Sign in to use this feature.

Years

Between: -

Subjects

remove_circle_outline
remove_circle_outline
remove_circle_outline
remove_circle_outline
remove_circle_outline
remove_circle_outline
remove_circle_outline

Journals

Article Types

Countries / Regions

Search Results (12)

Search Parameters:
Keywords = T-Scan III system

Order results
Result details
Results per page
Select all
Export citation of selected articles as:
9 pages, 203 KB  
Article
Assessing the Association Between Occlusal Characteristics and Sleep Quality and Stress Levels: A Cross-Sectional Study
by Eun-Ha Jung and Mi-Kyoung Jun
Hygiene 2025, 5(2), 25; https://doi.org/10.3390/hygiene5020025 - 12 Jun 2025
Viewed by 1247
Abstract
Malocclusion can arise due to various causes and may impact not only temporomandibular joint (TMJ) disorders but also overall systemic health. This study aimed to evaluate the association of individual occlusal characteristics with sleep quality and stress levels in female college students. Occlusal [...] Read more.
Malocclusion can arise due to various causes and may impact not only temporomandibular joint (TMJ) disorders but also overall systemic health. This study aimed to evaluate the association of individual occlusal characteristics with sleep quality and stress levels in female college students. Occlusal analysis was conducted using T-Scan III on 84 participants (age: 21.7 ± 2.09), while sleep quality and stress levels were assessed using the Korean version of the Pittsburgh Sleep Quality Index and self-reported stress questionnaires, respectively. Sleep quality was categorized as “good sleeper” (≤5 points) or “poor sleeper” (>5 points). Stress levels were classified as Normal (≤13), Initial stress (14–16), Moderate stress (17–18), or Severe stress (≥19). The results indicated no significant differences in sleep quality based on occlusal characteristics. However, participants with Type A occlusion (posterior contact without anterior contact) exhibited higher stress scores than those with Type B occlusion. Correlation analysis showed a weak negative association between stress scores and occlusion type, but no significant relationship was found between occlusal characteristics, sleep quality, and stress levels. In conclusion, individual occlusal characteristics have limited explanatory power regarding their effects on sleep quality and stress. Full article
19 pages, 3651 KB  
Article
Aspects of Occlusal Recordings Performed with the T-Scan System and with the Medit Intraoral Scanner
by Angelica Diana Popa, Diana Elena Vlăduțu, Adina Andreea Turcu, Daniel Adrian Târtea, Mihaela Ionescu, Cătălin Păunescu, Răzvan Sabin Stan and Veronica Mercuț
Diagnostics 2024, 14(13), 1457; https://doi.org/10.3390/diagnostics14131457 - 8 Jul 2024
Cited by 8 | Viewed by 4811
Abstract
Introduction: Dental occlusion refers to the static and dynamic relationships that are established between the teeth of the two arches and is an important factor in the homeostasis of the dento-maxillary system. The objective of the present study was to compare two digital [...] Read more.
Introduction: Dental occlusion refers to the static and dynamic relationships that are established between the teeth of the two arches and is an important factor in the homeostasis of the dento-maxillary system. The objective of the present study was to compare two digital occlusal analysis systems: the T-Scan III system and the Medit I600 intraoral scanner. Materials and Methods: The study was carried out on 20 students from the Faculty of Dental Medicine Craiova, whose dental occlusion was assessed with the T-Scan III system and with the Medit I600 intraoral scanner. Dental occlusion was assessed in the maximum intercuspation position, the edge-to-edge protrusion position, and the edge-to-edge position in right and left laterotrusion. The images of the 2D occlusal contact areas obtained by both methods were converted to .jpeg format and then transferred to Adobe Photoshop CS6 2021 (Adobe Systems, San Jose, CA, USA) for comparison. The recorded data were statistically processed. Results: Analyzing the data provided by the two digital occlusal analysis systems, it was found that the T-Scan III system provided data related to the amplitude of the occlusal forces, the surface on which they were distributed (the contact surface), the dynamics of the occlusal contacts, and the proportion in which they were distributed at the level of the two hemiarches, and the Medit I600 intraoral scanner performed an evaluation of the occlusal interface of the two arches, highlighting the extent of the contact areas with the degree of overlapping of the occlusal components. Although both methods of occlusal analysis recorded the highest values for the maximum intercuspation position, the results could not be compared. Conclusions: The two digital systems provide different data in occlusal analysis. As the T-Scan III system is considered the gold standard for occlusal analysis, more studies are needed to understand the data provided by the Medit I600 intraoral scanner and their significance. Full article
(This article belongs to the Special Issue Advances in Oral and Maxillofacial Radiology)
Show Figures

