Sign in to use this feature.

Years

Between: -

Subjects

remove_circle_outline
remove_circle_outline
remove_circle_outline
remove_circle_outline

Journals

Article Types

Countries / Regions

Search Results (10)

Search Parameters:
Keywords = Tubercidin

Order results
Result details
Results per page
Select all
Export citation of selected articles as:
23 pages, 12079 KB  
Article
Structure-Based Identification of SARS-CoV-2 nsp10-16 Methyltransferase Inhibitors Using Molecular Dynamics Insights
by Ahmad M. Alharbi
Curr. Issues Mol. Biol. 2025, 47(3), 198; https://doi.org/10.3390/cimb47030198 - 17 Mar 2025
Cited by 4 | Viewed by 1282
Abstract
SARS-CoV-2 evades immune detection via nsp10-16 methyltransferase-mediated 2′-O-methylation of viral mRNA, making it a key antiviral target. Our study employed structure-based drug discovery—including virtual screening, molecular docking, and molecular dynamics (MD) simulations—to identify potent inhibitors of nsp10-16. We identified seven promising inhibitors (Z1–Z7) [...] Read more.
SARS-CoV-2 evades immune detection via nsp10-16 methyltransferase-mediated 2′-O-methylation of viral mRNA, making it a key antiviral target. Our study employed structure-based drug discovery—including virtual screening, molecular docking, and molecular dynamics (MD) simulations—to identify potent inhibitors of nsp10-16. We identified seven promising inhibitors (Z1–Z7) targeting the binding site of the SARS-CoV-2 nsp10-16 methyltransferase, with Z2, Z3, Z4, and Z7 exhibiting strong binding affinities. Further, molecular dynamics simulations confirmed that Z2, Z3, and Z7 effectively stabilized the enzyme by reducing conformational fluctuations and maintaining structural compactness, comparable to the native ligand-bound complex. The conformational deviation revealed that Z2, Z6, and Z7 restricted large-scale conformational transitions, reinforcing their stabilizing effect on the enzyme. The binding free energy calculations ranked Z4 (−37.26 kcal/mol), Z7 (−35.37 kcal/mol), and Z6 (−35.22 kcal/mol) as the strongest binders, surpassing the native tubercidin complex (−23.70 kcal/mol). The interactions analysis identified Asp99, Tyr132, and Cys115 as key stabilizing residues, with Z2, Z6, and Z7 forming high-lifetime hydrogen bonds. The drug-likeness analysis highlighted the selected compounds as promising candidates, exhibiting high gastrointestinal absorption, optimal solubility, and minimal CYP450 inhibition. Further experimental validation and lead optimization are needed to develop potent methyltransferase inhibitors with improved pharmacokinetics and antiviral efficacy. Full article
(This article belongs to the Special Issue New Insight: Enzymes as Targets for Drug Development, 2nd Edition)
Show Figures

Figure 1

33 pages, 4518 KB  
Article
Cloning and Characterization of Trypanosoma congolense and T. vivax Nucleoside Transporters Reveal the Potential of P1-Type Carriers for the Discovery of Broad-Spectrum Nucleoside-Based Therapeutics against Animal African Trypanosomiasis
by Marzuq A. Ungogo, Mustafa M. Aldfer, Manal J. Natto, Hainan Zhuang, Robyn Chisholm, Katy Walsh, MarieClaire McGee, Kayhan Ilbeigi, Jamal Ibrahim Asseri, Richard J. S. Burchmore, Guy Caljon, Serge Van Calenbergh and Harry P. De Koning
Int. J. Mol. Sci. 2023, 24(4), 3144; https://doi.org/10.3390/ijms24043144 - 5 Feb 2023
Cited by 11 | Viewed by 3890
Abstract
African Animal Trypanosomiasis (AAT), caused predominantly by Trypanosoma brucei brucei, T. vivax and T. congolense, is a fatal livestock disease throughout Sub-Saharan Africa. Treatment options are very limited and threatened by resistance. Tubercidin (7-deazaadenosine) analogs have shown activity against individual parasites [...] Read more.
African Animal Trypanosomiasis (AAT), caused predominantly by Trypanosoma brucei brucei, T. vivax and T. congolense, is a fatal livestock disease throughout Sub-Saharan Africa. Treatment options are very limited and threatened by resistance. Tubercidin (7-deazaadenosine) analogs have shown activity against individual parasites but viable chemotherapy must be active against all three species. Divergence in sensitivity to nucleoside antimetabolites could be caused by differences in nucleoside transporters. Having previously characterized the T. brucei nucleoside carriers, we here report the functional expression and characterization of the main adenosine transporters of T. vivax (TvxNT3) and T. congolense (TcoAT1/NT10), in a Leishmania mexicana cell line (‘SUPKO’) lacking adenosine uptake. Both carriers were similar to the T. brucei P1-type transporters and bind adenosine mostly through interactions with N3, N7 and 3′-OH. Expression of TvxNT3 and TcoAT1 sensitized SUPKO cells to various 7-substituted tubercidins and other nucleoside analogs although tubercidin itself is a poor substrate for P1-type transporters. Individual nucleoside EC50s were similar for T. b. brucei, T. congolense, T. evansi and T. equiperdum but correlated less well with T. vivax. However, multiple nucleosides including 7-halogentubercidines displayed pEC50>7 for all species and, based on transporter and anti-parasite SAR analyses, we conclude that nucleoside chemotherapy for AAT is viable. Full article
Show Figures

