A Causality-Aware Perspective on Domain Generalization via Domain Intervention
Abstract
1. Introduction
- We view domain generalization through a causal lens derived from the intuitive core of human intelligence. Based on the data generation mechanism in natural environments for causal modeling, the Structural Causal Model (SCM) [18] is injected to construct the causal DAG that is inclusive of various DG tasks in CV.
- A novel stable framework CSRDN for causal semantic representation learning is proposed. According to the presentation of our causal DAG, we conduct the domain intervention in the learning process based on counterfactual inference, which is achieved by the generation of counterfactual representations to change non-causal information. The model seeks the Pareto optimal solution based on the loss function in the optimization process. Our work is able to exploit causal invariance to improve OOD generalization.
- Extensive experiments are conducted and sequentially analyzed on three widely used datasets, including the synthetic dataset Rotated MNIST [26], the dataset PACS [27] with significant differences in style, and the real-world dataset VLCS [28]. The effectiveness and superiority of our method are proved by the detailed experimental results.
2. Related Work
2.1. Domain Generalization
2.2. Causal Representation Learning
3. Method
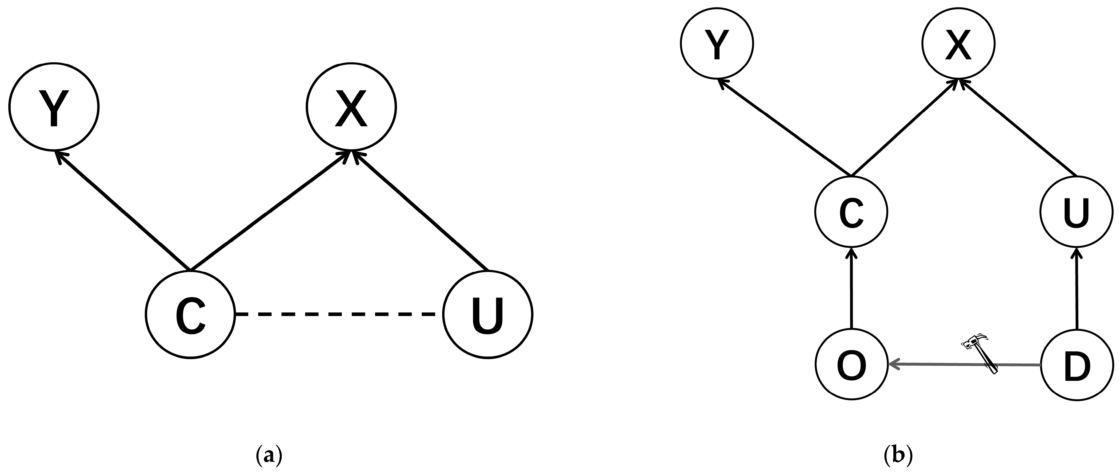
3.1. Causal Graph Modeling via SCM
3.2. Causal Semantic Representation Learning with Domain Intervention
3.2.1. Counterfactual Representation Generator
3.2.2. Joint Learning Procedure
4. Experiments
4.1. Datasets
4.2. Implement Details
4.3. Experimental Results
4.3.1. Results of the Rotated MNIST Dataset
4.3.2. Results of the PACS Dataset
4.3.3. Results of the VLCS Dataset
4.4. Results of the Number of Interventions
4.5. Pareto Optimality
4.6. Ablation Experiment
4.7. Visualization for Class Activation Map
5. Conclusions
Author Contributions
Funding
Data Availability Statement
Conflicts of Interest
References
- He, K.; Zhang, X.; Ren, S.; Sun, J. Deep residual learning for image recognition. In Proceedings of the IEEE Conference on Computer Vision and Pattern Recognition, Las Vegas, Nevada, USA, 26–30 June 2016; pp. 770–778. [Google Scholar]
- Krizhevsky, A.; Sutskever, I.; Hinton, G.E. ImageNet classification with deep convolutional neural networks. Commun. ACM 2017, 60, 84–90. [Google Scholar] [CrossRef]
- Li, S.; Xie, B.; Lin, Q.; Liu, C.H.; Huang, G.; Wang, G. Generalized domain conditioned adaptation network. IEEE Trans. Pattern Anal. Mach. Intell. 2021, 44, 4093–4109. [Google Scholar] [CrossRef] [PubMed]
- Lv, F.; Liang, J.; Gong, K.; Li, S.; Liu, C.H.; Li, H.; Liu, D.; Wang, G. Pareto domain adaptation. In Proceedings of the Advances in Neural Information Processing Systems, Virtual-only, 6–14 December 2021; pp. 12917–12929. [Google Scholar]
- Wang, M.; Deng, W. Deep visual domain adaptation: A survey. Neurocomputing 2018, 312, 135–153. [Google Scholar] [CrossRef]
- Recht, B.; Roelofs, R.; Schmidt, L.; Shankar, V. Do imagenet classifiers generalize to imagenet? In Proceedings of the International Conference on Machine Learning, Long Beach, CA, USA, 9–15 June 2019; pp. 5389–5400. [Google Scholar]
