Sign in to use this feature.

Years

Between: -

Subjects

remove_circle_outline
remove_circle_outline
remove_circle_outline

Journals

Article Types

Countries / Regions

Search Results (22)

Search Parameters:
Keywords = WDRVI

Order results
Result details
Results per page
Select all
Export citation of selected articles as:
16 pages, 3068 KB  
Article
A Comparative Assessment of Regular and Spatial Cross-Validation in Subfield Machine Learning Prediction of Maize Yield from Sentinel-2 Phenology
by Dorijan Radočaj, Ivan Plaščak and Mladen Jurišić
Eng 2025, 6(10), 270; https://doi.org/10.3390/eng6100270 - 9 Oct 2025
Viewed by 1745
Abstract
The aim of this study is to determine the reliability of regular and spatial cross-validation methods in predicting subfield-scale maize yields using phenological measures derived by Sentinel-2. Three maize fields from eastern Croatia were monitored during the 2023 growing season, with high-resolution ground [...] Read more.
The aim of this study is to determine the reliability of regular and spatial cross-validation methods in predicting subfield-scale maize yields using phenological measures derived by Sentinel-2. Three maize fields from eastern Croatia were monitored during the 2023 growing season, with high-resolution ground truth yield data collected using combine harvester sensors. Sentinel-2 time series were used to compute two vegetation indices, Enhanced Vegetation Index (EVI) and Wide Dynamic Range Vegetation Index (WDRVI). These features served as inputs for three machine learning models, including Random Forest (RF) and Bayesian Generalized Linear Model (BGLM), which were trained and evaluated using both regular and spatial 10-fold cross-validation. Results showed that spatial cross-validation produced a more realistic and conservative estimate of the performance of the model, while regular cross-validation overestimated predictive accuracy systematically because of spatial dependence among the samples. EVI-based models were more reliable than WDRVI, generating more accurate phenomenological fits and yield predictions across parcels. These results emphasize the importance of spatially explicit validation for subfield yield modeling and suggest that overlooking spatial structure can lead to misleading conclusions about model accuracy and generalizability. Full article
Show Figures

Figure 1

29 pages, 5210 KB  
Article
Using Harmonized Landsat Sentinel-2 Vegetation Indices to Estimate Sowing and Harvest Dates for Corn and Soybeans in Brazil
by Cleverton Tiago Carneiro de Santana, Marcos Adami, Victor Hugo Rohden Prudente, Andre Dalla Bernardina Garcia and Marcellus Marques Caldas
Remote Sens. 2025, 17(17), 2927; https://doi.org/10.3390/rs17172927 - 23 Aug 2025
Viewed by 1866
Abstract
As one of the world’s leading grain producers, Brazil stands out in soybean and corn production. Accurate estimation of key crop phenological stages is essential for agricultural decision-making, especially considering Brazil’s vast territory, climatic diversity, and increasing frequency of extreme weather events. This [...] Read more.
As one of the world’s leading grain producers, Brazil stands out in soybean and corn production. Accurate estimation of key crop phenological stages is essential for agricultural decision-making, especially considering Brazil’s vast territory, climatic diversity, and increasing frequency of extreme weather events. This study investigated the applicability of the NDVI, EVI, WDRVI, and NDWI, derived from Harmonized Landsat Sentinel-2, to identify crop sowing and harvest dates at the field scale. We extracted the vegetative peak from each vegetation index time series and identified the left and right inflection points around the peak to delineate the crop season. A double-logistic function and a derivative approach were applied to identify the Start of Season, Peak of Season, and End of Season. For both soybeans and corn, the RMSE ranged from 5 to 8 days for sowing dates, while for harvest dates it ranged from 6 to 15 days for corn. Despite these differences, all vegetation indices exhibited robust performance, with Spearman correlation values between 0.56 and 0.84. Our findings indicate that the use of different indices does not have a significant impact on the results, as long as the adjustment of temporal parameters for the phenological metrics is appropriate for each index. Full article
Show Figures

