Sign in to use this feature.

Years

Between: -

Subjects

remove_circle_outline
remove_circle_outline
remove_circle_outline
remove_circle_outline
remove_circle_outline
remove_circle_outline

Journals

Article Types

Countries / Regions

Search Results (41)

Search Parameters:
Keywords = TMC-120B

Order results
Result details
Results per page
Select all
Export citation of selected articles as:
13 pages, 237 KB  
Article
Impact of Gastrojejunostomy Configuration on Delayed Gastric Emptying Following Pancreaticoduodenectomy: A Single-Surgeon Retrospective Study
by Forat Swaid, Muhammad Masalha, Rajaa Elias, Ahmed Asadi, Osama Knaaneh, Monther Graieb, Miguel Gorenberg, Mohammad Sheikh-Ahmad, Walid Shalata and Abed Agbarya
Life 2025, 15(10), 1521; https://doi.org/10.3390/life15101521 - 26 Sep 2025
Viewed by 1057
Abstract
Delayed gastric emptying (DGE) is a significant complication following pancreaticoduodenectomy, affecting 20–40% of patients and impacting hospital stay, healthcare costs, and adjuvant therapy initiation. Different gastrojejunostomy configurations have been investigated to reduce DGE rates, with conflicting results presented in the literature. This retrospective [...] Read more.
Delayed gastric emptying (DGE) is a significant complication following pancreaticoduodenectomy, affecting 20–40% of patients and impacting hospital stay, healthcare costs, and adjuvant therapy initiation. Different gastrojejunostomy configurations have been investigated to reduce DGE rates, with conflicting results presented in the literature. This retrospective study analyzed 65 consecutive patients who underwent pylorus-preserving pancreaticoduodenectomy at Bnai-Zion Medical Center between August 2018 and December 2023. All procedures were performed by a single experienced surgeon using either antecolic (AC, n = 25) or transmesocolic (TMC, n = 40) reconstruction. DGE was classified according to International Study Group of Pancreatic Surgery criteria. The statistical analysis included logistic regression to identify risk factors. The overall DGE incidence was 23.1% (15/65 patients). The AC group demonstrated significantly higher DGE rates compared to the TMC group (40% vs. 12.5%, p = 0.01). Logistic regression analysis revealed a 5.91-fold increased risk of DGE with AC reconstruction (OR: 5.91; 95% CI: [1.44, 24.25]; p = 0.014). All severe DGE cases (grades B and C) occurred exclusively in the AC group. Hospital stay was significantly longer in DGE patients (median: 26 vs. 13 days, p < 0.001). Other variables, including age, gender, smoking, diabetes, BMI, and surgical approach, showed no significant association with DGE. In this single-surgeon study, antecolic reconstruction was associated with significantly higher rates and severities of delayed gastric emptying compared to transmesocolic reconstruction. These findings suggest that reconstruction technique represents a modifiable risk factor for DGE prevention, though larger prospective studies are needed to confirm these results. Full article
(This article belongs to the Section Medical Research)
12 pages, 9490 KB  
Article
Effect of Ultra-Rapid Heating/Cooling on the Microstructure and Properties of TC4-B-Si Titanium Matrix Composites
by Xiaonan Lu, Jianchao Li, Cheng Liu, Likun Wang, Sainan Ma, Bo Yuan, Bowen Gong, Wenting Ouyang, Huan Wang, Xiang Gao, Huiping Tang and Hua-Xin Peng
Materials 2025, 18(18), 4223; https://doi.org/10.3390/ma18184223 - 9 Sep 2025
Viewed by 968
Abstract
Titanium matrix composites (TMCs) possess excellent properties, which are widely applied in various high-end fields. An ultrafine multi-scale network structure may further enhance the TMCs. Then, the application potential is widened. Here, the in situ synthesized TC4-B-Si composites were prepared by selective laser [...] Read more.
Titanium matrix composites (TMCs) possess excellent properties, which are widely applied in various high-end fields. An ultrafine multi-scale network structure may further enhance the TMCs. Then, the application potential is widened. Here, the in situ synthesized TC4-B-Si composites were prepared by selective laser melting technology, to achieve ultrafine microstructure by inducing ultra-rapid heating/cooling process. The preparation process–structure–performance relationships were investigated. It was found that an appropriate laser energy density leads to high-density TMCs with stable molten pools and good interlayer bonding. With the decreasing energy density, the in situ generated TiB network structure is refined from the sub-micron scale to the nano-scale. The most Si atoms are supersaturated solid-dissolved in the titanium matrix. In addition, the TiB distribution becomes heterogeneous. Due to the co-effect of grain refinement and reinforcement distribution, the microhardness shows a rising and then falling trend, with decreasing energy density. With a good balance of these two factors, the maximum value of microhardness reaches 454 HV. Therefore, controlling process parameters is a feasible way to achieve multi-structures, and thus enhanced properties. This method is expected to be used on various lightweight and wear-resistant structural components. Full article
(This article belongs to the Section Metals and Alloys)
Show Figures

