Sign in to use this feature.

Years

Between: -

Subjects

remove_circle_outline
remove_circle_outline
remove_circle_outline
remove_circle_outline
remove_circle_outline
remove_circle_outline
remove_circle_outline
remove_circle_outline
remove_circle_outline

Journals

remove_circle_outline
remove_circle_outline
remove_circle_outline
remove_circle_outline
remove_circle_outline
remove_circle_outline
remove_circle_outline
remove_circle_outline
remove_circle_outline
remove_circle_outline
remove_circle_outline
remove_circle_outline
remove_circle_outline
remove_circle_outline
remove_circle_outline
remove_circle_outline

Article Types

Countries / Regions

remove_circle_outline
remove_circle_outline
remove_circle_outline
remove_circle_outline
remove_circle_outline
remove_circle_outline

Search Results (3,382)

Search Parameters:
Keywords = Stochastic optimization

Order results
Result details
Results per page
Select all
Export citation of selected articles as:
24 pages, 3518 KB  
Article
A Diffusion Weighted Ensemble Framework for Robust Short-Horizon Global SST Forecasting from Multivariate GODAS Data
by Gwangun Yu, GilHan Choi, Moonseung Choi, Sun-hong Min and Yonggang Kim
Mathematics 2026, 14(4), 740; https://doi.org/10.3390/math14040740 (registering DOI) - 22 Feb 2026
Abstract
Accurate time series forecasting of sea surface temperature (SST) is essential for understanding the ocean climate system and large-scale ocean circulation, yet it remains challenging due to regime-dependent variability and correlated errors across heterogeneous prediction models. This study addresses these challenges by formulating [...] Read more.
Accurate time series forecasting of sea surface temperature (SST) is essential for understanding the ocean climate system and large-scale ocean circulation, yet it remains challenging due to regime-dependent variability and correlated errors across heterogeneous prediction models. This study addresses these challenges by formulating SST ensemble time series forecasting aggregation as a stochastic, sample-adaptive weighting problem. We propose a diffusion-conditioned ensemble framework in which heterogeneous base forecasters generate out-of-sample SST predictions that are combined through a noise-conditioned weighting network. The proposed framework produces convex, sample-specific mixture weights without requiring iterative reverse-time sampling. The approach is evaluated on short-horizon global SST forecasting using the Global Ocean Data Assimilation System (GODAS) reanalysis as a representative multivariate dataset. Under a controlled experimental protocol with fixed input windows and one-step-ahead prediction, the proposed method is compared against individual deep learning forecasters and conventional global pooling strategies, including uniform averaging and validation-optimized convex weighting. The results show that adaptive, diffusion-weighted aggregation yields consistent improvements in error metrics over the best single-model baseline and static pooling rules, with more pronounced gains in several mid- to high-latitude regimes. These findings indicate that stochastic, condition-dependent weighting provides an effective and computationally practical framework for enhancing the robustness of multivariate time series forecasting, with direct applicability to global SST prediction from large-scale geophysical reanalysis data. Full article
21 pages, 2216 KB  
Article
Reliability-Adaptive Control of Aerospace Electromechanical Actuators with Coupled Degradation via Stochastic MPC
by Le Qi
Mathematics 2026, 14(4), 737; https://doi.org/10.3390/math14040737 (registering DOI) - 22 Feb 2026
Abstract
Electromechanical Actuators (EMAs) are critical components in More-Electric Aircraft (MEA) and Reusable Launch Vehicles (RLVs), yet they remain vulnerable to jamming and fatigue failures under high-stress flight maneuvers. Existing Health-Aware Flight Control approaches often treat failure prediction and control allocation as separate processes, [...] Read more.