- Taori, R.; Dave, A.; Shankar, V.; Carlini, N.; Recht, B.; Schmidt, L. Measuring robustness to natural distribution shifts in image classification. In Proceedings of the Advances in Neural Information Processing Systems, Virtual-only, 6–12 December 2020; pp. 18583–18599. [Google Scholar]
- Zhang, X.; Cui, P.; Xu, R.; Zhou, L.; He, Y.; Shen, Z. Deep stable learning for out-of-distribution generalization. In Proceedings of the IEEE/CVF Conference on Computer Vision and Pattern Recognition, Nashville, TN, USA, 19–25 June 2021; pp. 5372–5382. [Google Scholar]
- Li, H.; Pan, S.J.; Wang, S.; Kot, A.C. Domain generalization with adversarial feature learning. In Proceedings of the IEEE Conference on Computer Vision and Pattern Recognition, Salt Lake City, UT, USA, 18–22 June 2018; pp. 5400–5409. [Google Scholar]
- Chen, Y.; Wang, Y.; Pan, Y.; Yao, T.; Tian, X.; Mei, T. A style and semantic memory mechanism for domain generalization. In Proceedings of the IEEE/CVF International Conference on Computer Vision, Montreal, QC, Canada, 10–17 October 2021; pp. 9164–9173. [Google Scholar]
- Zhou, K.; Liu, Z.; Qiao, Y.; Xiang, T.; Loy, C.C. Domain generalization: A survey. IEEE Trans. Pattern Anal. Mach. Intell. 2022, 45, 4396–4415. [Google Scholar] [CrossRef] [PubMed]
- Li, Y.; Tian, X.; Gong, M.; Liu, Y.; Liu, T.; Zhang, K.; Tao, D. Deep domain generalization via conditional invariant adversarial networks. In Proceedings of the European Conference on Computer Vision (ECCV), Munich, Germany, 8–14 September 2018; pp. 624–639. [Google Scholar]
- Shao, R.; Lan, X.; Li, J.; Yuen, P.C. Multi-adversarial discriminative deep domain generalization for face presentation attack detection. In Proceedings of the IEEE/CVF Conference on Computer Vision and Pattern Recognition, Long Beach, CA, USA, 16–20 June 2019; pp. 10023–10031. [Google Scholar]
- Li, D.; Yang, Y.; Song, Y.Z.; Hospedales, T. Learning to generalize: Meta-learning for domain generalization. In Proceedings of the AAAI Conference on Artificial Intelligence, New Orleans, LI, USA, 2–7 February 2018. [Google Scholar]
- Dou, Q.; Coelho de Castro, D.; Kamnitsas, K.; Glocker, B. Domain generalization via model-agnostic learning of semantic features. In Proceedings of the Advances in Neural Information Processing Systems, Vancouver, BC, Canada, 8–14 December 2019. [Google Scholar]
- Shi, Y.; Yu, X.; Sohn, K.; Chandraker, M.; Jain, A.K. Towards universal representation learning for deep face recognition. In Proceedings of the IEEE/CVF Conference on Computer Vision and Pattern Recognition, Seattle, WA, USA, 14–19 June 2020; pp. 6817–6826. [Google Scholar]
- Volpi, R.; Namkoong, H.; Sener, O.; Duchi, J.C.; Murino, V.; Savarese, S. Generalizing to unseen domains via adversarial data augmentation. In Proceedings of the Advances in Neural Information Processing Systems, Montréal, QC, Canada, 3–8 December 2018. [Google Scholar]
- Peters, J.; Janzing, D.; Schölkopf, B. Elements of Causal Inference: Foundations and Learning Algorithms; The MIT Press: Cambridge, MA, USA, 2017; ISBN 978-0-262-03731-0. [Google Scholar]