Figure 1

17 pages, 6308 KB  
Article
Effect of Heat Treatment on Microstructure and Mechanical Properties of (TiB + TiC) /Ti-6Al-4V Composites Fabricated by Directed Energy Deposition
by Hai Gu, Guoqing Dai, Jie Jiang, Zulei Liang, Jianhua Sun, Jie Zhang and Bin Li
Metals 2025, 15(7), 806; https://doi.org/10.3390/met15070806 - 18 Jul 2025
Cited by 1 | Viewed by 970
Abstract
The titanium matrix composites (TMCs) fabricated via Directed Energy Deposition (DED) effectively overcome the issue of coarse columnar grains typically observed in additively manufactured titanium alloys. In this study, systematic annealing heat treatments were applied to in situ (TiB + TiC)/Ti-6Al-4V composites to [...] Read more.
The titanium matrix composites (TMCs) fabricated via Directed Energy Deposition (DED) effectively overcome the issue of coarse columnar grains typically observed in additively manufactured titanium alloys. In this study, systematic annealing heat treatments were applied to in situ (TiB + TiC)/Ti-6Al-4V composites to refine the microstructure and tailor mechanical properties. The results reveal that the plate-like α phase in the as-deposited composites gradually transforms into an equiaxed morphology with increasing annealing temperature and holding time. Notably, when the annealing temperature exceeds 1000 °C, significant coarsening of the TiC phase is observed, while the TiB phase remains morphologically stable. Annealing promotes decomposition of acicular martensite and stress relaxation, leading to a reduction in hardness compared to the as-deposited state. However, the reticulated distribution of the TiB and TiC reinforcement phases contributes to enhanced tensile performance. Specifically, the as-deposited composite achieves a tensile strength of 1109 MPa in the XOY direction, representing a 21.6% improvement over the as-cast counterpart, while maintaining a ductility of 2.47%. These findings demonstrate that post-deposition annealing is an effective strategy to regulate microstructure and achieve a desirable balance between strength and ductility in DED-fabricated titanium matrix composites. Full article
Show Figures

Figure 1

13 pages, 16400 KB  
Article
Eliminating Plastic Anisotropy of TiB-Reinforced Titanium Matrix Composite via Cross Rolling
by Kuangzhe Xia, Kening Chen, Junyang He, Xiaoyong Zhang and Kechao Zhou
Materials 2025, 18(5), 990; https://doi.org/10.3390/ma18050990 - 24 Feb 2025
Viewed by 826
Abstract
Anisotropy is one of the concerns of titanium matrix composites (TMCs) due to its impact on subsequent processing and safe serving. In this work, we demonstrate that simply by using cross-rolling (CR) rather than unidirectional rolling (UDR), significant plastic anisotropy can be removed [...] Read more.
Anisotropy is one of the concerns of titanium matrix composites (TMCs) due to its impact on subsequent processing and safe serving. In this work, we demonstrate that simply by using cross-rolling (CR) rather than unidirectional rolling (UDR), significant plastic anisotropy can be removed and an excellent strength–ductility combination can be achieved in a new TiB-reinforced TMC (TiB-TMC). We attribute the occurrence of plastic anisotropy after UDR to be the strong rolling-induced orientation distribution of TiB whiskers parallel to the rolling direction (RD), while the elimination of anisotropy is therefore confirmed to be caused by the loss of such an orientation relationship. The underlying mechanism is revealed as the lower stress concentration along the lateral surface of the randomly distributed whiskers and the longer paths when cracks propagate in between each whisker, in the CR-processed TiB-TMC. Full article
(This article belongs to the Special Issue Study on Advanced Metal Matrix Composites (3rd Edition))
Show Figures

