Sign in to use this feature.

Years

Between: -

Subjects

remove_circle_outline
remove_circle_outline
remove_circle_outline
remove_circle_outline
remove_circle_outline

Journals

Article Types

Countries / Regions

Search Results (10)

Search Parameters:
Keywords = Siberian elm

Order results
Result details
Results per page
Select all
Export citation of selected articles as:
18 pages, 3334 KB  
Article
The Growth and Non-Structural Carbohydrate Response Patterns of Siberian Elm (Ulmus pumila) under Salt Stress with Different Intensities and Durations
by Peipei Jiang, Cheng Yang, Xuejie Zhang, Boqiang Tong, Xiaoman Xie, Xianzhong Li and Shoujin Fan
Forests 2024, 15(6), 1004; https://doi.org/10.3390/f15061004 - 7 Jun 2024
Cited by 2 | Viewed by 1734
Abstract
(1) Background: Soil salinity is one of the major abiotic stresses that limits plant growth and production. However, the response patterns of plant growth and carbon metabolism to salt stress are still unclear. (2) Methods: We measured the relative growth rate, non-structural carbohydrate [...] Read more.
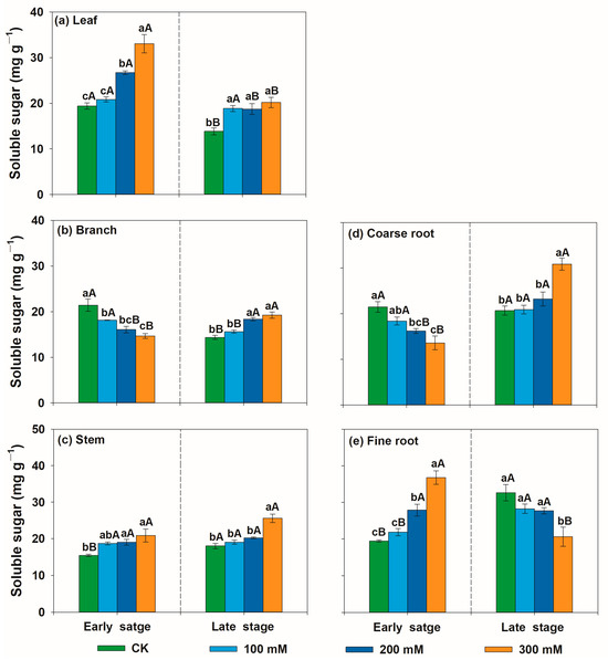
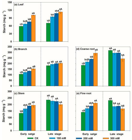
(1) Background: Soil salinity is one of the major abiotic stresses that limits plant growth and production. However, the response patterns of plant growth and carbon metabolism to salt stress are still unclear. (2) Methods: We measured the relative growth rate, non-structural carbohydrate (NSC) concentrations and pool size across organs, the leaf mass area (LMA), root-to-shoot ratio, midday leaf water potential (Ψmd), and photosynthetic characteristics of elm seedlings planted in the field under different salt stress intensities and durations. (3) Results: Salt stress can reduce the photosynthesis rate, stomatal conductance, and Ψmd and inhibit the growth of elm species. LMA increased with the degree and duration of salt stress, indicating an increase in leaf carbon investment to resist salt stress. The root-to-shoot ratio decreased under salt stress to reduce salt absorption by the roots. In the early stage of stress, the concentrations of starch and total NSCs in all organs increased to improve stress resistance and the survival of plants. In the late stage of stress, the concentration of NSCs in the root decreased, which could restrict root growth and water uptake. The relationships between NSC concentration and growth in different organs were contrasting. Meanwhile, the pool size of NSCs had a more significant impact on growth than their concentration. Moreover, the pool size of NSCs in below-ground organs is more closely related to growth than that of above-ground organs. (4) Conclusions: Our research elucidates the carbon allocation mechanism across organs under different salt stress intensities and durations, providing theoretical support for understanding the relationship between tree growth and carbon storage under salt stress. Full article
(This article belongs to the Section Forest Ecophysiology and Biology)
Show Figures