- Pearl, J. Causality: Models, Reasoning and Inference, 2nd ed.; Cambridge University Press: New York, NY, USA, 2009; ISBN 978-0-521-89560-6. [Google Scholar]
- Mahajan, D.; Tople, S.; Sharma, A. Domain generalization using causal matching. In Proceedings of the International Conference on Machine Learning, Honolulu, HI, USA, 18–24 July 2021; pp. 7313–7324. [Google Scholar]
- Müller, J.; Schmier, R.; Ardizzone, L.; Rother, C.; Köthe, U. Learning robust models using the principle of independent causal mechanisms. In Proceedings of the DAGM German Conference on Pattern Recognition, Bonn, Germany, 28 September–1 October 2021; pp. 79–110. [Google Scholar]
- Christiansen, R.; Pfister, N.; Jakobsen, M.E.; Gnecco, N.; Peters, J. A causal framework for distribution generalization. IEEE Trans. Pattern Anal. Mach. Intell. 2021, 44, 6614–6630. [Google Scholar] [CrossRef] [PubMed]
- Rojas-Carulla, M.; Schölkopf, B.; Turner, R.; Peters, J. Invariant models for causal transfer learning. J. Mach. Learn. Res. 2018, 19, 1–34. [Google Scholar]
- Johansson, F.; Shalit, U.; Sontag, D. Learning representations for counterfactual inference. In Proceedings of the International Conference on Machine Learning, New York, NY, USA, 19–24 June 2016; pp. 3020–3029. [Google Scholar]
- Bottou, L.; Peters, J.; Quiñonero-Candela, J.; Charles, D.X.; Chickering, D.M.; Portugaly, E.; Ray, D.; Simard, P.; Snelson, E. Counterfactual Reasoning and Learning Systems: The Example of Computational Advertising. J. Mach. Learn. Res. 2013, 14. [Google Scholar]
- Ghifary, M.; Kleijn, W.B.; Zhang, M.; Balduzzi, D. Domain generalization for object recognition with multi-task autoencoders. In Proceedings of the IEEE International Conference on Computer Vision, Santiago, Chile, 7–13 December 2015; pp. 2551–2559. [Google Scholar]
- Li, D.; Yang, Y.; Song, Y.Z.; Hospedales, T.M. Deeper, broader and artier domain generalization. In Proceedings of the IEEE International Conference on Computer Vision, Venice, Italy, 22–29 October 2017; pp. 5542–5550. [Google Scholar]
- Fang, C.; Xu, Y.; Rockmore, D.N. Unbiased metric learning: On the utilization of multiple datasets and web images for softening bias. In Proceedings of the IEEE International Conference on Computer Vision, Sydney, Australia, 1–8 December 2013; pp. 1657–1664. [Google Scholar]
- Ghifary, M.; Balduzzi, D.; Kleijn, W.B.; Zhang, M. Scatter component analysis: A unified framework for domain adaptation and domain generalization. IEEE Trans. Pattern Anal. Mach. Intell. 2016, 39, 1414–1430. [Google Scholar] [CrossRef] [PubMed]
- Motiian, S.; Piccirilli, M.; Adjeroh, D.A.; Doretto, G. Unified deep supervised domain adaptation and generalization. In Proceedings of the IEEE International Conference on Computer Vision, Venice, Italy, 22–29 October 2017; pp. 5715–5725. [Google Scholar]
- Shankar, S.; Piratla, V.; Chakrabarti, S.; Chaudhuri, S.; Jyothi, P.; Sarawagi, S. Generalizing Across Domains via Cross-Gradient Training. In Proceedings of the International Conference on Learning Representations, Vancouver, BC, Canada, 30 April–3 May 2018. [Google Scholar]
- Carlucci, F.M.; Russo, P.; Tommasi, T.; Caputo, B. Hallucinating agnostic images to generalize across domains. In Proceedings of the 2019 IEEE/CVF International Conference on Computer Vision Workshop (ICCVW), Seoul, Republic of Korea, 27–28 October 2019; pp. 3227–3234. [Google Scholar]