Figure 1

17 pages, 2506 KB  
Article
Phenotypic Evaluation of Nucleoside Analogues against Trypanosoma cruzi Infection: In Vitro and In Vivo Approaches
by Ludmila F. de A. Fiuza, Denise G. J. Batista, Roberson D. Girão, Fabian Hulpia, Paula Finamore-Araújo, Mustafa M. Aldfer, Ehab Kotb Elmahallawy, Harry P. De Koning, Otacílio Moreira, Serge Van Calenbergh and Maria de Nazaré C. Soeiro
Molecules 2022, 27(22), 8087; https://doi.org/10.3390/molecules27228087 - 21 Nov 2022
Cited by 16 | Viewed by 2982
Abstract
Chagas disease, caused by Trypanosoma cruzi (T. cruzi), is a serious public health problem. Current treatment is restricted to two drugs, benznidazole and nifurtimox, displaying serious efficacy and safety drawbacks. Nucleoside analogues represent a promising alternative as protozoans do not biosynthesize [...] Read more.
Chagas disease, caused by Trypanosoma cruzi (T. cruzi), is a serious public health problem. Current treatment is restricted to two drugs, benznidazole and nifurtimox, displaying serious efficacy and safety drawbacks. Nucleoside analogues represent a promising alternative as protozoans do not biosynthesize purines and rely on purine salvage from the hosts. Protozoan transporters often present different substrate specificities from mammalian transporters, justifying the exploration of nucleoside analogues as therapeutic agents. Previous reports identified nucleosides with potent trypanocidal activity; therefore, two 7-derivatized tubercidins (FH11706, FH10714) and a 3′-deoxytubercidin (FH8513) were assayed against T. cruzi. They were highly potent and selective, and the uptake of the tubercidin analogues appeared to be mediated by the nucleoside transporter TcrNT2. At 10 μM, the analogues reduced parasitemia >90% in 2D and 3D cardiac cultures. The washout assays showed that FH10714 sterilized the infected cultures. Given orally, the compounds did not induce noticeable mouse toxicity (50 mg/kg), suppressed the parasitemia of T. cruzi-infected Swiss mice (25 mg/kg, 5 days) and presented DNA amplification below the limit of detection. These findings justify further studies with longer treatment regimens, as well as evaluations in combination with nitro drugs, aiming to identify more effective and safer therapies for Chagas disease. Full article
(This article belongs to the Special Issue Medicinal Chemistry Studies of Neglected Diseases)
Show Figures