Electromechanical Actuators (EMAs) are critical components in More-Electric Aircraft (MEA) and Reusable Launch Vehicles (RLVs), yet they remain vulnerable to jamming and fatigue failures under high-stress flight maneuvers. Existing Health-Aware Flight Control approaches often treat failure prediction and control allocation as separate processes, leading to suboptimal sortie generation rates. This paper presents a reliability-adaptive control framework that unifies trajectory tracking with online health management. Empowered by a hierarchical mission-to-control architecture, the system employs stochastic Model Predictive Control (SMPC) to actively modulate control surface deflection profiles in real time. A comparative case study on a coupled EMA drivetrain demonstrates that the proposed controller extends useful life by 65% compared to fixed-gain baselines, achieves 23% higher mission performance than reactive PID controllers, and it maintains zero constraint violations throughout the mission by optimally distributing the health budget across mission phases. Full article
(This article belongs to the Special Issue Mathematical Modelling and Control Theory for Aerospace Vehicles)
19 pages, 1215 KB  
Article
On the Dynamics of Ergonomic Load in Biomimetic Self-Organizing Systems
by Nikitas Gerolimos, Vasileios Alevizos and Georgios Priniotakis
Electronics 2026, 15(4), 889; https://doi.org/10.3390/electronics15040889 (registering DOI) - 21 Feb 2026
Abstract
Traditional ergonomic considerations in human–machine and human–swarm systems have primarily relied on static diagnostic snapshots, which often fail to capture the temporal accumulation and non-linear dissipation of musculoskeletal fatigue. As Industry 5.0 transitions toward immersive, human-centric cyber-physical systems, redefining ergonomic load as an [...] Read more.
Traditional ergonomic considerations in human–machine and human–swarm systems have primarily relied on static diagnostic snapshots, which often fail to capture the temporal accumulation and non-linear dissipation of musculoskeletal fatigue. As Industry 5.0 transitions toward immersive, human-centric cyber-physical systems, redefining ergonomic load as an endogenous state variable allows for real-time control of musculoskeletal integrity. This work proposes the Dynamic Integrity Governor (DIG) framework, which treats ergonomic load as a normalized, dimensionless state variable ξt that evolves according to a stochastic proxy of recursive Newton–Euler dynamics. Leveraging a machine-perception-aware Adaptive Event-Triggered Mechanism (AETM) and the Multi-modal Flamingo Search Algorithm (MMFSA), we develop a decentralized architecture that redistributes ergonomic demands in real-time. The framework utilizes a 7-DOF kinematic model and Control Barrier Functions (CBF) to maintain human–swarm interaction within safe biomechanical boundaries, effectively filtering stochastic sensor noise through Girard-based stability buffers. Computational validation via N = 1000 Monte Carlo runs demonstrates that the proposed strategy achieves a 79.97% reduction in control updates (SD = 0.19%; p < 0.0001; Cohen’s d = 2.41), ensuring a positive minimum inter-event time (MIET) to prevent the Zeno phenomenon and supporting carbon-aware AI operations. The integration of variable prediction horizons yields an 80.69% improvement in solving time, while ensuring a minimal computational footprint suitable for real-time edge deployment. The identification of optimal postural niches maintains peak ergonomic load at 41.42%, representing a significant safety margin relative to the integrity barrier. While validated against a 50th percentile male profile, the DIG framework establishes a modular foundation for personalized ergonomic governors in inclusive Industry 5.0 applications. Full article
Show Figures

