Sign in to use this feature.

Years

Between: -

Subjects

remove_circle_outline
remove_circle_outline
remove_circle_outline
remove_circle_outline
remove_circle_outline
remove_circle_outline
remove_circle_outline
remove_circle_outline
remove_circle_outline

Journals

remove_circle_outline
remove_circle_outline
remove_circle_outline
remove_circle_outline

Article Types

Countries / Regions

remove_circle_outline
remove_circle_outline
remove_circle_outline
remove_circle_outline
remove_circle_outline

Search Results (1,259)

Search Parameters:
Keywords = Vehicular networks

Order results
Result details
Results per page
Select all
Export citation of selected articles as:
30 pages, 22344 KB  
Article
Enhancing V2V Communication by Parsimoniously Leveraging V2N2V Path in Connected Vehicles
by Songmu Heo, Yoo-Seung Song, Seungmo Kang and Hyogon Kim
Sensors 2026, 26(3), 819; https://doi.org/10.3390/s26030819 (registering DOI) - 26 Jan 2026
Abstract
The rapid proliferation of connected vehicles equipped with both Vehicle-to-Vehicle (V2V) sidelink and cellular interfaces creates new opportunities for real-time vehicular applications, yet achieving ultra-reliable communication without prohibitive cellular costs remains challenging. This paper addresses reliable inter-vehicle video streaming for safety-critical applications such [...] Read more.
The rapid proliferation of connected vehicles equipped with both Vehicle-to-Vehicle (V2V) sidelink and cellular interfaces creates new opportunities for real-time vehicular applications, yet achieving ultra-reliable communication without prohibitive cellular costs remains challenging. This paper addresses reliable inter-vehicle video streaming for safety-critical applications such as See-Through for Passing and Obstructed View Assist, which require stringent Service Level Objectives (SLOs) of 50 ms latency with 99% reliability. Through measurements in Seoul urban environments, we characterize the complementary nature of V2V and Vehicle-to-Network-to-Vehicle (V2N2V) paths: V2V provides ultra-low latency (mean 2.99 ms) but imperfect reliability (95.77%), while V2N2V achieves perfect reliability but exhibits high latency variability (P99: 120.33 ms in centralized routing) that violates target SLOs. We propose a hybrid framework that exploits V2V as the primary path while selectively retransmitting only lost packets via V2N2V. The key innovation is a dual loss detection mechanism combining gap-based and timeout-based triggers leveraging Real-Time Protocol (RTP) headers for both immediate response and comprehensive coverage. Trace-driven simulation demonstrates that the proposed framework achieves a 99.96% packet reception rate and 99.71% frame playback ratio, approaching lossless transmission while maintaining cellular utilization at only 5.54%, which is merely 0.84 percentage points above the V2V loss rate. This represents a 7× cost reduction versus PLR Switching (4.2 GB vs. 28 GB monthly) while reducing video stalls by 10×. These results demonstrate that packet-level selective redundancy enables cost-effective ultra-reliable V2X communication at scale. Full article
28 pages, 2192 KB  
Article
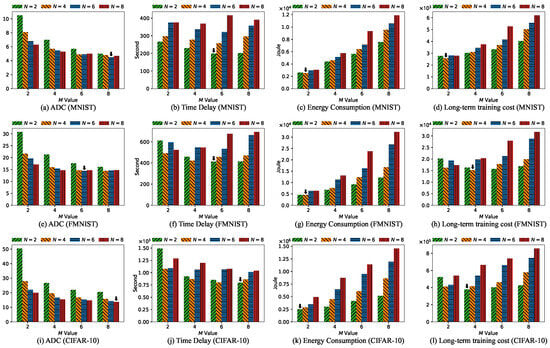
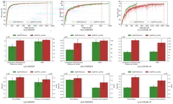
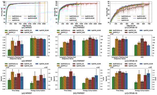
AptEVS: Adaptive Edge-and-Vehicle Scheduling for Hierarchical Federated Learning over Vehicular Networks
by Yu Tian, Nina Wang, Zongshuai Zhang, Wenhao Zou, Liangjie Zhao, Shiyao Liu and Lin Tian
Electronics 2026, 15(2), 479; https://doi.org/10.3390/electronics15020479 - 22 Jan 2026
Viewed by 19
Abstract
Hierarchical federated learning (HFL) has emerged as a promising paradigm for distributed machine learning over vehicular networks. Despite recent advances in vehicle selection and resource allocation, most still adopt a fixed Edge-and-Vehicle Scheduling (EVS) configuration that keeps the number of participating edge nodes [...] Read more.
Hierarchical federated learning (HFL) has emerged as a promising paradigm for distributed machine learning over vehicular networks. Despite recent advances in vehicle selection and resource allocation, most still adopt a fixed Edge-and-Vehicle Scheduling (EVS) configuration that keeps the number of participating edge nodes and vehicles per node constant across training rounds. However, given the diverse training tasks and dynamic vehicular environments, our experiments confirm that such static configurations struggle to efficiently meet the task-specific requirements across model accuracy, time delay, and energy consumption. To address this, we first formulate a unified, long-term training cost metric that balances these conflicting objectives. We then propose AptEVS, an adaptive scheduling framework based on deep reinforcement learning (DRL), designed to minimize this cost. The core of AptEVS is its phase-aware design, which adapts the scheduling strategy by first identifying the current training phase and then switching to specialized strategies accordingly. Extensive simulations demonstrate that AptEVS learns an effective scheduling policy online from scratch, consistently outperforming baselines and and reducing the long-term training cost by up to 66.0%. Our findings demonstrate that phase-aware DRL is both feasible and highly effective for resource scheduling over complex vehicular networks. Full article
(This article belongs to the Special Issue Technology of Mobile Ad Hoc Networks)
Show Figures

