Sign in to use this feature.

Years

Between: -

Subjects

remove_circle_outline
remove_circle_outline
remove_circle_outline
remove_circle_outline
remove_circle_outline
remove_circle_outline
remove_circle_outline
remove_circle_outline
remove_circle_outline

Journals

remove_circle_outline
remove_circle_outline
remove_circle_outline
remove_circle_outline
remove_circle_outline
remove_circle_outline
remove_circle_outline
remove_circle_outline
remove_circle_outline
remove_circle_outline
remove_circle_outline
remove_circle_outline
remove_circle_outline
remove_circle_outline
remove_circle_outline
remove_circle_outline
remove_circle_outline
remove_circle_outline
remove_circle_outline
remove_circle_outline
remove_circle_outline
remove_circle_outline
remove_circle_outline
remove_circle_outline
remove_circle_outline
remove_circle_outline
remove_circle_outline
remove_circle_outline
remove_circle_outline
remove_circle_outline
remove_circle_outline

Article Types

Countries / Regions

remove_circle_outline
remove_circle_outline
remove_circle_outline
remove_circle_outline
remove_circle_outline
remove_circle_outline
remove_circle_outline
remove_circle_outline
remove_circle_outline
remove_circle_outline

Search Results (10,307)

Search Parameters:
Keywords = Two Temperatures Model

Order results
Result details
Results per page
Select all
Export citation of selected articles as:
22 pages, 4549 KB  
Article
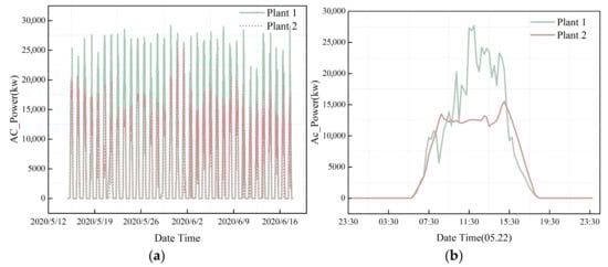
Short-Term PV Power Forecasting with Temporal-Attention LSTM and Successive-Halving Hyperparameter Search
by Hongyin Liu, Chong Du, Ruizhu Guo, Yaxiao Luo, Yansong Cui, Jing Zi, Lv He and Yuan Cao
Electronics 2026, 15(5), 1019; https://doi.org/10.3390/electronics15051019 (registering DOI) - 28 Feb 2026
Abstract
Short-term photovoltaic (PV) power forecasting is crucial for secure and economical grid operation, yet remains challenging under fast and nonstationary irradiance fluctuations. This paper presents a plant-level TA–SH–LSTM framework that integrates temporal attention into an LSTM encoder to highlight informative subsegments for improved [...] Read more.
Short-term photovoltaic (PV) power forecasting is crucial for secure and economical grid operation, yet remains challenging under fast and nonstationary irradiance fluctuations. This paper presents a plant-level TA–SH–LSTM framework that integrates temporal attention into an LSTM encoder to highlight informative subsegments for improved ramp tracking and peak localization and applies budget-aware Successive Halving to jointly tune window length and key hyperparameters under a fixed training budget. To enhance PV-engineering interpretability, we establish a first-order thermal inertia surrogate that explicitly links module temperature to ambient temperature and irradiance, and evaluate robustness across irradiance-tercile regimes within the observation window. Experiments on two real PV plants from the Kaggle Solar Power Generation dataset demonstrate consistent gains over a baseline LSTM and an SH-tuned LSTM. On Plant 1, MAE/RMSE decreases from 1141.1/2066.6 kW to 223.4/424.6 kW and R2 increases from 0.932 to 0.997. Without retraining, the model transfers to Plant 2 with 286.1 kW MAE, 477.1 kW RMSE, and R2 = 0.993, confirming strong cross-site generalization and practical utility under varying operating conditions. Full article
(This article belongs to the Section Artificial Intelligence)
Show Figures