Graphical abstract

24 pages, 6697 KB  
Article
The Trypanosoma cruzi TcrNT2 Nucleoside Transporter Is a Conduit for the Uptake of 5-F-2′-Deoxyuridine and Tubercidin Analogues
by Mustafa M. Aldfer, Ibrahim A. Alfayez, Hamza A. A. Elati, Nilanjana Gayen, Ehab Kotb Elmahallawy, Ana Milena Murillo, Sabrina Marsiccobetre, Serge Van Calenbergh, Ariel M. Silber and Harry P. de Koning
Molecules 2022, 27(22), 8045; https://doi.org/10.3390/molecules27228045 - 19 Nov 2022
Cited by 5 | Viewed by 2613
Abstract
Among the scarce validated drug targets against Chagas disease (CD), caused by Trypanosoma cruzi, the parasite’s nucleoside salvage system has recently attracted considerable attention. Although the trypanocidal activity of tubercidin (7-deazapurine) has long been known, the identification of a class of 7-substituted [...] Read more.
Among the scarce validated drug targets against Chagas disease (CD), caused by Trypanosoma cruzi, the parasite’s nucleoside salvage system has recently attracted considerable attention. Although the trypanocidal activity of tubercidin (7-deazapurine) has long been known, the identification of a class of 7-substituted tubercidin analogs with potent in vitro and in vivo activity and much-enhanced selectivity has made nucleoside analogs among the most promising lead compounds against CD. Here, we investigate the recently identified TcrNT2 nucleoside transporter and its potential role in antimetabolite chemotherapy. TcrNT2, expressed in a Leishmania mexicana cell line lacking the NT1 nucleoside transporter locus, displayed very high selectivity and affinity for thymidine with a Km of 0.26 ± 0.05 µM. The selectivity was explained by interactions of 2-oxo, 4-oxo, 5-Me, 3′-hydroxy and 5′-hydroxy with the transporter binding pocket, whereas a hydroxy group at the 2′ position was deleterious to binding. This made 5-halogenated 2′-deoxyuridine analogues good substrates but 5-F-2′-deoxyuridine displayed disappointing activity against T. cruzi trypomastigotes. By comparing the EC50 values of tubercidin and its 7-substituted analogues against L. mexicana Cas9, Cas9ΔNT1 and Cas9ΔNT1+TcrNT2 it was shown that TcrNT2 can take up tubercidin and, at a minimum, a subset of the analogs. Full article
(This article belongs to the Special Issue Medicinal Chemistry Studies of Neglected Diseases)
Show Figures

Figure 1

10 pages, 2888 KB  
Article
Halogen Bonding in Haspin-Halogenated Tubercidin Complexes: Molecular Dynamics and Quantum Chemical Calculations
by Yujing Zhou and Ming Wah Wong
Molecules 2022, 27(3), 706; https://doi.org/10.3390/molecules27030706 - 21 Jan 2022
Cited by 9 | Viewed by 3626
Abstract
Haspin, an atypical serine/threonine protein kinase, is a potential target for cancer therapy. 5-iodotubercidin (5-iTU), an adenosine derivative, has been identified as a potent Haspin inhibitor in vitro. In this paper, quantum chemical calculations and molecular dynamics (MD) simulations were employed to identify [...] Read more.
Haspin, an atypical serine/threonine protein kinase, is a potential target for cancer therapy. 5-iodotubercidin (5-iTU), an adenosine derivative, has been identified as a potent Haspin inhibitor in vitro. In this paper, quantum chemical calculations and molecular dynamics (MD) simulations were employed to identify and quantitatively confirm the presence of halogen bonding (XB), specifically halogen∙∙∙π (aromatic) interaction between halogenated tubercidin ligands with Haspin. Consistent with previous theoretical finding, the site specificity of the XB binding over the ortho-carbon is identified in all cases. A systematic increase of the interaction energy down Group 17, based on both quantum chemical and MD results, supports the important role of halogen bonding in this series of inhibitors. The observed trend is consistent with the experimental observation of the trend of activity within the halogenated tubercidin ligands (F < Cl < Br < I). Furthermore, non-covalent interaction (NCI) plots show that cooperative non-covalent interactions, namely, hydrogen and halogen bonds, contribute to the binding of tubercidin ligands toward Haspin. The understanding of the role of halogen bonding interaction in the ligand–protein complexes may shed light on rational design of potent ligands in the future. Full article
(This article belongs to the Special Issue Small Molecules in Drug Discovery and Pharmacology)
Show Figures

