Abstract
Etheno-derivatives of 2-aminopurine, 2-aminopurine riboside, and 7-deazaadenosine (tubercidine) were prepared and purified using standard methods. 2-Aminopurine reacted with aqueous chloroacetaldehyde to give two products, both exhibiting substrate activity towards bacterial (E. coli) purine-nucleoside phosphorylase (PNP) in the reverse (synthetic) pathway. The major product of the chemical synthesis, identified as 1,N2-etheno-2-aminopurine, reacted slowly, while the second, minor, but highly fluorescent product, reacted rapidly. NMR analysis allowed identification of the minor product as N2,3-etheno-2-aminopurine, and its ribosylation product as N2,3-etheno-2-aminopurine-N2-β-d-riboside. Ribosylation of 1,N2-etheno-2-aminopurine led to analogous N2-β-d-riboside of this base. Both enzymatically produced ribosides were readily phosphorolysed by bacterial PNP to the respective bases. The reaction of 2-aminopurine-N9-β -d-riboside with chloroacetaldehyde gave one major product, clearly distinct from that obtained from the enzymatic synthesis, which was not a substrate for PNP. A tri-cyclic 7-deazaadenosine (tubercidine) derivative was prepared in an analogous way and shown to be an effective inhibitor of the E. coli, but not of the mammalian enzyme. Fluorescent complexes of amino-purine analogs with E. coli PNP were observed.
1. Introduction
Tricyclic analogs of natural purine bases and their glycosides have been applied as fluorescent probes in the investigations of structure and function of nucleic acids (DNA, RNA) and enzymes related to nucleic acid metabolism and/or those utilizing nucleotide cofactors [1,2,3,4,5,6]. The most popular probe of this kind is 1,N6-etheno-adenosine (εAdo), prepared from adenosine reacting with chloroacetaldehyde (CAA), and related nucleotides [1]. Tri-cyclic nucleosides and nucleotides are also utilized as dimensional probes for enzymatic studies [5,6]. Some of the tri-cyclic analogs and their derivatives reveal promising anti-viral properties [7], recently reviewed by Janz-Wechmann et al. [8,9]. They are known to reveal substrate or inhibitory activities towards many enzymes of purine metabolism [2], and they are important intermediates in the process of chemical mutagenesis [10,11].
Purine-nucleoside phosphorylase (PNP, E.C. 2.4.2.1) catalyzes a reversible phosphorolysis of many nucleosides to the respective bases [12]. It belongs to a group of enzymes involved in the purine salvage pathway, present in the majority of higher organisms [12], which is the only source of these indispensable building blocks of DNA and RNA for microorganisms lacking de novo purine nucleoside synthesis. PNP is responsible for the regulation of the nucleoside concentrations within the living cells, and it is a target of various types of pharmaceutical interventions [12,13], including gene therapy of some inherited immunological deficiencies [14] and gene therapy of solid tumors [15]. Additionally, PNP’s from various sources are utilized as biocatalysts in chemo-enzymatic syntheses of various nucleoside analogs of pharmaceutical and/or analytical significance [16,17,18,19,20]. Our previous investigations have shown that PNP isolated from E. coli, which is known to possess a broad specificity toward various base and nucleoside analogs [16], is also active toward many tri-cyclic nitrogen bases, derived from adenine and guanine [17,21,22], producing in the phosphate free media many potentially useful ribosides, using β-d-ribose-1-phosphate (R1P) as a ribose source. The reverse, phosphorolytic reactions are, in some cases, as rapid as the analogous reactions with natural substrates, like adenosine or guanosine [21,22], and therefore can possess analytical applications.
The purpose of the present work is to examine some tri-cyclic amino-nucleobase analogs, in particular etheno derivatives of 2-aminopurine (ε2AP) and its riboside [23] and 7-deazadenosine (tubercidine [24,25], see Figure 1), as potential substrates and/or inhibitors of PNP, and possibly obtain in this way highly fluorescent compounds, useful for the future research, including study of enzyme-substrate and enzyme-inhibitor complexes. We have also extended spectral examination of the above-mentioned etheno-derivatives to include the respective tautomeric and ionic forms, the latter being important intermediates in enzymatic catalysis, with applications in the process of pharmaceutical design [26,27].
Figure 1.
Structures of the nucleobase and nucleoside analogs investigated in this work: 1,N2-etheno-2-aminopurine (1), N2,3-etheno-2-aminopurine (2), and the ribosides of the ε2AP isomers (3-5, R = β-d-ribofuranosyl). Compound 6 is 1,N6-etheno-tubercidine (R = β-d-ribo-furanosyl). Only one tautomeric form of the bases is shown for simplicity. Note that the purine numbering is applied (except for the etheno-group atoms, numbered as 10 and 11).
2. Results
2.1. Reaction of Chloroacetaldehyde with 2-Aminopurine and Its Riboside
2-Aminopurine riboside reacts rapidly with chloroacetaldehyde (CAA) at room temperature and weakly acidic pH, to give essentially one main product [23], identified as a linear adduct of CAA (1,N2-etheno-2-aminopurine-N9-β-d-riboside, (3)), readily crystallized from the neutralized reaction mixture. This product is moderately fluorescent in the visible part of the spectrum (see Table 1). The assignment of the 1H- and 13C-NMR signals is shown in Table 2. There are also traces of a second, highly fluorescent product, with spectral characteristics similar to the minor product of the reaction of 2-aminopurine with CAA (see next paragraph), but we were unable to isolate this compound in sufficient quantities.
Table 1.
Ionization constants (pKa values, determined spectrophotometrically) and spectral parameters for neutral and ionic forms of the investigated compounds (n—neutral form; c—cation; a—anion). Nd = not determined.
Table 2.
1H- and 13C-NMR chemical shifts in parts per million (±0.001) of the etheno derivatives of 2-aminopurine (ε2AP) and their β-d-ribosides (see Materials and Methods for details). Chemical shift labels follow the naming convention of [28], extended for the etheno protons (see Figure 1).
The reaction of 2-aminopurine (free base) with CAA was fairly rapid at pH ~ 4.5 (ca. 24 h), and gave two products (for the assignment of the NMR signals see Table 2). The major product, purified by re-crystallization, has been identified as 1,N2-etheno-2-aminopurine (1,N2-ε2AP (1)), with spectral (UV and fluorescence) characteristics very similar to those of the respective N9-riboside, described by Virta et al. [23]. Additionally, we have found a minor (~20%), but highly fluorescent product, identified as N2,3-etheno-2-aminopurine (N2,3-ε2AP, (2)), exhibiting excellent substrate properties towards PNP (see below). Both identified compounds revealed two pKa values, one related to protonation (5–6.5) and the other to acidic dissociation of the imidazole proton (>8, see Table 1), thus confirming the identification of the products.
