Sign in to use this feature.

Years

Between: -

Subjects

remove_circle_outline
remove_circle_outline
remove_circle_outline
remove_circle_outline
remove_circle_outline
remove_circle_outline
remove_circle_outline
remove_circle_outline
remove_circle_outline

Journals

Article Types

Countries / Regions

remove_circle_outline
remove_circle_outline
remove_circle_outline
remove_circle_outline

Search Results (209)

Search Parameters:
Keywords = Swarms of drones

Order results
Result details
Results per page
Select all
Export citation of selected articles as:
37 pages, 5470 KB  
Article
Dynamic Task Allocation of Swarm Airdrop Based on Multi-Transport Aircraft Cooperation
by Bing Jiang, Kaiyu Qin and Yu Wu
Symmetry 2026, 18(5), 720; https://doi.org/10.3390/sym18050720 - 24 Apr 2026
Viewed by 90
Abstract
The cooperative airdrop of UAV swarms by multiple transport aircraft creates a large-scale multi-agent planning problem. The mission involves heterogeneous aircraft, multi-visit airdrop areas, strict time windows, and threat-aware flight paths. To address these challenges, this work develops an integrated framework for both [...] Read more.
The cooperative airdrop of UAV swarms by multiple transport aircraft creates a large-scale multi-agent planning problem. The mission involves heterogeneous aircraft, multi-visit airdrop areas, strict time windows, and threat-aware flight paths. To address these challenges, this work develops an integrated framework for both global task allocation and real-time replanning in complex three-dimensional operational environments. First, for the combinatorial optimization of task execution sequences across multiple aircraft, a static task assignment method is proposed. This method employs a Hybrid-encoding Constrained Black-winged Kite Algorithm (HCBKA), which incorporates optimization metrics such as mission execution time, completion rate, and load-balancing symmetry among aircraft. The HCBKA aims to find a task assignment scheme that achieves a comprehensive optimum across multiple objectives through efficient model solving. Second, to handle potential real-time dynamic changes during mission execution, a rapid-response and generalizable replanning mechanism is developed. This mechanism utilizes an event-triggered strategy based on a Time-window aware Dynamic Auction Algorithm (TDAA). It ensures that the system can promptly initiate and execute online task reallocation in response to contingencies such as changing mission requirements or losses within its own drone swarm, thus maintaining the adaptability and robustness of the overall plan. Simulation results show that the proposed framework produces high-quality global solutions and maintains strong robustness under dynamic changes. The approach provides an effective and scalable solution for coordinated multi-aircraft swarm airdrop missions. Full article
33 pages, 5973 KB  
Article
Smart Enforcement of Disability Parking: A Drone-Based License Plate Recognition and Staged Optimization Framework
by Hanaa ZainEldin, Tamer Ahmed Farrag, Shymaa G. Eladl, Malik Almaliki, Mahmoud Badawy and Mostafa A. Elhosseini
Urban Sci. 2026, 10(4), 212; https://doi.org/10.3390/urbansci10040212 - 15 Apr 2026
Viewed by 253
Abstract
Unauthorized occupation of parking spaces designated for individuals with disabilities remains a persistent challenge in urban environments, limiting accessibility and inclusive mobility. This paper proposes an integrated UAV-assisted enforcement framework that combines drone-based imaging, onboard license plate recognition (LPR), IoT connectivity, and a [...] Read more.
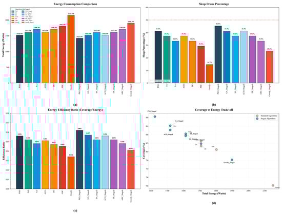
Unauthorized occupation of parking spaces designated for individuals with disabilities remains a persistent challenge in urban environments, limiting accessibility and inclusive mobility. This paper proposes an integrated UAV-assisted enforcement framework that combines drone-based imaging, onboard license plate recognition (LPR), IoT connectivity, and a staged optimization strategy for energy-aware surveillance. The framework employs a two-phase approach: first, it derives energy-efficient UAV activation patterns via sleep–active scheduling, followed by coverage maximization under energy constraints. The inherently multi-objective problem—balancing energy consumption, coverage, and redundancy—is addressed via a weighted-aggregation formulation, enabling efficient optimization with classical metaheuristic algorithms. Seven algorithms—Genetic Algorithm (GA), Particle Swarm Optimization (PSO), Simulated Annealing (SA), Ant Colony Optimization (ACO), Differential Evolution (DE), Artificial Bee Colony (ABC), and a Greedy baseline—are implemented in both conventional and staged variants to enable comprehensive evaluation. Experimental results demonstrate 32–45% reductions in energy consumption, over 95% coverage effectiveness, and 50–60% faster convergence compared to single-phase approaches, with all improvements statistically significant (p < 0.001). The proposed framework provides a scalable, practically deployable solution for intelligent enforcement of disability parking regulations while also enabling energy-efficient UAV coordination in smart urban monitoring systems. Full article
Show Figures