Figure 1

15 pages, 27525 KB  
Article
Microstructure Evolution and Mechanical Properties of B4C-Reinforced TC11 + xFe Composites Fabricated by HIP
by Shenwei Qian, Nan Wang, Feng Chen, Yangyang Sun, Jiong Zhao, Hui Chang, Liang Feng and Lian Zhou
Metals 2025, 15(1), 37; https://doi.org/10.3390/met15010037 - 3 Jan 2025
Cited by 1 | Viewed by 1384
Abstract
The present study involved (TiB + TiC)/TC11 (Ti-6.5Al-3.5Mo-1.2Zr-0.3Si) + xFe titanium matrix composites (TMCs) reinforced by in situ TiB whiskers and TiC particles fabricated by hot isostatic pressing. Microstructure observation reveals a substantial distribution of in situ reinforcements, which form a network-reinforced structure [...] Read more.
The present study involved (TiB + TiC)/TC11 (Ti-6.5Al-3.5Mo-1.2Zr-0.3Si) + xFe titanium matrix composites (TMCs) reinforced by in situ TiB whiskers and TiC particles fabricated by hot isostatic pressing. Microstructure observation reveals a substantial distribution of in situ reinforcements, which form a network-reinforced structure at the prior particle boundaries of the TC11 matrix. The micro–nanoscale TiB whiskers and TiC particles within and surrounding this network serve as effective dislocation pinning. The enhancement of mechanical properties can be attributed to load-bearing strengthening, fine-grain strengthening, and dislocation strengthening. The hardness and compressive strengths were investigated through mechanical properties testing. The hardness increased by 19.4% (2 wt% B4C-reinforced composites) compared with TC11 alloy. However, the addition of 2 wt% Fe at the same B4C level (2 wt% B4C + 2 wt% Fe-reinforced composites) resulted in a significant increase in hardness by 37.5% and 15.2% in compressive strengths of TMC and can be attributed to the solid solution strengthening effect and higher dislocation density provided by the addition of Fe. In addition, the optimal overall properties can be achieved by strictly regulating the addition ratio of 2 wt% Fe and 1 wt% B4C, allowing for a compressive strength of 2301 MPa while still maintaining a compressive strain of 24.6%. Full article
(This article belongs to the Special Issue Design, Processing and Characterization of Metals and Alloys)
Show Figures

Figure 1

10 pages, 3210 KB  
Article
Proposed Radiographic Parameters to Optimize Clinical Outcomes in Trapezio-Metacarpal Prosthesis Placement Using CT Imaging, with 1-Year Follow-Up
by Eleonora Piccirilli, Matteo Primavera, Chiara Salvati, Francesco Oliva and Umberto Tarantino
J. Pers. Med. 2024, 14(6), 585; https://doi.org/10.3390/jpm14060585 - 29 May 2024
Cited by 1 | Viewed by 1638
Abstract
Purpose: Addressing trapezio-metacarpal (TMC) osteoarthritis often involves considering TMC joint replacement. Utilizing TMC prostheses offers advantages such as preserving the thumb length and more accurately replicating the thumb’s range of motion (ROM). TMC prostheses have an intrinsic risk of dislocation and aseptic loosening. [...] Read more.
Purpose: Addressing trapezio-metacarpal (TMC) osteoarthritis often involves considering TMC joint replacement. Utilizing TMC prostheses offers advantages such as preserving the thumb length and more accurately replicating the thumb’s range of motion (ROM). TMC prostheses have an intrinsic risk of dislocation and aseptic loosening. Analyzing pre- and postoperative imaging can mitigate complications and improve prosthetic placement, providing insights into both successes and potential challenges, refining overall clinical outcomes. Materials and methods: We conducted a prospective analysis of 30 patients with severe TMC arthritis treated with a Touch© (Kerimedical, Geneva, Switzerland) prosthesis in 2021–2023: X-ray and CT protocols were developed to analyze A) the correct prosthesis placement and B) its correlation with clinical outcomes (VAS, Kapandji and QuickDASH scores) by performing Spearman correlation analysis. Results: The average differences in trapezium height and M1-M2 ratio pre- and post-surgery were, respectively, 1.8 mm (SD ± 1.7; p < 0.001) and 0.04 mm (SD ± 0.04; p = 0.017). Pre-to-postoperative M1 axis length increased by an average of 2.98 mm (SD ± 3.84; p = 0.017). Trapezial cup sinking, indicated by the trapezium index, measured 4.6 mm (SD ± 1.2). The metacarpal index averaged at 11.3 mm (SD ± 3.3). The distance between the centers of the trapezium distal surface and the prosthesis cup was 2.23 mm (SD ± 1.4). The Spearman correlation analysis gave the following results: negative correlations were highlighted between postoperative VAS scores and the M1/M2 ratio and residual trapezium height (correlation coefficient: −0.7, p = 0.03 and −0.064, p = 0.03, respectively) at 6 months; a negative correlation was found at the 3-month mark between QuickDASH and the trapezium residual height (correlation coefficient: −0.07, p = 0.01); and a positive correlation was found for the trapezium index at 1 month (correlation coefficient: 0.07, p = 0.03) and 3 months (p = 0.04) using the Kapandji score. Similarly, we found a positive correlation between the distance between the prosthesis and trapezium centers and QuickDASH score at 1 and 3 months (correlation coefficient: 0.066, p = 0.03; correlation coefficient: 0.07, p = 0.05, respectively) and a positive correlation between prosthesis axis and the residual first metacarpal angle with QuickDASH score at 3 months (correlation coefficient: 0.07, p = 0.02). Conclusions: Pre- and postoperative systematic imaging analysis should become a method for predicting complications and guiding recovery in TMC prosthesis: CT imaging could provide us with radiographical landmarks that are intrinsically linked to clinical outcomes. Further research is necessary to fuel a protocol for the correct intraoperative TMC prosthesis implantation. Full article
(This article belongs to the Section Methodology, Drug and Device Discovery)
Show Figures