2.2. Properties of Two Isomers of Etheno-2-Aminopurine
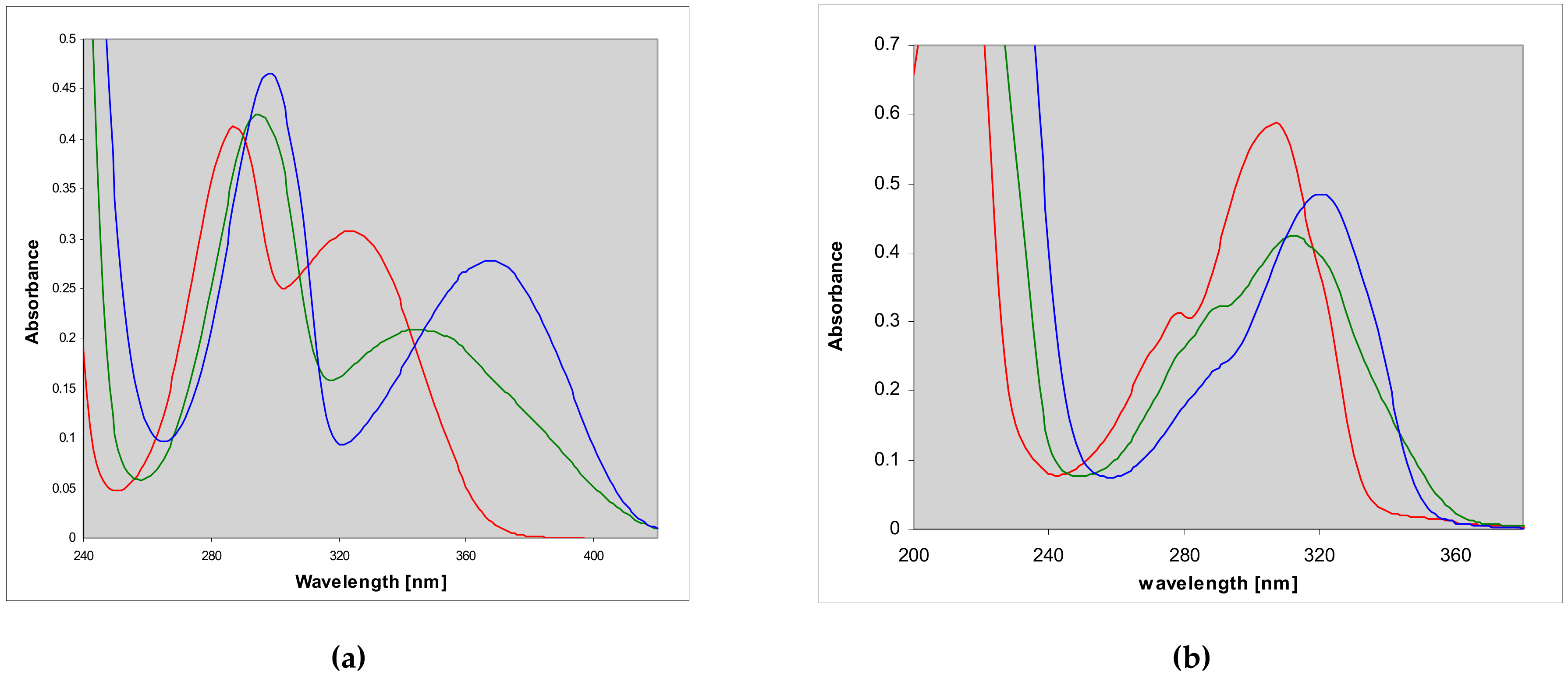
The electronic absorption spectra of the two 2-aminopurine etheno derivatives are presented below (Figure 2), and summarized in Table 1. The spectra of the linear isomer 1 under neutral conditions (phosphate buffer, pH 7) and in acid are strikingly similar to those of the N9-riboside 3, published by Virta et al. [23], and are markedly red-shifted relative to analogous spectra of all adenine or guanine derivatives (cf. [21,22]). In basic media, the spectrum is shifted even more, showing maximum absorbance at 367 nm (Figure 2, Table 1). The minor, non-linear product (2) revealed low-energy absorption band near 300–320 nm.
Figure 2.
Electronic absorption spectra of (a) 1,N2-etheno-2-aminopurine (1) and (b) N2,3-etheno-2-aminopurine (2) in aqueous medium at various pH: red curves—pH 3; green—pH 7; blue—pH 11.
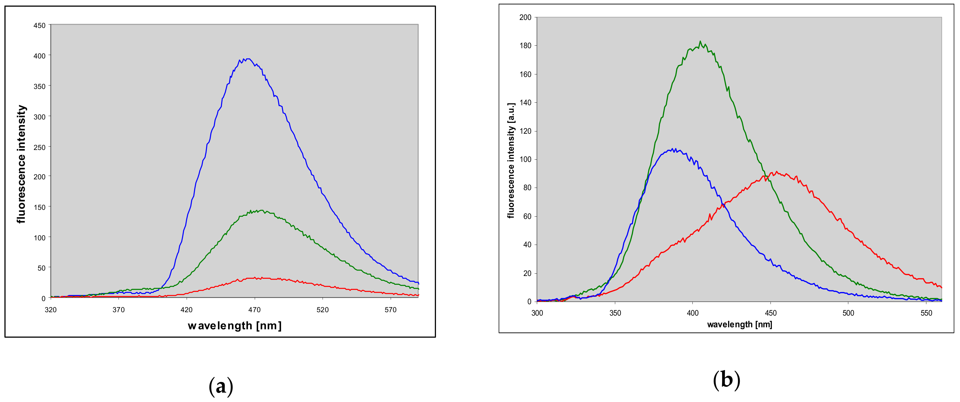
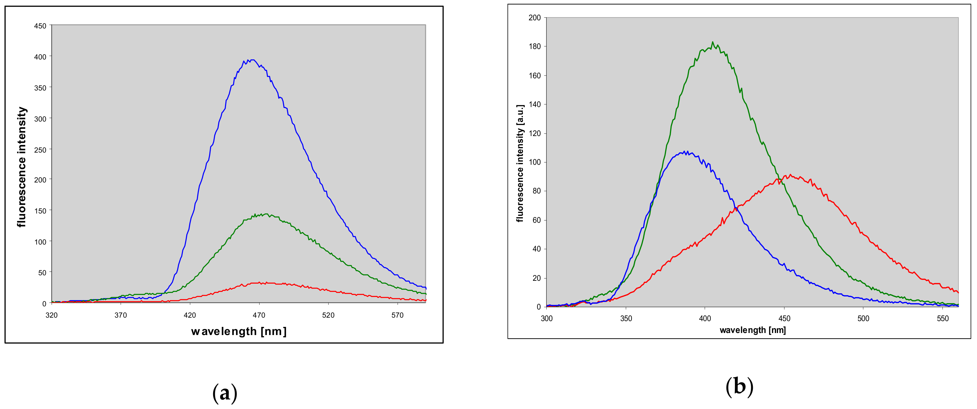
Both abovementioned products revealed moderate to intense fluorescence in neutral aqueous medium, centered at ca. 470 (1,N2-etheno-2-aminopurine (1)) and 405 nm (N2,3-etheno-2-aminopurine (2)), with yields approximately 0.18 and 0.73, respectively (see Figure 3 and Table 1). The fluorescence spectra of both isomers were to some extent excitation-dependent (Figure 3), and their fluorescence decays revealed non-exponential behavior (Table 1), the facts possibly related to protomeric equilibria in the ground state (see Discussion).
Figure 3.
Fluorescence emission and corrected fluorescence excitation spectra of: (a) 1,N2-etheno-2-aminopurine (1), and (b) N2,3-etheno-2-aminopurine (2) in neutral aqueous solution. Emission spectra were measured with excitations at 310, 330 and 360 nm (green, yellow and red; left panel), and 310, 330 and 350 nm (green, blue and red, right panel), and excitation spectra with observations at 400, 440 and 480 nm (blue, green and red, left panel) and at 380, 400 and 440 nm (blue, green and red, right panel).
The ionic forms of the two tri-cyclic bases are also fluorescent (see Figure 4, below). Anionic and cationic forms of 1,N2-etheno-2-aminopurine (1) emit in the same region as the neutral molecule (460–470 nm), but with different yields (Figure 4a, Table 1). The largest Stokes’ shift is observed for the cationic species (9300 cm−1). The respective excitation spectra are virtually in line with UV absorption of each form. The anionic form of the non-linear isomer 2 is strongly fluorescent at 390 nm (Figure 4b, blue line), while the cationic form of this compound exhibits two-band fluorescence, with Stokes’ shift for the low-energy band exceeding 10,000 cm−1 (see Figure 4b, red curve).
Figure 4.
Fluorescence spectra of (a) 1,N2-etheno-2-aminopurine (1) and (b) N2,3-etheno-2-aminopurine (2) in aqueous medium at various pH: red curves, pH 3; green, pH 6.5 (a) and 7 (b); blue—pH 11.5. Excitation was at 300 nm (a) and 290 nm (b). The spectra of the ionic forms are virtually excitation-independent.
