Sign in to use this feature.

Years

Between: -

Subjects

remove_circle_outline
remove_circle_outline
remove_circle_outline
remove_circle_outline
remove_circle_outline
remove_circle_outline
remove_circle_outline
remove_circle_outline

Journals

Article Types

Countries / Regions

Search Results (16)

Search Parameters:
Keywords = Structural Causal Model (SCM)

Order results
Result details
Results per page
Select all
Export citation of selected articles as:
25 pages, 1651 KB  
Article
CBDCs and Liquidity Risks: Evidence from the SandDollar’s Impact on Deposits and Loans in the Bahamas
by Francisco Elieser Giraldo-Gordillo and Ricardo Bustillo-Mesanza
FinTech 2026, 5(1), 5; https://doi.org/10.3390/fintech5010005 - 7 Jan 2026
Viewed by 59
Abstract
This study evaluates the early impact of Central Bank Digital Currencies (CBDCs) on key financial indicators in The Bahamas, focusing on the introduction of the SandDollar—the world’s first fully implemented retail CBDC. Using the Synthetic Control Method (SCM), the analysis constructs counterfactual scenarios [...] Read more.
This study evaluates the early impact of Central Bank Digital Currencies (CBDCs) on key financial indicators in The Bahamas, focusing on the introduction of the SandDollar—the world’s first fully implemented retail CBDC. Using the Synthetic Control Method (SCM), the analysis constructs counterfactual scenarios to assess the effects of CBDCs on three dependent variables: outstanding loans from commercial banks as a percentage of GDP, outstanding deposits as a percentage of GDP, and the number of deposit accounts per 1000 adults. Three separate SCM models were estimated for the period 2014–2024, incorporating a broad set of control variables reflecting financial infrastructure, economic performance, demographic characteristics, and digital readiness. The findings consistently show that the SandDollar’s implementation is associated with reductions in loan issuance, deposit levels, and deposit account ownership compared to their synthetic counterparts. These results support the hypothesis that direct CBDC models may amplify “deposit substitution” and increase liquidity risks by shifting financial activity away from commercial banks. Although the SCM provides a structured causal framework, the short post-treatment period and potential pandemic-related disruptions limit the scope of a long-term understanding. The study underscores the importance of careful CBDC design, particularly the role of intermediated models in mitigating unintended financial stability risks. Full article
Show Figures

Figure 1

18 pages, 3213 KB  
Article
YOLOv7-tiny-CR: A Causal Intervention Framework for Infrared Small Target Detection with Feature Debiasing
by Honglong Wang and Lihui Sun
Appl. Sci. 2025, 15(24), 13008; https://doi.org/10.3390/app152413008 - 10 Dec 2025
Viewed by 253
Abstract
The performance of infrared small target detection is often hindered by spurious correlations learned between features and labels. To address this feature bias at its root, this paper proposes a debiased detection framework grounded in causal reasoning. Built upon the YOLOv7-tiny architecture, the [...] Read more.
The performance of infrared small target detection is often hindered by spurious correlations learned between features and labels. To address this feature bias at its root, this paper proposes a debiased detection framework grounded in causal reasoning. Built upon the YOLOv7-tiny architecture, the framework introduces a three-stage debiasing mechanism. First, a Structural Causal Model (SCM) is adopted to disentangle causal features from non-causal image cues. Second, a Causal Attention Mechanism (CAM) is embedded into the backbone, where a causality-guided feature weighting strategy enhances the model’s focus on semantically critical target characteristics. Finally, a Causal Intervention (CI) module is incorporated into the neck, leveraging backdoor adjustments to suppress spurious causal links induced by contextual confounders. Extensive experiments on the public FLIR_ADASv2 dataset demonstrate notable gains in feature discriminability, with improvements of 2.9% in mAP@50 and 2.7% in mAP@50:95 compared to the baseline. These results verify that the proposed framework effectively mitigates feature bias and enhances generalization capability, outperforming the baseline by a substantial margin. Full article
(This article belongs to the Special Issue Object Detection Technology—2nd Edition)
Show Figures