Figure 1

15 pages, 1046 KB  
Article
Simultaneous Quantification of 16 Bisphenol Analogues in Food Matrices
by Fiorella Lucarini, Rocco Gasco and Davide Staedler
Toxics 2023, 11(8), 665; https://doi.org/10.3390/toxics11080665 - 2 Aug 2023
Cited by 26 | Viewed by 4342
Abstract
Exposure to bisphenol analogues can occur in several ways throughout the food production chain, with their presence at higher concentrations representing a risk to human health. This study aimed to develop effective analytical methods to simultaneously quantify BPA and fifteen bisphenol analogues (i.e., [...] Read more.
Exposure to bisphenol analogues can occur in several ways throughout the food production chain, with their presence at higher concentrations representing a risk to human health. This study aimed to develop effective analytical methods to simultaneously quantify BPA and fifteen bisphenol analogues (i.e., bisphenol AF, bisphenol AP, bisphenol B, bisphenol BP, bisphenol C, bisphenol E, bisphenol F, bisphenol G, bisphenol M, bisphenol P, bisphenol PH, bisphenol S, bisphenol Z, bisphenol TMC, and tetramethyl bisphenol F) present in canned foods and beverages. Samples of foods and beverages available in the Swiss and EU markets (n = 22), including canned pineapples, ravioli, and beer, were prepared and analyzed using QuEChERS GC-MS. The quantification method was compared to a QuEChERS LC-MS/MS analysis. This allowed for the selective and efficient simultaneous quantitative analysis of bisphenol analogues. Quantities of these analogues were present in 20 of the 22 samples tested, with the most frequent analytes at higher concentrations: BPA and BPS were discovered in 78% and 48% of cases, respectively. The study demonstrates the robustness of QuEChERS GC-MS for determining low quantities of bisphenol analogues in canned foods. However, further studies are necessary to achieve full knowledge of the extent of bisphenol contamination in the food production chain and its associated toxicity. Full article
Show Figures

Figure 1

11 pages, 5706 KB  
Article
Preparation and Characterization of Carbide Particle-Toughened Si–B System of High Thermostability Polycrystalline Diamond by HPHT Sintering
by Yunqi Zhang, Yumei Zhu and Zhihong Li
Materials 2023, 16(11), 3933; https://doi.org/10.3390/ma16113933 - 24 May 2023
Cited by 3 | Viewed by 2008
Abstract
In this research, we report the synthesis of Si–TmC–B/PCD composites using Si, B, and transition metal carbide particles (TmC) as binders at high pressure and high temperature (HPHT method, 5.5 GPa and 1450 °C). The microstructure, elemental distribution, phase composition, thermal stability, and [...] Read more.
In this research, we report the synthesis of Si–TmC–B/PCD composites using Si, B, and transition metal carbide particles (TmC) as binders at high pressure and high temperature (HPHT method, 5.5 GPa and 1450 °C). The microstructure, elemental distribution, phase composition, thermal stability, and mechanical properties of PCD composites were systematically investigated. The Si–B/PCD sample is thermally stable in air at 919 °C. The initial oxidation temperature of the PCD sample with ZrC particles is as high as 976 °C, and it also has a maximum flexural strength of 762.2 MPa, and the highest fracture toughness of 8.0 MPa·m1/2. Full article
Show Figures