Figure 1

16 pages, 6336 KB  
Article
4E Interacting Protein as a Potential Novel Drug Target for Nucleoside Analogues in Trypanosoma brucei
by Dorien Mabille, Camila Cardoso Santos, Rik Hendrickx, Mathieu Claes, Peter Takac, Christine Clayton, Sarah Hendrickx, Fabian Hulpia, Louis Maes, Serge Van Calenbergh and Guy Caljon
Microorganisms 2021, 9(4), 826; https://doi.org/10.3390/microorganisms9040826 - 13 Apr 2021
Cited by 8 | Viewed by 3386
Abstract
Human African trypanosomiasis is a neglected parasitic disease for which the current treatment options are quite limited. Trypanosomes are not able to synthesize purines de novo and thus solely depend on purine salvage from the host environment. This characteristic makes players of the [...] Read more.
Human African trypanosomiasis is a neglected parasitic disease for which the current treatment options are quite limited. Trypanosomes are not able to synthesize purines de novo and thus solely depend on purine salvage from the host environment. This characteristic makes players of the purine salvage pathway putative drug targets. The activity of known nucleoside analogues such as tubercidin and cordycepin led to the development of a series of C7-substituted nucleoside analogues. Here, we use RNA interference (RNAi) libraries to gain insight into the mode-of-action of these novel nucleoside analogues. Whole-genome RNAi screening revealed the involvement of adenosine kinase and 4E interacting protein into the mode-of-action of certain antitrypanosomal nucleoside analogues. Using RNAi lines and gene-deficient parasites, 4E interacting protein was found to be essential for parasite growth and infectivity in the vertebrate host. The essential nature of this gene product and involvement in the activity of certain nucleoside analogues indicates that it represents a potential novel drug target. Full article
Show Figures

Figure 1

11 pages, 1470 KB  
Communication
First Total Synthesis of 5′-O-α-d-Glucopyranosyl Tubercidin
by Wenliang Ouyang, Haiyang Huang, Ruchun Yang, Haixin Ding and Qiang Xiao
Mar. Drugs 2020, 18(8), 398; https://doi.org/10.3390/md18080398 - 29 Jul 2020
Cited by 4 | Viewed by 3269
Abstract
The first total synthesis of 5′-O-α-d-glucopyranosyl tubercidin was successfully developed. It is a structurally unique disaccharide 7-deazapurine nucleoside exhibiting fungicidal activity, and was isolated from blue-green algae. The total synthesis was accomplished in eight steps with 27% overall yield [...] Read more.
The first total synthesis of 5′-O-α-d-glucopyranosyl tubercidin was successfully developed. It is a structurally unique disaccharide 7-deazapurine nucleoside exhibiting fungicidal activity, and was isolated from blue-green algae. The total synthesis was accomplished in eight steps with 27% overall yield from commercially available 1-O-acetyl-2,3,5-tri-O-benzoyl-β-d-ribose. The key step involves stereoselective α-O-glycosylation of the corresponding 7-bromo-6-chloro-2′,3′-O-isopropylidene-β-d-tubercidin with 2,3,4,6-tetra-O-benzyl-glucopyranosyl trichloroacetimidate. All spectra are in accordance with the reported data for natural 5′-O-α-d-glucopyranosyl tubercidin. Meanwhile, 5′-O-β-d-glucopyranosyl tubercidin was also prepared using the same strategy. Full article
Show Figures

Graphical abstract

16 pages, 2842 KB  
Article
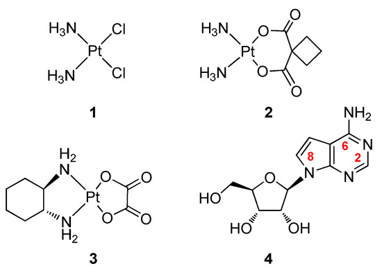
Probing the DNA Reactivity and the Anticancer Properties of a Novel Tubercidin-Pt(II) Complex
by Stefano D’Errico, Andrea Patrizia Falanga, Domenica Capasso, Sonia Di Gaetano, Maria Marzano, Monica Terracciano, Giovanni Nicola Roviello, Gennaro Piccialli, Giorgia Oliviero and Nicola Borbone
Pharmaceutics 2020, 12(7), 627; https://doi.org/10.3390/pharmaceutics12070627 - 4 Jul 2020
Cited by 12 | Viewed by 3339
Abstract
Herein, we reported on the synthesis of a novel Pt(II) neutral complex having as ligand the nucleoside tubercidin, a potent anti-tumor agent extracted from the bacterium Streptomyces Tubercidicus. In detail, the chelation of the metal by a diamine linker installed at C6 [...] Read more.
Herein, we reported on the synthesis of a novel Pt(II) neutral complex having as ligand the nucleoside tubercidin, a potent anti-tumor agent extracted from the bacterium Streptomyces Tubercidicus. In detail, the chelation of the metal by a diamine linker installed at C6 purine position of tubercidin assured the introduction of a cisplatin-like unit in the molecular scaffold. The behavior of the synthesized complex with a double-strand DNA model was monitored by CD spectroscopy and compared with that of cisplatin and tubercidin. In addition, the cell viability was evaluated against HeLa, A375 and WM266 human cancer cell lines using the MTT test. Lastly, the results of the apoptotic assay (FITC Annexin V) performed on the HeLa cancer cell line are also reported. Full article
(This article belongs to the Section Drug Targeting and Design)
Show Figures