Figure 1

23 pages, 3484 KB  
Article
A Predictive Crater-Overlap Model for EDM Finishing Relevant to AISI 304 Welded Joints
by Mohsen Forouzanmehr, Mohammad Reza Dashtbayazi and Mahmoud Chizari
J. Manuf. Mater. Process. 2026, 10(2), 75; https://doi.org/10.3390/jmmp10020075 (registering DOI) - 21 Feb 2026
Abstract
Electrical Discharge Machining (EDM) enables precision post-weld finishing of AISI 304 stainless steel, but stochastic spark overlaps make the fatigue-critical maximum peak-to-valley height (Rmax) difficult to predict. This study develops a validated physics-based framework quantifying how crater overlap governs R [...] Read more.
Electrical Discharge Machining (EDM) enables precision post-weld finishing of AISI 304 stainless steel, but stochastic spark overlaps make the fatigue-critical maximum peak-to-valley height (Rmax) difficult to predict. This study develops a validated physics-based framework quantifying how crater overlap governs Rmax evolution. Experiments on unwelded AISI 304 cylinders—proxying weld metal while excluding heat-affected zone (HAZ) effects—used Central Composite Design (20 trials, 900–9380 μJ discharge energies). Profilometry and scanning electron microscopy (SEM) correlated the crater size, overlap intensity, micro-cracking, and Rmax escalation from 18 to 85 μm. Primary and secondary crater formation under minimum and maximum overlap configurations were simulated using a 2D axisymmetric finite element model with Gaussian heat flux and temperature-dependent thermophysical properties. The predictive metric Rmax,num = (dinitial + dsecondary)/2 achieved 11–19% average error against the experimental Rmax,exp, with complementary valley depth (Rv) validation at 13% error. The Specimen 7 outlier (~50% error) reveals the limitations of deterministic modelling under stochastic debris accumulation and plasma instability at intermediate energies. Crater overlap generates secondary dimples, sharp inter-crater peaks, and rim micro-crack networks, driving the 4.7-fold Rmax increase—approaching International Institute of Welding (IIW) fatigue thresholds (<25 μm for high-cycle categories). The framework explicitly links the discharge energy, plasma channel radius (Rpc), and overlap geometry to surface topography, enabling process optimization (I·ton < 60 A·s maintains Rmax < 25 μm). Mesh independence (<2.5% convergence) and six centre-point replicates (CV = 4.2%) confirm robustness. This validated upper-bound Rmax predictor supports the digital co-optimization of welding and EDM parameters for aerospace/energy applications, with planned extensions to stochastic 3D models incorporating adaptive remeshing and real weld topographies. Full article
(This article belongs to the Special Issue Recent Advances in Welding and Joining Metallic Materials)
Show Figures

Figure 1

20 pages, 1939 KB  
Article
Optimal Extraction Under Endogenous Degradation Risk
by Luca Grosset, Maddalena Muttoni and Elena Sartori
Mathematics 2026, 14(4), 731; https://doi.org/10.3390/math14040731 (registering DOI) - 21 Feb 2026
Abstract
We study the optimal extraction of a non-renewable resource under an endogenous risk of irreversible degradation. The extractor faces a stochastic switching time at which extraction costs permanently increase, with the hazard rate of this transition depending on the current extraction intensity. As [...] Read more.
We study the optimal extraction of a non-renewable resource under an endogenous risk of irreversible degradation. The extractor faces a stochastic switching time at which extraction costs permanently increase, with the hazard rate of this transition depending on the current extraction intensity. As a result, faster extraction not only accelerates depletion but also raises the probability of entering a high-cost regime. We formulate the problem as an optimal control model with a control-dependent hazard process and derive a deterministic equivalent representation. Although extraction before and after degradation is individually trivial, their coupling through the endogenous hazard generates a nonlinear control problem. We provide an explicit characterization of the optimal extraction policy and show that degradation risk fundamentally alters the optimal depletion path. In contrast to the deterministic benchmark, optimal extraction becomes smoother over time, as the decision maker trades off immediate profits against the expected increase in future costs. The analysis highlights how endogenous operational risk can discipline extraction incentives and offers new insights into the sustainable management of exhaustible resources under technological fragility. Full article
Show Figures