Figure 1

44 pages, 996 KB  
Article
Adaptive Hybrid Consensus Engine for V2X Blockchain: Real-Time Entropy-Driven Control for High Energy Efficiency and Sub-100 ms Latency
by Rubén Juárez and Fernando Rodríguez-Sela
Electronics 2026, 15(2), 417; https://doi.org/10.3390/electronics15020417 - 17 Jan 2026
Viewed by 161
Abstract
We present an adaptive governance engine for blockchain-enabled Vehicular Ad Hoc Networks (VANETs) that regulates the latency–energy–coherence trade-off under rapid topology changes. The core contribution is an Ideal Information Cycle (an operational abstraction of information injection/validation) and a modular VANET Engine implemented as [...] Read more.
We present an adaptive governance engine for blockchain-enabled Vehicular Ad Hoc Networks (VANETs) that regulates the latency–energy–coherence trade-off under rapid topology changes. The core contribution is an Ideal Information Cycle (an operational abstraction of information injection/validation) and a modular VANET Engine implemented as a real-time control loop in NS-3.35. At runtime, the Engine monitors normalized Shannon entropies—informational entropy S over active transactions and spatial entropy Hspatial over occupancy bins (both on [0,1])—and adapts the consensus mode (latency-feasible PoW versus signature/quorum-based modes such as PoS/FBA) together with rigor parameters via calibrated policy maps. Governance is formulated as a constrained operational objective that trades per-block resource expenditure (radio + cryptography) against a Quality-of-Information (QoI) proxy derived from delay/error tiers, while maintaining timeliness and ledger-coherence pressure. Cryptographic cost is traced through counted operations, Ecrypto=ehnhash+esignsig, and coherence is tracked using the LCP-normalized definition Dledger(t) computed from the longest common prefix (LCP) length across nodes. We evaluate the framework under urban/highway mobility, scheduled partitions, and bounded adversarial stressors (Sybil identities and Byzantine proposers), using 600 s runs with 30 matched random seeds per configuration and 95% bias-corrected and accelerated (BCa) bootstrap confidence intervals. In high-disorder regimes (S0.8), the Engine reduces total per-block energy (radio + cryptography) by more than 90% relative to a fixed-parameter PoW baseline tuned to the same agreement latency target. A consensus-first triggering policy further lowers agreement latency and improves throughput compared with broadcast-first baselines. In the emphasized urban setting under high mobility (v=30 m/s), the Engine keeps agreement/commit latency in the sub-100 ms range while maintaining finality typically within sub-150 ms ranges, bounds orphaning (≤10%), and reduces average ledger divergence below 0.07 at high spatial disorder. The main evaluation is limited to N100 vehicles under full PHY/MAC fidelity. PoW targets are intentionally latency-feasible and are not intended to provide cryptocurrency-grade majority-hash security; operational security assumptions and mode transition safeguards are discussed in the manuscript. Full article
(This article belongs to the Special Issue Intelligent Technologies for Vehicular Networks, 2nd Edition)
Show Figures