Figure 1

15 pages, 6591 KB  
Article
Evolution of the Strengthening Effects of In Situ TiB Fibers in a Ti Composite with Various Levels of Thermal Processing
by Peifeng Zhao, Fengcang Ma, Ping Liu, Wei Li, Xinkuan Liu, Xiaohong Chen and Ke Zhang
Materials 2023, 16(6), 2472; https://doi.org/10.3390/ma16062472 - 20 Mar 2023
Viewed by 1656
Abstract
Thermal processing is a useful method for improving the strengthening effects of fibers used to reinforce metal matrix composites (MMCs), but the corresponding models have not been constructed. In this work, a Ti matrix composite (TMC) reinforced by in situ TiB fibers was [...] Read more.
Thermal processing is a useful method for improving the strengthening effects of fibers used to reinforce metal matrix composites (MMCs), but the corresponding models have not been constructed. In this work, a Ti matrix composite (TMC) reinforced by in situ TiB fibers was prepared, then thermal processing was applied to it at different levels of deformation to align the TiB fibers along the loading direction. Changes in the microstructure of the matrix, the orientation and the aspect ratio of the TiB fibers during this process were investigated. It was found that the aspect ratio of TiB fibers decreased sharply after a large amount of deformation. The strengthening effect of TiB fibers in the composite was simulated by strengthening models of the fibers, and the simulated results were verified by the results of tensile tests. The modeled results show that the strengthening factor (C0) of the in situ TiB fibers improved from 0.125 in the as-cast composite to 0.520, 0.688 and 0.858 by the processes with deformation ratios of 0.39, 0.26 and 0.14, respectively. The results of the tensile tests showed that the measured values of C0 gradually deviated from the modeled ones with an increase in the ratio of deformation applied during processing, and the deviation could be interpreted with the strengthening models. Full article
Show Figures

Figure 1

18 pages, 5281 KB  
Article
Modified Silica Nanoparticles from Rice Husk Supported on Polylactic Acid as Adsorptive Membranes for Dye Removal
by João Otávio Donizette Malafatti, Francine Aline Tavares, Tainara Ramos Neves, Bruno Cano Mascarenhas, Simone Quaranta and Elaine Cristina Paris
Materials 2023, 16(6), 2429; https://doi.org/10.3390/ma16062429 - 18 Mar 2023
Cited by 16 | Viewed by 4104
Abstract
Industrial effluents and wastewater treatment have been a mainstay of environmental preservation and remediation for the last decade. Silica nanoparticles (SiO2) obtained from rice husk (RH) are an alternative to producing low-cost adsorbent and agriculture waste recovery. One adsorption challenge is [...] Read more.
Industrial effluents and wastewater treatment have been a mainstay of environmental preservation and remediation for the last decade. Silica nanoparticles (SiO2) obtained from rice husk (RH) are an alternative to producing low-cost adsorbent and agriculture waste recovery. One adsorption challenge is facilitating the adsorbate separation and reuse cycle from aqueous medium. Thus, the present work employs SiO2 supported on polylactic acid (PLA) nanofibers obtained by the electrospinning method for Rhodamine B (RhB) dye adsorption. The silica surface was modified with trimethylsilyl chloride (TMCS) to increase affinity towards organic compounds. As a result, the silanized surface of the silica from rice husk (RHSil) promoted an increase in dye adsorption attributed to the hydrophobic properties. The PLA fibers containing 40% SiO2 (w w−1) showed about 85–95% capacity adsorption. The pseudo-first-order kinetic model was demonstrated to be the best model for PLA:SiO2 RHSil nanocomposites, exhibiting a 1.2956 mg g−1 adsorption capacity and 0.01404 min−1 kinetic constant (k1) value. In the reuse assay, PLA:SiO2 membranes preserved their adsorption activity after three consecutive adsorption cycles, with a value superior to 60%. Therefore, PLA:SiO2 nanocomposites from agricultural waste are an alternative to “low-cost/low-end” treatments and can be used in traditional treatment systems to improve dye removal from contaminated waters. Full article
(This article belongs to the Special Issue Nanomaterials for the Environmental Remediation of Water and Soil)
Show Figures