2.3. Enzymatic Ribosylation of the Etheno-2-Aminopurine Isomers Using Various Forms of PNP
Both isomers of the etheno-2-aminopurine are substrates for PNP from E. coli in the reverse (synthetic) pathway with R1P as a ribosyl donor. Ribosylation of 1,N2-etheno-2-aminopurine (1) as well as N2,3-etheno-2-aminopurine (2) led to substantial changes in the UV absorption (Figure 5) and fluorescence (Figure 6) spectra, suggesting that the ribosylation sites may be different from the proton location in the respective base (the latter is possibly N9). We have also noted a striking similarity between UV absorption spectrum of the ribosylation products and the fluorescence excitation spectra of the minor tautomers of the respective bases, measured with observations at the blue edge of the emission spectrum (cf. Figure 2 and Figure 3). The ribosylation rate for the non-linear ε2AP isomer, N2,3-etheno-2-aminopurine (2), is ca. 40-fold higher than that for the linear isomer 1, and comparable to the ribosylation rate of guanine, measured in the same conditions (Table 3).
Figure 5.
UV absorption changes observed during the enzymatic ribosylation of (a) 1,N2-etheno-2-aminopurine (1) with 0.5 mM R1P, catalyzed by PNP from E. coli; (b) enzymatic ribosylation of N2,3-etheno-2-aminopurine (2) by the same enzyme under identical conditions. Initial curves are in blue, and the final curves in red. Time intervals were 5 min for (a) and 2 min for (b).
Figure 6.
Fluorescence changes observed during the enzymatic ribosylation of (a) 1,N2-etheno-2-aminopurine (1) with 0.5 mM R1P, catalyzed by PNP from E. coli; (b) N2,3-etheno-2-aminopurine (2) by the same enzyme under identical conditions. Initial curves are in blue, and the final curves in red.
Table 3.
Kinetic parameters for the enzymatic ribosylation of selected etheno-purine derivatives in 40 mM HEPES buffer, pH 7, by α-d-ribose-1-phosphate, using various forms of PNP (wt = wild type; nr—no reaction detected; nd—not determined). Standard errors are estimated to be ~15%.
Ribosides of 1,N2-etheno-2-aminopurin (1) as well as N2,3-etheno-2-aminopurine (2), generated using the E. coli PNP, were subjected to HPLC purification on a milligram scale, and their identification and properties are described in the next paragraph.
Kinetic parameters of the synthetic (ribosylation) reaction, catalyzed by the wild-type and mutated forms of PNP, were determined using standard procedures, and are summarized in Table 3. There are some minor differences between wild-type enzymes (E. coli and calf PNP) and forms mutated in the active site, but without qualitative differences, observed previously for some purine analogs [21,22]. Generally, kinetic parameters for ribosylation of 2 by E. coli PNP and its mutated forms do not differ markedly from those determined earlier for natural purines [12], and the Km values are close to 10 μM, hence comparable to those observed for guanine ribosylation under the same conditions.
It may also be of interest that the trimeric calf spleen PNP, much more demanding in respect to substrate structures than the hexameric E. coli enzyme [12], ribosylates N2,3-etheno-2-aminopurine (2) with moderate rate (Table 3), but is apparently inactive towards the second (linear) isomer 1. It may be of interest that N2,3-etheno-2-aminopurine (2) is fairly rapidly ribosylated by the calf PNP, mutated in the active site (N243D). But the ribosylation goes in an essentially similar way as with the E. coli PNP, that is, giving the identical single product (Table 3).
2.4. Properties and Identification of the Enzymatically Produced Ribosides
Reaction of 2-aminopurine riboside with chloroacetaldehyde gives N9-riboside (3) of the linear isomer of etheno-2-aminopurine (for the assignment of the 1H and 13C-NMR signals see Table 2), revealing spectral properties very similar to those of the respective base (see Section 3.2), but with a single emission band (465 nm) and a single decay time (Table 1). By contrast, the main product of enzymatic ribosylation of 1,N2-etheno-2-aminopurine, 4, is characterized by the emission at 400 nm, single decay time, and the UV absorption shifted to the blue by over 20 nm (see Figure 5 and Figure 6, left panels, and Figure 7). This riboside undergoes protonation with pKa ~6.3 (see Supplementary Materials, Figure S1). The compound has been subjected to purification using semi-preparative HPLC, and identified as 1,N2-etheno-2-aminopurine-N2-riboside ((4), see below).
Figure 7.
Comparison of (a) absorption and (b) fluorescence spectra of two ribosides of 1,N2-etheno-2-aminopurine (3 and 4), obtained chemically (3, dark green curves) and enzymatically 4, using E. coli PNP as a catalyst (bright green curves). Spectra measured in phosphate buffer, pH 7. Fluorescence excitation is at 290 nm.
The riboside produced enzymatically from the non-linear isomer of etheno-2-aminopurine, 5, also differs spectrally from the parent base 2. Its emission spectrum is shifted by ~45 nm to 355 nm, and UV absorption reveals fine structure (Figure 8). Fluorescence decay is mono-exponential, and decay time is lowered to ~2 ns, with yield ~0.29 (Table 1). The protonated form of the riboside is also strongly fluorescent, but we did not detect any traces of dual emission (as observed in the emission spectrum of the protonated base, see Figure 4), and the Stokes’ shift was moderate (Figure 8). We conclude that the photo-transformation, observed in the protonated base as two-band emission, is absent in the riboside.
Figure 8.
Electronic absorption (a) and fluorescence (b) spectra of the N2,3-etheno-2-aminopurine-N2-β-d-riboside (5) in aqueous media. Green lines: pH 7, red lines: pH 3. Fluorescence excitation was 310 nm.
The fluorescence decay times of all the ribosides 3–5, both N9-ribo and N2-ribo, measured at pH > 7.5, were mono-exponential, in agreement with the view that no protomeric equilibrium is possible in the ground states of the ribosides, at least at their heteroaromatic moiety. Accordingly, fluorescence excitation spectra were in line with the UV absorption. Interestingly, the emission and excitation spectra of N2-ribosides 4–5 resemble those of the minor tautomers of both isomeric bases (see Section 3.2). This leads to tentative identification of the minor tautomers of both N2,3-ε2AP (2) and 1,N2-ε2AP (1) as N2H (see Discussion).
The ribosylation site of N2,3-etheno-2-aminopurine (2) via the enzymatic process was identified as N2 (for the assignment of the NMR signals in 5 see Table 2), based on the observation of non-vanishing three-bond scalar couplings between H1′ and both C2 and C11, as well as between H11 and C1′, in the 1H-13C HSQMBC spectrum (Figure 9). In the absence of other observable scalar couplings between the ribose and the base nuclei the position N2 is the only ribosylation site congruent with this coupling pattern. The ribosylation product of the linear isomer 1 was identified as 1,N2-etheno-2-aminopurine-N2-riboside (5), based on the observation of a coupling pattern fully analogous to that of the non-linear isomer.
Figure 9.
Aromatic and H(1′)/C(1′) ribose region of the contour plots of 1H, 13C correlation spectra of N2,3-etheno-2-aminopurine riboside (5) in DMSO-d6 (at 1H frequency of 500 MHz, at 25 °C) showing the cross-peaks between the ribose and nucleobase nuclei. Contours are plotted: for HSQC (black), for 8 Hz optimized HSQMBC (red), and for 2 Hz optimized HSQMBC (blue). All peaks are marked at the center of the multiplet and labeled according to the assigned nuclei (Table 2).
The ribosides are fairly stable in solution, but we were unable to crystallize them due to small amounts obtained. They were stored as frozen in neutral aqueous solutions.
2.5. Phosphorolysis of The Ribosides with Various Forms of PNP
The highly fluorescent N2,3-etheno-2-aminopurine-N2-β-d-riboside (5), generated enzymatically (Section 3.3) is readily phosphorolyzed in the phosphate buffer by both E. coli and calf PNP. The reaction rates are in the case of E. coli enzyme comparable or even higher than that of guanosine phosphorolysis (Table 4), while those obtained for calf PNP are moderate. The observed spectral changes are reverse in respect to those presented of Figure 4 and Figure 5 for the synthetic process (see Supplementary Materials, Figure S2), and lead to very pronounced fluorogenic effect (not shown). Kinetic analysis revealed relative low Km values for these reactions (Table 4), although they are somewhat higher than those for the synthetic reactions (Table 3).