Figure 1

17 pages, 1189 KB  
Article
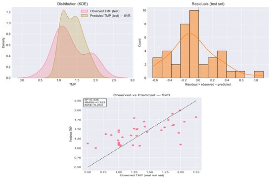
Prediction of Reverse Osmosis Membrane Fouling Using Machine Learning: MLR, ANN, and SVM at a Seawater Desalination Plant
by Siham Kherraf, Fatima-Zahra Abahdou, Maria Benbouzid, Zakaria Izouaouen, Abdellatif Aarfane, Abdoullatif Baraket, Hamid Nasrellah, Meryem Bensemlali, Soumia Ziti, Najoua Labjar and Souad El Hajjaji
Eng 2026, 7(3), 106; https://doi.org/10.3390/eng7030106 (registering DOI) - 28 Feb 2026
Abstract
Membrane fouling remains a major obstacle to the performance of the reverse osmosis (RO) desalination processes. Artificial intelligence (AI) is now a promising approach for the reliable modeling of these complex systems. This study evaluates three modeling techniques—multiple linear regression (MLR), artificial neural [...] Read more.
Membrane fouling remains a major obstacle to the performance of the reverse osmosis (RO) desalination processes. Artificial intelligence (AI) is now a promising approach for the reliable modeling of these complex systems. This study evaluates three modeling techniques—multiple linear regression (MLR), artificial neural networks (ANNs), and support vector regression (SVR)—for predicting transmembrane pressure (TMP) at the Boujdour desalination plant, based on five input parameters: temperature, turbidity, pH, conductivity, and feedflow. The analysis is based on an original dataset of 195 daily measurements, and due to the absence of timestamps, the study focuses on state-to-TMP prediction rather than chronological forecasting, with no temporal generalization claimed. Approximately 2000 augmented training samples generated using a conservative SMOGN approach were used for model development, while performance evaluation relied exclusively on 39 independent real test observations. Two modeling strategies were adopted: (i) a minimalist approach based on significant variables identified by an ordinary least squares (OLS) model (pH and conductivity), and (ii) a multivariate approach integrating all parameters to capture non-linear interactions. A rigorous validation framework was put in place to avoid information leakage and ensure the robustness and generalizability of the models. Performance was evaluated using R2, RMSE, and MAE metrics, supplemented by robustness and significance analyses including bootstrap confidence intervals, paired statistical comparisons, and interpretability analyses based on permutation importance, partial dependence plots (PDPs), and individual conditional expectation (ICE) curves. The results indicate that the SVR model achieves the best average predictive accuracy among the tested models, albeit with moderate explanatory power. Full article
(This article belongs to the Special Issue Artificial Intelligence for Engineering Applications, 2nd Edition)
Show Figures

Figure 1

19 pages, 3562 KB  
Review
Assessing the Potential of Biodegradable Film as an Alternative to Traditional Plastic Film—A Comprehensive Analysis from Yield Enhancement Perspective in China
by Juzhen Xu, Bowei Duan, Haihe Gao, Qin Liu, Wenqing He, Jixiao Cui, Wangsheng Gao and Yuanquan Chen
Agronomy 2026, 16(5), 534; https://doi.org/10.3390/agronomy16050534 (registering DOI) - 28 Feb 2026
Abstract
Biodegradable film (BM) presents a promising replacement for plastic film (PM). However, the ability of BM to substitute PM across different crops and regions remains unclear. This study compared the effects of BM and PM on cotton, maize, potato, and wheat by conducting [...] Read more.
Biodegradable film (BM) presents a promising replacement for plastic film (PM). However, the ability of BM to substitute PM across different crops and regions remains unclear. This study compared the effects of BM and PM on cotton, maize, potato, and wheat by conducting a meta-analysis of yield responses and employing a random forest model to identify key drivers under film mulching. Furthermore, an XGBoost model was applied to simulate spatial yield changes under current and future climate conditions across China’s agro-regions. The meta-analysis indicated that the overall yield enhancement under PM (30.0%) was significantly higher than under BM (26.5%), with a relatively small difference between the two films. The Northern Arid and Semi-Arid Region showed a significant difference, with yield increases of 37.8% under PM and 28.5% under BM. BM resulted in an 18.7% increase in economic return, whereas PM led to a 32% increase. Both BM and PM enhanced the yield of all four crops, but PM had a greater effect on maize (31.8% vs. 28.0%). Random forest identified mean annual temperature (MAT), precipitation (MAP) and nitrogen application rate (N) as the main drivers influencing yield responses under film mulching. Under conditions of MAT < 10 °C, MAP < 450 mm and N ≥ 200 kg ha−1, PM outperformed BM. However, the yield benefits associated with BM will strengthen over time under future climate scenarios. Future scenarios simulations suggested that BM’s relative advantage may increase, particularly for maize, across certain regions. These findings offer region-specific mulching strategies that promote a sustainable agricultural environment. Full article
(This article belongs to the Special Issue Microplastics in Farmland and Their Impact on Soil)
Show Figures