Figure 1

18 pages, 6541 KB  
Article
Modulation of the Structure of the Conjugated Polymer TMP and the Effect of Its Structure on the Catalytic Performance of TMP–TiO2 under Visible Light: Catalyst Preparation, Performance and Mechanism
by Jing Zhang, Chen Wang, Xiaoguo Shi, Qing Feng, Tingting Shen and Siyuan Wang
Materials 2023, 16(4), 1563; https://doi.org/10.3390/ma16041563 - 13 Feb 2023
Cited by 3 | Viewed by 2550
Abstract
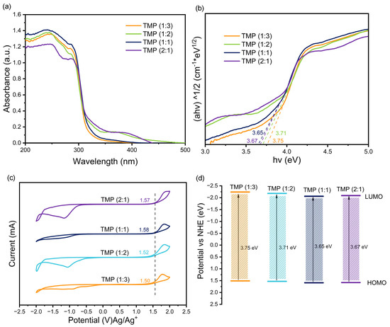
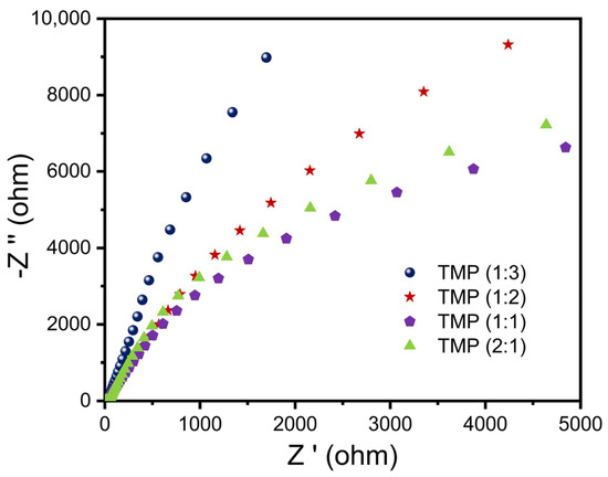
The photocatalytic activity of titanium dioxide (TiO2) is largely hindered by its low photoresponse and quantum efficiency. TiO2 modified by conjugated polymers (CPs) is considered a promising approach to enhance the visible light responsiveness of TiO2. In this [...] Read more.
The photocatalytic activity of titanium dioxide (TiO2) is largely hindered by its low photoresponse and quantum efficiency. TiO2 modified by conjugated polymers (CPs) is considered a promising approach to enhance the visible light responsiveness of TiO2. In this work, in order to investigate the effect of CP structural changes on the photocatalytic performance of TiO2 under visible light, trimesoyl chloride–melamine polymers (TMPs) with different structural characteristics were created by varying the parameters of the polymerisation process of tricarbonyl chloride (TMC) and melamine (M). The TMPs were subsequently composited with TiO2 to form complex materials (TMP–TiO2) using an in situ hydrothermal technique. The photocatalytic activity of TMP–TiO2 was evaluated by the degradation of rhodamine B (RhB). The results showed that the trend of the structure of the TMP with the reaction conditions was consistent with the visible light responsiveness of TMP–TiO2, and TMP (1:1)–TiO2 had the best photocatalytic activity and could degrade 96.1% of the RhB. In conclusion, our study provided new insights into the influence of the structural changes of TMPs on the photocatalytic activity of TMP–TiO2 under visible light, and it improves our understanding of how conjugated polymers affect the photocatalytic activity of TiO2 under visible light. Full article
Show Figures