Figure 1

22 pages, 11000 KB  
Article
Cooperative Joint Mission Between Seismic Recording and Surveying UAVs for Autonomous Near-Surface Characterization
by Jory Alqahtani, Ahmad Ihsan Ramdani, Pavel Golikov, Artem Timoshenko, Grigoriy Yashin, Ilya Mashkov, Van Do and Ezzedeen Alfataierge
Drones 2026, 10(4), 281; https://doi.org/10.3390/drones10040281 - 14 Apr 2026
Viewed by 511
Abstract
Generally, land seismic data acquisition in arid areas is a labor-intensive, costly, and challenging process, often hindered by challenging terrain and safety risks. To overcome these limitations, we propose the integration of autonomous Unmanned Aerial Vehicles (UAVs) into land seismic data acquisition, enabling [...] Read more.
Generally, land seismic data acquisition in arid areas is a labor-intensive, costly, and challenging process, often hindered by challenging terrain and safety risks. To overcome these limitations, we propose the integration of autonomous Unmanned Aerial Vehicles (UAVs) into land seismic data acquisition, enabling efficient data collection in difficult, inaccessible terrain. This is a cooperative mission workflow combining a Scouting UAV for high-resolution aerial scouting, followed by the swarm deployment of an Autonomous Seismic Acquisition Device (ASAD) for seismic data recording. The cooperative system allows for precise landing and subsequent deployment of seismic sensors in optimal locations. Previously, we demonstrated the applicability of passive seismic recorded with ASAD drones to near-surface characterization. This study covers the results of a field trial, where both the ASAD and Scouting UAV systems successfully acquired high-resolution seismic data with an active source, comparable to that of a conventional seismic data acquisition system. The results show that the ASAD seismic data exhibit a slightly higher noise level due to coupling variances and the fact that geophones were hardwired into 9-sensor arrays. However, due to its single-point sensing nature, it yields a superior frequency bandwidth, making it suitable for imaging shallow anomalies. The system underwent P-wave refraction tomography modeling and accurately detected a shallow subsurface cavity, showcasing its potential for near-surface characterization and shallow geohazard identification. This heterogeneous robotic system can support seismic data acquisition by enhancing safety, improving efficiency, and streamlining equipment mobilization, while minimizing environmental footprint. Full article
(This article belongs to the Special Issue Unmanned Aerial Systems for Geophysical Mapping and Monitoring)
Show Figures

