Sign in to use this feature.

Years

Between: -

Subjects

remove_circle_outline
remove_circle_outline
remove_circle_outline
remove_circle_outline
remove_circle_outline
remove_circle_outline
remove_circle_outline

Journals

Article Types

Countries / Regions

Search Results (8)

Search Parameters:
Keywords = Smell Agent Optimization

Order results
Result details
Results per page
Select all
Export citation of selected articles as:
36 pages, 6279 KB  
Article
Eel and Grouper Optimization-Based Fuzzy FOPI-TIDμ-PIDA Controller for Frequency Management of Smart Microgrids Under the Impact of Communication Delays and Cyberattacks
by Kareem M. AboRas, Mohammed Hamdan Alshehri and Ashraf Ibrahim Megahed
Mathematics 2025, 13(13), 2040; https://doi.org/10.3390/math13132040 - 20 Jun 2025
Cited by 2 | Viewed by 1003
Abstract
In a smart microgrid (SMG) system that deals with unpredictable loads and incorporates fluctuating solar and wind energy, it is crucial to have an efficient method for controlling frequency in order to balance the power between generation and load. In the last decade, [...] Read more.
In a smart microgrid (SMG) system that deals with unpredictable loads and incorporates fluctuating solar and wind energy, it is crucial to have an efficient method for controlling frequency in order to balance the power between generation and load. In the last decade, cyberattacks have become a growing menace, and SMG systems are commonly targeted by such attacks. This study proposes a framework for the frequency management of an SMG system using an innovative combination of a smart controller (i.e., the Fuzzy Logic Controller (FLC)) with three conventional cascaded controllers, including Fractional-Order PI (FOPI), Tilt Integral Fractional Derivative (TIDμ), and Proportional Integral Derivative Acceleration (PIDA). The recently released Eel and Grouper Optimization (EGO) algorithm is used to fine-tune the parameters of the proposed controller. This algorithm was inspired by how eels and groupers work together and find food in marine ecosystems. The Integral Time Squared Error (ITSE) of the frequency fluctuation (ΔF) around the nominal value is used as an objective function for the optimization process. A diesel engine generator (DEG), renewable sources such as wind turbine generators (WTGs), solar photovoltaics (PVs), and storage components such as flywheel energy storage systems (FESSs) and battery energy storage systems (BESSs) are all included in the SMG system. Additionally, electric vehicles (EVs) are also installed. In the beginning, the supremacy of the adopted EGO over the Gradient-Based Optimizer (GBO) and the Smell Agent Optimizer (SAO) can be witnessed by taking into consideration the optimization process of the recommended regulator’s parameters, in addition to the optimum design of the membership functions of the fuzzy logic controller by each of these distinct algorithms. The subsequent phase showcases the superiority of the proposed EGO-based FFOPI-TIDμ-PIDA structure compared to EGO-based conventional structures like PID and EGO-based intelligent structures such as Fuzzy PID (FPID) and Fuzzy PD-(1 + PI) (FPD-(1 + PI)); this is across diverse symmetry operating conditions and in the presence of various cyberattacks that result in a denial of service (DoS) and signal transmission delays. Based on the simulation results from the MATLAB/Simulink R2024b environment, the presented control methodology improves the dynamics of the SMG system by about 99.6% when compared to the other three control methodologies. The fitness function dropped to 0.00069 for the FFOPI-TIDμ-PIDA controller, which is about 200 times lower than the other controllers that were compared. Full article
(This article belongs to the Special Issue Mathematical Methods Applied in Power Systems, 2nd Edition)
Show Figures