Table 4.
Kinetic parameters for the enzymatic phosphorolysis of selected etheno-2-aminopurine ribosides in 40 mM phosphate buffer, pH 7, using various forms of PNP. Standard errors are estimated to be ~ 20%; nr = no reaction observed.
We expect that the human PNP, which is quite similar to the calf enzyme [12], will also react with N2,3-etheno-2-aminopurine-N2-β-d-riboside (5), giving the highly fluorescent base 2 as a reaction product, with possible applications to analytical or clinical biochemistry. This point will be addressed in a separate paper. The ribosylated linear isomer, identified as 1,N2-etheno-2-aminopurine-N2-riboside (4) reacts much slower, and only with the E. coli PNP as a catalyst (Table 4).
2.6. Properties of 1,N2-Etheno-Tubercidine
Tubercidine (7-deazaadenosine) is a known antibiotic and an inhibitor of the bacterial (hexameric) forms of PNP [12]. It is also a substrate of some thermostable bacterial PNPs at higher temperatures [29,30]. The reaction of tubercidine and 2′-deoxytubercidine with chloroacetaldehyde gives the respective 1,N6-etheno derivatives in good yields [24,25]. 1,N6-Etheno-deoxytubercidine exhibits intense fluorescence at ~400 nm, similar to that of the analogous 1,N6-ethenoadenosine [25].
We have found that 1,N6-etheno-tubercidine (6) competitively inhibits phosphorolysis of purine nucleosides, catalyzed by the E. coli enzyme. The inhibition constant, Ki ~4.5 μM, is comparable to that of tubercidine itself [12], some formycin derivatives [31,32], and other good inhibitors of this enzyme [12]. Etheno-tubercidine (6) is therefore a good candidate to observe enzyme-ligand complexes by spectral methods, as shown below. No inhibition of the calf PNP was observed, at least in moderate concentrations (up to 50 μM) that we used.
2.7. Fluorescence of Enzyme-Ligand Complexes
Titration of the E. coli PNP with N2,3-etheno-2-aminopurine (2) in the presence of phosphate leads to moderate quenching of the protein fluorescence at 305 nm and formation of fluorescent complexes, visible both in emission and in excitation spectra (see Figure 10). Additionally, the fluorescence excitation spectra reveal fluorescence energy transfer (FRET) from the protein to the complexed ligand, since they show marked enhancement in the region 270–280 nm, where the tyrosine residues of the PNP molecule absorb (Figure 10). The fluorescence quantum yield of the bound ligand is very high and comparable to that of the free molecule (0.73, see Table 1), as evidenced by difference spectra (no negative contribution at the long-wavelength tail of the spectrum).

Figure 10.
Changes in fluorescence excitation (a) and emission spectra (b), observed during the titration of E. coli PNP with N2,3-etheno-2-aminopurine (2). The excitation spectra were observed at 390 nm, and for emission spectra excitation was at 280 nm. Spectra of the free ligand (3.5 μM) are given for comparison (points). Excitation spectrum of the protein, monitored at 310 nm, is given in black. Conditions: 40 mM phosphate, pH 7, at 20 °C. Concentration of protein was 10.1 μM (per subunit); that of the titrant was 0 to 3.5 μM. Lower panels: Fluorescence difference spectra, calculated from data presented on panels (a) and (b), (c) difference excitation (observed at 380 nm), (d) difference emission spectra, excited at 275 nm. Substrate concentrations are 0.17, 0.69, 1.37, 2.36 and 3.31 μM.
The respective difference spectra (Figure 10c,d) confirm moderate quenching of protein fluorescence (right-hand side), evidence of FRET (left), and appearance of the complex emission at 380–400 nm, revealing some fine structure, which is absent in the free ligand spectrum. We did not observe analogous complexes in the absence of phosphate, in spite of the low Michaelis’ constants obtained for the synthetic reaction (Table 3).
Etheno-tubercidine (6) forms somewhat similar fluorescent complexes with the E. coli PNP. As shown below, FRET from the protein to the ligand is evident in the excitation spectra (Figure 11), and the ligand fluorescence blue shifted from 415 to ca. 390 nm (Figure 11b,c). In this case more than 60% of protein fluorescence is quenched when protein binding sites are saturated (cf. Figure 11). Very small changes in the excitation spectra suggest that the ligand is bound to the protein as a neutral species; but some irregularities in the difference spectra (Figure 11c) may indicate that the binding sites in the hexameric PNP molecule are not equivalent, but this conclusion needs verification.

Figure 11.
Changes in fluorescence excitation (a) and emission spectra (b), observed during the titration of E. coli PNP with 1,N6-etheno-tubercidine (6). Emission spectra were recorded with excitation at 280 nm, excitation spectra were observed at 380 nm. Conditions: 40 mM phosphate buffer, pH 7, at 20 °C. The concentration of protein was 11 μM per subunit; that of 1,N6-etheno-tubercidine was (0–18.5 μM). Black curves refer to pure protein emission or excitation (observed at 310 nm); (c) fluorescence difference spectra of 11 μM E. coli PNP, titrated with 1,N6-etheno-tubercidine (1.9, 3.7, 5.4, 7.1 and 18.5 μM), calculated from data in panel (b).
3. Discussion
3.1. Fluorescent Isomers of the Etheno-2-Aminopurine
Vinyl chloride, a known chemical mutagen and carcinogen, acts as a modifier of nucleobases, in particular, of adenine and guanine moieties [14,15], which upon this chemical modification change the respective coding properties, leading to the mutagenic effect [33,34]. In addition some of the bases modified in this way exhibit additionally marked fluorescence [1,2,3,4], which make them good candidates for fluorescent probes in enzymological research.
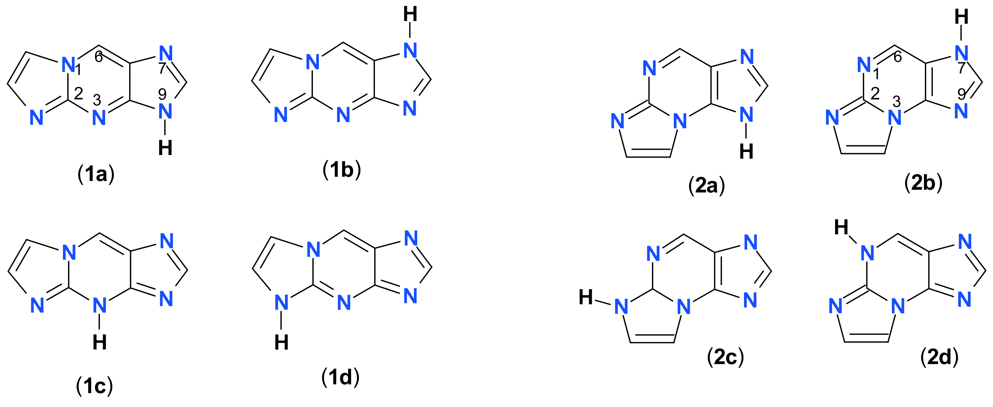
We found two isomeric products of the reaction of CAA with 2-aminopurine, both revealing intense fluorescence in aqueous medium. In both cases, fluorescence was excitation-dependent and decays were non-exponential. The most likely interpretation of this fact is the N9H-N7H tautomerism, confirmed for some purines and analogs [35,36,37], and suggested for 1,N6-ethenoadenine [21], but other tautomeric forms, like N2H or N3H, cannot be excluded (see Figure 12). The similarity between properties of the minor tautomers and N2-ribosides strongly suggests participation of the N2H protomers 1d, 2c.
Figure 12.
Possible tautomeric structures of two isomers of etheno-2-aminopurine: 1,N2-etheno-2-aminopurine (1a–d), N2,3-etheno-2-aminopurine (2a–d).
Large Stokes’ shifts observed for the cationic species of both isomers suggests photo-transformations. Such photo-transformations (e.g., excited-state proton transfer and a resulting photo-tautomerism) are not infrequent among the fluorescent purine analogs and derivatives [38].