Figure 1

35 pages, 3925 KB  
Review
A Scoping Review of the Crazyflie Ecosystem: An Evaluation of an Open-Source Platform for Nano-Aerial Robotics Research
by Rareș Crăciun and Adrian Burlacu
Drones 2026, 10(4), 261; https://doi.org/10.3390/drones10040261 - 3 Apr 2026
Viewed by 575
Abstract
Nano-aerial vehicles have emerged as pivotal tools in modern robotics research, offering a safe and scalable means to validate complex algorithms in resource-constrained environments. This scoping review synthesizes the extensive body of work on the Crazyflie nano-quadcopter and evaluates its potential for drone [...] Read more.
Nano-aerial vehicles have emerged as pivotal tools in modern robotics research, offering a safe and scalable means to validate complex algorithms in resource-constrained environments. This scoping review synthesizes the extensive body of work on the Crazyflie nano-quadcopter and evaluates its potential for drone application development in research and academia. The Crazyflie quadcopter has emerged as a leading open-source platform for education and research in aerial robotics due to its modularity and low cost. Despite its rapid evolution, there is currently no comprehensive synthesis mapping its diverse applications across hardware configurations and research domains. This evaluation systematically charts existing research on the Crazyflie platform, outlining its development, identifying relevant hardware and software configurations, categorizing major research topics, and identifying knowledge gaps. A systematic search was performed on three major databases, Scopus, Web of Science and Google Scholar, for studies published between 2015 and 2025. The results indicate a rapid growth in scientific production, an involved research community and very diverse thematic approaches. Expansion decks for the Crazyflie have been analyzed together with their relation to specific fields of research. While control systems remain the primary research theme, there is a significant shift toward artificial intelligence and swarm robotics. Full article
(This article belongs to the Section Drone Design and Development)
Show Figures

Figure 1

22 pages, 3401 KB  
Article
TACOS: Task Agnostic Coordinator of a Multi-Drone System
by Alessandro Nazzari, Roberto Rubinacci and Marco Lovera
Drones 2026, 10(4), 251; https://doi.org/10.3390/drones10040251 - 31 Mar 2026
Viewed by 464
Abstract
When a single pilot is responsible for managing a multi-drone system, the task may demand varying levels of autonomy, from direct control of individual UAVs to group-level coordination to fully autonomous swarm behaviors for accomplishing high-level tasks. Enabling such interaction requires a framework [...] Read more.
When a single pilot is responsible for managing a multi-drone system, the task may demand varying levels of autonomy, from direct control of individual UAVs to group-level coordination to fully autonomous swarm behaviors for accomplishing high-level tasks. Enabling such interaction requires a framework that supports multiple modes of shared autonomy. As language models continue to improve in reasoning and planning, they provide a natural foundation for such systems. In this paper, we present TACOS (Task-Agnostic COordinator of a multi-drone System), a unified framework that enables high-level natural language control of multi-UAV systems through a Large Language Model (LLM). TACOS integrates three key capabilities into a single architecture: a one-to-many natural language interface for intuitive user interaction, an intelligent coordinator for translating user intent into structured task plans, and an autonomous agent that executes plans and interacts with the real world. TACOS allows an LLM to interact with a library of executable APIs, bridging semantic reasoning with real-time multi-robot coordination. We demonstrate the system on a real-world multi-drone system and conduct an ablation study to assess the contribution of each module. Full article
Show Figures

Figure 1

47 pages, 646 KB  
Review
Securing Unmanned Devices in Critical Infrastructure: A Survey of Hardware, Network, and Swarm Intelligence
by Kubra Kose, Nuri Alperen Kose and Fan Liang
Electronics 2026, 15(6), 1204; https://doi.org/10.3390/electronics15061204 - 13 Mar 2026
Viewed by 1298
Abstract
As Unmanned Aerial Vehicles (UAVs) become integral to critical infrastructure, ranging from precision agriculture to emergency disaster recovery, their security becomes a matter of systemic resilience. This paper provides a comprehensive thematic survey of the security landscape for unmanned devices, bridging the gap [...] Read more.
As Unmanned Aerial Vehicles (UAVs) become integral to critical infrastructure, ranging from precision agriculture to emergency disaster recovery, their security becomes a matter of systemic resilience. This paper provides a comprehensive thematic survey of the security landscape for unmanned devices, bridging the gap between low-level hardware vulnerabilities and high-level mission failures. We propose a multidimensional taxonomy that categorizes challenges into hardware roots of trust, swarm intelligence threats, and domain-specific applications. A primary focus is placed on the Resource–Security Paradox, where the energy cost of heavy cryptographic or AI defenses directly reduces flight endurance, creating a trade-off that adversaries exploit through battery-exhaustion attacks. Beyond standard threats, we analyze emerging risks in additive manufacturing supply chains, the “Sim-to-Real” gap in AI-driven perception, and the legal necessity of Digital Forensic Readiness (DFR) for post-incident attribution. Through a systematic review of defensive frameworks, including lightweight encryption, Mamba-KAN anomaly detection, and blockchain-anchored logging, we evaluate the effectiveness of current solutions against complex adversarial models. Finally, we identify critical research gaps, providing a roadmap for security-by-design in the next generation of critical infrastructure swarms. Full article
(This article belongs to the Special Issue Computer Networking Security and Privacy)
Show Figures