Figure 1

14 pages, 9320 KB  
Article
A Phenology-Based Evaluation of the Optimal Proxy for Cropland Suitability Based on Crop Yield Correlations from Sentinel-2 Image Time-Series
by Dorijan Radočaj and Mladen Jurišić
Agriculture 2025, 15(8), 859; https://doi.org/10.3390/agriculture15080859 - 15 Apr 2025
Cited by 6 | Viewed by 1063
Abstract
Cropland suitability calculations quantify natural suitability according to abiotic conditions, thus making them crucial for sustainable land management. However, since ground-truth yield data are extremely scarce, there is a need to improve knowledge on the optimal proxy metric from satellite imagery, which represents [...] Read more.
Cropland suitability calculations quantify natural suitability according to abiotic conditions, thus making them crucial for sustainable land management. However, since ground-truth yield data are extremely scarce, there is a need to improve knowledge on the optimal proxy metric from satellite imagery, which represents cropland suitability and enables global applicability. This study evaluated four frequently used vegetation indices from Sentinel-2 image time-series (normalized difference vegetation index, enhanced vegetation index, enhanced vegetation index 2, and wide dynamic range vegetation index) with three phenology metrics for correlation analysis with maize and soybean yield. Four years (2019–2022) in two study areas (Iowa and Illinois) were utilized in this research, and 1000 ground-truth crop yield samples were created for each combination of study year and area. The combination of wide dynamic range vegetation index (WDRVI) and maximum vegetation index phenology metric (MAX) was an optimal proxy for maize yield prediction, while enhanced vegetation index 2 (EVI2) and MAX produced the highest correlation for soybean, producing Pearson’s correlation coefficient means of 0.506 and 0.519, respectively. This study improved our knowledge of the optimal proxy metric for cropland suitability by combining multiple large ground-truth crop yield datasets with 30 m spatial resolution satellite imagery, which can be further improved with the use of novel vegetation indices with improved resistance to a saturation effect. Full article
(This article belongs to the Section Artificial Intelligence and Digital Agriculture)
Show Figures

Figure 1

13 pages, 3096 KB  
Article
Defoliation Categorization in Soybean with Machine Learning Algorithms and UAV Multispectral Data
by Marcelo Araújo Junqueira Ferraz, Afrânio Gabriel da Silva Godinho Santiago, Adriano Teodoro Bruzi, Nelson Júnior Dias Vilela and Gabriel Araújo e Silva Ferraz
Agriculture 2024, 14(11), 2088; https://doi.org/10.3390/agriculture14112088 - 19 Nov 2024
Cited by 2 | Viewed by 1788
Abstract
Traditional disease severity monitoring is subjective and inefficient. This study employs a Parrot multispectral sensor mounted on an unmanned aerial vehicle (UAV) to apply machine learning algorithms, such as random forest, for categorizing defoliation levels in R7-stage soybean plants. This research assesses the [...] Read more.
Traditional disease severity monitoring is subjective and inefficient. This study employs a Parrot multispectral sensor mounted on an unmanned aerial vehicle (UAV) to apply machine learning algorithms, such as random forest, for categorizing defoliation levels in R7-stage soybean plants. This research assesses the effectiveness of vegetation indices, spectral bands, and relative vegetation cover as input parameters, demonstrating that machine learning approaches combined with multispectral imagery can provide a more accurate and efficient assessment of Asian soybean rust in commercial soybean fields. The random forest algorithm exhibited satisfactory classification performance when compared to recent studies, achieving accuracy, precision, recall, F1-score, specificity, and AUC values of 0.94, 0.92, 0.92, 0.92, 0.97, and 0.97, respectively. The input variables identified as most important for the classification model were the WDRVI and MPRI indices, the red-edge and NIR bands, and relative vegetation cover, with the highest Gini importance index. Full article
Show Figures

Figure 1

20 pages, 23128 KB  
Article
Unmanned Aerial Vehicle-Measured Multispectral Vegetation Indices for Predicting LAI, SPAD Chlorophyll, and Yield of Maize
by Pradosh Kumar Parida, Eagan Somasundaram, Ramanujam Krishnan, Sengodan Radhamani, Uthandi Sivakumar, Ettiyagounder Parameswari, Rajagounder Raja, Silambiah Ramasamy Shri Rangasami, Sundapalayam Palanisamy Sangeetha and Ramalingam Gangai Selvi
Agriculture 2024, 14(7), 1110; https://doi.org/10.3390/agriculture14071110 - 9 Jul 2024
Cited by 22 | Viewed by 3516
Abstract
Predicting crop yield at preharvest is pivotal for agricultural policy and strategic decision making. Despite global agricultural targets, labour-intensive surveys for yield estimation pose challenges. Using unmanned aerial vehicle (UAV)-based multispectral sensors, this study assessed crop phenology and biotic stress conditions using various [...] Read more.
Predicting crop yield at preharvest is pivotal for agricultural policy and strategic decision making. Despite global agricultural targets, labour-intensive surveys for yield estimation pose challenges. Using unmanned aerial vehicle (UAV)-based multispectral sensors, this study assessed crop phenology and biotic stress conditions using various spectral vegetation indices. The goal was to enhance the accuracy of predicting key agricultural parameters, such as leaf area index (LAI), soil and plant analyser development (SPAD) chlorophyll, and grain yield of maize. The study’s findings demonstrate that during the kharif season, the wide dynamic range vegetation index (WDRVI) showcased superior correlation coefficients (R), coefficients of determination (R2), and the lowest root mean square errors (RMSEs) of 0.92, 0.86, and 0.14, respectively. However, during the rabi season, the atmospherically resistant vegetation index (ARVI) achieved the highest R and R2 and the lowest RMSEs of 0.83, 0.79, and 0.15, respectively, indicating better accuracy in predicting LAI. Conversely, the normalised difference red-edge index (NDRE) during the kharif season and the modified chlorophyll absorption ratio index (MCARI) during the rabi season were identified as the predictors with the highest accuracy for SPAD chlorophyll prediction. Specifically, R values of 0.91 and 0.94, R2 values of 0.83 and 0.82, and RMSE values of 2.07 and 3.10 were obtained, respectively. The most effective indices for LAI prediction during the kharif season (WDRVI and NDRE) and for SPAD chlorophyll prediction during the rabi season (ARVI and MCARI) were further utilised to construct a yield model using stepwise regression analysis. Integrating the predicted LAI and SPAD chlorophyll values into the model resulted in higher accuracy compared to individual predictions. More exactly, the R2 values were 0.51 and 0.74, while the RMSE values were 9.25 and 6.72, during the kharif and rabi seasons, respectively. These findings underscore the utility of UAV-based multispectral imaging in predicting crop yields, thereby aiding in sustainable crop management practices and benefiting farmers and policymakers alike. Full article
Show Figures