Figure 1

22 pages, 5316 KB  
Article
Diffusion of Alloying Cobalt Oxide (II, III) into Electrical Steel
by Elmazeg Elgamli and Fatih Anayi
Materials 2023, 16(18), 6315; https://doi.org/10.3390/ma16186315 - 20 Sep 2023
Cited by 2 | Viewed by 2163
Abstract
This paper aims to reduce power loss in electrical steel by improving its surface resistivity. The proposed approach involves introducing additional alloying elements through diffusion once the steel sheet reaches the desired thickness. Various effective techniques have been suggested and tested to enhance [...] Read more.
This paper aims to reduce power loss in electrical steel by improving its surface resistivity. The proposed approach involves introducing additional alloying elements through diffusion once the steel sheet reaches the desired thickness. Various effective techniques have been suggested and tested to enhance the resistivity of the strip. The method entails creating a paste by combining powdered diffusing elements with specific solutions, which are then applied to the steel’s surface. After firing the sample, a successful transfer of certain elements to the steel surface is achieved. The amount and distribution of these elements can be controlled by adjusting the paste composition, modifying the firing parameters, and employing subsequent annealing procedures. This study specifically investigates the effectiveness of incorporating cobalt oxide (II, III) into non-oriented silicon iron to mitigate power loss. The experimental samples consist of non-oriented electrical steels with a composition of 2.4 wt% Si-Fe and dimensions of 0.305 mm × 300 mm × 30 mm. Power loss and permeability measurements are conducted using a single strip tester (SST) within a magnetic field range of 0.5 T to 1.7 T. These measurements are performed using an AC magnetic properties measurement system under controlled sinusoidal conditions at various frequencies. The research explores the impact of cobalt oxide (II, III) addition, observing successful diffusion into the steel through the utilization of a paste based on sodium silicate solution. This treatment results in a significant reduction in power loss in the non-oriented material, with power loss reductions of 14% at 400 Hz and 23% at 1 kHz attributed to the elimination of a porous layer containing a high concentration of the diffusing element. The formation of porosity in the cobalt addition was found to be particularly sensitive to firing temperature near the melting point. The diffusion process was examined through scanning electron microscopy (SEM) in combination with energy-dispersive X-ray spectroscopy (EDS). The results demonstrate improved power losses in the coated samples compared with the uncoated ones. In conclusion, this study establishes that the properties of non-oriented electrical steels can be enhanced through a safer process compared with the methods employed by previous researchers. Full article
Show Figures