3.2. Enzymatic Syntheses of the Tri-Cyclic Ribosides and Their Properties
In this and preceding papers [21,22], we have described substrate and inhibitor properties of several tri-cyclic nucleobase analogs towards the enzyme purine-nucleoside phosphorylase. Many of the investigated compounds, in particular, etheno-adenosine and one isomer of etheno-guanosine were found to be excellent substrates for the bacterial (E. coli) type of PNP, and the respective bases were easily ribosylated in the reverse process [21,22]. Enzymatic ribosylation of the tri-cyclic nucleobase analogs and similar compounds leads to non-typical ribosides, which are nevertheless good substrates for PNP, as shown previously for the N6-ribosylated 1,N6-ethenoadenine [21], and analogous isoguanine derivatives [22].
Both isomers of etheno-2-aminopurine (1 and 2) are ribosylated using R1P as a ribose donor and the E. coli PNP as a catalyst, but the ribosylation site is N2, rather than N9. Somewhat similar ribosylation pattern was previously reported for etheno-adenine [21] and etheno-isoguanine [22], but in both cases different enzyme forms led to different ribosylation products. By contrast, the linear isomer of etheno-guanine was rapidly ribosylated on the “canonical” N9 nitrogen [22].
This ambiguity in the ribosylation sites in enzymatic reactions, catalyzed by PNP, was also previously observed in 8-azapurines [39,40], and probably results from the plasticity of the active site of this class of enzymes. For example, in the X-ray crystal structure of hexameric PNP from H. pylori, bound to an inhibitor formycin A (8-aza-N9-deazaadenosine), both the standard (anti) and non-standard (syn) conformations of the inhibitor were revealed [41]. In another study, acyclo-guanosine, an inhibitor of mammalian PNPs, with the acyclic chain bound to N7 position of the purine base, was found in the inverted (‘up-side-down’) position in the active site of calf PNP, with the chain located in the place normally occupied by the ribose [42]. Finally, N3-β-d-ribofuranosyladenine and N3-β-d-ribofuranosyl-hypoxanthine, with sugar moiety attached to the N3 position of the base, were found to be non-conventional substrates of purine nucleoside phosphorylase from E. coli and calf [43].
Some of the fluorescent tri-cyclic ribosides are also moderate to good substrates of mammalian PNPs, known to be homologous to human enzymes [12]. This makes them potential indicators of PNP activity in biological or clinical samples. As an illustration, we have recently shown that human erythrocytic PNP activity can be measured fluorimetrically in 1000-fold diluted hemolysates using the N6-ribosylated 1,N6-ethenoadenine as an artificial substrate [44]. We expect that the new compounds presented in this work, particularly the ribosides of N2,3-etheno-2-aminopurine (2), will exceed in sensitivity other fluorescent indicators of PNP activity (to be published elsewhere).
3.3. Fluorescent Complexes
Various forms of PNP form fluorescent complexes with purines and their analogs [17]. Long ago Porter et al. [45] reported a fluorescent complex of calf PNP with guanine, ascribing its fluorescence to the anionic form of the ligand. Later investigations with fluorescent 8-azaguanine derivatives and calf PNP [46,47] instead suggested neutral ligand as the emission source. The E. coli PNP is an interesting object of this kind of experiments since its molecule does not contain tryptophan and its native fluorescence is located near 305 nm [12], allowing easy observations of emission of the complexes, as illustrated by Kierdaszuk et al. [31,32]. In the latter case, it was possible to identify individual protomeric forms of the ligand formycin A (8-aza-N9-deazaadenosine), when bound to the PNP molecule.
Somewhat similar fluorescent complexes and FRET were previously observed with E. coli PNP complexed with formycin A and its N-methyl derivatives as ligands [31]. Now, we present evidence for the highly fluorescent base-enzyme complexes, observed in the presence of phosphate. We did not observe analogous complexes in the absence of phosphate, in spite of the low Michaelis’ constants obtained for the synthetic reaction (Table 3). This is in line with the fact that for both mammalian and bacterial PNPs, due to complex mechanisms of catalysis exhibited by these two enzyme families, Km does not describe the affinity of most substrates, e.g., [12,16,48] adequately. This also suggests that, in agreement with previous mechanistic considerations and stabilization pattern exhibited by substrates [49], the purine base is the only E. coli PNP substrate that cannot bind to the enzyme molecule in the absence of either a second substrate (in this case R1P) in the synthetic reaction, or phosphate, a substrate in the reverse phosphorolytic path, in the latter case forming a so-called dead-end complex.
Previous papers have shown that the E. coli PNP molecule can selectively bind individual tautomeric forms of some ligands [31,32]. At present, we cannot identify which of possible tautomeric structures is bound, but the minor tautomer, visible in solution spectra as an inflection, and postulated to be the N2H protomer 2c, is evidently not responsible for the above changes since the emission spectra of the complex differ markedly from those of the N2-riboside 5 (cf. Figure 10 and Figure 5). Our interpretation of the presented data is that N7 or N9 are likely locations of the proton in the complex.
4. Materials and Methods
4.1. Chemicals
2-Aminopurine (2AP), chloroacetaldehyde (CAA) and 7-methylguanosine (m7Guo) were from Sigma-Aldrich (St. Louis, MO, USA). Tubercidine (7-deazaadenosine) was a gift from Dr. Janusz Stępiński from the University of Warsaw (Warsaw, Poland). 2-Aminopurine-N9-β-d-riboside was from Santa Cruz Biotechnology (Dallas, Texas, USA).
The ribose source for enzymatic ribosylation, α-d-ribose-1-phosphate (R1P) has been prepared enzymatically as a 100 mM solution from 7-methylguanosine phosphorolysed by calf PNP, as previously described [33,50] and kept frozen.
Etheno-derivatives of 2-aminopurine (ε2AP) were obtained as follows: 2-aminopurine (2AP, 1 g, 7.4 mmoles) was dissolved in 30 mL of ~0.1 M acetic acid. After adjusting pH to ~4 by sodium bicarbonate, the mixture was treated with 0.5 mL CAA (50% aqueous solution), for ca. 24 h at room temperature, and warming at the end to ~40 °C for ca. 30 min. HPLC analysis showed the disappearance of >90% 2AP. The solution was neutralized by sodium bicarbonate and left in a refrigerator for 24 hours. The major product, identified as 1,N2-etheno-2-aminopurine (1,N2-ε2AP, (1)), crystallized in the form of plates (~400 mg, 2.5 mmoles, slowly darkening in the air; overall yield ~35%). The mother liquors were subjected to semi-preparative HPLC to give ca. 50 mg (5%) of an additional, minor but highly fluorescent product, identified as N2,3-etheno-2-aminopurine (N2,3-ε2AP (2)). This product was concentrated and kept frozen. MS: comp. 1: m/z = 160.0617, comp. 2: m/z = 160. 0619; calculated for C7H5N5 + H: 160.0612.
The etheno-derivative of 2-aminopurine-N9-β-d-riboside (Figure 13) was prepared according to Virta et al. [23], and crystallized from the neutralized reaction mixture. Its structure was confirmed by NMR data, which were in agreement with the published results [23], and by MS: comp. 3: m/z = 292.10385, calculated for C12H13N5O4 + H: 292.10403.
Figure 13.
Synthesis of 2-aminopurine etheno-derivatives and their ribosides (R = β-d-ribofuranosyl; CAA = chloroacetaldehyde, R1P–α-d-ribose-1-phosphate; PNP = purine-nucleoside phosphorylase).
The reaction of chloroacetaldehyde with tubercidine (7-deazaadenosine) was carried out as previously described [24], with the modification that an aqueous CAA was applied instead of the distilled reactant. The product purified by semi-preparative HPLC in milligram quantities (approximate yield > 60%). The spectral parameters were in agreement with those previously published [24]. See Supplementary Materials for more details.