Graphical abstract

19 pages, 11920 KB  
Article
Mapping Leaf Area Index at Various Rice Growth Stages in Southern India Using Airborne Hyperspectral Remote Sensing
by Mathyam Prabhakar, Kodigal A. Gopinath, Nakka Ravi Kumar, Merugu Thirupathi, Uppu Sai Sravan, Golla Srasvan Kumar, Gutti Samba Siva, Pebbeti Chandana and Vinod Kumar Singh
Remote Sens. 2024, 16(6), 954; https://doi.org/10.3390/rs16060954 - 8 Mar 2024
Cited by 16 | Viewed by 4456
Abstract
Globally, rice is one of the most important staple food crops. The most significant metric for evaluating the rice growth and productivity is the Leaf Area Index (LAI), which can be effectively monitored using remote sensing data. Hyperspectral remote sensing provides contiguous bands [...] Read more.
Globally, rice is one of the most important staple food crops. The most significant metric for evaluating the rice growth and productivity is the Leaf Area Index (LAI), which can be effectively monitored using remote sensing data. Hyperspectral remote sensing provides contiguous bands at narrow wavelengths for mapping LAI at various rice phenological stages, and it is functionally related to canopy spectral reflectance. Hyperspectral signatures for different phases of rice crop growth was recorded using Airborne Visible Near-Infrared Imaging Spectrometer-Next Generation (AVIRIS-NG) along with corresponding ground based observations. Ground-based hyperspectral canopy spectral reflectance measurements were recorded with FieldSpec 3 Hi-Res spectroradiometer (ASD Inc., Forsyth County, GA, USA; spectral range: 350–2500 nm) and LAI data from 132 farmer’s fields in Southern India. Among 29 hyperspectral vegetation indices tested, 8 were found promising for mapping rice LAI at various phenological stages. Among all the growth stages, the elongation stage was the most accurately estimated using vegetation indices that exhibited a significant correlation with the airborne hyperspectral reflectance. The validation of hyperspectral vegetation indices revealed that the best fit model for estimating rice LAI was mND705 (red-edge, blue, and NIR bands) at seedling and elongation, SAVI (red and NIR bands) at tillering and WDRVI (red and NIR bands) at booting stage. Full article
(This article belongs to the Special Issue Application of Satellite and UAV Data in Precision Agriculture)
Show Figures