Figure 1

17 pages, 4259 KB  
Article
Condition-Specific Transcriptional and Metabolic Divergence in the Dual-Fungal Symbiosis of JinEr Mushroom Under Postharvest Low-Temperature Stress
by Yuntao Li, Hao Tang, Fuwei Wang, Chaotian Lv, Bin Zhang and Huan Li
Genes 2026, 17(3), 296; https://doi.org/10.3390/genes17030296 (registering DOI) - 28 Feb 2026
Abstract
Background: The JinEr mushroom results from the heterogeneous symbiosis of Naematelia aurantialba and Stereum hirsutum, with low-temperature storage being key for postharvest quality preservation. However, the species-specific low-temperature response patterns remain unclear. Methods: An integrated approach combining metabolomics, transcriptomics (dual-genome alignment), and [...] Read more.
Background: The JinEr mushroom results from the heterogeneous symbiosis of Naematelia aurantialba and Stereum hirsutum, with low-temperature storage being key for postharvest quality preservation. However, the species-specific low-temperature response patterns remain unclear. Methods: An integrated approach combining metabolomics, transcriptomics (dual-genome alignment), and spatially resolved enzyme assays was used to dissect responses at 0 °C and 4 °C. Results: The two fungi displayed distinct stress response tendencies under the studied conditions. N. aurantialba showed enhanced stress defense (DNA repair, antioxidant pathways) with defense-related enzyme activities concentrated in its apical/middle enrichment regions. S. hirsutum was observed to maintain overall metabolic activity at the pathway level, and its metabolic enzyme activities were predominant in the basal region. The symbiotic system exhibited temperature-dependent plasticity stress responses. Storage at 0 °C induced a survival-oriented response with slower crude polysaccharide degradation. In contrast, storage at 4 °C supported active metabolic defense coordination but more pronounced polysaccharide loss. Conclusions: These observed defense- and metabolism-biased differential responses suggest a cold stress-specific coordination working model within the symbiotic system under postharvest cold stress. A temperature of 0 °C is more suitable for enabling JinEr mushroom postharvest storage to retain polysaccharides. This study advances our understanding of heterogeneous symbiotic fungi’s postharvest biology and provides a temperature-targeted theoretical basis for storage optimization. Full article
(This article belongs to the Special Issue 5Gs in Crop Genetic and Genomic Improvement: 2025–2026)
Show Figures

Figure 1

21 pages, 1254 KB  
Article
Solar and Anthropogenic Climate Drivers: An Updated Regression Model and Refined Forecast
by Frank Stefani
Atmosphere 2026, 17(3), 252; https://doi.org/10.3390/atmos17030252 (registering DOI) - 28 Feb 2026
Abstract
Recently, an attempt was made to quantify the respective solar and anthropogenic influences on the terrestrial climate, and to cautiously predict the global mean temperature over the next 130 years. In a double regression analysis, both the binary logarithm of carbon dioxide concentration [...] Read more.
Recently, an attempt was made to quantify the respective solar and anthropogenic influences on the terrestrial climate, and to cautiously predict the global mean temperature over the next 130 years. In a double regression analysis, both the binary logarithm of carbon dioxide concentration and the geomagnetic aa index were used as predictors of the sea surface temperature (SST) since the mid-19th century. The regression results turned out to be sensitive to end effects, leading to a disconcertingly broad range of the climate sensitivity between 0.6 K and 1.6 K per doubling of CO2 when varying the final year of the data used. The aim of this paper is to significantly narrow down this range. To this end, the correlations between the two predictors and the dependent variable (SST) are analysed in detail. It is demonstrated that the SST can be predicted until around 2000 almost perfectly using only the aa index, whereas for later periods the role of CO2 increases significantly. Therefore, the weight of the aa index is fixed to its very robust outcome (around 0.04 K/nT) from the single and double regressions up to 1990. The SST data, reduced by the aa contribution thus specified, are then used in a single regression with CO2 as the only remaining predictor. This results in a significant reduction in the range of CO2 sensitivity, narrowing it to 1.1–1.4 K. Given the exceptionally high temperatures in recent years, these values are considered a kind of upper limit that could still be subject to downward corrections when future data are incorporated. Based on this estimate, a prediction of the temperature up to the year 2100 is ventured, assuming various constant emission scenarios combined with a linear sink model for atmospheric CO2 content. The most risky factor in this prediction is the future of the aa index. For its forecast, the results of a recently developed synchronization model of the solar dynamo are tentatively employed. Full article
(This article belongs to the Special Issue The Challenge of Weather and Climate Prediction (2nd Edition))
Show Figures