Figure 1

21 pages, 8128 KB  
Article
Design of a SIGINT Drone Swarm System with a 3-D Volumetric Self-Complementary Array Configuration
by En-Yeal Yim, Taekyeong Jin, Jun-Yong Lee and Hosung Choo
Appl. Sci. 2026, 16(5), 2249; https://doi.org/10.3390/app16052249 - 26 Feb 2026
Viewed by 392
Abstract
In this paper, we propose a signal intelligence (SIGINT) drone swarm system with a three-dimensional (3-D) volumetric self-complementary array configuration. In the proposed system, multiple drones form two array layers separated along the boresight direction of the system, providing sufficient spacing between drones [...] Read more.
In this paper, we propose a signal intelligence (SIGINT) drone swarm system with a three-dimensional (3-D) volumetric self-complementary array configuration. In the proposed system, multiple drones form two array layers separated along the boresight direction of the system, providing sufficient spacing between drones mounting an antenna element. The antenna elements in one array layer are arranged in a complementary manner to fill empty spaces in the other layer, allowing the system to maximize the number of drones deployed within the aperture area. As a result, the effective electrical spacing at 300 MHz is reduced from 1.7λ and 0.9λ to 0.85λ and 0.45λ along the x- and y-axes, respectively. The array gains of the proposed system are 3.96 dBi, 6.40 dBi, and 15.3 dBi at 100 MHz, 200 MHz, and 300 MHz, and the side-lobe levels (SLLs) are −13.0 dB, −12.7 dB, and −13.0 dB. In addition, the proposed drone swarm SIGINT system is evaluated in a practical SIGINT environment that considers terrain features, and then the detection performance is compared with those of conventional ground-based and airborne SIGINT systems. In this SIGINT scenario, the proposed system can detect signals over an extended detection range of 150 km than those of ground-based and airborne systems. Full article
(This article belongs to the Section Electrical, Electronics and Communications Engineering)
Show Figures

Figure 1

26 pages, 1641 KB  
Article
Geometric and Control-Theoretic Limits on Drone Density in Bounded Airspace
by Linda Mümken, Diyar Altinses, Stefan Lier and Andreas Schwung
Drones 2026, 10(2), 139; https://doi.org/10.3390/drones10020139 - 16 Feb 2026
Viewed by 654
Abstract
This paper addresses the question of how many autonomous aerial vehicles (UAVs or drones) can safely operate within a bounded three-dimensional airspace. First, we derive the absolute mathematical limits on drone density using geometric arguments from sphere packing and covering theory. Then, we [...] Read more.
This paper addresses the question of how many autonomous aerial vehicles (UAVs or drones) can safely operate within a bounded three-dimensional airspace. First, we derive the absolute mathematical limits on drone density using geometric arguments from sphere packing and covering theory. Then, we verify these limits empirically by simulating a swarm controlled via model predictive control. We incrementally increase the number of drones until motion becomes impossible. Each drone is modeled as a double-integrator system with a bounded speed and acceleration and is surrounded by a radius spherical safety zone r>0. The drones are controlled via model predictive control with hard separation constraints. We formalize complete blockage as the loss of any feasible non-trivial trajectory set, either due to geometric crowding or dynamic limitations. Using tools from discrete geometry, we establish absolute upper bounds on a safe population via sphere-packing results and sufficient conditions for total immobilization via sphere-covering arguments. We extend these static bounds by incorporating dynamics through stopping-distance analysis, leading to an inflated exclusion radius that captures the effect of finite control authority. In addition, we prove min-cut style flow-capacity bounds that limit feasible throughput across bottlenecks and derive horizon-dependent conflict-graph conditions that capture MPC infeasibility at high densities. These results provide a rigorous theoretical framework for determining the transition from feasible multi-drone operation to inevitable gridlock, offering explicit quantitative thresholds that can inform airspace design, drone density regulation, and the tuning of predictive controllers. We evaluate our theoretical findings with a simulation environment. Full article
Show Figures