Figure 1

23 pages, 6421 KB  
Article
Comprehensive Time-Course Transcriptome Reveals the Crucial Biological Pathways Involved in the Seasonal Branch Growth in Siberian Elm (Ulmus pumila)
by Luo-Yan Zhang, Cheng Yang, Zhi-Cheng Wu, Xue-Jie Zhang and Shou-Jin Fan
Int. J. Mol. Sci. 2023, 24(19), 14976; https://doi.org/10.3390/ijms241914976 - 7 Oct 2023
Cited by 4 | Viewed by 2268
Abstract
Timber, the most prevalent organic material on this planet, is the result of a secondary xylem emerging from vascular cambium. Yet, the intricate processes governing its seasonal generation are largely a mystery. To better understand the cyclic growth of vascular tissues in elm, [...] Read more.
Timber, the most prevalent organic material on this planet, is the result of a secondary xylem emerging from vascular cambium. Yet, the intricate processes governing its seasonal generation are largely a mystery. To better understand the cyclic growth of vascular tissues in elm, we undertook an extensive study examining the anatomy, physiology, and genetic expressions in Ulmus pumila. We chose three robust 15-year-old elm trees for our study. The cultivars used in this study were collected from the Inner Mongolia Autonomous Region in China and nurtured in the tree farm of Shandong Normal University. Monthly samples of 2-year-old elm branches were taken from the tree from February to September. Marked seasonal shifts in elm branch vascular tissues were observed by phenotypic observation: In February, the cambium of the branch emerged from dormancy, spurring growth. By May, elms began generating secondary xylem, or latewood, recognized by its tiny pores and dense cell structure. From June to August, there was a marked increase in the thickness of the secondary xylem. Transcriptome sequencing provides a potential molecular mechanism for the thickening of elm branches and their response to stress. In February, the tree enhanced its genetic responses to cold and drought stress. The amplified expression of CDKB, CYCB, WOX4, and ARF5 in the months of February and March reinforced their essential role in the development of the vascular cambium in elm. Starting in May, the elm deployed carbohydrates as a carbon resource to synthesize the abundant cellulose and lignin necessary for the formation of the secondary wall. Major genes participating in cellulose (SUC and CESA homologs), xylan (UGD, UXS, IRX9, IRX10, and IRX14), and lignin (PAL, C4H, 4CL, HCT, C3H, COMT, and CAD) biosynthetic pathways for secondary wall formation were up-regulated by May or/and June. In conclusion, our findings provided a foundation for an in-depth exploration of the molecular processes dictating the seasonal growth of elm timber. Full article
(This article belongs to the Special Issue Advances in Forest Tree Physiology, Breeding and Genetic Research)
Show Figures

Figure 1

18 pages, 4011 KB  
Article
Nondestructive Techniques for Determination of Wood Mechanical Properties of Urban Trees in Madrid
by Gabriel H. Virgen-Cobos, Guadalupe Olvera-Licona, Eva Hermoso and Miguel Esteban
Forests 2022, 13(9), 1381; https://doi.org/10.3390/f13091381 - 29 Aug 2022
Cited by 8 | Viewed by 3998
Abstract
The aim of this paper is to analyze the mechanical properties of Robinia pseudoacacia L. (black locust), Platanus × hybrida Brot. (London plane), Ulmus pumila L. (Siberian elm), and Populus alba L. (white poplar), estimated using ultrasound wave equipment (USLab y Sylvatest Duo) [...] Read more.
The aim of this paper is to analyze the mechanical properties of Robinia pseudoacacia L. (black locust), Platanus × hybrida Brot. (London plane), Ulmus pumila L. (Siberian elm), and Populus alba L. (white poplar), estimated using ultrasound wave equipment (USLab y Sylvatest Duo) and impact wave equipment (Microsecond Timer) on standing trees, felled logs and on specimens obtained from different parts of the trees. Bending strength, axial compression strength and tension parallel to grain were determined for each specimen, in order to subsequently correlate the strength and stiffness with the acoustic properties determined in the standing tree. For the relationship between the static modulus of elasticity of the specimens and the dynamic modulus of elasticity determined in standing trees using the USLab, coefficients of determination were found to be between 0.30–0.92, between 0.52 and 0.80 using the Sylvatest Duo and between 0.60 and 0.94 with the Microsecond Timer. It would be necessary to determine whether the removal of bark for the correct coupling of the ultrasonic sensors would provide an entry route for pests or diseases that could affect the health of the tree. Full article
(This article belongs to the Special Issue Novel Insights into the Assessment of Wood Properties)
Show Figures