Figure 1

21 pages, 2939 KB  
Article
Integrating Structural Causal Models with Enhanced LSTM for Predicting Single-Tree Carbon Sequestration
by Xuemei Guan and Kai Ma
Forests 2025, 16(11), 1726; https://doi.org/10.3390/f16111726 - 14 Nov 2025
Viewed by 498
Abstract
Accurate estimation of carbon sequestration at the single-tree scale is essential for understanding forest carbon dynamics and supporting precision forestry under global carbon-neutral goals. Traditional allometric models often neglect environmental variability, while data-driven machine learning approaches suffer from limited interpretability. To bridge this [...] Read more.
Accurate estimation of carbon sequestration at the single-tree scale is essential for understanding forest carbon dynamics and supporting precision forestry under global carbon-neutral goals. Traditional allometric models often neglect environmental variability, while data-driven machine learning approaches suffer from limited interpretability. To bridge this gap, we developed a hybrid prediction framework that integrates a Structural Causal Model (SCM) with an Enhanced Long Short-Term Memory (LSTM) network. Using 47-year observation data (1975–2022) of Mongolian oak (*Quercus mongolica* Fisch. ex Ledeb.) from the Laoyeling Ecological Station, the SCM was applied to infer causal relationships among growth and environmental factors, while the Enhanced-LSTM combined multiscale convolution and self-attention modules to capture nonlinear temporal dependencies. Results showed that the proposed SCM-Enhanced-LSTM achieved the highest predictive performance (R2 = 0.944, RMSE = 0.079 kg, MAE = 0.064 kg), outperforming Bi-LSTM and XGBoost models by over 20% in accuracy and maintaining robustness under noise perturbations. Causal analysis identified soil moisture and stem diameter as the dominant drivers of carbon increment. This study provides a transparent, interpretable, and high-precision framework for single-tree carbon sequestration prediction, offering methodological support for fine-scale forest carbon accounting and sustainable management strategies. Full article
(This article belongs to the Section Forest Inventory, Modeling and Remote Sensing)
Show Figures

Figure 1

20 pages, 1466 KB  
Article
Towards Controllable and Explainable Text Generation via Causal Intervention in LLMs
by Jie Qiu, Quanrong Fang and Wenhao Kang
Electronics 2025, 14(16), 3279; https://doi.org/10.3390/electronics14163279 - 18 Aug 2025
Viewed by 2193
Abstract
Large Language Models (LLMs) excel in diverse text generation tasks but still face limited controllability, opaque decision processes, and frequent hallucinations. This paper presents a structural causal intervention framework that models input–hidden–output dependencies through a structural causal model and performs targeted interventions on [...] Read more.
Large Language Models (LLMs) excel in diverse text generation tasks but still face limited controllability, opaque decision processes, and frequent hallucinations. This paper presents a structural causal intervention framework that models input–hidden–output dependencies through a structural causal model and performs targeted interventions on hidden representations. By combining counterfactual sample construction with contrastive training, our method enables precise control of style, sentiment, and factual consistency while providing explicit causal explanations for output changes. Experiments on three representative tasks demonstrate consistent and substantial improvements: style transfer accuracy reaches 92.3% (+7–14 percentage points over strong baselines), sentiment-controlled generation achieves 90.1% accuracy (+1.3–10.9 points), and multi-attribute conflict rates drop to 3.7% (a 40–60% relative reduction). Our method also improves causal attribution scores to 0.83–0.85 and human agreement rates to 87–88%, while reducing training and inference latency by 25–30% through sparse masking that modifies ≤10% of hidden units per attribute. These results confirm that integrating structural causal intervention with counterfactual training advances controllability, interpretability, and efficiency in LLM-based generation, offering a robust foundation for deployment in reliability-critical and resource-constrained applications. Full article
Show Figures