Product separation and purification were performed by HPLC on a UFLC system from Shimadzu (Kyoto, Japan) equipped with UV (diode-array) detection at 260, 280 and 315 nm, and a fluorescence detector. The column used was a Kromasil reversed-phase, semi-preparative C-18 column (250 × 10 mm, 5-μm particle size). Elution was initially (10–15 min) isocratic, followed by a water-methanol gradient (usually 10–30% methanol for 40 min, see Supplementary Materials for details). All buffers were of analytical grade and showed no fluorescence background.
4.2. Spectral Measurements
Fluorescence spectra were measured on a Varian Eclipse instrument (Varian Corp., Palo Alto, CA, USA), and UV absorption kinetic experiments were performed on a Cary 5000 (Varian Corp., Palo Alto, CA, USA) thermostated spectrophotometer. Fluorescence yields were determined relative to tryptophan (0.15) or 1,N6-ethenoadenosine in water (0.56, see ref. [2]). Emission spectra were measured in semi-micro cuvettes, pathlength 4 mm, to diminish the inner-filter effect. Typical spectral resolution was 2.5 nm. The ionization constants (pKa values) were determined spectrophotometrically using 20–50 mM phosphate and/or acetate buffers.
Fluorescence decays were measured and analyzed using a FluoTime 200 lifetime fluorometer (PicoQuant GmbH, Berlin, Germany), equipped with an R3809U-50 microchannel-plate photo-multiplier (MCP-PMT, Hamamatsu, Japan), with 280 nm excitation by sub-nanosecond pulsed LED, as previously described [50].
NMR measurements were run in DMSO-d6 at 25 °C on an Avance III HD 800 MHz spectrometer Bruker (Bruker BioSpin AG, Fällanden, Switzerland) equipped with a cryogenically-cooled triple resonance (HCN) probe (the sample identified as the N2-riboside of 1,N2-etheno-2-aminopurine (3)) and on a Bruker Avance III HD 500 MHz spectrometer equipped with a room-temperature triple resonance (HCN) probe. For all samples, the following spectra were acquired: a standard 1D proton spectrum, a 1H, 1H CLIP-COSY [51] and a gradient-selected 1H, 13C HSQC [52]. Phase-sensitive gradient-selected HMBC spectra tuned for 2 and 8 Hz J couplings were acquired for the N2 riboside of 1,N2-etheno-2-aminopurine (3), while gradient-selected 1H, 13C HSQMBC ([53], modified by using hard pulses) were run for all other samples—tuned for optimal detection of 12 Hz J couplings in the case of 1, N2-etheno-2-aminopurine or two separate experiments tuned for 2 Hz and 8 Hz J couplings otherwise. 1H chemical shifts were referenced by the field-locked substitution method using a (less than) 1% sample of TMS in DMSO-d6, and 13C chemical shifts were referenced using the unified chemical shift scale [54]. The 2D spectra were processed using the TopSpin 3.6.1 software package (Bruker) and inspected by the Sparky program [55] with manual peak-picking.
4.3. Mass Spectrometry
The structure and purity of the new compounds 1–2 and 4–5 were confirmed using the high-resolution mass spectrometry with positive electrospray ionization HRMS (+) ESI. Mass spectra were recorded on a Thermo Scientific QExactive spectrometer (Thermo Fisher Scientific, Waltham, MA, USA). Spray voltage was 3800 V, capillary temperature 320 °C.
4.4. Enzymes and Enzymatic Reactions
Recombinant E. coli PNP, calf spleen PNP, and their mutated forms were expressed in E. coli and purified according to the procedures described earlier [56,57]. Enzyme concentrations were calculated per monomer.
Enzymatic ribosylation reactions were carried out in 1 mL cuvettes (pathlength 4 mm) in ~50 mM HEPES buffer, pH 7.3, using 0.5 mM R1P as a ribose source. Reactions were followed fluorimetrically (see Section 2.4). On a larger scale (2–4 mg), the reactions were run in Eppendorf tubes, volume 2–3 mL, using either R1P (3–10 mM) or 7-methylguanosine as ribose sources. Products were purified by semi-preparative HPLC, concentrated and the final solutions kept frozen. Their structure has been confirmed by NMR (see Section 2.4 and Supplementary Materials) and by MS: comp. 3: m/z = 292.10385, comp. 4: m/z = 292.10400, comp. 5: m/z = 292.10398, calculated for C12H13N5O4 + H: 292.10403. Phosphorolysis reactions were run in 40–50 mM phosphate buffer, pH 7.0 or 6.5, and followed spectrally or fluorimetrically. Kinetic parameters were calculated by standard methods.
5. Conclusions
We have shown that 2-aminopurine easily reacts with aqueous chloroacetaldehyde to give two fluorescent, isomeric products 1 and 2. Both products are substrates for the bacterial (E. coli) purine nucleoside phosphorylase, but in both cases the ribosylation site has been found to be N2 rather than N9. The new ribosides are fluorescent and potentially useful as fluorescent probes. The antibiotic tubercidine (7-deazaadenosine) also reacts with aqueous chloroacetaldehyde to give the fluorescent product 6. This product is an inhibitor of the E. coli PNP and forms fluorescent complexes with the enzyme.
Supplementary Materials
The Supplementary Materials are available online.
Author Contributions
Conceptualization, A.S.-W. and J.W.; methodology, J.W. (fluorescence), R.S. and M.G. (NMR measurements), B.W.-K. (life time measurements), A.S.-W. and J.W. (kinetic and spectroscopic measurements), A.S.-W. (HPLC analysis), B.W.-K. (enzyme cloning and purifications); investigation, all authors; resources (preparation work), A.B. and B.W.-K.; writing-original draft preparation, J.W. and A.S.-W.; writing-review and editing, A.B. and B.W.-K.; supervision, R.S. and A.B.; funding acquisition, A.S.-W., A.B., R.S. and B.W.-K. All authors have read and agreed to the published version of the manuscript.
Funding
This work profited from the “MINIATURA” grant #DEC-2017/01/X/ST5/00807 from National Center of Sciences (NCN, Cracow, Poland), project 17.610.011-110 from the University of Warmia and Mazury in Olsztyn, and projects BST-185500/BF, 501-D111-01-1110102-PP/BF, and 500-D111-12-1110100 from the Polish Ministry of Science and Higher Education. Publication was co-financed by the University of Warsaw.
Acknowledgments
We thank Janusz Stępiński (University of Warsaw) for a gift of tubercidine, and Michał Dadlez and J. Oledzki (the Institute of Biochemistry and Biophysics, Polish Academy of Sciences, both) for HRMS measurements.
Conflicts of Interest
The authors declare no conflict of interest.