Graphical abstract

9 pages, 2827 KB  
Proceeding Paper
Enhancing Corn Yield Prediction in Iowa: A Concatenate-Based 2D-CNN-BILSTM Model with Integration of Sentinel-1/2 and SoilGRIDs Data
by Mahdiyeh Fathi, Reza Shah-Hosseini and Armin Moghimi
Environ. Sci. Proc. 2024, 29(1), 2; https://doi.org/10.3390/ECRS2023-15852 - 6 Nov 2023
Cited by 1 | Viewed by 1897
Abstract
Ensuring food security in precision agriculture demands early prediction of corn yield in the USA at international, regional, and local levels. Accurate corn yield estimation can play a crucial role in averting famine by offering insights into food availability during the growing season. [...] Read more.
Ensuring food security in precision agriculture demands early prediction of corn yield in the USA at international, regional, and local levels. Accurate corn yield estimation can play a crucial role in averting famine by offering insights into food availability during the growing season. To address this, we propose a Concatenate-based 2D-CNN-BILSTM model that integrates Sentinel-1, Sentinel-2, and Soil GRIDS (global gridded soil information) data for corn yield estimation in Iowa State from 2018 to 2021. This approach utilizes Sentinel-2 features, including spectral bands (Blue, Green, Red, Red Edge 1/2/3, NIR, n-NIR, and SWIR 1/2), and vegetation indices (NDVI, LSWI, DVI, RVI, WDRVI, SAVI, VARIGREEN, and GNDVI), alongside Sentinel 1 features (VV, VH, difference VV, and VH, and RVI), and soil data (Silt, Clay, Sand, CEC, and pH) as initial inputs. To extract high-level features from this data each month, a dedicated 2D-CNN was designed. This 2D-CNN concatenates high-level features from the previous month with low-level features of the subsequent month, serving as input features for the model. Additionally, to incorporate single-time soil data features, another 2D-CNN was implemented. Finally, high-level features from soil, Sentinel-1, and Sentinel-2 data were concatenated and fed into a BILSTM layer for accurate corn yield prediction. Comparative analysis against random forest (RF), Concatenate-based 2D-CNN, and 2D-CNN models, using metrics like RMSE, MAE, MAPE, and the Index of Agreement, revealed the superiority of our model. It achieved an Index of Agreement of 84.67% with an RMSE of 0.698 t/ha. The Concatenate-based 2D-CNN model also performed well with an RMSE of 0.799 t/ha and an Index of Agreement of 72.71%. The 2D-CNN model followed closely with an RMSE of 0.834 t/ha and an Index of Agreement of 69.90%. In contrast, the RF model lagged with an RMSE of 1.073 t/ha and an Index of Agreement of 69.60%. Integration of Sentinel 1–2 and Soil-GRIDs data with the Concatenate-based 2D-CNN-BILSTM model significantly improved accuracy. Combining soil data with Sentinel 1–2 features reduced the RMSE by 16 kg and increased the Index of Agreement by 2.59%. This study highlighted the potential of advanced machine learning (ML)/deep learning (DL) models in achieving precise and reliable predictions, which could support sustainable agricultural practices and food-security initiatives. Full article
(This article belongs to the Proceedings of ECRS 2023)
Show Figures

Figure 1

16 pages, 25510 KB  
Article
Quantification of Biophysical Parameters and Economic Yield in Cotton and Rice Using Drone Technology
by Sellaperumal Pazhanivelan, Ramalingam Kumaraperumal, P. Shanmugapriya, N. S. Sudarmanian, A. P. Sivamurugan and S. Satheesh
Agriculture 2023, 13(9), 1668; https://doi.org/10.3390/agriculture13091668 - 24 Aug 2023
Cited by 26 | Viewed by 2960
Abstract
New agronomic opportunities for more informed agricultural decisions and enhanced crop management have been made possible by drone-based near-ground remote sensing. Obtaining precise non-destructive information regarding crop biophysical characteristics at spatial and temporal scales is now possible. Drone-mounted multispectral and thermal sensors were [...] Read more.
New agronomic opportunities for more informed agricultural decisions and enhanced crop management have been made possible by drone-based near-ground remote sensing. Obtaining precise non-destructive information regarding crop biophysical characteristics at spatial and temporal scales is now possible. Drone-mounted multispectral and thermal sensors were used to assess crop phenology, condition, and stress by profiling spectral vegetation indices in crop fields. In this study, vegetation indices, viz., Atmospherically Resistant Vegetation Index (ARVI), Modified Chlorophyll Absorption Ratio Index (MCARI), Wide Dynamic Range Vegetation Index (WDRVI), Normalized Red–Green Difference Index (NGRDI), Excess Green Index (ExG), Red–Green Blue Vegetation Index (RGBVI), and Visible Atmospherically Resistant Index (VARI) were generated. Furthermore, Pearson correlation analysis showed a better correlation between WDRVI and VARI with LAI (R = 0.955 and R = 0.982) ground truth data. In contrast, a strong correlation (R = 0.931 and R = 0.844) was recorded with MCARI and NGRDI with SPAD chlorophyll ground truth data. Then, the best-performing indices, WDRVI and MCARI in cotton, and VARI and NGRDI in rice, were further used to generate the yield model. This study for determining LAI and chlorophyll shows that high spatial resolution drone imageries are accurate and fast. As a result, finding out the LAI and chlorophyll and how they affect crop yield at a regional scale is helpful. The widespread use of unmanned aerial vehicles (UAV) and yield prediction were technical components of large-scale precision agriculture. Full article
(This article belongs to the Special Issue Agricultural Automation in Smart Farming)
Show Figures