- Finn, C.; Abbeel, P.; Levine, S. Model-agnostic meta-learning for fast adaptation of deep networks. In Proceedings of the International Conference on Machine Learning, Sydney, Australia, 6–11 August 2017; pp. 1126–1135. [Google Scholar]
- Lewis, D. Causation. J. Philos. 1974, 70, 556–567. [Google Scholar] [CrossRef]
- Schölkopf, B.; Locatello, F.; Bauer, S.; Ke, N.R.; Kalchbrenner, N.; Goyal, A.; Bengio, Y. Toward Causal Representation Learning. Proc. IEEE 2021, 109, 612–634. [Google Scholar] [CrossRef]
- Shalit, U.; Johansson, F.D.; Sontag, D. Estimating individual treatment effect: Generalization bounds and algorithms. In Proceedings of the International Conference on Machine Learning, Sydney, Australia, 6–11 August 2017; pp. 3076–3085. [Google Scholar]
- Hassanpour, N.; Greiner, R. Counterfactual Regression with Importance Sampling Weights. In Proceedings of the International Joint Conference on Artificial Intelligence (IJCAI), Macao, China, 10–16 August 2019; pp. 5880–5887. [Google Scholar]
- Kallus, N. Deepmatch: Balancing deep covariate representations for causal inference using adversarial training. In Proceedings of the International Conference on Machine Learning, Vienna, Austria, 12–18 July 2020; pp. 5067–5077. [Google Scholar]
- Yang, M.; Liu, F.; Chen, Z.; Shen, X.; Hao, J.; Wang, J. Causalvae: Disentangled representation learning via neural structural causal models. In Proceedings of the IEEE/CVF Conference on Computer Vision and Pattern Recognition, Nashville, TN, USA, 20–25 June 2021; pp. 9593–9602. [Google Scholar]
- Arjovsky, M.; Chintala, S.; Bottou, L. Wasserstein generative adversarial networks. In Proceedings of the International Conference on Machine Learning, Sydney, Australia, 6–11 August 2017; pp. 214–223. [Google Scholar]
- Peters, J.; Bühlmann, P.; Meinshausen, N. Causal inference by using invariant prediction: Identification and confidence intervals. J. R. Stat. Soc. Ser. B Stat. Methodol. 2016, 78, 947–1012. [Google Scholar] [CrossRef]
- Magliacane, S.; Van Ommen, T.; Claassen, T.; Bongers, S.; Versteeg, P.; Mooij, J.M. Domain adaptation by using causal inference to predict invariant conditional distributions. In Proceedings of the Advances in Neural Information Processing Systems, Montréal, QC, Canada, 2–8 December 2018. [Google Scholar]
- Higgins, I.; Matthey, L.; Pal, A.; Burgess, C.P.; Glorot, X.; Botvinick, M.M.; Mohamed, S.; Lerchner, A. Beta-vae: Learning basic visual concepts with a constrained variational framework. In Proceedings of the International Conference on Learning Representations (Poster), Toulon, France, 24–26 April 2017. [Google Scholar]
- Johnson, D.H.; Sinanovic, S. Symmetrizing the kullback-leibler distance. IEEE Trans. Inf. Theory 2001, 1, 1–10. [Google Scholar]
- Gulrajani, I.; Lopez-Paz, D. In search of lost domain generalization. In Proceedings of the International Conference on Learning Representations, Addis Ababa, Ethiopia, 26–30 April 2020. [Google Scholar]
- Vapnik, V. The nature of Statistical Learning Theory; Springer Science & Business Media: Heidelberg, Germany, 2013; ISBN 978–0-387-94559-0. [Google Scholar]