Figure 1

10 pages, 1607 KB  
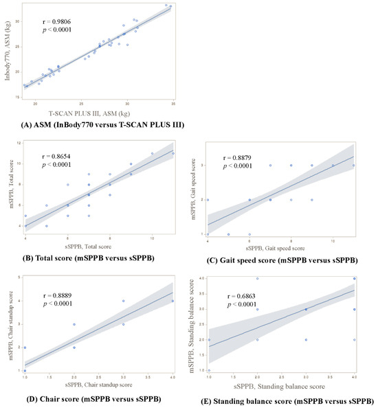
Communication
Comparisons of Two Bioelectrical Impedance Devices and Manual versus Sensor-Based Short Physical Performance Batteries for Assessment of Muscle Mass and Physical Performance
by Jin-Young Min and Kyoung-Bok Min
Sensors 2023, 23(13), 6026; https://doi.org/10.3390/s23136026 - 29 Jun 2023
Cited by 2 | Viewed by 2320 | Correction
Abstract
The assessment of muscle mass and physical performance is essential for the diagnosis of sarcopenia. This study examined the validity of bioimpedance analysis (BIA) and a sensor-based short physical performance battery (SPPB) device for analyzing appendicular skeletal muscle mass (ASM) and physical performance. [...] Read more.
The assessment of muscle mass and physical performance is essential for the diagnosis of sarcopenia. This study examined the validity of bioimpedance analysis (BIA) and a sensor-based short physical performance battery (SPPB) device for analyzing appendicular skeletal muscle mass (ASM) and physical performance. Forty older adults were measured for ASM and physical performance with two BIA devices (InBody770 vs. T-SCAN PLUS III) and two SPPB devices (manual mSPPB vs. sensor-based sSPPB). Validity statistics included the intraclass correlation coefficient (ICC) and Bland–Altman plots to examine the agreement of data from the BIA (InBody770 vs. T-SCAN PLUS III) and the SPPBs (mSPPB vs. sSPPB). There was a significant ICC for skeletal muscle mass between the T-SCAN PLUS III and InBody770 devices (ICC = 0.8822; p < 0.0001). The mSPPB and sSPPB values showed agreement across all components: 0.8654 for the total scores, 0.8879 for the walking speed, 0.8889 for the chair stand, and 0.6863 for the standing balance. No systemic bias was observed between the two methods for the BIA and SPPB devices. Measurements using the T-SCAN PLUS III and sSPPB seem to be highly correlated with the InBody770 and mSPPB devices in older adults and may be valid for assessing muscle mass and physical performance. Full article
(This article belongs to the Section Biosensors)
Show Figures

Figure 1

15 pages, 2751 KB  
Article
Single-Voxel MR Spectroscopy of Gliomas with s-LASER at 7T
by Martin Prener, Giske Opheim, Zahra Shams, Christian Baastrup Søndergaard, Ulrich Lindberg, Henrik B. W. Larsson, Morten Ziebell, Vibeke Andrée Larsen, Mark Bitsch Vestergaard and Olaf B. Paulson
Diagnostics 2023, 13(10), 1805; https://doi.org/10.3390/diagnostics13101805 - 19 May 2023
Cited by 4 | Viewed by 3560
Abstract
Background and Purpose: Magnetic resonance spectroscopy (MRS)—a method of analysing metabolites in vivo—has been utilized in several studies of brain glioma biomarkers at lower field strengths. At ultra-high field strengths, MRS provides an improved signal-to-noise-ratio and spectral resolution, but 7T studies on patients [...] Read more.
Background and Purpose: Magnetic resonance spectroscopy (MRS)—a method of analysing metabolites in vivo—has been utilized in several studies of brain glioma biomarkers at lower field strengths. At ultra-high field strengths, MRS provides an improved signal-to-noise-ratio and spectral resolution, but 7T studies on patients with gliomas are sparse. The purpose of this exploratory study was to evaluate the potential clinical implication of the use of single-voxel MRS at 7T to assess metabolic information on lesions in a pilot cohort of patients with grade II and III gliomas. Methods: We scanned seven patients and seven healthy controls using the semi-localization by adiabatic-selective refocusing sequence on a Philips Achieva 7T system with a standard dual-transmit head coil. The metabolic ratios were calculated relative to water and total creatine. Additionally, 2-hydroxyglutarate (2-HG) MRS was carried out in four of the patients, and the 2-HG concentration was calculated relative to water. Results: When comparing the tumour data to control regions in both patients and healthy controls, we found that the choline/creatine and myo-inositol/creatine ratios were significantly increased and that the N-acetylaspartate/creatine and the neurotransmitter glutamate/creatine ratios were significantly decreased. The N-acetylaspartate/water and glutamate/water ratios were also significantly decreased. The lactate/water and lactate/creatine ratios showed increases, although not significant. The GABA/water ratio was significantly decreased, but the GABA/creatine ratio was not. MRS spectra showed the presence of 2-HG in three of the four patients studied. Three of the patients, including the MRS 2-HG-negative patient, were operated on, and all of them had the IDH mutation. Conclusion: Our findings were consistent with the existing literature on 3T and 7T MRS. Full article
(This article belongs to the Special Issue Brain Magnetic Resonance Imaging)
Show Figures