Figure 1

25 pages, 2877 KB  
Article
Kinetic and Thermodynamic Studies of Methylene Blue Adsorption on Biomass-Derived Biocarbon Materials
by Dorota Paluch, Aleksandra Bazan-Wozniak, Agnieszka Nosal-Wiercińska and Robert Pietrzak
Int. J. Mol. Sci. 2026, 27(5), 2270; https://doi.org/10.3390/ijms27052270 (registering DOI) - 28 Feb 2026
Abstract
In this study, biocarbon adsorbents were obtained from fennel and caraway seeds through microwave-assisted chemical activation with sodium carbonate. The activation process involved carbonizing the raw material at 300 °C for 30 min., followed by impregnation with sodium carbonate at a precursor-to-activator mass [...] Read more.
In this study, biocarbon adsorbents were obtained from fennel and caraway seeds through microwave-assisted chemical activation with sodium carbonate. The activation process involved carbonizing the raw material at 300 °C for 30 min., followed by impregnation with sodium carbonate at a precursor-to-activator mass ratio of 1:2. Activation was performed at two distinct temperatures—500 °C and 600 °C—with an activation time of 15 min. The structural, textural, and surface chemical characteristics of the obtained biocarbons were investigated using complementary analytical techniques, including low-temperature nitrogen adsorption–desorption isotherms, X-ray photoelectron spectroscopy (XPS), scanning electron microscopy (SEM), X-ray diffraction (XRD), Boehm titration, and pH analysis of aqueous extracts. The resulting adsorbents demonstrated low development of specific surface area (109–154 m2/g) and limited sorption capacity for methylene blue (20–32 mg/g). Adsorption experiments indicated that the Freundlich isotherm model most accurately described the data, suggesting multilayer adsorption on heterogeneous surfaces. Thermodynamic evaluations showed the adsorption to be both spontaneous and endothermic. The adsorption mechanism is primarily governed by electrostatic interactions between the cationic dye and surface functional groups, π–π interactions with the carbon structure, and diffusion within mesopores. This study provides a comparative evaluation of microwave-assisted Na2CO3 activation of fennel and caraway seed waste and assesses the potential of these biochars for dye removal from aqueous solutions. Full article
(This article belongs to the Collection Feature Papers in 'Physical Chemistry and Chemical Physics')
Show Figures