- Arjovsky, M.; Bottou, L.; Gulrajani, I.; Lopez-Paz, D. Invariant risk minimization. arXiv 2019, arXiv:1907.02893. [Google Scholar]
- Yan, S.; Song, H.; Li, N.; Zou, L.; Ren, L. Improve unsupervised domain adaptation with mixup training. arXiv 2020, arXiv:2001.00677. [Google Scholar]
- Blanchard, G.; Deshmukh, A.A.; Dogan, U.; Lee, G.; Scott, C. Domain generalization by marginal transfer learning. J. Mach. Learn. Res. 2021, 22, 1–55. [Google Scholar]
- Ganin, Y.; Ustinova, E.; Ajakan, H.; Germain, P.; Larochelle, H.; Laviolette, F.; March, M.; Lempitsky, V. Domain-adversarial training of neural networks. J. Mach. Learn. Res. 2016, 17, 1–35. [Google Scholar]
- Sun, B.; Saenko, K. Deep coral: Correlation alignment for deep domain adaptation. In Proceedings of the European Conference on Computer Vision (ECCV), Amsterdam, The Netherlands, 11–14 October 2016; pp. 443–450. [Google Scholar]
- Sagawa, S.; Koh, P.W.; Hashimoto, T.B.; Liang, P. Distributionally robust neural networks. In Proceedings of the International Conference on Learning Representations, Addis Ababa, Ethiopia, 26–30 April 2020. [Google Scholar]
- Rame, A.; Dancette, C.; Cord, M. Fishr: Invariant gradient variances for out-of-distribution generalization. In Proceedings of the International Conference on Machine Learning, Baltimore, MD, USA, 17–23 July 2022; pp. 18347–18377. [Google Scholar]
- Huang, Z.; Wang, H.; Xing, E.P.; Huang, D. Self-Challenging improves cross-domain generalization. In Proceedings of the European Conference on Computer Vision (ECCV), Glasgow, UK, 23–28 August 2020; pp. 124–140. [Google Scholar]
- Nam, H.; Lee, H.; Park, J.; Yoon, W.; Yoo, D. Reducing domain gap by reducing style bias. In Proceedings of the IEEE/CVF Conference on Computer Vision and Pattern Recognition, Nashville, WA, USA, 20–25 June 2021; pp. 8690–8699. [Google Scholar]
- Zhang, Y.; Li, M.; Li, R.; Jia, K.; Zhang, L. Exact Feature distribution matching for arbitrary style transfer and domain generalization. In Proceedings of the IEEE/CVF Conference on Computer Vision and Pattern Recognition, New Orleans, LA, USA, 19–23 June 2022; pp. 8035–8045. [Google Scholar]
- Sener, O.; Koltun, V. Multi-task learning as multi-objective optimization. In Proceedings of the Advances in neural information processing systems, Montréal, QC, Canada, 2–8 December 2018. [Google Scholar]
- Selvaraju, R.R.; Cogswell, M.; Das, A.; Vedantam, R.; Parikh, D.; Batra, D. Grad-Cam: Visual explanations from deep networks via gradient-based localization. In Proceedings of the IEEE International Conference on Computer Vision, Venice, Italy, 22–29 October 2017; pp. 618–626. [Google Scholar]





| Methods | 0° | 15° | 30° | 45° | 60° | 75° | Avg |
|---|---|---|---|---|---|---|---|
| ERM | 95.6 | 99.0 | 98.9 | 99.1 | 99.0 | 96.7 | 98.0 |
| IRM | 95.9 | 98.9 | 99.0 | 98.9 | 98.9 | 95.6 | 97.9 |
| Mixup | 96.1 | 99.1 | 98.9 | 99.0 | 99.0 | 96.6 | 98.1 |
| MMD | 96.6 | 98.9 | 98.9 | 99.1 | 99.0 | 96.2 | 98.1 |
| MLDG | 95.9 | 98.9 | 99.0 | 99.1 | 99.0 | 96.0 | 98.0 |
| DANN | 95.6 | 98.9 | 98.9 | 99.0 | 98.9 | 95.9 | 97.9 |
| CORAL | 95.7 | 99.0 | 99.1 | 99.1 | 99.0 | 96.7 | 98.1 |