Figure 1

22 pages, 5684 KB  
Article
Identification of Robust Hybrid Inversion Models on the Crop Fraction of Absorbed Photosynthetically Active Radiation Using PROSAIL Model Simulated and Field Multispectral Data
by Jiying Kong, Zhenhai Luo, Chao Zhang, Min Tang, Rui Liu, Ziang Xie and Shaoyuan Feng
Agronomy 2023, 13(8), 2147; https://doi.org/10.3390/agronomy13082147 - 16 Aug 2023
Cited by 6 | Viewed by 2757
Abstract
The fraction of absorbed photosynthetically active radiation (FPAR), which represents the capability of vegetation-absorbed solar radiation to accumulate organic matter, is a crucial indicator of photosynthesis and vegetation growth status. Although a simplified semi-empirical FPAR estimation model was easily obtained using vegetation indices [...] Read more.
The fraction of absorbed photosynthetically active radiation (FPAR), which represents the capability of vegetation-absorbed solar radiation to accumulate organic matter, is a crucial indicator of photosynthesis and vegetation growth status. Although a simplified semi-empirical FPAR estimation model was easily obtained using vegetation indices (VIs), the sensitivity and robustness of VIs and the optimal inversion method need to be further evaluated and developed for canola FPAR retrieval. The objective of this study was to identify the robust hybrid inversion model for estimating the winter canola FPAR. A field experiment with different sow dates and densities was conducted over two growing seasons to obtain canola FPARs. Moreover, 29 VIs, two machine learning algorithms and the PROSAIL model were incorporated to establish the FPAR inversion model. The results indicate that the OSAVI, WDRVI and mSR had better capability for revealing the variations of the FPAR. Three parameters of leaf area index (LAI), solar zenith angle (SZA) and average leaf inclination angle (ALA) accounted for over 95% of the total variance in the FPARs and OSAVI exhibited a greater resistance to changes in the leaf and canopy parameters of interest. The hybrid inversion model with an artificial neural network (ANN-VIs) performed the best for both datasets. The optimal hybrid inversion model of ANN-OSAVI achieved the highest performance for canola FPAR retrieval, with R2 and RMSE values of 0.65 and 0.051, respectively. Finally, the work highlights the usefulness of the radiation transfer model (RTM) in quantifying the crop canopy FPAR and demonstrates the potential of hybrid model methods for retrieving the canola FPAR at each growth stage. Full article
(This article belongs to the Special Issue Precision Agriculture Monitoring Using Remote Sensing)
Show Figures

Figure 1

17 pages, 2618 KB  
Article
Deep Learning-Based Improved WCM Technique for Soil Moisture Retrieval with Satellite Images
by G. S. Nijaguna, D. R. Manjunath, Mohamed Abouhawwash, S. S. Askar, D. Khalandar Basha and Jewel Sengupta
Remote Sens. 2023, 15(8), 2005; https://doi.org/10.3390/rs15082005 - 10 Apr 2023
Cited by 104 | Viewed by 4319
Abstract
The water cycle around the globe is significantly impacted by the moisture in the soil. However, finding a quick and practical model to cope with the enormous amount of data is a difficult issue for remote sensing practitioners. The traditional methods of measuring [...] Read more.
The water cycle around the globe is significantly impacted by the moisture in the soil. However, finding a quick and practical model to cope with the enormous amount of data is a difficult issue for remote sensing practitioners. The traditional methods of measuring soil moisture are inefficient at large sizes, which can be replaced by remote sensing techniques for obtaining soil moisture. While determining the soil moisture, the low return frequency of satellites and the lack of images pose a severe challenge to the current remote sensing techniques. Therefore, this paper suggested a novel technique for Soil Moisture Retrieval. In the initial phase, image acquisition is made. Then, VI indexes (NDVI, GLAI, Green NDVI (GNDVI), and WDRVI features) are derived. Further, an improved Water Cloud Model (WCM) is deployed as a vegetation impact rectification scheme. Finally, soil moisture retrieval is determined by the hybrid model combining Deep Max Out Network (DMN) and Bidirectional Gated Recurrent Unit (Bi-GRU) schemes, whose outputs are then passed on to enhanced score level fusion that offers final results. According to the results, the RMSE of the Hybrid Classifier (Bi-GRU and DMN) method was lower (0.9565) than the RMSE of the Hybrid Classifier methods. The ME values of the HC (Bi-GRU and DMN) were also lower (0.728697) than those of the HC methods without the vegetation index, the HC methods without the presence of water clouds, and the HC methods with traditional water clouds. In comparison to HC (Bi-GRU and DMN), the HC method without vegetation index has a lower error of 0.8219 than the HC method with standard water cloud and the HC method without water cloud. Full article
Show Figures