Figure 1

20 pages, 3935 KB  
Article
Aspects of Dental Occlusion Assessed with the T-Scan System among a Group of Romanian Dental Students in a Cross-Sectional Study
by Diana Elena Vlăduțu, Mihaela Ionescu, Lorenzo Noveri, Horia Octavian Manolea, Monica Scrieciu, Sanda Mihaela Popescu, Adina Andreea Turcu, Alexandru Ştefârță, Grigore Lăzărescu and Veronica Mercuț
Int. J. Environ. Res. Public Health 2023, 20(6), 4877; https://doi.org/10.3390/ijerph20064877 - 10 Mar 2023
Cited by 15 | Viewed by 4421
Abstract
This study evaluated the occlusal relationships in students with bruxism, using the T-Scan III system, and their correlation with the activity of the masticatory muscles assessed through surface electromyography (sEMG). The study group was divided into two subgroups (based on self-reporting): 20 participants [...] Read more.
This study evaluated the occlusal relationships in students with bruxism, using the T-Scan III system, and their correlation with the activity of the masticatory muscles assessed through surface electromyography (sEMG). The study group was divided into two subgroups (based on self-reporting): 20 participants with possible bruxism and 20 participants without possible bruxism; all participants underwent the following evaluations: sEMG recordings using the dia-BRUXO device for masticatory muscles assessment, as well as static and dynamic occlusion using the T-SCAN III system. The analysis of the maximum intercuspidal (MI) position revealed a positive moderate association between the values of the occlusal forces in MI distributed along the two hemiarches, and the number of grinding events during daytime, which was statistically significant (p < 0.05). The analysis of protrusion movements reflected statistically significant differences between the non-working interferences and sEMG parameters specific to bruxism (p < 0.05). The analysis of laterotrusion movements indicated that participants with anterolateral guidance presented higher values of awake bruxism indexes and higher values of clenching events during nighttime. For all three mandibular movements, their duration was higher for the study group compared to the control group. Therefore, this study confirmed the utility of sEMG recordings in the bruxism diagnosis process, as well as the association between dental occlusion and bruxism. Full article
Show Figures

Figure 1

14 pages, 7502 KB  
Article
Influence of the Text Neck Posture on the Static Dental Occlusion
by Eniko Tunde Stoica, Corina Marcauteanu, Anca Tudor, Virgil-Florin Duma, Elena Constanta Amaricai, Roxana Onofrei, Oana Suciu, Meda Lavinia Negrutiu and Cosmin Sinescu
Medicina 2022, 58(9), 1303; https://doi.org/10.3390/medicina58091303 - 18 Sep 2022
Cited by 9 | Viewed by 5160
Abstract
Background and Objectives: The excessive use of smartphones for various tasks led to a new adverse postural phenomenon called text neck. The aim of this study was to investigate the effect of the text neck posture (TNP) on static occlusion by using the [...] Read more.
Background and Objectives: The excessive use of smartphones for various tasks led to a new adverse postural phenomenon called text neck. The aim of this study was to investigate the effect of the text neck posture (TNP) on static occlusion by using the T-Scan III occlusal diagnostic system. Materials and Methods: Nineteen subjects (aged 20 to 24 years) were considered for this research. They had normal values for anterior overbite and overjet, Angle Class I occlusion, no posterior crossbite, and no signs or symptoms of cervical or temporo-mandibular disorders. Occlusal registrations were performed with the T-Scan III system in a normal, neutral head posture (NHP), as well as in the TNP. The investigated parameters were: occlusion time (OT), asymmetry index of the occlusal force (AOF), percent of the maximum movie force (%MMF), and the time elapsed from the last occlusal contact until the maximum intercuspation (MAT-OTB). The last three parameters were analyzed in the maximum area frame (MA) of the registrations. For the statistical analysis of the recorded data, the Wilcoxon Signed Ranks test and the Spearman’s correlation coefficient were used. Results: The following values were obtained in NHP and in TNP: for AOF, 14.88 ± 10.39% and 18.04 ± 12.83%, respectively; for OT, 1.34 ± 1.84 s and 1.32 ± 1.8 s, respectively; for the %MMF, 97.5 ± 2.83% and 96.31 ± 3.17%, respectively; for MAT-OTB, 2.08 ± 1.82 s and 1.45 ± 2.3 s, respectively. There were no statistically significant differences between the static occlusal parameters measured in NHP and those in TNP. However, the high values of the AOF and OT in NHP revealed an imbalance of the occlusal force distribution between the right and left side in maximum intercuspation (MI), as well as a lack of simultaneity of static occlusal contacts. Furthermore, there was a significant, direct, and strong correlation between OT and AOF in NHP. Conclusions: The NHP should not be used as the starting position in TNP simulations in T-Scan studies, so as to avoid statistically insignificant differences between static occlusion in NHP and TNP. The healthy standing subjects, with normal occlusal relationships from the clinical point of view, revealed an occlusal instability in NHP when examined with the T-Scan. Full article
(This article belongs to the Collection New Concepts for Dental Treatments and Evaluations)
Show Figures