Figure 1

11 pages, 18661 KB  
Article
Ring-Opening Polymerization of Trimethylene Carbonate with Phosphazene Organocatalyst
by Jianglin Zhu, Xiaoming Luo and Xin Li
Polymers 2023, 15(3), 720; https://doi.org/10.3390/polym15030720 - 31 Jan 2023
Cited by 6 | Viewed by 3823
Abstract
Aliphatic polycarbonate (APC) compounds are an important class of biodegradable materials with excellent biocompatibility, good biodegradability, and low toxicity, and the study of these compounds and their modification products aims to obtain biodegradable materials with better performance. In this context, the ring-opening polymerization [...] Read more.
Aliphatic polycarbonate (APC) compounds are an important class of biodegradable materials with excellent biocompatibility, good biodegradability, and low toxicity, and the study of these compounds and their modification products aims to obtain biodegradable materials with better performance. In this context, the ring-opening polymerization (ROP) of trimethylene carbonate (TMC) from a low nucleophilic organic superbase of phosphazene (t-BuP4) as a catalyst and benzyl alcohol (BnOH) as an initiator at room temperature was carefully studied to prepare poly(trimethylene carbonate) (PTMC) which is one of the most studied APC. 1H NMR and SEC measurements clearly demonstrate the presence of a benzyloxy group at the α-terminus of the obtained PTMC homopolymers while investigation of the polymerization kinetics confirms the controlled/living nature of t-BuP4-catalyzed ROP of TMC. On the basis of this, the block copolymerization of TMC and δ-valerolactone (VL)/ε-caprolactone (CL) was successfully carried out to give PTMC-b-PCL and PTMC-b-PVL copolymers. Furthermore, PTMC with terminal functionality was also prepared with the organocatalytic ROP of TMC through functional initiators. We believe that the present ROP system is a robust, highly efficient, and practical strategy for producing excellent biocompatible and biodegradable PTMC-based materials. Full article
(This article belongs to the Special Issue Eco-Friendly Polymers and Polymer Composites)
Show Figures

Figure 1

18 pages, 5173 KB  
Article
Optimization of Preparation Conditions of Poly(m-phenylene isophthalamide) PMIA Hollow Fiber Nanofiltration Membranes for Dye/Salt Wastewater Treatment
by Qinliang Jiang and Kaisong Zhang
Membranes 2022, 12(12), 1258; https://doi.org/10.3390/membranes12121258 - 13 Dec 2022
Cited by 9 | Viewed by 2919
Abstract
Externally selective thin film composite (TFC) hollow fiber (HF) nanofiltration membranes (NFMs) hold great industrial application prospects because of their high surface area module. However, the complicated preparation process of the membrane has hindered its mass manufacture and application. In this work, PMIA [...] Read more.
Externally selective thin film composite (TFC) hollow fiber (HF) nanofiltration membranes (NFMs) hold great industrial application prospects because of their high surface area module. However, the complicated preparation process of the membrane has hindered its mass manufacture and application. In this work, PMIA TFC HF NFMs were successfully prepared by the interfacial polymerization (IP) of piperazine (PIP) with 1,3,5-benzenetricarbonyl trichloride (TMC). The effect of the membrane preparation conditions on their separation performance was systematically investigated. The characterized results showed the successful formation of a polyamide (PA) separation layer on PMIA HF substrates by the IP process. The as-prepared HF NFMs’ performance under optimized conditions achieved the highest pure water permeability (18.20 L·m−2·h−1, 0.35 MPa) and superior salt rejection in the order: RNa2SO4 (98.30%) > RMgSO4 (94.60%) > RMgCl2 (61.48%) > RNaCl (19.24%). In addition, the as-prepared PMIA HF TFC NFMs exhibited desirable pressure resistance at various operating bars and Na2SO4 feed concentrations. Excellent separation performance of chromotrope 2B dye was also achieved. The as-prepared PMIA HF NFMs thus show great promise for printing and dyeing wastewater treatment. Full article
(This article belongs to the Special Issue Mixed Matrix Membranes for Energy and Environmental Applications)
Show Figures