Figure 1

24 pages, 2110 KB  
Article
Optimizing Hybrid Renewable Energy Systems for Isolated Applications: A Modified Smell Agent Approach
by Manal Drici, Mourad Houabes, Ahmed Tijani Salawudeen and Mebarek Bahri
Eng 2025, 6(6), 120; https://doi.org/10.3390/eng6060120 - 1 Jun 2025
Cited by 1 | Viewed by 1803
Abstract
This paper presents the optimal sizing of a hybrid renewable energy system (HRES) for an isolated residential building using modified smell agent optimization (mSAO). The paper introduces a time-dependent approach that adapts the selection of the original SAO control parameters as the algorithm [...] Read more.
This paper presents the optimal sizing of a hybrid renewable energy system (HRES) for an isolated residential building using modified smell agent optimization (mSAO). The paper introduces a time-dependent approach that adapts the selection of the original SAO control parameters as the algorithm progresses through the optimization hyperspace. This modification addresses issues of poor convergence and suboptimal search in the original algorithm. Both the modified and standard algorithms were employed to design an HRES system comprising photovoltaic panels, wind turbines, fuel cells, batteries, and hydrogen storage, all connected via a DC-bus microgrid. The components were integrated with the microgrid using DC-DC power converters and supplied a designated load through a DC-AC inverter. Multiple operational scenarios and multi-objective criteria, including techno-economic metrics such as levelized cost of energy (LCOE) and loss of power supply probability (LPSP), were evaluated. Comparative analysis demonstrated that mSAO outperforms the standard SAO and the honey badger algorithm (HBA) used for the purpose of comparison only. Our simulation results highlighted that the PV–wind turbine–battery system achieved the best economic performance. In this case, the mSAO reduced the LPSP by approximately 38.89% and 87.50% over SAO and the HBA, respectively. Similarly, the mSAO also recorded LCOE performance superiority of 4.05% and 28.44% over SAO and the HBA, respectively. These results underscore the superiority of the mSAO in solving optimization problems. Full article
Show Figures

Figure 1

33 pages, 981 KB  
Article
Parallel Smell Agent Optimization (SAO): Collaborative Subpopulations for Accelerated Convergence
by Glykeria Kyrou, Ioannis G. Tsoulos, Anna Maria Gianni and Vasileios Charilogis
Symmetry 2025, 17(4), 592; https://doi.org/10.3390/sym17040592 - 13 Apr 2025
Cited by 1 | Viewed by 886
Abstract
In the dynamically evolving field of collective computational optimization, modern approaches increasingly incorporate bio-inspired techniques, such as Smell Agent Optimization (SAO), to address complex, high-dimensional problems inherent to contemporary scientific and industrial applications. While these methods are distinguished by their dynamic convergence and [...] Read more.
In the dynamically evolving field of collective computational optimization, modern approaches increasingly incorporate bio-inspired techniques, such as Smell Agent Optimization (SAO), to address complex, high-dimensional problems inherent to contemporary scientific and industrial applications. While these methods are distinguished by their dynamic convergence and heuristic ability to explore vast solution spaces, their growing computational complexity hinders their application in real-world, large-scale scenarios where simultaneous speed and precision are critical. To overcome this challenge, the present research advances a pioneering parallel implementation of SAO, which transcends simple workload distribution by integrating dynamic collaboration mechanisms and intelligent information dispersal among autonomous subpopulations. Concurrently, the method is enriched with innovative rules for exchanging optimal solutions between subpopulations. These rules not only prevent premature convergence to local minima but also establish a continuous flow of information that accelerates the global exploration of the solution space. Experimental validation of the proposed method demonstrated that, through optimized parameterization of the diffusion mechanisms, SAO’s efficiency can exceed 50%, achieving simultaneous reductions in both the number of objective function evaluations and total execution time. This outcome holds particular significance in high-dimensional problems, where balancing computational cost and accuracy is a decisive factor. These findings not only underscore the potential of parallel SAO to deliver sustainable solutions to real-world challenges but also open new horizons in the theory and practice of collective optimization. The implications extend to domains such as large-scale data analysis, autonomous systems, and adaptive resource management, where rapid and precise optimization is paramount. Full article
(This article belongs to the Special Issue The Fusion of Fuzzy Sets and Optimization Using Symmetry)
Show Figures