References
- Leonard, N.J. Adenylates: Bound and unbound. Biopolymers 1985, 24, 9–28. [Google Scholar] [CrossRef]
- Leonard, N.J. Etheno-substituted nucleotides and coenzymes: Fluorescence and biological activity. Crit. Rev. Biochem. 1984, 15, 125–199. [Google Scholar] [CrossRef] [PubMed]
- Sinkeldam, R.W.; Greco, N.J.; Tor, Y. Fluorescent analogs of biomolecular building blocks: Design, properties, and applications. Chem. Rev. 2010, 110, 2579–2619. [Google Scholar] [CrossRef] [PubMed]
- Xu, W.; Chan, K.M.; Kool, E.T. Fluorescent nucleobases as tools for studying DNA and RNA. Nat. Chem. 2017, 9, 1043–1055. [Google Scholar] [CrossRef]
- Kauffman, R.F.; Lardy, H.A.; Barrio, J.R.; Barrio, C.G.; Leonard, N.J. Dimensional probes of enzyme binding-sites of adenine-nucleotides-interaction of lin-benzo-adenosine 5′-diphosphate and triphosphate with mitochondrial ATP-synthetase, purified ATPase, and adenine-nucleotide carrier. Biochemistry 1978, 17, 3686–3692. [Google Scholar] [CrossRef] [PubMed]
- Scopes, D.I.C.; Barrio, J.R.; Leonard, N.J. Defined dimensional changes in enzyme cofactors-fluorescent stretched-out analogs of adenine-nucleotides. Science 1977, 195, 296–298. [Google Scholar] [CrossRef]
- Golankiewicz, B.; Ostrowski, T. Tricyclic nucleoside analogues as antiherpes agents. Antivir Res. 2006, 71, 134–140. [Google Scholar]
- Jahnz-Wechmann, Z.; Framski, G.R.; Januszczyk, P.A.; Boryski, J. Bioactive fused heterocycles: Nucleoside analogs with an additional ring. Eur. J. Med. Chem. 2015, 97, 388–396. [Google Scholar] [CrossRef]
- Jahnz-Wechmann, Z.; Framski, G.R.; Januszczyk, P.A.; Boryski, J. Base-modified nucleosides: Etheno derivatives. Front. Chem. 2016, 4, 19–29. [Google Scholar] [CrossRef]
- Singer, B.; Kuśmierek, J.T. Chemical mutagenesis. Annu. Rev. Biochem. 1982, 51, 655–693. [Google Scholar] [CrossRef]
- Chatterjee, N.; Walker, G.C. Mechanisms of DNA damage, repair and mutagenesis. Env. Mol Mutagen. 2017, 58, 235–263. [Google Scholar] [CrossRef] [PubMed]
- Bzowska, A.; Kulikowska, E.; Shugar, D. Purine nucleoside phosphorylases: Properties, functions, and clinical aspects. Pharmacol. Therap. 2000, 88, 349–425. [Google Scholar] [CrossRef]
- El Kouni, M.H. Potential chemotherapeutic targets in the purine metabolism of parasites. Pharmacol. Ther. 2003, 99, 283–309. [Google Scholar] [CrossRef]
- Grunebaum, E.; Cohen, A.; Roifman, C.M. Recent advances in understanding and managing adenosine deaminase and purine nucleoside phosphorylase deficiencies. Curr. Op. Allergy Clin. Immunol. 2013, 13, 630–638. [Google Scholar] [CrossRef]
- Parker, W.B.; Sorscher, E.J. Use of E. coli purine nucleoside phosphorylase in the treatment of solid tumors. Curr. Pharm Des. 2017, 23, 7003–7024. [Google Scholar] [CrossRef]
- Doskocil, J.; Holy, A. Specificity of purine nucleoside phosphorylase from Escherichia coli. Collect. Czech. Chem. Commun. 1977, 42, 370–383. [Google Scholar] [CrossRef]
- Wierzchowski, J.; Stachelska-Wierzchowska, A.; Wielgus-Kutrowska, B.; Bzowska, A. 1,N6-ethenoadenine and other fluorescent nucleobase analogues as substrates for purine-nucleoside phosphorylases: Spectroscopic and kinetic studies. Curr. Pharm. Des. 2017, 23, 6972–6990. [Google Scholar]
- Mikhailopulo, A.I.; Miroshnikov, A.I. Biologically important nucleosides: Modern trends in biotechnology and application. Mendeleev Comm. 2011, 21, 57–68. [Google Scholar] [CrossRef]
- Kamel, S.; Yehia, H.; Neubauer, P.; Wagner, A. 1 Enzymatic Synthesis of Nucleoside Analogues by Nucleoside Phosphorylases 1. In Enzymatic and Chemical Synthesis of Nucleic Acid Derivatives; Fernandez-Lucas, J., Camarasa-Rius, M.J., Eds.; Wiley-VCH Verlag GmbH & Co. KGaA: Weinheim, Germany, 2019; Chapter 1; pp. 1–28. [Google Scholar]
- Yehia, H.; Kamel, S.; Paulick, K.; Neubauer, P.; Wagner, A. Substrate Spectra of Nucleoside Phosphorylases and their Potential in the Production of Pharmaceutically Active Compounds. Curr. Pharm. Des. 2017, 23, 6913–6935. [Google Scholar] [CrossRef]
- Stachelska-Wierzchowska, A.; Wierzchowski, J.; Bzowska, A.; Wielgus-Kutrowska, B. Tricyclic nitrogen base, 1,N6-Ethenoadenine, and its Ribosides, as Substrates for Purine-Nucleoside Phosphorylases: Spectroscopic and Kinetic Studies. Nucleosides Nucleotides Nucleic Acids 2018, 37, 89–101. [Google Scholar] [CrossRef]
- Stachelska-Wierzchowska, A.; Wierzchowski, J.; Wielgus-Kutrowska, B.; Bzowska, A. Tri-cyclic nucleobase analogs and their ribosides as substrates of purine-nucleoside phosphorylases. II. Guanine and isoguanine derivatives. Molecules 2019, 24, 1493. [Google Scholar] [CrossRef] [PubMed]
- Virta, P.; Holmstrom, T.; Roslund, M.U.; Mattjus, P.; Kronberg, L.; Sjoholm, R. New nucleoside analogs from 2-amino-9-(β-d-ribofuranosyl)purine. Org. Biomol. Chem. 2004, 2, 821–827. [Google Scholar] [CrossRef] [PubMed]
- Bhat, G.A.; Schram, K.H.; Townsend, L.B. The synthesis of certain fluorescent imidazo[1,2-c]pyrrolo[3,2-e]pyrimidine nucleoside derivatives related to epsilon-adenosine. J. Carbohydr. Nucleosides Nucleotides 1980, 7, 333–345. [Google Scholar]
- Seela, F.; Schweinberger, E.; Kuiying, X.; Sirivolu, V.R.; Rosemeyer, H.; Becker, E.-M. 1,N6-Etheno-2′-deoxytubercidin and pyrrolo-C: Synthesis, base pairing, and fluorescence properties of 7-deazapurine nucleosides and oligonucleotides. Tetrahedron 2007, 63, 3471–3482. [Google Scholar] [CrossRef]
- Evans, G.B.; Schramm, V.L.; Tyler, P.C. The Immucillins: Design, synthesis and application of transition-state analogues. Curr. Med. Chem. 2015, 22, 3897–3909. [Google Scholar] [CrossRef]
- Schramm, V.L. Transition states, analogues, and drug development. Acs Chem. Biol. 2013, 8, 71–81. [Google Scholar]
- Markley, J.L.; Bax, A.; Arata, Y.; Hilbers, C.W.; Kaptein, R.; Sykes, B.D.; Wright, P.E.; Wüthrich, K. Recommendations for the presentation of NMR structures of proteins and nucleic acids–IUPAC-IUBMB-IUPAB Inter-Union Task Group on the standardization of data bases of protein and nucleic acid structures determined by NMR spectroscopy. J. Biomol. Nmr 1998, 12, 1–23. [Google Scholar] [CrossRef]
- Stoeckler, J.D.; Poirot, A.F.; Smith, R.M.; Parks, R.E., Jr.; Ealick, S.E.; Takabayashi, K.; Erion, M.D. Purine nucleoside phosphorylase. 3. Reversal of purine base specificity by site-directed mutagenesis. Biochemistry 1997, 36, 11749–11756. [Google Scholar] [CrossRef]
- Kamel, S.; Thiele, I.; Neubauer, P.; Wagner, A. Thermophilic nucleoside phosphorylases: Their properties, characteristics and applications. Biochim. Biopys. Acta-Proteins Proteom. 2020, 1868, 140304. [Google Scholar] [CrossRef]
- Kierdaszuk, B.; Modrak-Wójcik, A.; Wierzchowski, J.; Shugar, D. Formycin A and its N-methyl analogues, specific inhibitors of E. coli purine nucleoside phosphorylase: Induced tautomeric shift on binding to enzyme, and enzyme → ligand fluorescence resonance energy transfer. Biochim. Biophys. Acta 2000, 1476, 109–128. [Google Scholar] [CrossRef]