Figure 1

29 pages, 8079 KB  
Article
HW-OPINN: A Heat Wave-Optimized Physics-Informed Neural Network for Marine Heatwave Prediction
by Qi He, Ruize Bi, Wei Zhao, Wenbo Zhang, Yanling Du and Yulin Chen
Remote Sens. 2026, 18(5), 723; https://doi.org/10.3390/rs18050723 (registering DOI) - 27 Feb 2026
Abstract
Marine heatwaves (MHWs) are prolonged extreme warming events that pose severe threats to marine ecosystems and coastal communities, necessitating reliable prediction capabilities for climate adaptation and marine resource management. Traditional numerical models, while physically grounded, are constrained by computational costs and error accumulation, [...] Read more.
Marine heatwaves (MHWs) are prolonged extreme warming events that pose severe threats to marine ecosystems and coastal communities, necessitating reliable prediction capabilities for climate adaptation and marine resource management. Traditional numerical models, while physically grounded, are constrained by computational costs and error accumulation, whereas purely data-driven approaches often lack physical consistency and generalize poorly to extreme events. To address these challenges, this study proposes a Heat Wave-Optimized Physics-Informed Neural Network (HW-OPINN) that synergistically integrates ocean mixed-layer heat budget dynamics with adaptive deep learning techniques. The proposed framework introduces three methodological innovations. First, an adaptive sampling strategy grounded in Boltzmann distribution theory dynamically reallocates physical collocation points toward high-gradient regions based on historical loss patterns. Second, a residual-based adaptive weight update mechanism automatically modulates physical constraint contributions across spatially heterogeneous regions during training. Third, a Bayesian optimization framework employing Gaussian process surrogates systematically balances physical constraints against data fitting objectives. The framework is validated through comprehensive experiments in the Mediterranean Sea using multi-source reanalysis data spanning over two decades. Results demonstrate that HW-OPINN achieves superior performance in sea surface temperature (SST) prediction, with a test MSE of 0.009138 and RMSE of 0.095595, representing improvements of 43.9% and 25.1%, respectively, compared to the ConvLSTM baseline (MSE: 0.016275, RMSE: 0.127575), and 44.8% and 25.7% improvements over standard PINN (MSE: 0.016550, RMSE: 0.128661). Based on the predicted SST fields, the model successfully reproduces the spatial heterogeneity of key MHW characteristics, including event frequency, duration, and intensity distributions, demonstrating its effectiveness for downstream MHW detection and analysis. Full article
26 pages, 1959 KB  
Article
Trustworthy Celestial Eye: Calibrated and Robust Planetary Classification via Self-Supervised Vision Transformers
by Ziqiang Xu, Young Choi, Changyong Yi, Chanjeong Park, Jinyoung Park, Hyungkeun Park and Sujeen Song
Aerospace 2026, 13(3), 222; https://doi.org/10.3390/aerospace13030222 - 27 Feb 2026
Abstract
Automated recognition of celestial bodies from observational imagery is a cornerstone of autonomous space exploration. However, deploying deep learning models in space environments entails rigorous requirements not only for accuracy but also for reliability (calibration) and safety (anomaly rejection). Traditional Convolutional Neural Networks [...] Read more.
Automated recognition of celestial bodies from observational imagery is a cornerstone of autonomous space exploration. However, deploying deep learning models in space environments entails rigorous requirements not only for accuracy but also for reliability (calibration) and safety (anomaly rejection). Traditional Convolutional Neural Networks (CNNs) trained on small-scale astronomical datasets often suffer from overfitting and overconfidence on Out-of-Distribution (OOD) artifacts. In this work, we present a robust classification framework based on DINOv2, a Vision Transformer pre-trained via discriminative self-supervised learning. We curate a high-fidelity dataset of seven planetary classes sourced from NASA archives and propose a two-stage domain adaptation strategy to transfer large-scale foundation model features to this fine-grained task. Extensive experiments show that our method reaches 100% Top-1 accuracy on the canonical split, and remains highly stable under split variation, achieving 99.43% ± 0.85% Top-1 accuracy across R = 5 repeated stratified splits. More importantly, we address the critical issue of model trustworthiness. Through post hoc temperature scaling, our model achieves a state-of-the-art Expected Calibration Error (ECE) of 0.08%, representing a 36-fold improvement over ResNet50 (2.90%) and a 4.5-fold improvement over the EfficientNet-B3 baseline (0.36%). Furthermore, by integrating Energy-based OOD detection, the system effectively rejects non-planetary artifacts with an AUROC of 93.7%. Qualitative analysis using Grad-CAM reveals that self-supervised attention mechanisms naturally focus on intrinsic planetary features (e.g., surface textures and rings) while ignoring background noise, confirming the superior robustness of vision foundation models in astronomical vision tasks. Full article
(This article belongs to the Section Astronautics & Space Science)
Show Figures