Figure 1

23 pages, 1302 KB  
Article
Deep Learning-Enhanced Ocean Acoustic Tomography: A Latent Feature Fusion Framework for Hydrographic Inversion with Source Characteristic Embedding
by Jiawen Zhou, Zikang Chen, Yongxin Zhu and Xiaoying Zheng
Information 2025, 16(8), 665; https://doi.org/10.3390/info16080665 - 4 Aug 2025
Viewed by 1213
Abstract
Ocean Acoustic Tomography (OAT) is an important marine remote sensing technique used for inverting large-scale ocean environmental parameters, but traditional methods face challenges in computational complexity and environmental interference. This paper proposes a causal analysis-driven AI FOR SCIENCE method for high-precision and rapid [...] Read more.
Ocean Acoustic Tomography (OAT) is an important marine remote sensing technique used for inverting large-scale ocean environmental parameters, but traditional methods face challenges in computational complexity and environmental interference. This paper proposes a causal analysis-driven AI FOR SCIENCE method for high-precision and rapid inversion of oceanic hydrological parameters in complex underwater environments. Based on the open-source VTUAD (Vessel Type Underwater Acoustic Data) dataset, the method first utilizes a fine-tuned Paraformer (a fast and accurate parallel transformer) model for precise classification of sound source targets. Then, using structural causal models (SCM) and potential outcome frameworks, causal embedding vectors with physical significance are constructed. Finally, a cross-modal Transformer network is employed to fuse acoustic features, sound source priors, and environmental variables, enabling inversion of temperature and salinity in the Georgia Strait of Canada. Experimental results show that the method achieves accuracies of 97.77% and 95.52% for temperature and salinity inversion tasks, respectively, significantly outperforming traditional methods. Additionally, with GPU acceleration, the inference speed is improved by over sixfold, aimed at enabling real-time Ocean Acoustic Tomography (OAT) on edge computing platforms as smart hardware, thereby validating the method’s practicality. By incorporating causal inference and cross-modal data fusion, this study not only enhances inversion accuracy and model interpretability but also provides new insights for real-time applications of OAT. Full article
(This article belongs to the Special Issue Advances in Intelligent Hardware, Systems and Applications)
Show Figures

Figure 1

17 pages, 1707 KB  
Article
A Structural Causal Model Ontology Approach for Knowledge Discovery in Educational Admission Databases
by Bern Igoche Igoche, Olumuyiwa Matthew and Daniel Olabanji
Knowledge 2025, 5(3), 15; https://doi.org/10.3390/knowledge5030015 - 4 Aug 2025
Viewed by 1498
Abstract
Educational admission systems, particularly in developing countries, often suffer from opaque decision processes, unstructured data, and limited analytic insight. This study proposes a novel methodology that integrates structural causal models (SCMs), ontological modeling, and machine learning to uncover and apply interpretable knowledge from [...] Read more.
Educational admission systems, particularly in developing countries, often suffer from opaque decision processes, unstructured data, and limited analytic insight. This study proposes a novel methodology that integrates structural causal models (SCMs), ontological modeling, and machine learning to uncover and apply interpretable knowledge from an admission database. Using a dataset of 12,043 records from Benue State Polytechnic, Nigeria, we demonstrate this approach as a proof of concept by constructing a domain-specific SCM ontology, validate it using conditional independence testing (CIT), and extract features for predictive modeling. Five classifiers, Logistic Regression, Decision Tree, Random Forest, K-Nearest Neighbors (KNN), and Support Vector Machine (SVM) were evaluated using stratified 10-fold cross-validation. SVM and KNN achieved the highest classification accuracy (92%), with precision and recall scores exceeding 95% and 100%, respectively. Feature importance analysis revealed ‘mode of entry’ and ‘current qualification’ as key causal factors influencing admission decisions. This framework provides a reproducible pipeline that combines semantic representation and empirical validation, offering actionable insights for institutional decision-makers. Comparative benchmarking, ethical considerations, and model calibration are integrated to enhance methodological transparency. Limitations, including reliance on single-institution data, are acknowledged, and directions for generalizability and explainable AI are proposed. Full article
(This article belongs to the Special Issue Knowledge Management in Learning and Education)
Show Figures