Figure 1

23 pages, 2524 KB  
Article
Yield Performance of Woody Crops on Marginal Agricultural Land in Latvia, Spain and Ukraine
by Santa Celma, Marina Sanz, Pilar Ciria, Oksana Maliarenko, Oleh Prysiazhniuk, Mudrite Daugaviete, Dagnija Lazdina and Moritz von Cossel
Agronomy 2022, 12(4), 908; https://doi.org/10.3390/agronomy12040908 - 9 Apr 2022
Cited by 10 | Viewed by 4282
Abstract
Agricultural land abandonment due to biophysical and socioeconomic constraints is increasing across Europe. Meanwhile there is also an increase in bioenergy demand. This study assessed woody crop performance on several relevant types of marginal agricultural land in Europe, based on field experiments in [...] Read more.
Agricultural land abandonment due to biophysical and socioeconomic constraints is increasing across Europe. Meanwhile there is also an increase in bioenergy demand. This study assessed woody crop performance on several relevant types of marginal agricultural land in Europe, based on field experiments in Latvia, Spain and Ukraine. In Latvia, hybrid aspen was more productive than birch and alder species, and after eight years produced 4.8 Mg ha−1 y−1 on stony soil with sandy loam texture, when best clone and treatment combination was selected. In Spain, Siberian elm produced up to 7.1 Mg ha−1 y−1 on stony, sandy soil with low organic carbon content after three triennial rotations. In Ukraine, willow plantations produced a maximum of 10.8 Mg ha−1 y−1 on a soil with low soil organic carbon after second triennial rotation. The productivity was higher when management practices were optimized specifically to address the limiting factors of a site. Longer rotations and lower biomass yields compared to high-value land can be expected when woody crops are grown on similar marginal agricultural land shown in this study. Future studies should start here and investigate to what extent woody crops can contribute to rural development under these conditions. Full article
(This article belongs to the Special Issue Social-Ecologically More Sustainable Agricultural Production)
Show Figures

Figure 1

39 pages, 2297 KB  
Review
A Critical Review on Lignocellulosic Biomass Yield Modeling and the Bioenergy Potential from Marginal Land
by Jan Haberzettl, Pia Hilgert and Moritz von Cossel
Agronomy 2021, 11(12), 2397; https://doi.org/10.3390/agronomy11122397 - 25 Nov 2021
Cited by 32 | Viewed by 6026
Abstract
Lignocellulosic biomass from marginal land is needed for a social–ecologically sustainable bioeconomy transition. However, how much biomass can be expected? This study addresses this question by reviewing the limitations of current biomass yield modeling for lignocellulosic crops on marginal land and deriving recommendations [...] Read more.
Lignocellulosic biomass from marginal land is needed for a social–ecologically sustainable bioeconomy transition. However, how much biomass can be expected? This study addresses this question by reviewing the limitations of current biomass yield modeling for lignocellulosic crops on marginal land and deriving recommendations to overcome these limitations. It was found that on the input side of biomass yield models, geographically limited research and the lack of universally understood definitions impose challenges on data collection. The unrecognized complexity of marginal land, the use of generic crop growth models together with data from small-scale field trials and limited resolution further reduce the comparability of modeling results. On the output side of yield models, the resistance of modeled yields to future variations is highly limited by the missing incorporation of the risk of land use changes and climatic change. Moreover, several limitations come with the translation of modeled yields into bioenergy yields: the non-specification of conversion factors, a lack of conversion capacities, feedstock yield–quality tradeoffs, as well as slow progress in breeding and the difficulty of sustainability criteria integration into models. Intensified political support and enhancement of research on a broad range of issues might increase the consistency of future yield modeling. Full article
(This article belongs to the Special Issue Social-Ecologically More Sustainable Agricultural Production)
Show Figures

Figure 1

28 pages, 3043 KB  
Article
Biomass Yield and Economic, Energy and Carbon Balances of Ulmus pumila L., Robinia pseudoacacia L. and Populus × euroamericana (Dode) Guinier Short-Rotation Coppices on Degraded Lands under Mediterranean Climate
by Silvia Patricia Alesso, Raúl Tapias, Joaquín Alaejos and Manuel Fernández
Forests 2021, 12(10), 1337; https://doi.org/10.3390/f12101337 - 29 Sep 2021
Cited by 9 | Viewed by 3717
Abstract
The steadily increasing demand for energy and concerns about climate change have prompted countries to promote the use of renewable energy sources, including lignocellulosic biomass. In this context, this work aims to assess the biomass production for energy purposes in crops with short [...] Read more.
The steadily increasing demand for energy and concerns about climate change have prompted countries to promote the use of renewable energy sources, including lignocellulosic biomass. In this context, this work aims to assess the biomass production for energy purposes in crops with short rotation, as well as its effect on soil properties. Deciduous tree species were used, mainly Siberian elm (Ulmus pumila L.), black locust (Robinia pseudoacacia L.) and a hybrid poplar clone (Populus × euroamericana (Dode) Guinier, clone ‘AF2’). Four field trials were implemented, under two different types of Mediterranean climate, where highly productive taxa were tested, in addition to the mixed planting of a nitrogen-fixing species with a non-fixing one. Short-rotation coppices (SRCs) of these taxa yield about 12–14 t ha−1 year−1 of high-quality dry woody biomass, when fertilizers and irrigation water are supplied; generate 205–237 GJ ha−1 year−1 net and earnings of about EUR 1.5 per EUR 1 invested; and sequester into the soil 0.36–0.83 t ha−1 year−1 of C and 57 kg ha−1 year−1 of N. Therefore, these species raised as SRCs could improve degraded soils if the crop is properly managed, resulting in favorable economic, energy and CO2 emission balances. The use of mixed plantations can bring economic and environmental gains, and the biomass transformation into high-quality chips or pellets gives it added value. Full article
Show Figures