Figure 1

27 pages, 6950 KB  
Article
Improving the Prediction of Suspended Sediment Loads Through a Hybrid Red Fox–XGBoost Model for Diverse Flow Regimes in Illinois State
by Mostafa Sadeghzadeh, Sepideh Karimi, Jalal Shiri, Hadi Arvanaghi, Naser Shiri and Gerard Arbat
Water 2026, 18(5), 570; https://doi.org/10.3390/w18050570 - 27 Feb 2026
Abstract
Suspended sediment load (Qs) is an important parameter in the analysis of hydrological processes and management of water resources. Direct methods of measuring Qs are costly and require precise instruments, which makes their application limited, especially in remote regions. Indirect methods, on the [...] Read more.
Suspended sediment load (Qs) is an important parameter in the analysis of hydrological processes and management of water resources. Direct methods of measuring Qs are costly and require precise instruments, which makes their application limited, especially in remote regions. Indirect methods, on the other hand, discover the relationships between river hydrological parameters and Qs. Machine learning-based models are among the empirical data mining approaches that have been employed for the prediction of Qs under various conditions. Ensemble models, e.g., XGBoost (Python 3.12.3 with XGBoost version 3.1.0), are among the widely used machine learning approaches in the hydrologic context. A challenging step in establishing such models is conducting suitable hyperparameter tuning. A modeling study is reported here that combines the metaheuristic red fox algorithm (RFO) with XGBoost to improve Qs prediction. Daily observations of 21 years from Illinois State, USA (12 rivers), were used to assess the proposed methodology. Hydrologic data, including water stage, temperature, sediment concentration and river water flowrate were used as input variables when defining two input configurations. The obtained results reveal that the proposed RFO-XGBoost model outperformed the standalone XGBoost model in all the studied sites for both input configurations. However, the performance improvement percentage fluctuated among the sites. It was found that the model improvement was primarily affected by river hydrologic characteristics. A SHAP analysis revealed river flowrate as the most empirically influential input parameter in the model’s predictions of Qs. Uncertainty analysis through the Monte Carlo simulations further confirmed the proposed model’s enhanced performance and robustness. Full article
22 pages, 5746 KB  
Article
Evaluation of Dome–Cylinder Interface of Prestressed Concrete Containment Subjected to Nuclear Accidental Thermal and Pressure Loads
by RenJie Chen and Shen Wang
Appl. Sci. 2026, 16(5), 2305; https://doi.org/10.3390/app16052305 - 27 Feb 2026
Abstract
A prestressed concrete containment vessel (PCCV) serves as the final physical barrier for nuclear reactors, with its structural integrity being critical to prevent radioactive release during accident scenarios. Addressing structural complexity at the dome–cylinder interface of prestressed concrete containments, arising from its geometric [...] Read more.
A prestressed concrete containment vessel (PCCV) serves as the final physical barrier for nuclear reactors, with its structural integrity being critical to prevent radioactive release during accident scenarios. Addressing structural complexity at the dome–cylinder interface of prestressed concrete containments, arising from its geometric discontinuities and complex stress concentrations, this study systematically investigates the structural behavior and force distribution under coupled thermal and internal pressure loads due to nuclear accident. A parametrical nonlinear finite element (NLFE) PCCV model based on concrete damaged plasticity (CDP) theory is developed and first validated using the results from two different experimental tests. The validated NLFE model is then used to conduct a series of parametrical studies that are based on the practical example of nuclear PCCVs in China. The effects of various design parameters including the dome–cylinder thickness ratio, reinforcement ratio, accidental temperature and accidental pressure loads are studied in detail. The results show that current practice in nuclear concrete containment design using linear FE with a reduced concrete modulus may significantly underestimate both the moments and shear forces at the dome–cylinder interface, by factors of up to 1.55 times and 3.91 times, respectively. In conclusion, this work quantifies the shear amplification effect driven by the stiffness redistribution mechanism and proposes specific amplification factors to ensure the structural integrity of containment vessels under severe accident conditions. Full article
(This article belongs to the Section Civil Engineering)
Show Figures

Figure 1

14 pages, 1328 KB  
Proceeding Paper
An Intelligent Prediction–Optimization Framework for Free Chlorine Removal from Industrial Wastewater Using Activated Carbon Filtration
by Alisher Rakhimov, Rustam Bozorov, Shuhrat Mutalov, Jaloliddin Eshbobaev, Mirjalol Yusupov, Farida Islomova and Bokhodir Yunusov
Eng. Proc. 2026, 124(1), 50; https://doi.org/10.3390/engproc2026124050 - 26 Feb 2026
Abstract
Free chlorine removal from industrial wastewater using activated carbon filtration requires accurate modeling and optimal control to balance treatment efficiency and adsorbent consumption. In this study, a combined experimental–machine learning–optimization framework was developed to predict and optimize residual chlorine concentration in a pilot-scale [...] Read more.
Free chlorine removal from industrial wastewater using activated carbon filtration requires accurate modeling and optimal control to balance treatment efficiency and adsorbent consumption. In this study, a combined experimental–machine learning–optimization framework was developed to predict and optimize residual chlorine concentration in a pilot-scale activated carbon filtration unit. A total of 200 experimental runs were collected using a pilot activated carbon filtration system by varying flow rate, initial chlorine concentration, pressure, pH, temperature, and carbon dose. Two ensemble learning models, Random Forest (RF) and Gradient Boosting (GB), were trained and validated using five-fold cross-validation. Both models exhibited high predictive accuracy, with GB outperforming RF on the full dataset (R2 = 0.9995, Root Mean Square Error (RMSE) = 0.0355 mg·L−1, Mean Absolute Error (MAE) = 0.0276 mg·L−1) and on the independent test set (R2 = 0.9417). Feature importance and partial dependence analyses revealed that the initial chlorine concentration and activated carbon dose were the dominant controlling variables, while increasing flow rate led to higher residual chlorine levels. A multi-objective optimization strategy based on Pareto dominance was implemented using the trained GB model as a surrogate to simultaneously minimize residual chlorine and carbon consumption. The optimal compromise solution corresponded to an activated carbon dose of approximately 51.5 kg and a residual chlorine concentration of 0.156 mg·L−1 at a flow rate of 43.1 m3·h−1. The proposed framework demonstrates a reliable and cost-effective approach for predictive control and sustainable optimization of dechlorination processes in industrial wastewater treatment. Full article
(This article belongs to the Proceedings of The 6th International Electronic Conference on Applied Sciences)
Show Figures