Figure 1

14 pages, 406 KB  
Article
A Particle Swarm and Smell Agent-Based Hybrid Algorithm for Enhanced Optimization
by Abdullahi T. Sulaiman, Habeeb Bello-Salau, Adeiza J. Onumanyi, Muhammed B. Mu’azu, Emmanuel A. Adedokun, Ahmed T. Salawudeen and Abdulfatai D. Adekale
Algorithms 2024, 17(2), 53; https://doi.org/10.3390/a17020053 - 23 Jan 2024
Cited by 13 | Viewed by 2951
Abstract
The particle swarm optimization (PSO) algorithm is widely used for optimization purposes across various domains, such as in precision agriculture, vehicular ad hoc networks, path planning, and for the assessment of mathematical test functions towards benchmarking different optimization algorithms. However, because of the [...] Read more.
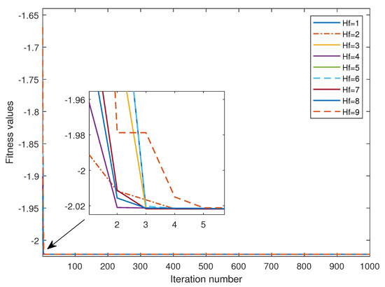
The particle swarm optimization (PSO) algorithm is widely used for optimization purposes across various domains, such as in precision agriculture, vehicular ad hoc networks, path planning, and for the assessment of mathematical test functions towards benchmarking different optimization algorithms. However, because of the inherent limitations in the velocity update mechanism of the algorithm, PSO often converges to suboptimal solutions. Thus, this paper aims to enhance the convergence rate and accuracy of the PSO algorithm by introducing a modified variant, which is based on a hybrid of the PSO and the smell agent optimization (SAO), termed the PSO-SAO algorithm. Our specific objective involves the incorporation of the trailing mode of the SAO algorithm into the PSO framework, with the goal of effectively regulating the velocity updates of the original PSO, thus improving its overall performance. By using the trailing mode, agents are continuously introduced to track molecules with higher concentrations, thus guiding the PSO’s particles towards optimal fitness locations. We evaluated the performance of the PSO-SAO, PSO, and SAO algorithms using a set of 37 benchmark functions categorized into unimodal and non-separable (UN), multimodal and non-separable (MS), and unimodal and separable (US) classes. The PSO-SAO achieved better convergence towards global solutions, performing better than the original PSO in 76% of the assessed functions. Specifically, it achieved a faster convergence rate and achieved a maximum fitness value of −2.02180678324 when tested on the Adjiman test function at a hopping frequency of 9. Consequently, these results underscore the potential of PSO-SAO for solving engineering problems effectively, such as in vehicle routing, network design, and energy system optimization. These findings serve as an initial stride towards the formulation of a robust hyperparameter tuning strategy applicable to supervised machine learning and deep learning models, particularly in the domains of natural language processing and path-loss modeling. Full article
Show Figures

Figure 1

21 pages, 3060 KB  
Article
Palatability and Stability Studies to Optimize a Carvedilol Oral Liquid Formulation for Pediatric Use
by Blanca Chiclana-Rodríguez, Encarnacion Garcia-Montoya, Miquel Romero-Obon, Khadija Rouaz-El-Hajoui, Anna Nardi-Ricart, Marc Suñé-Pou, Josep M. Suñé-Negre and Pilar Pérez-Lozano
Pharmaceutics 2024, 16(1), 30; https://doi.org/10.3390/pharmaceutics16010030 - 25 Dec 2023
Cited by 8 | Viewed by 5782
Abstract
Carvedilol (CARV) is a blocker of α- and β- adrenergic receptors, used as an “off-label” treatment for cardiovascular diseases in pediatrics. Currently, there is no marketed pediatric-appropriate CARV liquid formulation, so its development is necessary. Palatability (appreciation of smell, taste, and aftertaste) is [...] Read more.
Carvedilol (CARV) is a blocker of α- and β- adrenergic receptors, used as an “off-label” treatment for cardiovascular diseases in pediatrics. Currently, there is no marketed pediatric-appropriate CARV liquid formulation, so its development is necessary. Palatability (appreciation of smell, taste, and aftertaste) is a key aspect to be considered during the development of pediatric formulations since only formulations with good palatability also have adequate acceptability in this population. Consequently, the aim of this research was to assess the palatability and acceptability of different CARV formulations using an in vivo taste assessment (ID Number PR103/22) in order to select the highest palatability-rated CARV formulation. The preparation of CARV formulations was based on a reference 1 mg/mL CARV solution, which contains malic acid as a solubilizing agent. Subsequently, sucralose and flavoring agents were added and mixed until complete dissolution to the corresponding formulations. Adult volunteers participated in this study and evaluated the taste and odor of various CARV formulations through a questionnaire and a sensory test. The mean palatability score, measured on a 10-point scale, increased from 1.60 for the unflavored control to 7.65 for the highest-rated flavored formulation. Moreover, the bitterness of the optimized CARV formulation was reduced from 66.67% to 17.86%, and the taste pleasantness was increased from 25/100 to 73/100. This optimized CARV formulation contains a sweetening agent, sucralose, in addition to two flavoring agents at appropriate concentrations for pediatrics. Furthermore, the physicochemical and microbiological stability of the optimized CARV formulation were evaluated for 6 months at 25, 30, and 40 °C, in addition to in-use stability for 15 days at 25 °C, whose results were confirmed. Thus, we successfully developed a palatable CARV liquid solution that contains excipients appropriate for pediatrics and is stable under the studied conditions. Full article
(This article belongs to the Special Issue Advanced Pediatric Drug Formulation Strategies)
Show Figures