Figure 1

37 pages, 7519 KB  
Review
Causality and “In-the-Wild” Video-Based Person Re-Identification: A Survey
by Md Rashidunnabi, Kailash Hambarde and Hugo Proença
Electronics 2025, 14(13), 2669; https://doi.org/10.3390/electronics14132669 - 1 Jul 2025
Viewed by 2141
Abstract
Video-based person re-identification (re-identification) remains underused in real-world deployments, despite impressive benchmark performance. Most existing models rely on superficial correlations—such as clothing, background, or lighting—that fail to generalize across domains, viewpoints, and temporal variations. This study examines the emerging role of causal reasoning [...] Read more.
Video-based person re-identification (re-identification) remains underused in real-world deployments, despite impressive benchmark performance. Most existing models rely on superficial correlations—such as clothing, background, or lighting—that fail to generalize across domains, viewpoints, and temporal variations. This study examines the emerging role of causal reasoning as a principled alternative to traditional correlation-based approaches in video-based re-identification. We provide a structured and critical analysis of methods that leverage structural causal models (SCMs), interventions, and counterfactual reasoning to isolate identity-specific features from confounding factors. This study is organized around a novel taxonomy of causal re-identification methods, spanning generative disentanglement, domain-invariant modeling, and causal transformers. We review current evaluation metrics and introduce causal-specific robustness measures. In addition, we assess the practical challenges—scalability, fairness, interpretability, and privacy—that must be addressed for real-world adoption. Finally, we identify open problems and outline future research directions that integrate causal modeling with efficient architectures and self-supervised learning. This study aims to establish a coherent foundation for causal video-based person re-identification and catalyze the next phase of research in this rapidly evolving domain. Full article
Show Figures

Figure 1

46 pages, 1415 KB  
Article
Higher Algebraic K-Theory of Causality
by Sridhar Mahadevan
Entropy 2025, 27(5), 531; https://doi.org/10.3390/e27050531 - 16 May 2025
Cited by 1 | Viewed by 1644
Abstract
Causal discovery involves searching intractably large spaces. Decomposing the search space into classes of observationally equivalent causal models is a well-studied avenue to making discovery tractable. This paper studies the topological structure underlying causal equivalence to develop a categorical formulation of Chickering’s transformational [...] Read more.
Causal discovery involves searching intractably large spaces. Decomposing the search space into classes of observationally equivalent causal models is a well-studied avenue to making discovery tractable. This paper studies the topological structure underlying causal equivalence to develop a categorical formulation of Chickering’s transformational characterization of Bayesian networks. A homotopic generalization of the Meek–Chickering theorem on the connectivity structure within causal equivalence classes and a topological representation of Greedy Equivalence Search (GES) that moves from one equivalence class of models to the next are described. Specifically, this work defines causal models as propable symmetric monoidal categories (cPROPs), which define a functor category CP from a coalgebraic PROP P to a symmetric monoidal category C. Such functor categories were first studied by Fox, who showed that they define the right adjoint of the inclusion of Cartesian categories in the larger category of all symmetric monoidal categories. cPROPs are an algebraic theory in the sense of Lawvere. cPROPs are related to previous categorical causal models, such as Markov categories and affine CDU categories, which can be viewed as defined by cPROP maps specifying the semantics of comonoidal structures corresponding to the “copy-delete” mechanisms. This work characterizes Pearl’s structural causal models (SCMs) in terms of Cartesian cPROPs, where the morphisms that define the endogenous variables are purely deterministic. A higher algebraic K-theory of causality is developed by studying the classifying spaces of observationally equivalent causal cPROP models by constructing their simplicial realization through the nerve functor. It is shown that Meek–Chickering causal DAG equivalence generalizes to induce a homotopic equivalence across observationally equivalent cPROP functors. A homotopic generalization of the Meek–Chickering theorem is presented, where covered edge reversals connecting equivalent DAGs induce natural transformations between homotopically equivalent cPROP functors and correspond to an equivalence structure on the corresponding string diagrams. The Grothendieck group completion of cPROP causal models is defined using the Grayson–Quillen construction and relate the classifying space of cPROP causal equivalence classes to classifying spaces of an induced groupoid. A real-world domain modeling genetic mutations in cancer is used to illustrate the framework in this paper. Full article
(This article belongs to the Special Issue Causal Graphical Models and Their Applications)
Show Figures