Figure 1

7 pages, 1086 KB  
Article
The Relationship between Dentofacial Vertical Pattern and Bite Force Distribution among Children in Late Mixed Dentition
by Deema Ali AlShammery, Ahmad Mahdi AlShuruf, Nasser AlQhtani and Sharat Chandra Pani
Appl. Sci. 2021, 11(21), 10140; https://doi.org/10.3390/app112110140 - 29 Oct 2021
Cited by 3 | Viewed by 3734
Abstract
Background: Digital bite measurement systems such as the T-Scan III allow for the computerized measurement of occlusal force distribution. This study aimed to establish the relationship between dentofacial vertical pattern and bite force distribution among children in late mixed dentition. Materials and Methods: [...] Read more.
Background: Digital bite measurement systems such as the T-Scan III allow for the computerized measurement of occlusal force distribution. This study aimed to establish the relationship between dentofacial vertical pattern and bite force distribution among children in late mixed dentition. Materials and Methods: In total, 86 children (45 male, 41 female) aged between 9 and 11 years with short (n = 28), medium (n = 28), and long (n = 30) facial heights were included in this study. The height, weight, age, and gender were recorded. Occlusal bite force distribution and time of occlusal cycle were recorded using a T-Scan III device (Tekscan Corp. Boston, MA, USA). The bite force distribution was compared among facial types using a One-Way ANOVA and post hoc test, a linear regression model with time of occlusion as dependent variable was developed. Results: No significant differences were observed in occlusion time between genders. Children with long facial height had a significantly lower anterior bite force distribution (p < 0.05) and significantly higher posterior bite force distribution (p < 0.05) than those with average or short facial height. Age, gender, height, and weight had no significant association with time of the occlusal cycle. Conclusion: Children with an increased vertical facial height have a more posterior distribution of force than children with average or short facial heights in the late mixed dentition. Full article
(This article belongs to the Special Issue Recent Developments in Orthodontics on Craniofacial Orthopedics)
Show Figures