Figure 1

18 pages, 8189 KB  
Article
Electromagnetic Exposure Assessment of 5G Mobile Phones: SAR and Thermal Distribution in a Multi-Layer Human Head Model
by Dengpeng Chen and Bingtao Zhang
Sensors 2026, 26(5), 1468; https://doi.org/10.3390/s26051468 - 26 Feb 2026
Viewed by 32
Abstract
The rapid deployment of 5G technology has raised public concern regarding the potential health effects of electromagnetic radiation from mobile devices. This study systematically evaluates the specific absorption rate (SAR) and temperature distribution in a multi-layer spherical head model exposed to near-field radiation [...] Read more.
The rapid deployment of 5G technology has raised public concern regarding the potential health effects of electromagnetic radiation from mobile devices. This study systematically evaluates the specific absorption rate (SAR) and temperature distribution in a multi-layer spherical head model exposed to near-field radiation from a 5G mobile phone antenna. A planar inverted-F antenna (PIFA) covering the 3.5 GHz band was integrated into a smartphone model, and simulations were performed in COMSOL Multiphysics 6.3 under input powers of 21 dBm and 24 dBm at varying antenna–head distances. The results show that the peak SAR in the brain layer remained at 0.034 W/kg and 0.065 W/kg for the two power levels, both well below the International Commission on Non-Ionizing Radiation Protection (ICNIRP) safety limit of 2 W/kg. The highest SAR occurred in the scalp layer, decreasing gradually through the skull and brain tissues. After 30 min of exposure, the maximum brain temperature reached only 37.223 °C, far lower than the thermal damage threshold. Increasing the antenna–head distance from 5 mm to 30 mm reduced SAR by up to 50.2%, while temperature variations remained negligible (≤0.18%). These findings demonstrate that under typical usage conditions, 5G mobile phone radiation complies with international safety standards and poses no significant thermal risk, thereby contributing to a deeper understanding of bio-electromagnetic interactions and supporting ongoing wireless-communication safety assessments. Full article
(This article belongs to the Section Communications)
Show Figures

Figure 1

21 pages, 1394 KB  
Article
Surviving the Storms: How Climate Change Is Starving Malawi, Madagascar, Mozambique and Zimbabwe: An ARDL Modelling
by Sydney Nkhoma, Mwayi Mambosasa, Victor Limbe, Steven Dunga, Joseph Mahuka and Lughano Mwalughali
World 2026, 7(3), 33; https://doi.org/10.3390/world7030033 - 26 Feb 2026
Viewed by 34
Abstract
This research examined the long-run effect of climate change on food security in Malawi, Madagascar, Mozambique and Zimbabwe using the Autoregressive Distributed Lag (ARDL) model. The study used nine variables for quantitative analysis using data for the four countries from the World Bank [...] Read more.
This research examined the long-run effect of climate change on food security in Malawi, Madagascar, Mozambique and Zimbabwe using the Autoregressive Distributed Lag (ARDL) model. The study used nine variables for quantitative analysis using data for the four countries from the World Bank spanning from 2000 to 2023, using two models. The results were validated using the pooled mean group (PMG) estimator. The results from model 1 show that environmental temperature, fertiliser consumption, credit access, age dependency ratio, urbanisation and land size significantly affect the percentage of crop yields. The model 2 results show that all the aforementioned factors, including cereal temperature and yields, have an effect on the prevalence of malnutrition, which was a proxy for food security in this study. Furthermore, the study used the Granger causality test to indicate a unidirectional causality direction from both models’ independent variables to dependent variables. From the econometric analysis conducted, the findings highlight the urgent need for targeted interventions, such as promoting climate-resilient agriculture, expanding access to credit and social protection policies, to enhance nutritional well-being and improve resilience to climate shocks. Full article
Show Figures