- Włodarczyk, J.; Galitonov, G.S.; Kierdaszuk, B. Identification of the tautomeric form of formycin A in its complex with Escherichia coli purine nucleoside phosphorylase based on the effect of enzyme-ligand binding on fluorescence and phosphorescence. Eur. Biophys. J. Biophys. Lett. 2004, 33, 377–385. [Google Scholar] [CrossRef]
- Patra, A.; Su, Y.; Zhang, Q.Q.; Johnson, K.M.; Guengerich, F.P.; Egli, M. Structural and Kinetic Analysis of Miscoding Opposite the DNA Adduct 1,N6-Ethenodeoxyadenosine by Human Translesion DNA Polymerase. J. Biol. Chem. 2016, 291, 14134–14145. [Google Scholar] [CrossRef]
- Calabretta, A.; Leumann, C.J. Base pairing and miscoding properties of 1,N6-ethenoadenine- and 3,N4-ethenocytosine-containing RNA oligonucleotides. Biochemistry 2013, 52, 1990–1997. [Google Scholar] [CrossRef]
- Shugar, D.; Psoda, A. Tautomerism of purines and pyrimidines. In Landoldt-Bornstein Numerical Data and Functional Relationships in Science and Technology; Springer: Berlin/Heidelberg, Germany, 1990; Volume 1, pp. 308–344. [Google Scholar]
- Shcherbakova, I.; Elguero, J.; Katritzky, A.R. Tautomerism of heterocycles: Condensed five-six, five-five, and six-six ring systems with heteroatoms in both rings. Adv. Heterocycl. Chem. 2000, 77, 51–113. [Google Scholar]
- Wierzchowski, J.; Antosiewicz, J.M.; Shugar, D. 8-Azapurines as isosteric purine fluorescent probes for nucleic acid and enzymatic research. Mol. Biosyst. 2014, 10, 2756–2774. [Google Scholar] [CrossRef]
- Wierzchowski, J. Excited-state proton transfer and phototautomerism in nucleobase and nucleoside analogs: A mini-review. Nucleosides Nucleotides Nucleic Acids 2014, 33, 626–644. [Google Scholar] [CrossRef]
- Stachelska-Wierzchowska, A.; Wierzchowski, J.; Wielgus-Kutrowska, B.; Bzowska, A.; Mikleuševic, G. Enzymatic synthesis of highly fluorescent 8-azapurine ribosides using purine-nucleoside phosphorylase reverse reaction: Variable ribosylation sites. Molecules 2013, 18, 12587–12598. [Google Scholar] [CrossRef]
- Stachelska-Wierzchowska, A.; Wierzchowski, J.; Bzowska, A.; Wielgus-Kutrowska, B. Site-selective ribosylation of fluorescent nucleobase analogs using purine-nucleoside phosphorylase as a catalyst: Effects of point mutations. Molecules 2016, 21, 44. [Google Scholar] [CrossRef]
- Narczyk, M.; Bertoša, B.; Papa, L.; Vuković, V.; Leščić-Ašler, I.; Wielgus-Kutrowska, B.; Bzowska, A.; Luić, M.; Štefanić, Z. Helicobacter pylori purine nucleoside phosphorylase shows new distribution patterns of open and closed active site conformations and unusual biochemical features. FEBS J. 2018, 285, 1305–1325. [Google Scholar] [CrossRef]
- Bzowska, A.; Luić, M.; Schroder, W.; Shugar, D.; Saenger, W.; Koellner, G. Calf spleen purine nucleoside phosphorylase: Purification, sequence and crystal structure of its complex with N(7)-acycloguanosine inhibitor. FEBS Lett. 1995, 367, 214–218. [Google Scholar] [CrossRef]
- Bzowska, A.; Kulikowska, E.; Poopeiko, N.E.; Shugar, D. Kinetics of phosphorolysis of 3-(β-d-ribofuranosyl)adenine and 3-(β-d-ribofuranosyl)hypoxanthine, non-conventional substrates of purine--nucleoside phosphorylase. Eur. J. Biochem. 1996, 239, 229–234. [Google Scholar] [CrossRef] [PubMed]
- Stachelska-Wierzchowska, A.; Wierzchowski, J. Fluorescence of the tri-cyclic adenine and isoguanine derivatives and their ribosides: Possible analytical applications. Acta Biochim. Polon. 2019, 66, 2885. [Google Scholar] [CrossRef] [PubMed]
- Porter, D.J.T. Purine nucleoside phosphorylase-kinetic mechanism of the enzyme from calf spleen. J. Biol. Chem. 1992, 267, 7342–7351. [Google Scholar] [PubMed]
- Wierzchowski, J.; Bzowska, A.; Stępniak, K.; Shugar, D. Interactions of Calf Spleen Purine Nucleoside Phosphorylase with 8-Azaguanine, and a Bisubstrate Analogue Inhibitor: Implications for the Reaction Mechanism. Z Nat. C J Biosci. 2004, 59, 713–725. [Google Scholar] [CrossRef]
- Wierzchowski, J.; Stępniak, K.; Bzowska, A.; Shugar, D. Spectroscopic and kinetic studies of interactions of calf spleen purine nucleoside phosphorylase with 8-azaguanine and its 9-(2-phosphonylmethoxyethyl) derivative. Nucleosides Nucleotides Nucleic Acids 2005, 24, 459–464. [Google Scholar] [CrossRef]
- Bzowska, A. Calf spleen purine nucleoside phosphorylase: Complex kinetic mechanism, hydrolysis of 7-methylguanosine, and oligomeric state in solution. Biochim. Biopys. Acta 2002, 1596, 293–317. [Google Scholar] [CrossRef]
- Krentitsky, T.A.; Tuttle, J.V. Correlation of substrate stabilization patterns with proposed mechanisms for three nucleoside phosphorylases. Biochim. Biophys. Acta 1982, 703, 247–249. [Google Scholar] [CrossRef]
- Wierzchowski, J.; Mędza, G.; Szabelski, M.; Stachelska-Wierzchowska, A. Properties of 2,6-diamino-8-azapurine, a highly fluorescent purine analog and its N-alkyl derivatives: Tautomerism and excited-state proton transfer reactions. J. Photochem. Photobiol. A 2013, 265, 49–57. [Google Scholar] [CrossRef]
- Koos, M.R.M.; Kummerlöwe, G.; Kaltschnee, L.; Thiele, C.M.; Luy, B. CLIP-COSY: A Clean In-Phase Experiment for the Rapid Acquisition of COSY-type Correlations. Angew. Chem. Internat. Ed. 2016, 55, 7655–7659. [Google Scholar] [CrossRef]
- Davis, A.L.; Keeler, J.; Laue, E.D.; Moskau, D. Experiments for recording pure-absorption heteronuclear correlation spectra using pulsed field gradients. J. Magn. Reson. 1992, 98, 207–216. [Google Scholar] [CrossRef]
- Saurí, J.; Parella, T.; Espinosa, J.F. CLIP-HSQMBC: Easy measurement of small proton–carbon coupling constants in organic molecules. Org. Biomol. Chem. 2013, 11, 4473. [Google Scholar] [CrossRef] [PubMed]
- Harris, R.K.; Becker, E.D.; De Menezes, S.M.C.; Granger, P.; Hoffman, R.E.; Zilm, K.W. Further conventions for NMR shielding and chemical shifts (IUPAC Recommendations 2008). Pure Appl. Chem. 2008, 80, 59–84. [Google Scholar] [CrossRef]
- Goddard, T.D.; Kneller, D.G. SPARKY 3; University of California: San Francisco, CA, USA, 2000. [Google Scholar]
- Mikleuševic, G.; Štefanic, Z.; Narczyk, M.; Wielgus-Kutrowska, B.; Bzowska, A.; Luic, M. Validation of the catalytic mechanism of Escherichia coli purine nucleoside phosphorylase by structural and kinetic studies. Biochimie 2011, 93, 1610–1622. [Google Scholar] [CrossRef] [PubMed]
- Breer, K.; Girstun, A.; Wielgus-Kutrowska, B.; Staron, K.; Bzowska, A. Overexpression, purification and characterization of functional calf purine nucleoside phosphorylase (PNP). Protein Expr. Purif. 2008, 61, 122–130. [Google Scholar] [CrossRef]
Sample Availability: Samples of the compounds 1,N2-etheno-2-aminopurine (1), N2,3-etheno-2-aminopurine (2) are available from the authors. |
© 2020 by the authors. Licensee MDPI, Basel, Switzerland. This article is an open access article distributed under the terms and conditions of the Creative Commons Attribution (CC BY) license (http://creativecommons.org/licenses/by/4.0/).














