literature that enable the prediction of vehicle fuel consumption in both the laboratory and on the road. To accomplish this, real driving emissions (RDEs) need to be contrasted against the development of an algorithm that characterizes forces that oppose such proposals. From experimental tests, fuel consumption information was collected through a flow meter connected to the fuel line and the engine’s characteristic curves were obtained through a chassis dynamometer. Then, from the parameter identification data (PID), the most important predictors were established through an ANOVA analysis. For the acquired variables, a neural network was implemented that could predict 99% of the estimates and present a relative error lower than 5% compared to common methods. Additionally, an algorithm was developed to calculate fuel consumption as a function of the gear, inertial forces, rolling resistance, slope, and aerodynamic force. Full article
(This article belongs to the Special Issue Thermal Technologies and Applications in Renewable Energy)
Show Figures

Figure 1

25 pages, 1836 KB  
Article
Machine-Learning-Enabled Foil Design Assistant
by Konstantinos V. Kostas and Maria Manousaridou
J. Mar. Sci. Eng. 2023, 11(7), 1470; https://doi.org/10.3390/jmse11071470 - 23 Jul 2023
Cited by 6 | Viewed by 2668
Abstract
In this work, supervised Machine Learning (ML) techniques were employed to solve the forward and inverse problems of airfoil and hydrofoil design. The forward problem pertains to the prediction of a foil’s aerodynamic or hydrodynamic performance given its geometric description, whereas the inverse [...] Read more.
In this work, supervised Machine Learning (ML) techniques were employed to solve the forward and inverse problems of airfoil and hydrofoil design. The forward problem pertains to the prediction of a foil’s aerodynamic or hydrodynamic performance given its geometric description, whereas the inverse problem calls for the identification of the geometric profile exhibiting a given set of performance indices. This study begins with the consideration of multivariate linear regression as the base approach in addressing the requirements of the two problems, and it then proceeds with the training of a series of Artificial Neural Networks (ANNs) in predicting performance (lift and drag coefficients over a range of angles of attack) and geometric design (foil profiles), which were subsequently compared to the base approach. Two novel components were employed in this study: a high-level parametric model for foil design and geometric moments, which, as we will demonstrate in this work, had a significant beneficial impact on the training and effectiveness of the resulting ANNs. Foil parametric models have been widely used in the pertinent literature for reconstructing, modifying, and representing a wide range of airfoil and hydrofoil profile geometries. The parametric model employed in this work uses a relatively small number of parameters, 17, to describe uniquely and accurately a large dataset of profile shapes. The corresponding design vectors, coupled with the foils’ geometric moments, constitute the training input from the forward ML models. Similarly, performance curves (lift and drag over a range of angles of attack) and their corresponding moments make up the input for the models used in the inverse problem. The effect of various training datasets and training methods in the predictive power of the resulting ANNs was examined in detail. The use of the best-performing ML models is then demonstrated in two relevant design scenarios. The first scenario involved a software application, the Design Foil Assistant, which allows real-time evaluation of foil designs and the identification of designs exhibiting a set of given aerodynamic or hydrodynamic parameters. The second case benchmarked the use of ML-enabled, performance-based design optimization against traditional foil design optimization carried out with classical computational analysis tools. It is demonstrated that a user-friendly real-time design assistant can be easily implemented and deployed with the identified models, whereas significant time savings with adequate accuracy can be achieved when ML tools are employed in design optimization. Full article
(This article belongs to the Special Issue Machine Learning and Modeling for Ship Design)
Show Figures

Figure 1

27 pages, 7064 KB  
Article
Intelligent Identification and Verification of Flutter Derivatives and Critical Velocity of Closed-Box Girders Using Gradient Boosting Decision Tree
by Neyu Chen, Yaojun Ge and Claudio Borri
Atmosphere 2023, 14(7), 1165; https://doi.org/10.3390/atmos14071165 - 18 Jul 2023
Cited by 4 | Viewed by 2282
Abstract
Flutter derivatives (FDs) of the bridge deck are basic aerodynamic parameters by which flutter analysis determines critical flutter velocity (CFV), and they are traditionally identified by sectional model wind tunnel tests or computational fluid dynamics (CFD) numerical simulation. Based on some wind tunnel [...] Read more.
Flutter derivatives (FDs) of the bridge deck are basic aerodynamic parameters by which flutter analysis determines critical flutter velocity (CFV), and they are traditionally identified by sectional model wind tunnel tests or computational fluid dynamics (CFD) numerical simulation. Based on some wind tunnel testing results and numerical simulation data, the machine learning models for identifying FDs of closed-box girders are trained and developed via a gradient boosting decision tree in this study. The models can explore the underlying input–output transfer relationship of datasets and realize rapid intelligent identification of FDs without wind tunnel tests or numerical simulation. This method also provides a convenient and feasible option for expanding datasets of FDs, and the distribution of FDs can be analyzed through the post-interpretation of trained models. Combined with FD sensitivity analysis, the models can be verified by the calculation error of CFV. In addition, the proposed method can help determine the appropriate shape of the box girder cross-section in the preliminary design stage of long-span bridges and provide the necessary reference for aerodynamic shape optimization by modifying the local geometric features of the cross-section. Full article
(This article belongs to the Special Issue Advances in Computational Wind Engineering and Wind Energy)
Show Figures

Figure 1

Back to TopTop