Figure 1

20 pages, 5672 KB  
Article
A Quality-Control Fusion Algorithm for Cloud-Radar Data in Complex Weather Scenarios Integrating LightGBM and Neighborhood Filtering
by Chang Hou, Weihua Liu, Fa Tao and Shuzhen Hu
Remote Sens. 2026, 18(5), 691; https://doi.org/10.3390/rs18050691 - 26 Feb 2026
Viewed by 34
Abstract
In order to address the challenges of limited accuracy in identifying non-meteorological clutter and the spatial overlap between meteorological and non-meteorological echoes in cloud radar observations under complex weather conditions, in this study, we propose a quality-control method for cloud-radar data, which integrates [...] Read more.
In order to address the challenges of limited accuracy in identifying non-meteorological clutter and the spatial overlap between meteorological and non-meteorological echoes in cloud radar observations under complex weather conditions, in this study, we propose a quality-control method for cloud-radar data, which integrates machine learning with neighborhood filtering, This quality-control method first uses the Light Gradient Boosting Machine (LightGBM) to initially identify clutter, then employs a customized neighborhood filtering module to optimize and eliminate residual isolated clutter. This two-stage framework combines the strengths of accurate machine-learning-based classification and physically motivated filtering optimization, enabling reliable discrimination between meteorological and non-meteorological echoes. Based on multi-region, long-term and multi-model radar baseline observations, which cover typical complex weather types such as snow, fog, rain, low clouds and dust, the refined manual labeling of meteorological and non-meteorological echoes is carried out, combined with multi-source ground observation data such as surface observations, temperature and humidity. Based on this, a feature training dataset for machine learning is constructed, which contains over 20 million samples. A multi-index evaluation system—including echo classification accuracy and non-meteorological clutter rejection rate—is used to quantitatively assess the quality-control performance of the method in different weather scenarios. The results indicate that the proposed method demonstrates stable performance in typical complex weather scenarios, with comprehensive scores of 90.73 (snow), 94.23 (rain), 96.49 (low clouds), 91.10 (fog) and 95.79 (dust) on a 100-point scale. Through typical case studies and statistical data analysis, the proposed algorithm achieves better quality-control scores in comparison with the Random Forest and single LightGBM algorithms. It provides a new technical approach for cloud-radar data quality control and also offers a theoretical basis for the feature selection of machine-learning-based quality-control models, further enhancing the application value of cloud-radar data in refined meteorological observations. Full article
Show Figures

Figure 1

11 pages, 277 KB  
Article
Berezinskii–Kosterlitz–Thouless Quantum Transition in Two Dimensions
by M. Cristina Diamantini, Carlo A. Trugenberger and Valerii M. Vinokur
Materials 2026, 19(5), 868; https://doi.org/10.3390/ma19050868 - 26 Feb 2026
Viewed by 47
Abstract
The Berezinskii–Kosterlitz–Thouless (BKT) transition is the prototype of a phase transition driven by the formation and interaction of topological defects in two-dimensional (2D) systems. In typical models, these are vortices: above a transition temperature TBKT, vortices are free; below this transition [...] Read more.
The Berezinskii–Kosterlitz–Thouless (BKT) transition is the prototype of a phase transition driven by the formation and interaction of topological defects in two-dimensional (2D) systems. In typical models, these are vortices: above a transition temperature TBKT, vortices are free; below this transition temperature, they get confined. In this work, we extend the concept of BKT transition to quantum systems in two dimensions. In particular, we demonstrate that a zero-temperature quantum BKT phase transition driven by a coupling constant can occur in 2D models governed by an effective gauge field theory with a diverging dielectric constant. One particular example is that of a compact U(1) gauge theory with a diverging dielectric constant, where the quantum BKT transition is induced by non-relativistic, purely 2D magnetic monopoles, which can be viewed also as electric vortices. These quantum BKT transitions have the same diverging exponent z as the quantum Griffiths transition but are not related to disorder. Full article
(This article belongs to the Section Quantum Materials)
Back to TopTop