Figure 1

31 pages, 1742 KB  
Article
Federated Learning Frameworks for Intelligent Transportation Systems: A Comparative Adaptation Analysis
by Mario Steven Vela Romo, Carolina Tripp-Barba, Nathaly Orozco Garzón, Pablo Barbecho, Xavier Calderón Hinojosa and Luis Urquiza-Aguiar
Smart Cities 2026, 9(1), 12; https://doi.org/10.3390/smartcities9010012 - 16 Jan 2026
Viewed by 168
Abstract
Intelligent Transportation Systems (ITS) have progressively incorporated machine learning to optimize traffic efficiency, enhance safety, and improve real-time decision-making. However, the traditional centralized machine learning (ML) paradigm faces critical limitations regarding data privacy, scalability, and single-point vulnerabilities. This study explores FL as a [...] Read more.
Intelligent Transportation Systems (ITS) have progressively incorporated machine learning to optimize traffic efficiency, enhance safety, and improve real-time decision-making. However, the traditional centralized machine learning (ML) paradigm faces critical limitations regarding data privacy, scalability, and single-point vulnerabilities. This study explores FL as a decentralized alternative that preserves privacy by training local models without transferring raw data. Based on a systematic literature review encompassing 39 ITS-related studies, this work classifies applications according to their architectural detail—distinguishing systems from models—and identifies three families of federated learning (FL) frameworks: privacy-focused, integrable, and advanced infrastructure. Three representative frameworks—Federated Learning-based Gated Recurrent Unit (FedGRU), Digital Twin + Hierarchical Federated Learning (DT + HFL), and Transfer Learning with Convolutional Neural Networks (TFL-CNN)—were comparatively analyzed against a client–server baseline to assess their suitability for ITS adaptation. Our qualitative, architecture-level comparison suggests that DT + HFL and TFL-CNN, characterized by hierarchical aggregation and edge-level coordination, are conceptually better aligned with scalability and stability requirements in vehicular and traffic deployments than pure client–server baselines. FedGRU, while conceptually relevant as a meta-framework for coordinating multiple organizational models, is primarily intended as a complementary reference rather than as a standalone architecture for large-scale ITS deployment. Through application-level evaluations—including traffic prediction, accident detection, transport-mode identification, and driver profiling—this study demonstrates that FL can be effectively integrated into ITS with moderate architectural adjustments. This work does not introduce new experimental results; instead, it provides a qualitative, architecture-level comparison and adaptation guideline to support the migration of ITS applications toward federated learning. Overall, the results establish a solid methodological foundation for migrating centralized ITS architectures toward federated, privacy-preserving intelligence, in alignment with the evolution of edge and 6G infrastructures. Full article
(This article belongs to the Special Issue Big Data and AI Services for Sustainable Smart Cities)
Show Figures

Figure 1

15 pages, 1048 KB  
Article
Synthetic-Digital Twin Assisted Federated Graph Learning for Edge-Based Anomaly Detection in Autonomous IoT Systems
by Manuel J. C. S. Reis, Carlos Serôdio and Frederico Branco
Electronics 2026, 15(2), 364; https://doi.org/10.3390/electronics15020364 - 14 Jan 2026
Viewed by 126
Abstract
Federated Graph Neural Networks (FedGNNs) have emerged as a promising paradigm for decentralized graph learning across distributed data silos. However, the influence of underlying communication topologies on model accuracy and efficiency remains underexplored. This study presents a topology-aware benchmarking framework for federated GNNs, [...] Read more.
Federated Graph Neural Networks (FedGNNs) have emerged as a promising paradigm for decentralized graph learning across distributed data silos. However, the influence of underlying communication topologies on model accuracy and efficiency remains underexplored. This study presents a topology-aware benchmarking framework for federated GNNs, systematically evaluating the impact of network structure and aggregation strategy on performance and communication overhead. The proposed framework functions as a synthetic, communication-level digital twin that emulates Federated Learning interactions and topology-dependent dynamics under controlled conditions. Four learning schemes—Centralized, Local, FedAvg, and FedAvg-Fedadam—were assessed across three representative topologies: Barabási–Albert (BA), Watts–Strogatz (WS), and Erdős–Rényi (ER). Results demonstrate that centralized training achieved the highest mean ROC-AUC (0.63), while FedAvg-Fedadam attained the best F1-score (0.038), balancing local adaptation and global convergence. Among topologies, BA and WS yielded higher average AUC values (approximately 0.57 and 0.56, respectively) than ER (approximately 0.39). Communication analysis revealed FedAvg as the most efficient strategy, requiring only approximately 3.8 × 105 bytes cumulatively. These findings highlight key trade-offs between accuracy, robustness, and communication efficiency in federated graph learning and provide empirical guidance for topology-aware optimization of distributed GNNs. While the experiments rely on representative synthetic topologies, the insights offer indicative relevance and potential applicability to Internet-of-Things (IoT), vehicular, and cyber-physical networks, where communication structure and bandwidth constraints critically influence collaborative intelligence. By modeling canonical connectivity patterns and releasing our code and data, the proposed benchmarking framework offers a reproducible basis for comparing emerging federated graph architectures under constrained communication conditions. Full article
Show Figures