Figure 1

18 pages, 7500 KB  
Article
Causal Inference-Based Self-Supervised Cross-Domain Fundus Image Segmentation
by Qiang Li, Qiyi Zhang, Zheqi Zhang, Hengxin Liu and Weizhi Nie
Appl. Sci. 2025, 15(9), 5074; https://doi.org/10.3390/app15095074 - 2 May 2025
Cited by 1 | Viewed by 1278
Abstract
Accurate glaucoma diagnosis relies on precise segmentation of the optic disc (OD) and optic cup (OC) in retinal images. However, despite the development of numerous automatic segmentation models, the lack of annotations in the target domain and domain shift among datasets continue to [...] Read more.
Accurate glaucoma diagnosis relies on precise segmentation of the optic disc (OD) and optic cup (OC) in retinal images. However, despite the development of numerous automatic segmentation models, the lack of annotations in the target domain and domain shift among datasets continue to limit their segmentation performance. To address these issues, we propose a Causal Self-Supervised Network (CSSN) that leverages self-supervised learning to enhance model performance. First, we construct a Structural Causal Model (SCM) and employ backdoor adjustment to convert the conventional conditional distribution into an interventional distribution, effectively severing the influence of style information on feature extraction and pseudo-label generation. Subsequently, the low-frequency components of source and target domain images are exchanged via Fourier transform to simulate cross-domain style transfer. The original target images and their style-transferred counterparts are then processed by a dual-path segmentation network to extract their respective features, and a confidence-based pseudo-label fusion strategy is employed to generate more reliable pseudo-labels for self-supervised learning. In addition, we employ adversarial training and cross-domain contrastive learning to further reduce style discrepancies between domains. The former aligns feature distributions across domains using a feature discriminator, effectively mitigating the adverse effects of style inconsistency, while the latter minimizes the feature distance between original and style-transferred images, thereby ensuring structural consistency. Experimental results demonstrate that our method achieves more accurate OD and OC segmentation in the target domain during testing, thereby confirming its efficacy in cross-domain adaptation tasks. Full article
Show Figures

Figure 1

18 pages, 564 KB  
Article
Refining the Allostatic Self-Efficacy Theory of Fatigue and Depression Using Causal Inference
by Alexander J. Hess, Dina von Werder, Olivia K. Harrison, Jakob Heinzle and Klaas Enno Stephan
Entropy 2024, 26(12), 1127; https://doi.org/10.3390/e26121127 - 23 Dec 2024
Cited by 1 | Viewed by 2372
Abstract
Allostatic self-efficacy (ASE) represents a computational theory of fatigue and depression. In brief, it postulates that (i) fatigue is a feeling state triggered by a metacognitive diagnosis of loss of control over bodily states (persistently elevated interoceptive surprise); and that (ii) generalization of [...] Read more.
Allostatic self-efficacy (ASE) represents a computational theory of fatigue and depression. In brief, it postulates that (i) fatigue is a feeling state triggered by a metacognitive diagnosis of loss of control over bodily states (persistently elevated interoceptive surprise); and that (ii) generalization of low self-efficacy beliefs beyond bodily control induces depression. Here, we converted ASE theory into a structural causal model (SCM). This allowed identification of empirically testable hypotheses regarding causal relationships between the variables of interest. Applying conditional independence tests to questionnaire data from healthy volunteers, we sought to identify contradictions to the proposed SCM. Moreover, we estimated two causal effects proposed by ASE theory using three different methods. Our analyses identified specific aspects of the proposed SCM that were inconsistent with the available data. This enabled formulation of an updated SCM that can be tested against future data. Second, we confirmed the predicted negative average causal effect from metacognition of allostatic control to fatigue across all three different methods of estimation. Our study represents an initial attempt to refine and formalize ASE theory using methods from causal inference. Our results confirm key predictions from ASE theory but also suggest revisions which require empirical verification in future studies. Full article
Show Figures

Figure 1

25 pages, 9120 KB  
Article
Deep Learning-Based Causal Inference Architecture and Algorithm between Stock Closing Price and Relevant Factors
by Wanqi Xing, Chi Chen and Lei Xue
Electronics 2024, 13(11), 2056; https://doi.org/10.3390/electronics13112056 - 24 May 2024
Cited by 1 | Viewed by 3116
Abstract
Numerous studies are based on the correlation among stock factors, which affects the measurement value and interpretability of such studies. Research on the causality among stock factors primarily relies on statistical models and machine learning algorithms, thereby failing to fully exploit the formidable [...] Read more.
Numerous studies are based on the correlation among stock factors, which affects the measurement value and interpretability of such studies. Research on the causality among stock factors primarily relies on statistical models and machine learning algorithms, thereby failing to fully exploit the formidable computational capabilities of deep learning models. Moreover, the inference of causal relationships largely depends on the Granger causality test, which is not suitable for non-stationary and non-linear stock factors. Also, most existing studies do not consider the impact of confounding variables or further validation of causal relationships. In response to the current research deficiencies, this paper introduces a deep learning-based algorithm aimed at inferring causal relationships between stock closing prices and relevant factors. To achieve this, causal diagrams from the structural causal model (SCM) were integrated into the analysis of stock data. Subsequently, a sliding window strategy combined with Gated Recurrent Units (GRUs) was employed to predict the potential values of closing prices, and a grouped architecture was constructed inspired by the Potential Outcomes Framework (POF) for controlling confounding variables. The architecture was employed to infer causal relationships between closing price and relevant factors through the non-linear Granger causality test. Finally, comparative experimental results demonstrate a marked enhancement in the accuracy and performance of closing price predictions when causal factors were incorporated into the prediction model. This finding not only validates the correctness of the causal inference, but also strengthens the reliability and validity of the proposed methodology. Consequently, this study has significant practical implications for the analysis of causality in financial time series data and the prediction of stock prices. Full article
Show Figures