Graphical abstract

25 pages, 10544 KB  
Article
Frequency Stabilization in an Interconnected Micro-Grid Using Smell Agent Optimization Algorithm-Tuned Classical Controllers Considering Electric Vehicles and Wind Turbines
by Shreya Vishnoi, Srete Nikolovski, More Raju, Mukesh Kumar Kirar, Ankur Singh Rana and Pawan Kumar
Energies 2023, 16(6), 2913; https://doi.org/10.3390/en16062913 - 22 Mar 2023
Cited by 17 | Viewed by 2542
Abstract
In micro-grids (MGs), renewable energy resources (RESs) supply a major portion of the consumer demand. The intermittent nature of these RESs and the stochastic characteristics of the loads cause a frequency stabilization issue in MGs. Owing to this, in the present manuscript, the [...] Read more.
In micro-grids (MGs), renewable energy resources (RESs) supply a major portion of the consumer demand. The intermittent nature of these RESs and the stochastic characteristics of the loads cause a frequency stabilization issue in MGs. Owing to this, in the present manuscript, the authors try to uncover the frequency stabilization/regulation issue (FRI) in a two-area MG system comprising wind turbines (WTs), an aqua-electrolyzer, a fuel cell, a bio-gas plant, a bio-diesel plant, diesel generation (DG), ship DG, electric vehicles and their energy storage devices, flywheels, and batteries in each control area. With these sources, the assessment of the FRI is carried out using different classical controllers, namely, the integral (I), proportional plus I (PI), and PI plus derivative (PID) controllers. The gain values of these I, PI, and PID controllers are tuned using the recently proposed smell agent optimization (SAO) algorithm. The simulation studies reveal the outstanding performance of the later controller compared with the former ones in view of the minimum settling period and peak amplitude deviations (overshoots and undershoots). The SAO algorithm shows superior convergence behavior when tested against particle swarm optimization and the firefly algorithm. The SAO-PID controller effectively performs in continuously changing and increased demand situations. The SAO-PID controller designed in nominal conditions was found to be insensitive to wide deviations in load demands and WT time constants. Full article
(This article belongs to the Special Issue Smart Grids: Operation, Planning, and Management II)
Show Figures