Figure 1

30 pages, 11945 KB  
Article
Intelligent Agent for Resource Allocation from Mobile Infrastructure to Vehicles in Dynamic Environments Scalable on Demand
by Renato Cumbal, Berenice Arguero, Germán V. Arévalo, Roberto Hincapié and Christian Tipantuña
Sensors 2026, 26(2), 508; https://doi.org/10.3390/s26020508 - 12 Jan 2026
Viewed by 333
Abstract
This work addresses the increasing complexity of urban mobility by proposing an intelligent optimization and resource-allocation framework for Vehicle-to-Infrastructure (V2I) communications. The model integrates a macroscopic mobility analysis, an Integer Linear Programming (ILP) formulation for optimal Road-Side Unit (RSU) placement, and a Smart [...] Read more.
This work addresses the increasing complexity of urban mobility by proposing an intelligent optimization and resource-allocation framework for Vehicle-to-Infrastructure (V2I) communications. The model integrates a macroscopic mobility analysis, an Integer Linear Programming (ILP) formulation for optimal Road-Side Unit (RSU) placement, and a Smart Generic Network Controller (SGNC) based on Q-learning for dynamic radio-resource allocation. Simulation results in a realistic georeferenced urban scenario with 380 candidate sites show that the ILP model activates only 2.9% of RSUs while guaranteeing more than 90% vehicular coverage. The reinforcement-learning-based SGNC achieves stable allocation behavior, successfully managing 10 antennas and 120 total resources, and maintaining efficient operation when the system exceeds 70% capacity by reallocating resources dynamically through the λ-based alert mechanism. Compared with static allocation, the proposed method improves resource efficiency and coverage consistency under varying traffic demand, demonstrating its potential for scalable V2I deployment in next-generation intelligent transportation systems. Full article
(This article belongs to the Special Issue Vehicle-to-Everything (V2X) Communications: 3rd Edition)
Show Figures

Figure 1

14 pages, 498 KB  
Article
Intrusion Detection for Internet of Vehicles CAN Bus Communications Using Machine Learning: An Empirical Study on the CICIoV2024 Dataset
by Hop Le and Izzat Alsmadi
Future Internet 2026, 18(1), 42; https://doi.org/10.3390/fi18010042 - 9 Jan 2026
Viewed by 288
Abstract
The rapid integration of connectivity and automation in modern vehicles has significantly expanded the attack surface of in-vehicle networks, particularly the Controller Area Network (CAN) bus, which lacks native security mechanisms. This study investigates machine learning-based intrusion detection for Internet of Vehicles (IoV) [...] Read more.
The rapid integration of connectivity and automation in modern vehicles has significantly expanded the attack surface of in-vehicle networks, particularly the Controller Area Network (CAN) bus, which lacks native security mechanisms. This study investigates machine learning-based intrusion detection for Internet of Vehicles (IoV) environments using the CICIoV2024 dataset. Unlike prior studies that rely on highly redundant traffic traces, this work applies strict de-duplication to eliminate repetitive CAN frames, resulting in a dataset of unique attack signatures. To ensure statistical robustness despite the reduced data size, Stratified K-Fold Cross-Validation was employed. Experimental results reveal that while traditional models like Random Forest (optimized with ANOVA feature selection) maintain stability (F1-Macro ≈ 0.64), Deep Learning models fail to generalize (F1-Macro < 0.55) when denied the massive redundancy they typically require. These findings challenge the “near-perfect” detection rates reported in the literature, suggesting that previous benchmarks may reflect data leakage rather than true anomaly detection capabilities. The study concludes that lightweight models offer superior resilience for resource-constrained vehicular environments when evaluated on realistic, non-redundant data. Full article
Show Figures