Figure 1

18 pages, 6362 KB  
Article
From Human Teams to Autonomous Swarms: A Reinforcement Learning-Based Benchmarking Framework for Unmanned Aerial Vehicle Search and Rescue Missions
by Julian Bialas, Mohammad Reza Mohebbi, Michiel J. van Veelen, Abraham Mejia-Aguilar, Robert Kathrein and Mario Döller
Drones 2026, 10(2), 79; https://doi.org/10.3390/drones10020079 - 23 Jan 2026
Viewed by 973
Abstract
The adoption of novel technologies such as Unmanned Aerial Vehicles (UAVs) in Search and Rescue (SAR) operations remains limited. As a result, their full potential is not yet realized. Although UAVs have been deployed on an ad hoc basis, typically under manual control [...] Read more.
The adoption of novel technologies such as Unmanned Aerial Vehicles (UAVs) in Search and Rescue (SAR) operations remains limited. As a result, their full potential is not yet realized. Although UAVs have been deployed on an ad hoc basis, typically under manual control by dedicated operators, assisted and fully autonomous configurations remain largely unexplored. In this study, three SAR frameworks are systematically evaluated within a unified benchmarking framework: conventional ground missions, UAV-assisted missions, and fully autonomous UAV operations. As the key performance indicator, the target localization time was quantified and used as the means of comparison amongst frameworks. The conventional and assisted frameworks were experimentally tested through physical hardware in a controlled outdoor setting, wherein simulated callouts occurred via rescue teams. The autonomous swarm framework was simulated in the form of a multi-agent Reinforcement Learning (RL) method via the use of the Proximal Policy Optimization (PPO) algorithm. This enabled the optimization of the decentralized cooperative actions that could occur for efficient exploration of a partially observed three-dimensional environment. Our results demonstrated that the autonomous swarm significantly outperformed the conventional and assisted approaches in terms of speed and coverage. Finally, a detailed depiction of the framework’s integration into an operational system is provided. Full article
Show Figures

Figure 1

37 pages, 2717 KB  
Review
Synthetizing 6G KPIs for Diverse Future Use Cases: A Comprehensive Review of Emerging Standards, Technologies, and Societal Needs
by Shujat Ali, Asma Abu-Samah, Mohammed H. Alsharif, Rosdiadee Nordin, Nauman Saqib, Mohammed Sani Adam, Umawathy Techanamurthy, Manzareen Mustafa and Nor Fadzilah Abdullah
Future Internet 2026, 18(1), 63; https://doi.org/10.3390/fi18010063 - 21 Jan 2026
Cited by 1 | Viewed by 1554
Abstract
The anticipated transition from 5G to 6G is driven not by incremental performance demands but by a widening mismatch between emerging application requirements and the capabilities of existing cellular systems. Despite rapid progress across 3GPP Releases 15–20, the current literature lacks a unified [...] Read more.
The anticipated transition from 5G to 6G is driven not by incremental performance demands but by a widening mismatch between emerging application requirements and the capabilities of existing cellular systems. Despite rapid progress across 3GPP Releases 15–20, the current literature lacks a unified analysis that connects these standardization milestones to the concrete technical gaps that 6G must resolve. This study addresses this omission through a cross-release, application-driven review that traces how the evolution from enhanced mobile broadband to intelligent, sensing integrated networks lays the foundation for three core 6G service pillars: immersive communication (IC), everything connected (EC), and high-precision positioning. By examining use cases such as holographic telepresence, cooperative drone swarms, and large-scale Extended Reality (XR) ecosystems, this study exposes the limitations of today’s spectrum strategies, network architectures, and device capabilities and identifies the performance thresholds of Tbps-level throughput, sub-10 cm localization, sub-ms latency, and 10 M/km2 device density that next-generation systems must achieve. The novelty of this review lies in its synthesis of 3GPP advancements in XR, the non-terrestrial network (NTN), RedCap, ambient Internet of Things (IoT), and consideration of sustainability into a cohesive key performance indicator (KPI) framework that links future services to the required architectural and protocol innovations, including AI-native design and sub-THz operation. Positioned against global initiatives such as Hexa-X and the Next G Alliance, this paper argues that 6G represents a fundamental redesign of wireless communication advancement in 5G, driven by intelligence, adaptability, and long-term energy efficiency to satisfy diverse uses cases and requirements. Full article
Show Figures