Graphical abstract

27 pages, 11559 KB  
Article
Banana Fusarium Wilt Disease Detection by Supervised and Unsupervised Methods from UAV-Based Multispectral Imagery
by Shimin Zhang, Xiuhua Li, Yuxuan Ba, Xuegang Lyu, Muqing Zhang and Minzan Li
Remote Sens. 2022, 14(5), 1231; https://doi.org/10.3390/rs14051231 - 2 Mar 2022
Cited by 64 | Viewed by 9700
Abstract
Banana Fusarium wilt (BFW) is a devastating disease with no effective cure methods. Timely and effective detection of the disease and evaluation of its spreading trend will help farmers in making right decisions on plantation management. The main purpose of this study was [...] Read more.
Banana Fusarium wilt (BFW) is a devastating disease with no effective cure methods. Timely and effective detection of the disease and evaluation of its spreading trend will help farmers in making right decisions on plantation management. The main purpose of this study was to find the spectral features of the BFW-infected canopy and build the optimal BFW classification models for different stages of infection. A RedEdge-MX camera mounted on an unmanned aerial vehicle (UAV) was used to collect multispectral images of a banana plantation infected with BFW in July and August 2020. Three types of spectral features were used as the inputs of classification models, including three-visible-band images, five-multispectral-band images, and vegetation indices (VIs). Four supervised methods including Support Vector Machine (SVM), Random Forest (RF), Back Propagation Neural Networks (BPNN) and Logistic Regression (LR), and two unsupervised methods including Hotspot Analysis (HA) and Iterative Self-Organizing Data Analysis Technique Algorithm (ISODATA) were adopted to detect the BFW-infected canopies. Comparing to the healthy canopies, the BFW-infected canopies had higher reflectance in the visible region, but lower reflectance in the NIR region. The classification results showed that most of the supervised and unsupervised methods reached excellent accuracies. Among all the supervised methods, RF based on the five-multispectral-band was considered as the optimal model, with higher overall accuracy (OA) of 97.28% and faster running time of 22 min. For the unsupervised methods, HA reached high and balanced OAs of more than 95% based on the selected VIs derived from the red and NIR band, especially for WDRVI, NDVI, and TDVI. By comprehensively evaluating the classification results of different metrics, the unsupervised method HA was recommended for BFW recognition, especially in the late stage of infection; the supervised method RF was recommended in the early stage of infection to reach a slightly higher accuracy. The results found in this study could give advice for banana plantation management and provide approaches for plant disease detection. Full article
(This article belongs to the Section Remote Sensing in Agriculture and Vegetation)
Show Figures

Figure 1

19 pages, 7304 KB  
Article
Maize Crop Coefficient Estimation Based on Spectral Vegetation Indices and Vegetation Cover Fraction Derived from UAV-Based Multispectral Images
by Mariana de Jesús Marcial-Pablo, Ronald Ernesto Ontiveros-Capurata, Sergio Iván Jiménez-Jiménez and Waldo Ojeda-Bustamante
Agronomy 2021, 11(4), 668; https://doi.org/10.3390/agronomy11040668 - 1 Apr 2021
Cited by 16 | Viewed by 6099
Abstract
Remote sensing-based crop monitoring has evolved unprecedentedly to supply multispectral imagery with high spatial-temporal resolution for the assessment of crop evapotranspiration (ETc). Several methodologies have shown a high correlation between the Vegetation Indices (VIs) and the crop coefficient (Kc). This work analyzes the [...] Read more.
Remote sensing-based crop monitoring has evolved unprecedentedly to supply multispectral imagery with high spatial-temporal resolution for the assessment of crop evapotranspiration (ETc). Several methodologies have shown a high correlation between the Vegetation Indices (VIs) and the crop coefficient (Kc). This work analyzes the estimation of the crop coefficient (Kc) as a spectral function of the product of two variables: VIs and green vegetation cover fraction (fv). Multispectral images from experimental maize plots were classified to separate pixels into three classes (vegetation, shade and soil) using the OBIA (Object Based Image Analysis) approach. Only vegetation pixels were used to estimate the VIs and fv variables. The spectral Kcfv:VI models were compared with Kc based on Cumulative Growing Degree Days (CGDD) (Kc-cGDD). The maximum average values of Normalized Difference Vegetation Index (NDVI), WDRVI, amd EVI2 indices during the growing season were 0.77, 0.21, and 1.63, respectively. The results showed that the spectral Kcfv:VI model showed a strong linear correlation with Kc-cGDD (R2 > 0.80). The model precision increases with plant densities, and the Kcfv:NDVI with 80,000 plants/ha had the best fitting performance (R2 = 0.94 and RMSE = 0.055). The results indicate that the use of spectral models to estimate Kc based on high spatial and temporal resolution UAV-images, using only green pixels to compute VI and fv crop variables, offers a powerful and simple tool for ETc assessment to support irrigation scheduling in agricultural areas. Full article
(This article belongs to the Special Issue Remote Sensing in Agriculture)
Show Figures