Figure 1

33 pages, 4575 KB  
Article
Evaluation of Connectivity Reliability in MANETs Considering Link Communication Quality and Channel Capacity
by Yunlong Bian, Junhai Cao, Chengming He, Xiying Huang, Ying Shen and Jia Wang
Electronics 2026, 15(2), 264; https://doi.org/10.3390/electronics15020264 - 7 Jan 2026
Viewed by 172
Abstract
Mobile Ad Hoc Networks (MANETs) exhibit diverse deployment forms, such as unmanned swarms, mobile wireless sensor networks (MWSNs), and Vehicular Ad Hoc Networks (VANETs). While providing significant social application value, MANETs also face the challenge of accurately and efficiently evaluating connectivity reliability. Building [...] Read more.
Mobile Ad Hoc Networks (MANETs) exhibit diverse deployment forms, such as unmanned swarms, mobile wireless sensor networks (MWSNs), and Vehicular Ad Hoc Networks (VANETs). While providing significant social application value, MANETs also face the challenge of accurately and efficiently evaluating connectivity reliability. Building on existing studies—which mostly rely on the assumptions of imperfect nodes and perfect links—this paper comprehensively considers link communication quality and channel capacity, and extends the imperfect link assumption to analyze and evaluate the connectivity reliability of MANETs. The Couzin-leader model is used to characterize the ordered swarm movement of MANETs, while various probability models are employed to depict the multiple actual failure modes of network nodes. Additionally, the Free-Space-Two-Ray Ground (FS-TRG) model is introduced to quantify link quality and reliability, and the probability of successful routing path information transmission is derived under the condition that channel capacity follows a truncated normal distribution. Finally, a simulation-based algorithm for solving the connectivity reliability of MANETs is proposed, which comprehensively considers node characteristics and link states. Simulation experiments are conducted using MATLAB R2023b to verify the effectiveness and validity of the proposed algorithm. Furthermore, the distinct impacts of link communication quality and channel capacity on the connectivity reliability of MANETs are identified, particularly in terms of transmission quality and network lifetime. Full article
(This article belongs to the Special Issue Advanced Technologies for Intelligent Vehicular Networks)
Show Figures

Figure 1

12 pages, 707 KB  
Article
Intelligent Vehicle Repeater for Satellite Networks: A Promising Device for Tourists and Explorers Without Terrestrial Networks
by Yitao Li and Conglu Huang
Telecom 2026, 7(1), 8; https://doi.org/10.3390/telecom7010008 - 7 Jan 2026
Viewed by 149
Abstract
Existing vehicle-mounted satellite terminals primarily rely on mechanical or purely analog electronically steered antennas. They lack protocol-level relay capability and usually provide only short-range hotspot connectivity. These limitations make it difficult for such systems to deliver stable, high-throughput satellite access for personal mobile [...] Read more.
Existing vehicle-mounted satellite terminals primarily rely on mechanical or purely analog electronically steered antennas. They lack protocol-level relay capability and usually provide only short-range hotspot connectivity. These limitations make it difficult for such systems to deliver stable, high-throughput satellite access for personal mobile devices in dynamic vehicular environments, especially in remote regions without terrestrial networks. This paper proposes an intelligent vehicle repeater for satellite networks (IVRSN) that builds a dedicated satellite–vehicle–device relay architecture. It enables reliable broadband connectivity for conventional mobile terminals without requiring specialized satellite hardware. The IVRSN consists of three key technical components. Firstly, a dual-mode relay coverage mechanism is designed to support energy-efficient in-vehicle access and extended out-of-vehicle coverage. Secondly, a DoA-assisted, attitude-compensated hybrid beamforming scheme is developed. It combines subspace-based direction estimation with inertial sensor measurements to maintain high-precision satellite pointing under vehicle dynamics. Finally, a bidirectional protocol conversion module is introduced to ensure compatibility between ground wireless protocols and satellite link-layer formats with integrity-checked data forwarding. Compared to existing solutions, the proposed IVRSN provides higher stability and broader device compatibility, making it a feasible solution for high-speed, high-quality communications in remote or disaster regions. Full article
Show Figures