Graphical abstract

38 pages, 6647 KB  
Article
ST-DCL: A Spatio-Temporally Decoupled Cooperative Localization Method for Dynamic Drone Swarms
by Hao Wu, Zhangsong Shi, Zhonghong Wu, Huihui Xu and Zhiyong Tu
Drones 2026, 10(1), 69; https://doi.org/10.3390/drones10010069 - 20 Jan 2026
Viewed by 578
Abstract
In GPS-denied environments, the spatio-temporal coupling of errors caused by dynamic network topologies poses a fundamental challenge to cooperative localization, presenting existing methods with a dilemma: approaches pursuing global optimization lack dynamic adaptability, while those focusing on local adaptation struggle to guarantee global [...] Read more.
In GPS-denied environments, the spatio-temporal coupling of errors caused by dynamic network topologies poses a fundamental challenge to cooperative localization, presenting existing methods with a dilemma: approaches pursuing global optimization lack dynamic adaptability, while those focusing on local adaptation struggle to guarantee global convergence. To address this challenge, this paper proposes ST-DCL, a cooperative localization framework based on a novel principle of closed-loop spatio-temporal decoupling. The core of ST-DCL comprises two modules: a Dynamic Weighted Multidimensional Scaling (DW-MDS) optimizer, responsible for providing a globally consistent coarse estimate with provable convergence, and a specially designed Spatio-Temporal Graph Neural Network (ST-GNN) corrector, tasked with compensating for local nonlinear errors. The DW-MDS effectively suppresses interference from historical errors via an adaptive sliding window and confidence weights derived from our error propagation model. The key innovation of the ST-GNN lies in its two newly designed components: a Dynamic Topological Attention Module for actively modulating neighbor aggregation to inhibit spatial error diffusion, and a Dilated Causal Convolution Module for modeling long-term temporal dependencies to curb error accumulation. These two modules form a closed loop via a confidence feedback mechanism, working in synergy to achieve continuous error suppression. Theoretical analysis indicates that the framework exhibits bounded-error convergence under dynamic topologies. In simulations involving 200 nodes, velocities up to 50 m/s, and 15% NLOS links, the ST-DCL achieves a normalized root mean square error (NRMSE) of 0.0068, representing a 21% performance improvement over state-of-the-art methods. The practical efficacy and real-time capability are further validated through real-world flight experiments with a 10-UAV swarm in complex, GPS-denied scenarios. Full article
(This article belongs to the Section Drone Communications)
Show Figures

Figure 1

22 pages, 2025 KB  
Article
Vision-Based Unmanned Aerial Vehicle Swarm Cooperation and Online Point-Cloud Registration for Global Localization in Global Navigation Satellite System-Intermittent Environments
by Gonzalo Garcia and Azim Eskandarian
Drones 2026, 10(1), 65; https://doi.org/10.3390/drones10010065 - 19 Jan 2026
Viewed by 866
Abstract
Reliable autonomy for drones operating in GNSS-intermittent or denied environments requires both stable inter-vehicle coordination and a shared global understanding of the environment. This paper presents a unified vision-based framework in which UAVs use biologically inspired swarm behaviors together with online monocular point-cloud [...] Read more.
Reliable autonomy for drones operating in GNSS-intermittent or denied environments requires both stable inter-vehicle coordination and a shared global understanding of the environment. This paper presents a unified vision-based framework in which UAVs use biologically inspired swarm behaviors together with online monocular point-cloud registration to achieve real-time global localization. First, we apply a passive-perception strategy, bird-inspired drone swarm-keeping, enabling each UAV to estimate the relative motion and proximity of its neighbors using only monocular visual cues. This decentralized mechanism provides cohesive and collision-free group motion without GNSS, active ranging, or explicit communication. Second, we integrate this capability with a cooperative mapping pipeline in which one or more drones acting as global anchors generate a globally referenced monocular SLAM map. Vehicles lacking global positioning progressively align their locally generated point clouds to this shared global reference using an iterative registration strategy, allowing them to infer consistent global poses online. Other autonomous vehicles optionally contribute complementary viewpoints, but UAVs remain the core autonomous agents driving both mapping and coordination due to their privileged visual perspective. Experimental validation in simulation and indoor testbeds with drones demonstrates that the integrated system maintains swarm cohesion, improves spatial alignment by more than a factor of four over baseline monocular SLAM, and preserves reliable global localization throughout extended GNSS outages. The results highlight a scalable, lightweight, and vision-based approach to resilient UAV autonomy in tunnels, industrial environments, and other GNSS-challenged settings. Full article
Show Figures