Figure 1

18 pages, 3073 KB  
Article
A Causality-Aware Perspective on Domain Generalization via Domain Intervention
by Youjia Shao, Shaohui Wang and Wencang Zhao
Electronics 2024, 13(10), 1891; https://doi.org/10.3390/electronics13101891 - 11 May 2024
Cited by 1 | Viewed by 3342
Abstract
Most mainstream statistical models will achieve poor performance in Out-Of-Distribution (OOD) generalization. This is because these models tend to learn the spurious correlation between data and will collapse when the domain shift exists. If we want artificial intelligence (AI) to make great strides [...] Read more.
Most mainstream statistical models will achieve poor performance in Out-Of-Distribution (OOD) generalization. This is because these models tend to learn the spurious correlation between data and will collapse when the domain shift exists. If we want artificial intelligence (AI) to make great strides in real life, the current focus needs to be shifted to the OOD problem of deep learning models to explore the generalization ability under unknown environments. Domain generalization (DG) focusing on OOD generalization is proposed, which is able to transfer the knowledge extracted from multiple source domains to the unseen target domain. We are inspired by intuitive thinking about human intelligence relying on causality. Unlike relying on plain probability correlations, we apply a novel causal perspective to DG, which can improve the OOD generalization ability of the trained model by mining the invariant causal mechanism. Firstly, we construct the inclusive causal graph for most DG tasks through stepwise causal analysis based on the data generation process in the natural environment and introduce the reasonable Structural Causal Model (SCM). Secondly, based on counterfactual inference, causal semantic representation learning with domain intervention (CSRDN) is proposed to train a robust model. In this regard, we generate counterfactual representations for different domain interventions, which can help the model learn causal semantics and develop generalization capacity. At the same time, we seek the Pareto optimal solution in the optimization process based on the loss function to obtain a more advanced training model. Extensive experimental results of Rotated MNIST and PACS as well as VLCS datasets verify the effectiveness of the proposed CSRDN. The proposed method can integrate causal inference into domain generalization by enhancing interpretability and applicability and brings a boost to challenging OOD generalization problems. Full article
Show Figures

Figure 1

17 pages, 2681 KB  
Article
Quantifying Causal Path-Specific Importance in Structural Causal Model
by Xiaoxiao Wang, Minda Zhao, Fanyu Meng, Xin Liu, Zhaodan Kong and Xin Chen
Computation 2023, 11(7), 133; https://doi.org/10.3390/computation11070133 - 7 Jul 2023
Viewed by 4148
Abstract
Path-specific effect analysis is a powerful tool in causal inference. This paper provides a definition of causal counterfactual path-specific importance score for the structural causal model (SCM). Different from existing path-specific effect definitions, which focus on the population level, the score defined in [...] Read more.
Path-specific effect analysis is a powerful tool in causal inference. This paper provides a definition of causal counterfactual path-specific importance score for the structural causal model (SCM). Different from existing path-specific effect definitions, which focus on the population level, the score defined in this paper can quantify the impact of a decision variable on an outcome variable along a specific pathway at the individual level. Moreover, the score has many desirable properties, including following the chain rule and being consistent. Finally, this paper presents an algorithm that can leverage these properties and find the k-most important paths with the highest importance scores in a causal graph effectively. Full article
(This article belongs to the Special Issue Causal Inference, Probability Theory and Graphical Concepts)
Show Figures