Figure 1

31 pages, 2120 KB  
Article
Secure TPMS Data Transmission in Real-Time IoV Environments: A Study on 5G and LoRa Networks
by D. K. Niranjan, Muthuraman Supriya and Walter Tiberti
Sensors 2026, 26(2), 358; https://doi.org/10.3390/s26020358 - 6 Jan 2026
Viewed by 324
Abstract
The advancement of Automotive Industry 4.0 has promoted the development of Vehicle to Vehicle (V2V) and Internet of Vehicles (IoV) communication, which marks the new era for intelligent, connected and automated transportation. Despite the benefits of this metamorphosis in terms of effectiveness and [...] Read more.
The advancement of Automotive Industry 4.0 has promoted the development of Vehicle to Vehicle (V2V) and Internet of Vehicles (IoV) communication, which marks the new era for intelligent, connected and automated transportation. Despite the benefits of this metamorphosis in terms of effectiveness and convenience, new obstacles to safety, inter-connectivity, and cybersecurity emerge. The tire pressure monitoring system (TPMS) is one prominent feature that senses tire pressure, which is closely related to vehicle stability, braking performance and fuel efficiency. However, the majority of TPMSs currently in use are based on the use of insecure and proprietary wireless communication links that can be breached by attackers so as to interfere with not only tire pressure readings but also sensor data manipulation. For this purpose, we design a secure TPMS architecture suitable for real-time IoV sensing. The framework is experimentally implemented using a Raspberry Pi 3B+ (Raspberry Pi Ltd., Cambridge, UK) as an independent autonomous control unit (ACU), interfaced with vehicular pressure sensors and a LoRa SX1278 (Semtech Corporation, Camarillo, CA, USA) module to support low-power, long-range communication. The gathered sensor data are encrypted, their integrity checked, source authenticated by lightweight cryptographic algorithms and sent to a secure server locally. To validate this approach, we show a three-node exhibition where Node A (raw data and tampered copy), B (unprotected copy) and C (secure auditor equipped with alerting of tampering and weekly rotation of the ID) realize detection of physical level threats at top speeds. The validated datasets are further enriched in a MATLAB R2024a simulator by replicating the data of one vehicle by 100 virtual vehicles communicating using over 5G, LoRaWAN and LoRa P2P as communication protocols under urban, rural and hill-station scenarios. The presented statistics show that, despite 5G ultra-low latency, LoRa P2P consistently provides better reliability and energy efficiency and is more resistant to attacks in the presence of various terrains. Considering the lack of private vehicular 5G infrastructure and the regulatory restrictions, this work simulated and evaluated the performance of 5G communication, while LoRa-based communication was experimentally validated with a hardware prototype. The results underline the trade-offs among LoRa P2P and an infrastructure-based uplink 5G mode, when under some specific simulation conditions, as opposed to claiming superiority over all 5G modes. In conclusion, the presented Raspberry Pi–MATLAB hybrid solution proves to be an effective and scalable approach to secure TPMS in IoV settings, intersecting real-world sensing with large-scale network simulation, thus enabling safer and smarter next-generation vehicular systems. Full article
(This article belongs to the Section Internet of Things)
Show Figures

Figure 1

18 pages, 2484 KB  
Article
FDSDS: A Fuzzy-Based Driver Stress Detection System for VANETs Considering Interval Type-2 Fuzzy Logic and Its Performance Evaluation
by Shunya Higashi, Paboth Kraikritayakul, Yi Liu, Makoto Ikeda, Keita Matsuo and Leonard Barolli
Information 2026, 17(1), 50; https://doi.org/10.3390/info17010050 - 5 Jan 2026
Viewed by 276
Abstract
Vehicular Ad Hoc Networks (VANETs) enable Vehicle-to-Vehicle (V2V) and Vehicle-to-Infrastructure (V2I) communications for enhancing road safety. However, reliable driver stress assessment remains challenging due to noisy sensing, inter-driver variability, and context dynamics. This paper proposes a Fuzzy-based Driver Stress Detection System (FDSDS) that [...] Read more.
Vehicular Ad Hoc Networks (VANETs) enable Vehicle-to-Vehicle (V2V) and Vehicle-to-Infrastructure (V2I) communications for enhancing road safety. However, reliable driver stress assessment remains challenging due to noisy sensing, inter-driver variability, and context dynamics. This paper proposes a Fuzzy-based Driver Stress Detection System (FDSDS) that employs an Interval Type-2 Fuzzy Logic System (IT2FLS) to model uncertainty. The FDSDS considers four complementary inputs—Heart Rate Variability (HRV), Galvanic Skin Response (GSR), Steering Angle Variation (SAV), and Traffic Density (TD)—to estimate Driver Stress Level (DSL). Extensive simulations (14,641 test points) show monotonic associations between DSL and the inputs, which reveal that physiological indicators dominate average influence (finite-difference sensitivity: GSR 0.357, SAV 0.239, TD 0.239, HRV 0.235). Under severe physiological conditions (HRV = 0.1, GSR = 0.9), the system consistently outputs high stress (mean DSL = 0.813; range 0.622–0.958), while favorable physiological conditions (HRV = 0.9, GSR = 0.1) yield low stress even in challenging traffic (range 0.044–0.512). The IT2FLS uncertainty bands widen for intermediate conditions, aligning with the inherent ambiguity of moderate stress states. These results indicate that combining physiological, behavioral, and environmental factors with IT2FLS yields interpreted, uncertainty-aware stress estimates suitable for real-time VANET applications. Full article
(This article belongs to the Special Issue Feature Papers in Information in 2024–2025)
Show Figures