Figure 1

33 pages, 2675 KB  
Article
Modelling and Optimization of Petrochemical Hybrid Renewable Energy Systems Considering Energy Interchangeability, Uncertainty and Storage for Coupling Energy Supply and Utilization Sides
by Qiaoqiao Tang, Yuehao Qu, Fengrong Qiu, Yong Pan, Junjun Tan, Yang Lei, Yuqiu Chen, Chang He, Qinglin Chen and Bingjian Zhang
Processes 2026, 14(4), 703; https://doi.org/10.3390/pr14040703 - 19 Feb 2026
Viewed by 102
Abstract
Petrochemical hybrid renewable energy systems (PHRESs), integrating renewable and fossil energy sources, have garnered more and more attention for sustainable manufacturing. However, achieving concurrent optimization of energy supply reliability and carbon mitigation in these complex systems remains a critical challenge. This study proposes [...] Read more.
Petrochemical hybrid renewable energy systems (PHRESs), integrating renewable and fossil energy sources, have garnered more and more attention for sustainable manufacturing. However, achieving concurrent optimization of energy supply reliability and carbon mitigation in these complex systems remains a critical challenge. This study proposes an innovative bilateral optimization framework coupling supply-side energy management with demand-side flexibility. On the supply side, a scenario-based two-stage stochastic programming method synergizes with energy storage systems to address renewable energy intermittency, considering a time-of-day tariff from the grid. On the utilization side, heat energy-based and shaft work-based energy interchangeability are introduced and leveraged to enable both qualitative and quantitative flexibility in process unit requirements and thus obtain energy consumption relaxation models for relaxing the design boundaries of PHRESs. These dual strategies are then coupled in a two-stage mixed-integer programming model framework for the optimal design of PHRESs. Applied to a large-scale refinery incorporating carbon taxation and dynamic electricity price, the proposed methodology demonstrates superior performance through five comparative cases. Compared to the Base Case, the Optimal Case using the proposed method can reduce the total annual cost by 14.82%, and stochastic programming reveals over a 40% probability of carbon mitigation in the uncertain space. Full article
(This article belongs to the Section Energy Systems)
59 pages, 12506 KB  
Article
Power System Transition Planning: A Planner-Oriented Optimization Model
by Ahmed Al-Shafei, Nima Amjady, Hamidreza Zareipour and Yankai Cao
Energies 2026, 19(4), 1070; https://doi.org/10.3390/en19041070 - 19 Feb 2026
Viewed by 92
Abstract
This paper presents a comprehensive power system transition-planning model positioned between conventional generation and transmission expansion planning (GTEP) formulations and broader macro-energy system (MES) tools. Existing planning models are typically unable to simultaneously represent detailed network constraints, adaptive long-term uncertainty, and a broad [...] Read more.
This paper presents a comprehensive power system transition-planning model positioned between conventional generation and transmission expansion planning (GTEP) formulations and broader macro-energy system (MES) tools. Existing planning models are typically unable to simultaneously represent detailed network constraints, adaptive long-term uncertainty, and a broad set of grid-enhancing transition technologies within a single tractable optimization framework; this work enables such integrated, scenario-based planning. The framework remains rooted in detailed electrical system modeling while expanding the decision space to include transition-relevant technologies: conventional and renewable generation, transmission, advanced flow-control devices, dynamic line rating, energy storage, and retrofit options, all within a long-term-planning model under uncertainty. The contribution is the integrated representation of these options and the modeling constructs required to capture their interactions, including expressions enabling concurrent investment decisions across FACTS, dynamic line rating, and transmission expansion; network-embedded modeling of series compensation devices; a battery degradation model that avoids exogenous degradation cost proxies; and a GIS-based zoning resolution methodology balancing spatial fidelity and computational tractability. The resulting formulation is a mixed-integer multi-stage stochastic program. Analytical value is demonstrated through a detailed small-scale example based on Alberta’s power system. To overcome the computationally prohibitive results encountered when scaling the formulation to a practical test case consistent with Alberta’s long-term power-system-planning practices, Stochastic Dual Dynamic Programming is employed in parallel. The resulting solution demonstrates the feasibility of a subclass of highly detailed, transition-oriented electrical system planning models that are otherwise intractable under monolithic workstation-based approaches. Full article