Figure 1

29 pages, 7700 KB  
Article
Secure and Decentralised Swarm Authentication Using Hardware Security Primitives
by Sagir Muhammad Ahmad and Barmak Honarvar Shakibaei Asli
Electronics 2026, 15(2), 423; https://doi.org/10.3390/electronics15020423 - 18 Jan 2026
Viewed by 626
Abstract
Autonomous drone swarms are increasingly deployed in critical domains such as infrastructure inspection, environmental monitoring, and emergency response. While their distributed operation enables scalability and resilience, it also introduces new vulnerabilities, particularly in authentication and trust establishment. Conventional cryptographic solutions, including public key [...] Read more.
Autonomous drone swarms are increasingly deployed in critical domains such as infrastructure inspection, environmental monitoring, and emergency response. While their distributed operation enables scalability and resilience, it also introduces new vulnerabilities, particularly in authentication and trust establishment. Conventional cryptographic solutions, including public key infrastructures (PKI) and symmetric key protocols, impose computational and connectivity requirements unsuited to resource-constrained and external infrastructure-free swarm deployments. In this paper, we present a decentralized authentication scheme rooted in hardware security primitives (HSPs); specifically, Physical Unclonable Functions (PUFs) and True Random Number Generators (TRNGs). The protocol leverages master-initiated token broadcasting, iterative HSP seed evolution, randomized response delays, and statistical trust evaluation to detect cloning, replay, and impersonation attacks without reliance on centralized authorities or pre-distributed keys. Simulation studies demonstrate that the scheme achieves lightweight operation, rapid anomaly detection, and robustness against wireless interference, making it well-suited for real-time swarm systems. Full article
(This article belongs to the Special Issue Unmanned Aircraft Systems with Autonomous Navigation, 2nd Edition)
Show Figures

Figure 1

38 pages, 12112 KB  
Article
Enhanced Educational Optimization Algorithm Based on Student Psychology for Global Optimization Problems and Real Problems
by Wenyu Miao, Katherine Lin Shu and Xiao Yang
Biomimetics 2026, 11(1), 70; https://doi.org/10.3390/biomimetics11010070 - 14 Jan 2026
Cited by 1 | Viewed by 863
Abstract
To address the insufficient exploration ability, susceptibility to local optima, and limited convergence accuracy of the standard Student Psychology-Based Optimization (SPBO) algorithm in three-dimensional UAV trajectory planning, we propose an enhanced variant, Enhanced SPBO (ESPBO). ESPBO augments SPBO with three complementary strategies: (i) [...] Read more.
To address the insufficient exploration ability, susceptibility to local optima, and limited convergence accuracy of the standard Student Psychology-Based Optimization (SPBO) algorithm in three-dimensional UAV trajectory planning, we propose an enhanced variant, Enhanced SPBO (ESPBO). ESPBO augments SPBO with three complementary strategies: (i) Time-Adaptive Scheduling, which uses normalized time (τ=t/T) to schedule global step-size shrinking, Gaussian fine-tuning, and Lévy flight intensity, enabling strong early exploration and fine late-stage exploitation; (ii) Mentor Pool Guidance, which selects a top-K mentor set and applies time-varying guidance weights to reduce misleading attraction and improve directional stability; and (iii) Directional Jump Exploration, which couples a differential vector with Lévy flights to strengthen basin-crossing while keeping the differential step bounded for robustness. Numerical experiments on CEC2017, CEC2020 and CEC2022 benchmark functions compare ESPBO with Grey Wolf Optimization (GWO), Whale Optimization Algorithm (WOA), Improved multi-strategy adaptive Grey Wolf Optimization (IAGWO), Dung Beetle Optimization (DBO), Snake Optimization (SO), Rime Optimization (RIME), and the original SPBO. We evaluate best path length, mean trajectory length, standard deviation, and convergence curves and assess statistical stability via Wilcoxon rank-sum tests (p = 0.05) and the Friedman test. ESPBO significantly outperforms the comparison algorithms in path-planning accuracy and convergence stability, ranking first on both test suites. Applied to 3D UAV trajectory planning in mountainous terrain with no-fly zones, ESPBO achieves an optimal path length of 199.8874 m, an average path length of 205.8179 m, and a standard deviation of 5.3440, surpassing all baselines; notably, ESPBO’s average path length is even lower than the optimal path length of other algorithms. These results demonstrate that ESPBO provides an efficient and robust solution for UAV trajectory optimization in intricate environments and extends the application of swarm intelligence algorithms in autonomous navigation. Full article
(This article belongs to the Special Issue Exploration of Bio-Inspired Computing: 2nd Edition)
Show Figures