Figure 1

20 pages, 774 KB  
Article
Odor-Reduced HDPE-Lignin Blends by Use of Processing Additives
by Bianca Lok, Gunnar Mueller, Andrea Buettner, Melanie Bartel and Jens Erdmann
Polymers 2022, 14(13), 2660; https://doi.org/10.3390/polym14132660 - 29 Jun 2022
Cited by 2 | Viewed by 4176
Abstract
The comprehensive use of natural polymers, such as lignin, can accelerate the replacement of mineral oil-based commodities. Promoting the material recovery of the still underutilized technical lignin, polyolefin-lignin blends are a highly promising approach towards sustainable polymeric materials. However, a limiting factor for [...] Read more.
The comprehensive use of natural polymers, such as lignin, can accelerate the replacement of mineral oil-based commodities. Promoting the material recovery of the still underutilized technical lignin, polyolefin-lignin blends are a highly promising approach towards sustainable polymeric materials. However, a limiting factor for high-quality applications is the unpleasant odor of technical lignin and resulting blends. The latter, especially, are a target for potential odor reduction, since heat- and shear-force intense processing can intensify the smell. In the present study, the odor optimization of kraft and soda HDPE-lignin blends was implemented by the in-process application of two different processing additives–5% of activated carbon and 0.7% of a stripping agent. Both additives were added directly within the compounding process executed with a twin screw extruder. The odor properties of the produced blends were assessed systematically by a trained human panel performing sensory evaluations of the odor characteristics. Subsequently, causative odor-active molecules were elucidated by means of GC-O and 2D-GC-MS/O while OEDA gave insights into relative odor potencies of single odorants. Out of 70 different odorants detected in the entirety of the sample material, more than 30 sulfur-containing odorants were present in the kraft HDPE-lignin blend, most of them neo-formed due to high melt temperatures during extrusion, leading to strong burnt and sulfurous smells. The addition of activated carbon significantly decreased especially these sulfurous compounds, resulting in 48% of overall odor reduction of the kraft blend (mean intensity ratings of 5.2) in comparison to the untreated blend (10.0). The applied stripping agent, an aqueous solution of polymeric, surface-active substances adsorbed onto a PP carrier, was less powerful in reducing neo-formed sulfur odorants, but led to a decrease in odor of 26% in the case of the soda HDPE-lignin blend (7.4). The identification of single odorants on a molecular level further enabled the elucidation of odor reduction trends within single compound classes. The obtained odor reduction strategies not only promote the deodorization of HDPE-lignin blends, but might be additionally helpful for the odor optimization of other natural-fiber based materials. Full article
(This article belongs to the Special Issue Biobased and Biodegradable Polymer Blends and Composites)
Show Figures

Figure 1

16 pages, 1643 KB  
Article
Ulva intestinalis Extract Acts as Biostimulant and Modulates Metabolites and Hormone Balance in Basil (Ocimum basilicum L.) and Parsley (Petroselinum crispum L.)
by Roberta Paulert, Roberta Ascrizzi, Silvia Malatesta, Paolo Berni, Miguel Daniel Noseda, Mariana Mazetto de Carvalho, Ilaria Marchioni, Luisa Pistelli, Maria Eugênia Rabello Duarte, Lorenzo Mariotti and Laura Pistelli
Plants 2021, 10(7), 1391; https://doi.org/10.3390/plants10071391 - 7 Jul 2021
Cited by 30 | Viewed by 5502
Abstract
Natural elicitors from macroalgae may affect plant secondary metabolites. Ulvan is a sulfated heteropolysaccharide extracted from green seaweed, acting as both a plant biotic protecting agent, and a plant elicitor, leading to the synthesis of signal molecules. In this work, the aqueous extract [...] Read more.
Natural elicitors from macroalgae may affect plant secondary metabolites. Ulvan is a sulfated heteropolysaccharide extracted from green seaweed, acting as both a plant biotic protecting agent, and a plant elicitor, leading to the synthesis of signal molecules. In this work, the aqueous extract of Ulva intestinalis L., mainly composed of ulvan, was used as foliar-spraying treatment and its eliciting effect was investigated in basil (Ocimum basilicum L.) and parsley (Petroselinum crispum L.). Antioxidant metabolites (polyphenols and carotenoids), volatile compounds (both in headspace emissions and hydrodistilled essential oils), and hormones (jasmonic acid, salicylic acid, salicylic acid 2-O-β-D-glucoside, abscisic acid, and azelaic acid) were quantified. The foliar-spraying treatment with U. intestinalis extract increased salicylic acid and its β-glucoside in parsley; in basil, it induced the accumulation of jasmonic and abscisic acids, indicating the presence of a priming effect. In basil, the elicitation caused a change of the essential oil (EO) chemotype from methyl eugenol/eugenol to epi-α-cadinol and increased sesquiterpenes. In parsley EO it caused a significant accumulation of 1,3,8-p-menthatriene, responsible of the typical “parsley-like” smell. In both species, the phenylpropanoids decreased in headspace and EO compositions, while the salicylic acid concentration increased; this could indicate a primarily defensive response to U. intestinalis extract. Due to the evidenced significant biological activity, U. intestinalis extract used as an elicitor may represent a suitable tool to obtain higher amounts of metabolites for optimizing plant flavor metabolites. Full article
(This article belongs to the Special Issue Biofertilization, Biocontrol and Bioprotection of Crops)
Show Figures

Figure 1

Back to TopTop