31 pages, 2912 KB  
Article
Adaptive Lighting and Thermal Comfort Control Strategies in Digital Twin Classroom via Deep Reinforcement Learning
by Xuegang Wu and Pinle Qin
Electronics 2026, 15(4), 873; https://doi.org/10.3390/electronics15040873 - 19 Feb 2026
Viewed by 67
Abstract
With the advancement of smart education and carbon neutrality goals, optimizing Indoor Environmental Quality (IEQ) while minimizing energy consumption is critical. Traditional PID or rule-based strategies struggle with the strong non-linearity and time delays of photothermal coupling in high-density classrooms. This paper proposes [...] Read more.
With the advancement of smart education and carbon neutrality goals, optimizing Indoor Environmental Quality (IEQ) while minimizing energy consumption is critical. Traditional PID or rule-based strategies struggle with the strong non-linearity and time delays of photothermal coupling in high-density classrooms. This paper proposes an adaptive closed-loop control framework fusing Digital Twin (DT) and Deep Reinforcement Learning (DRL). A high-fidelity multi-physics model is constructed as a virtual testbed, utilizing the Proximal Policy Optimization (PPO) algorithm to learn multi-objective strategies. The trained agent is deployed to an edge gateway for real-time inference. Experimental results from a field study distinguish this work from pure simulations. Results demonstrate that compared to PID baselines, the proposed strategy reduces energy consumption by 28.4% while maintaining thermal comfort (PMV) and visual comfort compliance. Furthermore, the variance of PMV is reduced by 66.7%, and system recovery time under stochastic disturbances is shortened by 31.4%. Full article
(This article belongs to the Section Computer Science & Engineering)
26 pages, 11745 KB  
Article
Robust Incipient Fault Diagnosis of Rolling Element Bearings Under Small-Sample Conditions Using Refined Multiscale Rating Entropy
by Shiqian Wu, Huiyu Liu and Liangliang Tao
Entropy 2026, 28(2), 240; https://doi.org/10.3390/e28020240 - 19 Feb 2026
Viewed by 66
Abstract
The operational reliability of aero-engines is critically dependent on the health of rolling element bearings, while incipient fault diagnosis remains particularly challenging under small-sample conditions. Although multiscale entropy methods are widely used for complexity analysis, conventional coarse-graining strategies suffer from severe information loss [...] Read more.
The operational reliability of aero-engines is critically dependent on the health of rolling element bearings, while incipient fault diagnosis remains particularly challenging under small-sample conditions. Although multiscale entropy methods are widely used for complexity analysis, conventional coarse-graining strategies suffer from severe information loss and unstable estimation when data are extremely limited. To address this, the primary objective of this study is to develop a robust diagnostic framework that ensures feature consistency and classification stability even with minimal training samples. Specifically, this paper proposes an integrated approach combining Refined Time-shifted Multiscale Rating Entropy (RTSMRaE) with an Animated Oat Optimization (AOO)-optimized Extreme Learning Machine (ELM). By introducing a refined time-shift operator and a dual-weight fusion mechanism, RTSMRaE effectively preserves transient impulsive features across multiple scales while suppressing stochastic fluctuations. Meanwhile, the AOO algorithm is employed to optimize the input weights and hidden biases of the ELM, alleviating performance instability caused by random initialization and improving generalization capability. Experimental validation on both laboratory-scale and real-world aviation bearing datasets demonstrates that the proposed RTSMRaE-AOO-ELM framework achieves a diagnostic accuracy of 99.47% with a standard deviation of ±0.48% using only five training samples per class. These results indicate that the proposed method offers superior diagnostic robustness and computational efficiency, providing a promising solution for intelligent condition monitoring in data-scarce industrial environments. Full article
(This article belongs to the Section Multidisciplinary Applications)
Show Figures