Figure 1

25 pages, 4290 KB  
Article
State-Aware Resource Allocation for V2X Communications
by Ming Sun, Jinqing Xu and Jiaying Wang
Sensors 2026, 26(1), 344; https://doi.org/10.3390/s26010344 - 5 Jan 2026
Viewed by 374
Abstract
Vehicle-to-Everything (V2X) has become a key technology for addressing intelligent transportation challenges. Improving spectrum utilization and mitigating multi-user interference among V2X links are currently the primary focuses of research efforts. However, the time-varying nature of channel resources and the dynamic vehicular environment pose [...] Read more.
Vehicle-to-Everything (V2X) has become a key technology for addressing intelligent transportation challenges. Improving spectrum utilization and mitigating multi-user interference among V2X links are currently the primary focuses of research efforts. However, the time-varying nature of channel resources and the dynamic vehicular environment pose significant challenges to achieving high spectral efficiency and low interference. Numerous studies have demonstrated the effectiveness of deep reinforcement learning (DRL) in distributed resource allocation for vehicular networks. Nevertheless, in conventional distributed DRL frameworks, the independence of agent decisions often weakens cooperation among agents, thereby limiting the overall performance potential of the algorithms. To address this limitation, this paper proposes a state-aware communication resource allocation algorithm for vehicular networks. The proposed approach enhances the representation capability of observable data by expanding the state space, thus improving the utilization of available observations. Additionally, a conditional attention mechanism is introduced to strengthen the model’s perception of environmental dynamics. These innovative improvements significantly enhance each agent’s awareness of the environment and promote effective collaboration among agents. Simulation results verify that the proposed algorithm effectively improves agents’ environmental perception and inter-agent cooperation, leading to superior performance in complex and dynamic V2X scenarios. Full article
(This article belongs to the Section Communications)
Show Figures

Figure 1

30 pages, 623 KB  
Article
Resource Allocation for Network Slicing in 5G/RSU Integrated Networks with Multi-User and Multi-QoS Services
by Kun Song, Hanxiao Jiang, Jining Liu and Wai Kin (Victor) Chan
Mathematics 2026, 14(1), 159; https://doi.org/10.3390/math14010159 - 31 Dec 2025
Viewed by 370
Abstract
Network slicing in 5G systems enables different Quality of Service (QoS) for heterogeneous Vehicle-to-Everything (V2X) applications, yet efficiently allocating resource blocks from both 5G base stations and roadside units (RSUs) across multiple slices remains challenging. Existing approaches either pre-assign users to slices or [...] Read more.
Network slicing in 5G systems enables different Quality of Service (QoS) for heterogeneous Vehicle-to-Everything (V2X) applications, yet efficiently allocating resource blocks from both 5G base stations and roadside units (RSUs) across multiple slices remains challenging. Existing approaches either pre-assign users to slices or rely on population-based metaheuristic algorithms that cannot guarantee deterministic real-time performance within the stringent 20 ms latency requirements of vehicular networks. This study formulates the resource allocation problem as an integer programming model that jointly optimizes slice selection and resource allocation to maximize weighted system transmission rate while satisfying heterogeneous QoS constraints. We develop a constructive heuristic algorithm that employs a hierarchical allocation strategy prioritizing 5G resources before RSU resources, coupled with a backfilling mechanism to exploit the remaining resource block capacity. Numerical experiments across abundant 5G and limited resource scenarios demonstrate the algorithm’s effectiveness. First, comparing against Random baseline validates the optimization model’s value, achieving 21.4–24.9% higher weighted throughput in an abundant 5G scenario and 42.5–51.0% improvement under a limited resource scenario. Second, performance evaluation with 500 users shows the proposed constructive heuristic achieves optimal solutions in abundant 5G resource scenarios and 3.5–5.7% optimality gaps in limited resource scenarios, while maintaining an execution time of under 20 ms, which satisfies real-time requirements and executes faster than Gurobi, Simulated Annealing and Round-Robin. Third, scalability analyses across 400–700 users demonstrate favorable performance scaling, as the optimality gap decreases from 5.3% to 3.4% with execution times consistently below 20 ms. The proposed heuristic achieves the highest service admission count while maintaining near-optimal system weighted transmission rate performance, ranking second only to Gurobi solver. Compared with other baseline algorithms, the proposed heuristic delivers a superior balance between solution quality and computational efficiency, confirming its real-time feasibility for large-scale V2X network deployments. Full article
Show Figures