Figure 1

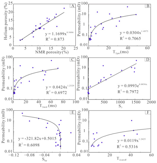
23 pages, 11044 KB  
Article
Applying NMR T2 Spectral Parameters in Pore Structure Evaluation—An Example from an Eocene Low-Permeability Sandstone Reservoir
by Yan Lu, Keyu Liu and Ya Wang
Appl. Sci. 2021, 11(17), 8027; https://doi.org/10.3390/app11178027 - 30 Aug 2021
Cited by 16 | Viewed by 4338
Abstract
The Eocene low-permeability sandstone reservoirs in the Dongying Depression, Bohai Bay Basin, China host a significant amount of oil reserves. The development of the reservoirs has been hampered by our inability to understand the complex and heterogeneous pore structures of the reservoirs. In [...] Read more.
The Eocene low-permeability sandstone reservoirs in the Dongying Depression, Bohai Bay Basin, China host a significant amount of oil reserves. The development of the reservoirs has been hampered by our inability to understand the complex and heterogeneous pore structures of the reservoirs. In this study, the pore systems, pore sizes, pore connectivity, and movable fluid distribution of the Eocene Shahejie Formation (Es4) sandstone reservoirs were investigated using an integrated analysis of optical and scanning electron microscopy (SEM), mercury injection capillary pressure (MICP), and nuclear magnetic resonance (NMR). The full-range pore structures of the Es4 sandstone reservoirs were evaluated by using NMR experiments. Various NMR T2 spectral parameters suitable for describing the pore structures and movable fluid distribution were extracted through morphological and statistical analysis of NMR T2 spectra. In combination with corresponding MICP data and petrophysical properties, we have demonstrated the reliability and robustness of the T2 spectral parameters for pore structure characterization. Four types of pore structures (I, II, III, and IV) were distinguished from the NMR T2 spectral parameters in association with other petrophysical properties and macroscopic behaviors. We have demonstrated the effectiveness of using the NMR T2 spectral parameters to characterize and classify micropore structures, which may be applied to effectively evaluate and predict low-permeability reservoir quality. Full article
Show Figures

Figure 1

21 pages, 4397 KB  
Article
Comparative Evaluation of Occlusion before and after Soft Tissue Mobilization in Patients with Temporomandibular Disorder—Myofascial Pain with Referral
by Joanna Kuć, Krzysztof Dariusz Szarejko and Maria Gołębiewska
Int. J. Environ. Res. Public Health 2021, 18(12), 6568; https://doi.org/10.3390/ijerph18126568 - 18 Jun 2021
Cited by 4 | Viewed by 4046
Abstract
The aim of the study was to evaluate occlusal parameters in patients with myofascial pain with referral before and after soft tissue mobilization. The study group consisted of 50 people (37 females and 13 males, average age 23.36 ± 2.14 years) diagnosed with [...] Read more.
The aim of the study was to evaluate occlusal parameters in patients with myofascial pain with referral before and after soft tissue mobilization. The study group consisted of 50 people (37 females and 13 males, average age 23.36 ± 2.14 years) diagnosed with myofascial pain with referral. All patients underwent triplicate soft tissue mobilization. Occlusal parameters were evaluated six times, before and after each treatment, using T-scan III. A decreasing tendency of the occlusion time was observed after the first, second, and third therapy. After the third treatment, the mean occlusion time in the entire study group was 0.119 s. The 1st soft tissue mobilization shortened both right and left disclusion times to 0.181 s and 0.185 s, respectively. After the third treatment, these parameters amounted to 0.159 s and 0.165 s, respectively. The Friedman test for the entire study group indicated that soft tissue mobilization altered the occlusion time and both disclusion times (p < 0.05). In conclusion, soft tissue mobilization affects biotensegrity of the masticatory system, thus modifying occlusal parameters. The occlusion time and both disclusion times cannot be considered as cofactors of the existing temporomandibular disorders—myofascial pain with referral. Full article
Show Figures