| GroupDRO | 95.9 | 98.9 | 99.0 | 99.0 | 99.0 | 96.9 | 98.1 |
| MatchDG | 95.9 | 98.4 | 98.6 | 98.9 | 98.7 | 95.1 | 97.6 |
| Fishr | 95.0 | 98.5 | 99.2 | 98.9 | 98.9 | 96.5 | 97.8 |
| CSRDN (ours) | 96.5 | 98.8 | 99.1 | 99.3 | 99.2 | 97.3 | 98.4 |
| Methods | P | A | C | S | Avg |
|---|---|---|---|---|---|
| ERM | 97.2 | 84.7 | 80.8 | 79.3 | 85.5 |
| IRM | 96.7 | 84.8 | 76.4 | 76.1 | 83.5 |
| Mixup | 97.6 | 86.1 | 78.9 | 75.8 | 84.6 |
| Fishr | 97.0 | 88.4 | 78.7 | 77.8 | 85.5 |
| SagNet | 97.1 | 87.4 | 80.7 | 80.0 | 86.3 |
| RSC | 97.9 | 87.8 | 82.1 | 83.8 | 87.9 |
| MMD | 96.6 | 86.1 | 79.4 | 76.5 | 84.6 |
| MLDG | 97.4 | 85.5 | 80.1 | 76.6 | 84.9 |
| DANN | 97.3 | 86.4 | 77.4 | 73.5 | 83.6 |
| CORAL | 97.5 | 88.3 | 80.0 | 78.8 | 86.2 |
| GroupDRO | 96.7 | 83.5 | 79.1 | 78.3 | 84.4 |
| EFDMix | 98.1 | 90.6 | 82.5 | 76.4 | 86.9 |
| MatchDG | 97.9 | 85.6 | 82.1 | 78.8 | 86.1 |
| CSRDN (ours) | 97.5 | 88.3 | 84.5 | 84.9 | 88.8 |
| Methods | V | L | C | S | Avg |
|---|---|---|---|---|---|
| ERM | 74.6 | 64.3 | 97.7 | 73.4 | 77.5 |
| IRM | 77.3 | 64.9 | 98.6 | 73.4 | 78.5 |
| RSC | 75.6 | 62.5 | 97.9 | 72.3 | 77.1 |
| SagNet | 77.5 | 64.5 | 97.9 | 71.4 | 77.8 |
| Fishr | 76.8 | 64.0 | 98.9 | 71.5 | 77.8 |
| Mixup | 74.3 | 64.8 | 98.3 | 72.1 | 77.4 |
| MMD | 75.3 | 64.0 | 97.7 | 72.8 | 77.5 |
| MLDG | 75.3 | 65.2 | 97.4 | 71.0 | 77.2 |
| DANN | 77.2 | 65.1 | 99.0 | 73.1 | 78.6 |
| CORAL | 77.5 | 66.1 | 98.3 | 73.4 | 78.8 |
| GroupDRO | 76.7 | 63.4 | 97.3 | 69.5 | 76.7 |
| CSRDN (ours) | 77.1 | 67.0 | 98.8 | 74.2 | 79.3 |
| Methods | 0° | 15° | 30° | 45° | 60° | 75° (TD) |
|---|---|---|---|---|---|---|
| Variant 1 | √ | √ | 95.9 | |||
| Variant 2 | √ | √ | √ | 96.5 | ||
| Variant 3 | √ | √ | √ | √ | 97.1 | |
| Variant 4 | √ | √ | √ | √ | √ | 97.3 |
Disclaimer/Publisher’s Note: The statements, opinions and data contained in all publications are solely those of the individual author(s) and contributor(s) and not of MDPI and/or the editor(s). MDPI and/or the editor(s) disclaim responsibility for any injury to people or property resulting from any ideas, methods, instructions or products referred to in the content. |
© 2024 by the authors. Licensee MDPI, Basel, Switzerland. This article is an open access article distributed under the terms and conditions of the Creative Commons Attribution (CC BY) license (https://creativecommons.org/licenses/by/4.0/).
Share and Cite
Shao, Y.; Wang, S.; Zhao, W. A Causality-Aware Perspective on Domain Generalization via Domain Intervention. Electronics 2024, 13, 1891. https://doi.org/10.3390/electronics13101891
Shao Y, Wang S, Zhao W. A Causality-Aware Perspective on Domain Generalization via Domain Intervention. Electronics. 2024; 13(10):1891. https://doi.org/10.3390/electronics13101891
Chicago/Turabian StyleShao, Youjia, Shaohui Wang, and Wencang Zhao. 2024. "A Causality-Aware Perspective on Domain Generalization via Domain Intervention" Electronics 13, no. 10: 1891. https://doi.org/10.3390/electronics13101891
APA StyleShao, Y., Wang, S., & Zhao, W. (2024). A Causality-Aware Perspective on Domain Generalization via Domain Intervention. Electronics, 13(10), 1891. https://doi.org/10.3390/electronics13101891