Figure 1

23 pages, 1190 KB  
Article
Research on a Dual-Trust Selfish Node Detection Algorithm Based on Behavioral and Social Characteristics in VANETs
by Weihu Wang, Menglong Qin, Lan You, Chunmeng Yang, Qiangqiang Lou and Wenbo Guo
Electronics 2026, 15(1), 150; https://doi.org/10.3390/electronics15010150 - 29 Dec 2025
Viewed by 204
Abstract
In Vehicular Ad Hoc Networks (VANETs), vehicles act as independent nodes that can freely establish connections and exchange messages. However, during data forwarding, vehicle nodes may exhibit selfish behavior due to limited resources such as buffer space and bandwidth, or because of social [...] Read more.
In Vehicular Ad Hoc Networks (VANETs), vehicles act as independent nodes that can freely establish connections and exchange messages. However, during data forwarding, vehicle nodes may exhibit selfish behavior due to limited resources such as buffer space and bandwidth, or because of social bias, which leads to a decrease in message delivery rate and an increase in communication overhead. To address this issue, this paper proposes a Dual-Trust Selfish Node Detection Algorithm (DTSDA) based on behavioral and social characteristics. The algorithm first employs a node forwarding behavior evaluation mechanism to detect selfish behaviors caused by resource constraints. Then, it introduces behavioral and social features to construct a dual-trust computation model, which further identifies nodes that are difficult to classify. Finally, a message acknowledgment feedback mechanism is incorporated to detect potential false negatives. Experiments are conducted on the ONE simulation platform, and the proposed DTSDA is compared with STCDA, CCSDA, and DSNDA algorithms. The results demonstrate that DTSDA significantly improves the message delivery rate while reducing the end-to-end delay. This study shows that the proposed algorithm can accurately detect selfish nodes in highly dynamic VANET environments, providing a new approach to enhancing communication reliability in vehicular networks. Full article
(This article belongs to the Section Computer Science & Engineering)
Show Figures

Figure 1

38 pages, 5997 KB  
Article
Blockchain-Enhanced Network Scanning and Monitoring (BENSAM) Framework
by Syed Wasif Abbas Hamdani, Kamran Ali and Zia Muhammad
Blockchains 2026, 4(1), 1; https://doi.org/10.3390/blockchains4010001 - 26 Dec 2025
Viewed by 281
Abstract
In recent years, the convergence of advanced technologies has enabled real-time data access and sharing across diverse devices and networks, significantly amplifying cybersecurity risks. For organizations with digital infrastructures, network security is crucial for mitigating potential cyber-attacks. They establish security policies to protect [...] Read more.
In recent years, the convergence of advanced technologies has enabled real-time data access and sharing across diverse devices and networks, significantly amplifying cybersecurity risks. For organizations with digital infrastructures, network security is crucial for mitigating potential cyber-attacks. They establish security policies to protect systems and data, but employees may intentionally or unintentionally bypass these policies, rendering the network vulnerable to internal and external threats. Detecting these policy violations is challenging, requiring frequent manual system checks for compliance. This paper addresses key challenges in safeguarding digital assets against evolving threats, including rogue access points, man-in-the-middle attacks, denial-of-service (DoS) incidents, unpatched vulnerabilities, and AI-driven automated exploits. We propose a Blockchain-Enhanced Network Scanning and Monitoring (BENSAM) Framework, a multi-layered system that integrates advanced network scanning with a structured database for asset management, policy-driven vulnerability detection, and remediation planning. Key enhancements include device profiling, user activity monitoring, network forensics, intrusion detection capabilities, and multi-format report generation. By incorporating blockchain technology, and leveraging immutable ledgers and smart contracts, the framework ensures tamper-proof audit trails, decentralized verification of policy compliance, and automated real-time responses to violations such as alerts; actual device isolation is performed by external controllers like SDN or NAC systems. The research provides a detailed literature review on blockchain applications in domains like IoT, healthcare, and vehicular networks. A working prototype of the proposed BENSAM framework was developed that demonstrates end-to-end network scanning, device profiling, traffic monitoring, policy enforcement, and blockchain-based immutable logging. This implementation is publicly released and is available on GitHub. It analyzes common network vulnerabilities (e.g., open ports, remote access, and disabled firewalls), attacks (including spoofing, flooding, and DDoS), and outlines policy enforcement methods. Moreover, the framework anticipates emerging challenges from AI-driven attacks such as adversarial evasion, data poisoning, and transformer-based threats, positioning the system for the future integration of adaptive mechanisms to counter these advanced intrusions. This blockchain-enhanced approach streamlines security analysis, extends the framework for AI threat detection with improved accuracy, and reduces administrative overhead by integrating multiple security tools into a cohesive, trustworthy, reliable solution. Full article
Show Figures

Figure 1

Back to TopTop