Figure 1

25 pages, 1932 KB  
Article
Blockchain-Enabled Governance for Health IoT Data Access via Interpretable Multi-Objective Optimization and Bargaining Under Privacy–Latency–Robustness Trade-Offs
by Farshid Keivanian, Yining Hu and Saman Shojae Chaeikar
Electronics 2026, 15(4), 864; https://doi.org/10.3390/electronics15040864 - 18 Feb 2026
Viewed by 145
Abstract
Health Internet of Things (Health IoT) systems continuously stream sensitive physiological data, making data access governance safety-critical under conflicting objectives such as privacy risk, latency, energy/resource cost, and robustness, especially when conditions change during emergencies. This paper proposes FiB-MOBA-EAFG, a hybrid blockchain–AI framework [...] Read more.
Health Internet of Things (Health IoT) systems continuously stream sensitive physiological data, making data access governance safety-critical under conflicting objectives such as privacy risk, latency, energy/resource cost, and robustness, especially when conditions change during emergencies. This paper proposes FiB-MOBA-EAFG, a hybrid blockchain–AI framework that separates on-chain accountability from off-chain decision intelligence. Off-chain, fuzzy context inference parameterizes scenario priorities, Pareto-based multi-objective search generates candidate governance policies, an emergency-aware feasibility guard filters unsafe trade-offs, and a bargaining-based selector chooses a single deployable policy. On chain, the blockchain layer records consent commitments, access events, and hashes of the selected policy and decision trace, serving as an immutable audit and accountability substrate rather than an online decision or optimization engine, while raw health data remain off-chain. Using simulation studies of home remote monitoring, clinic telehealth, and emergency triage under stochastic network variation and adversarial device behavior, FiB-MOBA-EAFG improves robustness and yields more repeatable policy selection than rule-based control and scalarized baselines within the evaluated simulation scenarios, while maintaining latency within ranges compatible with modeled edge deployment constraints through explicit emergency-aware feasibility constraints. A budget-matched random-search ablation further indicates that structured Pareto exploration is needed to reliably obtain robust, low-risk governance policies. Full article
(This article belongs to the Special Issue Blockchain-Enabled Management Systems in Health IoT)
Show Figures