Figure 1

24 pages, 5976 KB  
Article
Corn Grain Yield Estimation from Vegetation Indices, Canopy Cover, Plant Density, and a Neural Network Using Multispectral and RGB Images Acquired with Unmanned Aerial Vehicles
by Héctor García-Martínez, Héctor Flores-Magdaleno, Roberto Ascencio-Hernández, Abdul Khalil-Gardezi, Leonardo Tijerina-Chávez, Oscar R. Mancilla-Villa and Mario A. Vázquez-Peña
Agriculture 2020, 10(7), 277; https://doi.org/10.3390/agriculture10070277 - 8 Jul 2020
Cited by 134 | Viewed by 12530
Abstract
Corn yields vary spatially and temporally in the plots as a result of weather, altitude, variety, plant density, available water, nutrients, and planting date; these are the main factors that influence crop yield. In this study, different multispectral and red-green-blue (RGB) vegetation indices [...] Read more.
Corn yields vary spatially and temporally in the plots as a result of weather, altitude, variety, plant density, available water, nutrients, and planting date; these are the main factors that influence crop yield. In this study, different multispectral and red-green-blue (RGB) vegetation indices were analyzed, as well as the digitally estimated canopy cover and plant density, in order to estimate corn grain yield using a neural network model. The relative importance of the predictor variables was also analyzed. An experiment was established with five levels of nitrogen fertilization (140, 200, 260, 320, and 380 kg/ha) and four replicates, in a completely randomized block design, resulting in 20 experimental polygons. Crop information was captured using two sensors (Parrot Sequoia_4.9, and DJI FC6310_8.8) mounted on an unmanned aerial vehicle (UAV) for two flight dates at 47 and 79 days after sowing (DAS). The correlation coefficient between the plant density, obtained through the digital count of corn plants, and the corn grain yield was 0.94; this variable was the one with the highest relative importance in the yield estimation according to Garson’s algorithm. The canopy cover, digitally estimated, showed a correlation coefficient of 0.77 with respect to the corn grain yield, while the relative importance of this variable in the yield estimation was 0.080 and 0.093 for 47 and 79 DAS, respectively. The wide dynamic range vegetation index (WDRVI), plant density, and canopy cover showed the highest correlation coefficient and the smallest errors (R = 0.99, mean absolute error (MAE) = 0.028 t ha−1, root mean square error (RMSE) = 0.125 t ha−1) in the corn grain yield estimation at 47 DAS, with the WDRVI index and the density being the variables with the highest relative importance for this crop development date. For the 79 DAS flight, the combination of the normalized difference vegetation index (NDVI), normalized difference red edge (NDRE), WDRVI, excess green (EXG), triangular greenness index (TGI), and visible atmospherically resistant index (VARI), as well as plant density and canopy cover, generated the highest correlation coefficient and the smallest errors (R = 0.97, MAE = 0.249 t ha−1, RMSE = 0.425 t ha−1) in the corn grain yield estimation, where the density and the NDVI were the variables with the highest relative importance, with values of 0.295 and 0.184, respectively. However, the WDRVI, plant density, and canopy cover estimated the corn grain yield with acceptable precision (R = 0.96, MAE = 0.209 t ha−1, RMSE = 0.449 t ha−1). The generated neural network models provided a high correlation coefficient between the estimated and the observed corn grain yield, and also showed acceptable errors in the yield estimation. The spectral information registered through remote sensors mounted on unmanned aerial vehicles and its processing in vegetation indices, canopy cover, and plant density allowed the characterization and estimation of corn grain yield. Such information is very useful for decision-making and agricultural activities planning. Full article
(This article belongs to the Special Issue Artificial Neural Networks in Agriculture)
Show Figures