Figure 1

13 pages, 1071 KB  
Article
Connections between Big Data and Smart Cities from the Supply Chain Perspective: Understanding the Impact of Big Data
by Alaa Amin Abdalla, Yousif Abdelbagi Abdalla, Akarm M. Haddad, Ganga Bhavani and Eman Zabalawi
Sustainability 2022, 14(23), 16161; https://doi.org/10.3390/su142316161 - 3 Dec 2022
Cited by 6 | Viewed by 4496
Abstract
This study explores the impact of Big Data and smart city initiatives on supply chain management. The effects of smart cities and SCM integration on sustainable development are also examined. Big Data, smart cities, and supply chain characteristics have all received a significant [...] Read more.
This study explores the impact of Big Data and smart city initiatives on supply chain management. The effects of smart cities and SCM integration on sustainable development are also examined. Big Data, smart cities, and supply chain characteristics have all received a significant amount of attention (supply network structure, governance mechanisms). Based on literature reviews, we created a comprehensive model for supply chains, Big Data, and smart cities. The study concluded that smart cities have various consequences for network architecture and governmental systems. Future research directions in supply chain management and smart cities are also addressed in this paper. A comprehensive model was developed that can be used to undertake empirical research on the implications of smart cities and Big Data on supply chain management and sustainable development in the future. Big Data, smart cities, and supply chains have more than merely causal interactions, and Big Data and smart cities will hugely impact sustainable development and SCM operations. Several studies have recently examined the use of information technology in supply chains, but few have specifically addressed smart cities and Big Data, according to literature analyses. Full article
Show Figures

Figure 1

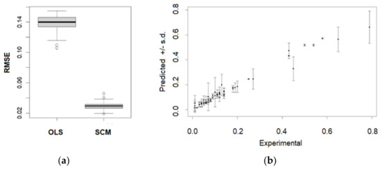
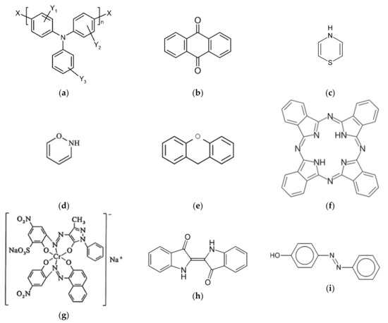
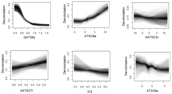
13 pages, 1957 KB  
Article
Application of Causality Modelling for Prediction of Molecular Properties for Textile Dyes Degradation by LPMO
by Iva Rezić, Daniel Kracher, Damir Oros, Sven Mujadžić, Magdalena Anđelini, Želimir Kurtanjek, Roland Ludwig and Tonči Rezić
Molecules 2022, 27(19), 6390; https://doi.org/10.3390/molecules27196390 - 27 Sep 2022
Cited by 6 | Viewed by 2812
Abstract
The textile industry is one of the largest water-polluting industries in the world. Due to an increased application of chromophores and a more frequent presence in wastewaters, the need for an ecologically favorable dye degradation process emerged. To predict the decolorization rate of [...] Read more.
The textile industry is one of the largest water-polluting industries in the world. Due to an increased application of chromophores and a more frequent presence in wastewaters, the need for an ecologically favorable dye degradation process emerged. To predict the decolorization rate of textile dyes with Lytic polysaccharide monooxygenase (LPMO), we developed, validated, and utilized the molecular descriptor structural causality model (SCM) based on the decision tree algorithm (DTM). Combining mathematical models and theories with decolorization experiments, we have elucidated the most important molecular properties of the dyes and confirm the accuracy of SCM model results. Besides the potential utilization of the developed model in the treatment of textile dye-containing wastewater, the model is a good base for the prediction of the molecular properties of the molecule. This is important for selecting chromophores as the reagents in determining LPMO activities. Dyes with azo- or triarylmethane groups are good candidates for colorimetric LPMO assays and the determination of LPMO activity. An adequate methodology for the LPMO activity determination is an important step in the characterization of LPMO properties. Therefore, the SCM/DTM model validated with the 59 dyes molecules is a powerful tool in the selection of adequate chromophores as reagents in the LPMO activity determination and it could reduce experimentation in the screening experiments. Full article
Show Figures

Figure 1

Back to TopTop