Figure 1

37 pages, 712 KB  
Article
Digital Traceability and Contract Coordination for Sustainable Agri-Food Supply Chains
by Chen Su and Jinge Yao
Sustainability 2026, 18(4), 2066; https://doi.org/10.3390/su18042066 - 18 Feb 2026
Viewed by 132
Abstract
Agri-food supply chains are highly exposed to freshness deterioration, demand uncertainty, and information asymmetry. In practice, upstream suppliers may strategically misreport freshness-related information to influence downstream procurement decisions, which can amplify inefficiency and increase food loss and waste. This study develops an analytical [...] Read more.
Agri-food supply chains are highly exposed to freshness deterioration, demand uncertainty, and information asymmetry. In practice, upstream suppliers may strategically misreport freshness-related information to influence downstream procurement decisions, which can amplify inefficiency and increase food loss and waste. This study develops an analytical framework that integrates (i) strategic freshness misreporting by an informed supplier, (ii) endogenous investment in blockchain-enabled traceability that improves information credibility at a cost, and (iii) contract design for supply chain coordination. We consider a two-echelon agri-food supply chain with stochastic demand and freshness-dependent valuation, and characterize equilibrium operational decisions under centralized and decentralized settings. The results reveal how misreporting reshapes optimal order quantities, wholesale prices, and profit allocation, and identify conditions under which misreporting increases expected waste and undermines sustainability performance. We then examine how traceability investment changes the incentives of both parties, leading to adoption thresholds and potential incentive misalignment under decentralization. Finally, we design revenue-sharing, cost-sharing, and combined contracts and derive parameter regions that coordinate the blockchain-enabled agri-food supply chain and generate Pareto improvements for both the supplier and the retailer. Numerical experiments illustrate the comparative statics and quantify the trade-offs among profitability, transparency, and waste reduction. Relative to existing blockchain-enabled agri-food supply chain models, the framework jointly endogenizes supplier misreporting of freshness, blockchain-based traceability investment, and contract parameters, thereby uncovering new adoption thresholds and coordination regions that tightly link transparency decisions to food loss and waste. The findings provide actionable guidance for using digital traceability and contract mechanisms to curb opportunism, enhance coordination, and support sustainable agri-food supply chains. Full article
(This article belongs to the Section Sustainable Food)
33 pages, 4519 KB  
Article
Dynamic Structural Early Warning for Bridge Based on Deep Learning: Methodology and Engineering Application
by Fentao Guo, Yufeng Xu, Qingzhong Quan and Zhantao Zhang
Buildings 2026, 16(4), 823; https://doi.org/10.3390/buildings16040823 - 18 Feb 2026
Viewed by 61
Abstract
In bridge health monitoring, structural responses are strongly coupled with temperature effects and vehicle load effects, making it difficult for conventional fixed thresholds and single data-driven approaches to simultaneously achieve environmental adaptability and quantitative reliability assessment. To address this issue, this study proposes [...] Read more.
In bridge health monitoring, structural responses are strongly coupled with temperature effects and vehicle load effects, making it difficult for conventional fixed thresholds and single data-driven approaches to simultaneously achieve environmental adaptability and quantitative reliability assessment. To address this issue, this study proposes a deep-learning-based dynamic early-warning method for bridge structures, using health-monitoring data from an in-service long-span cable-stayed bridge as the research background. First, a two-month mid-span deflection time series is processed using variational mode decomposition optimized by the Porcupine Optimization Algorithm to separate temperature-induced effects. Subsequently, a hybrid prediction model integrating Informer and SEnet is constructed. Temperature and temperature-induced deflection components are used as input features, and a sliding-window strategy is adopted to achieve high-accuracy prediction of the temperature-induced deflection trend, which serves as the time-varying baseline of the dynamic threshold. On this basis, vehicle load effects are modeled by combining Pareto extreme value theory with finite element analysis and superimposed to establish a two-level dynamic early-warning threshold system that satisfies code requirements. Furthermore, a stochastic finite element Monte Carlo method is introduced to probabilistically model uncertainties associated with material parameters, load effects, and model prediction errors. The threshold failure probability at each time instant is taken as the evaluation metric, enabling quantitative characterization of threshold reliability. The results indicate that under combined multiple working conditions, the proposed method reduces the maximum failure probability of the first-level warning by 32.68% and that of the second-level warning by 93.48%, with more stable and consistent probabilistic responses. In engineering applications, simulation experiments based on stochastic traffic loading show that the warning accuracy is improved by up to 19.27%, while the error rate is reduced by up to 16.16%. The study demonstrates that the proposed method possesses a clear physical and statistical foundation as well as good engineering feasibility and provides a viable pathway for transforming bridge early-warning systems from experience-based schemes toward data-driven and risk-oriented frameworks. Full article
(This article belongs to the Special Issue Building Structure Health Monitoring and Damage Detection)
20 pages, 569 KB  
Article
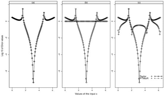
Probabilistic Taylor-Type Expansions of Functions
by Matieyendou Lamboni
Mathematics 2026, 14(4), 712; https://doi.org/10.3390/math14040712 - 18 Feb 2026
Viewed by 69
Abstract
Taylor–Young and Maclaurin series are widely used for approximating smooth functions around a given point. This study investigates a unified stochastic framework for Taylor-type expansions of functions by means of independent random variables. The proposed probabilistic expansions of a function are able to [...] Read more.
Taylor–Young and Maclaurin series are widely used for approximating smooth functions around a given point. This study investigates a unified stochastic framework for Taylor-type expansions of functions by means of independent random variables. The proposed probabilistic expansions of a function are able to incorporate evaluations of derivatives at different points, leading to a global approach. Exact expansions are obtained for any order of available derivatives, and such Taylor-type expansions enable the statistical inference of the remainder terms. It appears that the traditional Taylor–Young and Maclaurin series are particular cases of the proposed approach thanks to the Dirac probability measure, and guidelines for using Taylor series have been enhanced. Different ways of choosing the optimal distributions of random variables are provided, particularly when truncations are applied. Numerical comparisons are provided as well. Full article
(This article belongs to the Section C: Mathematical Analysis)
Show Figures