Figure 1

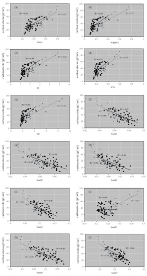
19 pages, 2563 KB  
Article
Estimating Grassland Carbon Stocks in Hulunber China, Using Landsat8 Oli Imagery and Regression Kriging
by Lei Ding, Zhenwang Li, Xu Wang, Ruirui Yan, Beibei Shen, Baorui Chen and Xiaoping Xin
Sensors 2019, 19(24), 5374; https://doi.org/10.3390/s19245374 - 5 Dec 2019
Cited by 11 | Viewed by 3499
Abstract
Accurately estimating grassland carbon stocks is important in assessing grassland productivity and the global carbon balance. This study used the regression kriging (RK) method to estimate grassland carbon stocks in Northeast China based on Landsat8 operational land imager (OLI) images and five remote [...] Read more.
Accurately estimating grassland carbon stocks is important in assessing grassland productivity and the global carbon balance. This study used the regression kriging (RK) method to estimate grassland carbon stocks in Northeast China based on Landsat8 operational land imager (OLI) images and five remote sensing variables. The normalized difference vegetation index (NDVI), the wide dynamic range vegetation index (WDRVI), the chlorophyll index (CI), Band6 and Band7 were used to build the RK models separately and to explore their capabilities for modeling spatial distributions of grassland carbon stocks. To explore the different model performances for typical grassland and meadow grassland, the models were validated separately using the typical steppe, meadow steppe or all-steppe ground measurements based on leave-one-out crossvalidation (LOOCV). When the results were validated against typical steppe samples, the Band6 model showed the best performance (coefficient of determination (R2) = 0.46, mean average error (MAE) = 8.47%, and root mean square error (RMSE) = 10.34 gC/m2) via the linear regression (LR) method, while for the RK method, the NDVI model showed the best performance (R2 = 0.63, MAE = 7.04 gC/m2, and RMSE = 8.51 gC/m2), which were much higher than the values of the best LR model. When the results were validated against the meadow steppe samples, the CI model achieved the best estimation accuracy, and the accuracy of the RK method (R2 = 0.72, MAE = 8.09 gC/m2, and RMSE = 9.89 gC/m2) was higher than that of the LR method (R2 = 0.70, MAE = 8.99 gC/m2, and RMSE = 10.69 gC/m2). Upon combining the results of the most accurate models of the typical steppe and meadow steppe, the RK method reaches the highest model accuracy of R2 = 0.69, MAE = 7.40 gC/m2, and RMSE = 9.01 gC/m2, while the LR method reaches the highest model accuracy of R2 = 0.53, MAE = 9.20 gC/m2, and RMSE = 11.10 gC/m2. The results showed an improved performance of the RK method compared to the LR method, and the improvement in the accuracy of the model is mainly attributed to the enhancement of the estimation accuracy of the typical steppe. In the study region, the carbon stocks showed an increasing trend from west to east, the total amount of grassland carbon stock was 79.77 × 104 Mg C, and the mean carbon stock density was 47.44 gC/m2. The density decreased in the order of temperate meadow steppe, lowland meadow steppe, temperate typical steppe, and sandy steppe. The methodology proposed in this study is particularly beneficial for carbon stock estimates at the regional scale, especially for countries such as China with many grassland types. Full article
(This article belongs to the Section Remote Sensors)
Show Figures

Figure 1

16 pages, 3293 KB  
Article
Comparison of Vegetation Indices for Leaf Area Index Estimation in Vertical Shoot Positioned Vine Canopies with and without Grenbiule Hail-Protection Netting
by Pedro C. Towers, Albert Strever and Carlos Poblete-Echeverría
Remote Sens. 2019, 11(9), 1073; https://doi.org/10.3390/rs11091073 - 7 May 2019
Cited by 72 | Viewed by 7705
Abstract
Leaf area per unit surface (LAI—leaf area index) is a valuable parameter to assess vine vigour in several applications, including direct mapping of vegetative–reproductive balance (VRB). Normalized difference vegetation index (NDVI) has been successfully used to assess the spatial variability of estimated LAI. [...] Read more.
Leaf area per unit surface (LAI—leaf area index) is a valuable parameter to assess vine vigour in several applications, including direct mapping of vegetative–reproductive balance (VRB). Normalized difference vegetation index (NDVI) has been successfully used to assess the spatial variability of estimated LAI. However, sometimes NDVI is unsuitable due to its lack of sensitivity at high LAI values. Moreover, the presence of hail protection with Grenbiule netting also affects incident light and reflection, and consequently spectral response. This study analyses the effect of protective netting in the LAI–NDVI relationship and, using NDVI as a reference index, compares several indices in terms of accuracy and sensitivity using linear and logarithmic models. Among the indices compared, results show NDVI to be the most accurate, and ratio vegetation index (RVI) to be the most sensitive. The wide dynamic range vegetation index (WDRVI) presented a good balance between accuracy and sensitivity. Soil-adjusted vegetation index 2 (SAVI2) appears to be the best estimator of LAI with linear models. Logarithmic models provided higher determination coefficients, but this has little influence over the normal range of LAI values. A similar NDVI–LAI relationship holds for protected and unprotected canopies in initial vegetation stages, but different functions are preferable once the canopy is fully developed, in particular, if tipping is performed. Full article
(This article belongs to the Special Issue Leaf Area Index (LAI) Retrieval using Remote Sensing)
Show Figures

Graphical abstract

Back to TopTop