Figure 1

17 pages, 2727 KB  
Article
Selective Silencing of Disease-Associated B Lymphocytes from Hashimoto’s Thyroiditis Patients by Chimeric Protein Molecules
by Nikola Ralchev Ralchev, Aleksandar Mishel Markovski, Inna Angelova Yankova, Iliyan Konstantinov Manoylov, Irini Atanas Doytchinova, Nikolina Mihaylova Mihaylova, Alexander Dimitrov Shinkov and Andrey Ivanov Tchorbanov
Int. J. Mol. Sci. 2022, 23(23), 15083; https://doi.org/10.3390/ijms232315083 - 1 Dec 2022
Cited by 6 | Viewed by 3005
Abstract
Hashimoto’s thyroiditis is one of the most common endocrine disorders, affecting up to 20% of the adult population. No treatment or prevention exists except hormonal substitution for hypothyroidism. We hypothesize that it may be possible to selectively suppress anti-thyroglobulin (Tg) IgG antibody-producing B [...] Read more.
Hashimoto’s thyroiditis is one of the most common endocrine disorders, affecting up to 20% of the adult population. No treatment or prevention exists except hormonal substitution for hypothyroidism. We hypothesize that it may be possible to selectively suppress anti-thyroglobulin (Tg) IgG antibody-producing B lymphocytes from HT patients by a chimeric protein molecule containing a monoclonal antibody specific for the human inhibitory receptor CR1, coupled to peptide epitopes derived from Tg protein. We expect that this treatment will down-regulate B-cell autoreactivity by delivering a strong inhibitory signal. Three peptides—two epitope-predicted ones derived from Tg and another irrelevant peptide—were synthesized and then coupled with monoclonal anti-human CR1 antibody to construct three chimeric molecules. The binding to CD35 on human B cells and the effects of the chimeric constructs on PBMC and TMC from patients with HT were tested using flow cytometry, ELISpot assay, and immunoenzyme methods. We found that after the chemical conjugation, all chimeras retained their receptor-binding capacity, and the Tg epitopes could be recognized by anti-Tg autoantibodies in the patients’ sera. This treatment downregulated B-cell autoreactivity and cell proliferation, inhibited Tg-specific B-cell differentiation to plasmablasts and promoted apoptosis to the targeted cells. The treatment of PBMCs from HT patients with Tg-epitope-carrying chimeric molecules affects the activity of Tg-specific autoreactive B lymphocytes, delivering to them a strong suppressive signal. Full article
(This article belongs to the Special Issue Advances in Antibody Design and Antigenic Peptide Targeting 2.0)
Show Figures

Figure 1

17 pages, 6425 KB  
Article
Monotropein Protects against Inflammatory Bone Loss and Suppresses Osteoclast Formation and Bone Resorption by Inhibiting NFATc1 via NF-κB and Akt/GSK-3β Pathway
by Qi Zhang, Sijing Hu, Yuqiong He, Zile Song, Yi Shen, Zihui Zhao, Quanlong Zhang, Luping Qin and Qiaoyan Zhang
Nutrients 2022, 14(19), 3978; https://doi.org/10.3390/nu14193978 - 24 Sep 2022
Cited by 20 | Viewed by 3535
Abstract
Monotropein (Mon) is a kind of iridoid glycoside plant secondary metabolite primarily present in some edible and medicinal plants. The aim of this study was to investigate the effect of Mon on lipopolysaccharide (LPS)-induced inflammatory bone loss in mice and osteoclasts (OCs) derived [...] Read more.
Monotropein (Mon) is a kind of iridoid glycoside plant secondary metabolite primarily present in some edible and medicinal plants. The aim of this study was to investigate the effect of Mon on lipopolysaccharide (LPS)-induced inflammatory bone loss in mice and osteoclasts (OCs) derived from bone marrow-derived macrophages (BMMs), and explore the mechanisms underlying the effect of Mon on LPS-induced osteoclastogenesis. It was found that Mon markedly attenuated deterioration of the bone micro-architecture, enhanced tissue mineral content (TMC) and bone volume/total volume (BV/TV), reduced structure model index (SMI) and trabecular separation/spacing (Tb.Sp) in the bone tissue and decreased the activities of tartrate resistant acid phosphatase-5b (TRACP-5b), receptor activator NF-κB (RANK), and receptor activator NF-κB ligand (RANKL) as well as the serum levels of interleukin 6 (IL-6) and interleukin 1β (IL-1β) in LPS-treated mice. In addition, Mon treatment reduced the number of TRAP positive OCs in the bone tissue of LPS-treated mice and also exerted a stronger inhibitory effect on formation, differentiation, and F-actin ring construction of OCs derived from BMMs. Mon significantly inhibited the expression of the nuclear factor of activated T-cells c1 (NFATc1) and the immediate early gene (C-Fos) and nuclear translocation of NFATc1 in LPS-treated OCs, thereby inhibiting the expression of matrix metalloproteinase-9 (MMP-9), cathepsin K (CtsK), and TRAP. Mon significantly inhibited the expression of TRAF6, phosphorylation of P65, and degradation of IKBα, thus inhibiting the activation of NF-κB pathway in LPS-induced inflammatory mice and OCs derived from BMMs, and also inhibited LPS-induced phosphorylation of protein kinase B (Akt) and Glycogen synthase kinase 3β (GSK-3β) in OCs derived from BMMs. In conclusion, these results suggested that Mon could effectively inhibit osteoclastogenesis both in vitro and in vivo and therefore may prove to be potential option for prevention and treatment of osteoclastic bone resorption-related diseases. Full article
(This article belongs to the Section Nutrigenetics and Nutrigenomics)
Show Figures

Figure 1

Back to TopTop