Graphical abstract

19 pages, 5387 KB  
Article
Tricyclic Nucleobase Analogs and Their Ribosides as Substrates and Inhibitors of Purine-Nucleoside Phosphorylases III. Aminopurine Derivatives
by Alicja Stachelska-Wierzchowska, Jacek Wierzchowski, Michał Górka, Agnieszka Bzowska, Ryszard Stolarski and Beata Wielgus-Kutrowska
Molecules 2020, 25(3), 681; https://doi.org/10.3390/molecules25030681 - 5 Feb 2020
Cited by 6 | Viewed by 3946
Abstract
Etheno-derivatives of 2-aminopurine, 2-aminopurine riboside, and 7-deazaadenosine (tubercidine) were prepared and purified using standard methods. 2-Aminopurine reacted with aqueous chloroacetaldehyde to give two products, both exhibiting substrate activity towards bacterial (E. coli) purine-nucleoside phosphorylase (PNP) in the reverse (synthetic) pathway. The [...] Read more.
Etheno-derivatives of 2-aminopurine, 2-aminopurine riboside, and 7-deazaadenosine (tubercidine) were prepared and purified using standard methods. 2-Aminopurine reacted with aqueous chloroacetaldehyde to give two products, both exhibiting substrate activity towards bacterial (E. coli) purine-nucleoside phosphorylase (PNP) in the reverse (synthetic) pathway. The major product of the chemical synthesis, identified as 1,N2-etheno-2-aminopurine, reacted slowly, while the second, minor, but highly fluorescent product, reacted rapidly. NMR analysis allowed identification of the minor product as N2,3-etheno-2-aminopurine, and its ribosylation product as N2,3-etheno-2-aminopurine-N2-β-d-riboside. Ribosylation of 1,N2-etheno-2-aminopurine led to analogous N2-β-d-riboside of this base. Both enzymatically produced ribosides were readily phosphorolysed by bacterial PNP to the respective bases. The reaction of 2-aminopurine-N9-β -d-riboside with chloroacetaldehyde gave one major product, clearly distinct from that obtained from the enzymatic synthesis, which was not a substrate for PNP. A tri-cyclic 7-deazaadenosine (tubercidine) derivative was prepared in an analogous way and shown to be an effective inhibitor of the E. coli, but not of the mammalian enzyme. Fluorescent complexes of amino-purine analogs with E. coli PNP were observed. Full article
Show Figures

Figure 1

3 pages, 136 KB  
Short Note
Synthesis of 3-(4-Amino-7H-pyrrolo[2,3-d]pyrimidin-7-yl)propanoic acid – A Functionalized Base Derivative of the Nucleoside Antibiotic Tubercidin
by Helmut Rosemeyer
Molbank 2007, 2007(4), M555; https://doi.org/10.3390/M555 - 27 Aug 2007
Cited by 1 | Viewed by 4862
Abstract
Regioselective N-alkylation of 4-chloro-2-(methylthio)-7H-pyrrolo[2,3-d]pyrimidine (1) with ethyl 3-bromopropionate under liquid-liquid phase transfer reaction conditions and further saponification of the ester function under formation of compound 3b is described. Subsequent SNAr substitution of the 4-chloro substituent by an amino function [...] Read more.
Regioselective N-alkylation of 4-chloro-2-(methylthio)-7H-pyrrolo[2,3-d]pyrimidine (1) with ethyl 3-bromopropionate under liquid-liquid phase transfer reaction conditions and further saponification of the ester function under formation of compound 3b is described. Subsequent SNAr substitution of the 4-chloro substituent by an amino function and reductive removal of the 2-methylthio group of 3b gives, via 4a, the title compound 4b. Full article
Back to TopTop