Figure 1

24 pages, 1738 KB  
Article
Design and Analysis of k-Connectivity Restoration Algorithms for Fault-Tolerant Drone Swarms in Harsh Civil Environments
by Orhan Ceylan, Zuleyha Akusta Dagdeviren, Moharram Challenger and Orhan Dagdeviren
Drones 2026, 10(1), 16; https://doi.org/10.3390/drones10010016 - 28 Dec 2025
Viewed by 891
Abstract
Drone swarms are increasingly used in critical civil applications like agriculture, machine maintenance and search-and-rescue, where maintaining network connectivity is essential for effective coordination. However, harsh environmental conditions can lead to drone failures, risking network fragmentation. To improve resilience, designing k-connected networks, [...] Read more.
Drone swarms are increasingly used in critical civil applications like agriculture, machine maintenance and search-and-rescue, where maintaining network connectivity is essential for effective coordination. However, harsh environmental conditions can lead to drone failures, risking network fragmentation. To improve resilience, designing k-connected networks, where up to k1 drone failures can be tolerated without losing connectivity, offers a practical solution by providing multiple independent communication paths between drones. The k-connectivity restoration problem is repositioning drones to achieve k-connectivity with minimal movement. In this study, we address this NP-Hard problem and propose novel solutions. Unlike existing k-connectivity restoration algorithms that constrain drones to predefined points, our model allows free repositioning within the mission area, increasing flexibility but also expanding the solution space and complexity. To address this problem, we propose three center-based algorithms that guide drones toward different central points computed from the network layout: in the first algorithm (ORIGIN), the center point is the geometric origin of the mission area; in the second algorithm (CENTROID), nodes move toward the centroid of all drone positions; and in the third algorithm, the center position is defined as the CENTer of the FARthest nodes (CENTFAR). We also introduce a Minimum Spanning Tree-based (MST) algorithm that moves drones along a minimum spanning tree to achieve and theoretically guarantee k-connectivity. Besides checking k-connectivity after each individual move, we also develop group-based variants where all drones move simultaneously and k-connectivity is checked afterward. We conduct comprehensive simulations under varying drone counts, network sizes, k values, and transmission ranges to evaluate the effectiveness and scalability of the proposed algorithms. CENTFAR provides the best movement efficiency among the center-based algorithms, slightly outperforming CENTROID and ORIGIN and achieving up to 21% lower total and 29% lower maximum movement than MST in smaller areas and higher k values. MST, however, performs best under low k and high transmission ranges, offering up to 57% lower total movement and 20% lower execution time than CENTFAR. Group-based variants accelerate convergence (up to a tenfold speedup) at the cost of a slight increase in movement. Our findings reveal that MST is ideal for low-k settings, while CENTFAR is better suited for high-connectivity deployments. Full article
Show Figures

Figure 1

Back to TopTop