Figure 1

22 pages, 57054 KB  
Article
Haptic Manipulation of 3D Scans for Geometric Feature Enhancement
by Sri Harsha Turlapati, Dino Accoto and Domenico Campolo
Sensors 2021, 21(8), 2716; https://doi.org/10.3390/s21082716 - 12 Apr 2021
Cited by 1 | Viewed by 3705
Abstract
Localisation of geometric features like holes, edges, slots, etc. is vital to robotic planning in industrial automation settings. Low-cost 3D scanners are crucial in terms of improving accessibility, but pose a practical challenge to feature localisation because of poorer resolution and consequently affect [...] Read more.
Localisation of geometric features like holes, edges, slots, etc. is vital to robotic planning in industrial automation settings. Low-cost 3D scanners are crucial in terms of improving accessibility, but pose a practical challenge to feature localisation because of poorer resolution and consequently affect robotic planning. In this work, we address the possibility of enhancing the quality of a 3D scan by a manual ’touch-up’ of task-relevant features, to ensure their automatic detection prior to automation. We propose a framework whereby the operator (i) has access to both the actual work-piece and its 3D scan; (ii) evaluates the missing salient features from the scan; (iii) uses a haptic stylus to physically interact with the actual work-piece, around such specific features; (iv) interactively updates the scan using the position and force information from the haptic stylus. The contribution of this work is the use of haptic mismatch for geometric update. Specifically, the geometry from the 3D scan is used to predict haptic feedback at a point on the work-piece surface. The haptic mismatch is derived as a measure of error between this prediction and the real interaction forces from physical contact at that point on the work-piece. The geometric update is driven until the haptic mismatch is minimised. Convergence of the proposed algorithm is first numerically verified on an analytical surface with simulated physical interaction. Error analysis of the surface position and orientations were also plotted. Experiments were conducted using a motion capture system providing sub-mm accuracy in position and a 6 axis F/T sensor. Missing features are successfully detected after the update of the scan using the proposed method in an experiment. Full article
(This article belongs to the Section Intelligent Sensors)
Show Figures

Figure 1

15 pages, 4229 KB  
Article
In Vitro Evaluation of Antibacterial Properties and Smear Layer Removal/Sealer Penetration of a Novel Silver-Citrate Root Canal Irrigant
by Riccardo Tonini, Massimo Giovarruscio, Fabio Gorni, Andrei Ionescu, Eugenio Brambilla, Irina Makeeva Mikhailovna, Arlinda Luzi, Paula Maciel Pires and Salvatore Sauro
Materials 2020, 13(1), 194; https://doi.org/10.3390/ma13010194 - 2 Jan 2020
Cited by 25 | Viewed by 6357
Abstract
This study aimed at evaluating the efficacy of a novel silver-citrate root canal irrigation solution (BioAKT) on smear layer removal, sealer penetration after root canal instrumentation and antibacterial activity. Single-root teeth were endodontically treated, sealed with an epoxi-amine resin sealer and irrigated using: [...] Read more.
This study aimed at evaluating the efficacy of a novel silver-citrate root canal irrigation solution (BioAKT) on smear layer removal, sealer penetration after root canal instrumentation and antibacterial activity. Single-root teeth were endodontically treated, sealed with an epoxi-amine resin sealer and irrigated using: Group I: 5.25% sodium hypochlorite (NaOCl); Group II: silver-citrate solution (BioAKT); Group III: phosphate buffer solution (PBS); Group IV: 17% ethylenediaminetetraacetic acid (EDTA). Smear layer removal and silver deposition at the coronal, middle and apical portion of each canal were analyzed using scanning electron microscopy (SEM) and energy-dispersive x-ray spectroscopy (EDS). Sealer penetration into dentinal tubules at coronal, middle and apical portion was assessed through dye-assisted confocal microscopy (CSM). Both SEM and CSM micrographs were evaluated by two examiners (κ = 0.86), who were blind to the irrigation regimens; scores were given according to the degree of penetration of the sealer. Data analysis included Pearson’s x2 and Sidak’s multiple comparisons. Dentin discs were polished and sterilized. Enterococcus faecalis biofilms were grown using a continuous-flow bioreactor under anaerobic conditions for 72 h. Specimens were irrigated with the tested solutions, and bacterial viability was assessed using a tetrazolium salt assay (MTT). Statistical analysis included one-way ANOVA and Student’s post-hoc t-test (p < 0.05). BioAKT and EDTA were the most efficient solutions both in removing the smear layer and allowing sealer penetration. However, at the apical portion BioAKT performed significantly better compared to EDTA both in smear layer removal and sealer penetration (p < 0.05). BioAKT and NaOCl showed comparable antibacterial effect (p = 0.53). In conclusion, BioAKT represents a suitable smear layer removal agent, which allows for reliable sealer penetration at the apical portion of the root canal system and offers significant antibacterial properties. Full article
(This article belongs to the Special Issue Biomaterials for Dental Healing)
Show Figures

Figure 1

Back to TopTop