Figure 1

23 pages, 4339 KB  
Article
A Stochastic Optimization Model for Electric Freight Operations on Predefined Long-Haul Routes with Partial Recharging and Heterogeneous Fleets
by Kantapong Niyomphon, Warisa Nakkiew, Parida Jewpanya and Wasawat Nakkiew
Smart Cities 2026, 9(2), 35; https://doi.org/10.3390/smartcities9020035 - 17 Feb 2026
Viewed by 175
Abstract
The electrification of long-haul freight transport introduces significant challenges in fleet planning, charging decisions, and reliability management under uncertainty. This study proposed a Stochastic Electric Freight Operations Planning Problem on Predefined Routes with Partial Recharging and Heterogeneous Fleets (SEFOP-PR-HF), to support corridor-based electric [...] Read more.
The electrification of long-haul freight transport introduces significant challenges in fleet planning, charging decisions, and reliability management under uncertainty. This study proposed a Stochastic Electric Freight Operations Planning Problem on Predefined Routes with Partial Recharging and Heterogeneous Fleets (SEFOP-PR-HF), to support corridor-based electric truck operations under uncertain demand. The model represents real-world interregional logistics, where vehicles operate on fixed long-haul routes and may perform partial recharging at fast-charging stations. Freight demand is modeled as a normally distributed random variable, and Chance-Constrained Programming (CCP) is employed to ensure probabilistic feasibility of vehicle capacity and battery constraints. The objective is to minimize total long-term system cost, including fleet acquisition and charging expenditures, while maintaining operational reliability. A Mixed-Integer Linear Programming (MILP) formulation is applied for multiple corridor instances using real heavy-duty electric truck data. Computational results show that incorporating demand uncertainty improves robustness but raises total cost by 6–33% compared to deterministic solutions. Sensitivity analyses further reveal how reliability levels and demand variability influence fleet allocation and charging strategies. Full article
(This article belongs to the Special Issue Cost-Effective Transportation Planning for Smart Cities)
Show Figures

Figure 1

25 pages, 4998 KB  
Article
Pareto-Aware Dual-Preference Optimization for Task-Oriented Dialogue
by Shenghui Bao and Mideth Abisado
Symmetry 2026, 18(2), 372; https://doi.org/10.3390/sym18020372 - 17 Feb 2026
Viewed by 110
Abstract
Task-oriented dialogue systems face a tension between comprehensive constraint elicitation (task adequacy) and conversational efficiency (minimizing turns). Current preference learning frameworks treat preferences as static, unable to capture the dynamic evolution of interaction states that evolve across dialogue progression. We present Dual-DPO, a [...] Read more.
Task-oriented dialogue systems face a tension between comprehensive constraint elicitation (task adequacy) and conversational efficiency (minimizing turns). Current preference learning frameworks treat preferences as static, unable to capture the dynamic evolution of interaction states that evolve across dialogue progression. We present Dual-DPO, a framework that embeds multi-objective preferences into data construction via turn-aware scoring. Our approach decouples objective balancing from policy updates through offline preference scalarization, addressing the optimization instability challenges in online multi-objective reinforcement learning. Experiments on MultiWOZ 2.4 demonstrate 28–35% dialogue turn reduction while maintaining Joint Goal Accuracy > 89% (p<0.001). Pareto frontier analysis shows 94% coverage with hypervolume HV=0.847. Independent expert evaluation by 10 PhD-level researchers (n=300 assessments, inter-rater agreement α=0.78) confirms 32% user satisfaction improvement (p<0.001). Theoretical analysis demonstrates that offline scalarization, which correlates with improved optimization stability, achieves 3.2× lower gradient variance than online multi-reward optimization by eliminating sampling stochasticity. Our approach enables balanced treatment of competing objectives through Pareto-optimal trade-offs. These results highlight a symmetric and balanced treatment of competing objectives within a Pareto-optimal optimization framework. Full article
(This article belongs to the Section Computer)
Show Figures

Figure 1

Back to TopTop