Figure 1

17 pages, 3145 KB  
Article
Planting Density Effects on Grow Rate, Biometric Parameters, and Biomass Calorific Value of Selected Trees Cultivated as SRC
by Adam Kleofas Berbeć and Mariusz Matyka
Agriculture 2020, 10(12), 583; https://doi.org/10.3390/agriculture10120583 - 26 Nov 2020
Cited by 12 | Viewed by 4733
Abstract
Agricultural land is mostly devoted to food production. Production of biomass is limited, as it competes for land with basic food production. To reduce land loss for growing food, biomass can be grown on marginal lands that are not usable for food production. [...] Read more.
Agricultural land is mostly devoted to food production. Production of biomass is limited, as it competes for land with basic food production. To reduce land loss for growing food, biomass can be grown on marginal lands that are not usable for food production. The density of plantings have to be optimized to maximize yield potential. The presented study compares yield parameters end energy potential of six species of biomass plants (poplar, Siberian elm, black alder, white birch, boxelder maple, silver maple) cultivated in 18 planting densities from 3448 to 51,282 plants per hectare as short rotation coppice (SRC). Biomass yield parameters depended on both cultivated species and planting density. Green mass, dry mass, and shoot diameter was dropping with the increasing planting density for most tested species. Calculated yield of dry mass was dropping with increasing planting density for black alder, increasing for Siberian elm and boxelder maple. White birch and silver maple yields were optimal at moderate planting densities (25,000–30,000). White birch and boxelder maple had the highest average higher heating value (HHV). The optimal density of plantings should be chosen to best suit both the needs of cultivated species and to optimize the most important parameters of produced biomass. Full article
Show Figures

Figure 1

18 pages, 8454 KB  
Article
Response of Four Tree Species to Changing Climate in a Moisture-Limited Area of South Siberia
by Elena A. Babushkina, Dina F. Zhirnova, Liliana V. Belokopytova, Ivan I. Tychkov, Eugene A. Vaganov and Konstantin V. Krutovsky
Forests 2019, 10(11), 999; https://doi.org/10.3390/f10110999 - 8 Nov 2019
Cited by 32 | Viewed by 4663
Abstract
The response of vegetation to climate change is of special interest in regions where rapid warming is coupled with moisture deficit. This raises the question of the limits in plants’ acclimation ability and the consequent shifts of the vegetation cover. Radial growth dynamics [...] Read more.
The response of vegetation to climate change is of special interest in regions where rapid warming is coupled with moisture deficit. This raises the question of the limits in plants’ acclimation ability and the consequent shifts of the vegetation cover. Radial growth dynamics and climatic response were studied in Scots pine (Pinus sylvestris L.), Siberian larch (Larix sibirica Ledeb.), and silver birch (Betula pendula Roth.) in the forest-steppe, and for Siberian elm (Ulmus pumila L.) in the steppe of South Siberia, as indicators of vegetation state and dynamics. Climate–growth relationships were analyzed by the following two approaches: (1) correlations between tree-ring width chronologies and short-term moving climatic series, and (2) optimization of the parameters of the Vaganov–Shashkin tree growth simulation model to assess the ecophysiological characteristics of species. Regional warming was accompanied by a slower increase of the average moisture deficit, but not in the severity of droughts. In the forest-steppe, the trees demonstrated stable growth and responded to the May–July climate. In the steppe, elm was limited by moisture deficit in May–beginning of June, during the peak water deficit. The forest-steppe stands were apparently acclimated successfully to the current climatic trends. It seems that elm was able to counter the water deficit, likely through its capacity to regulate transpiration by the stomatal morphology and xylem structure, using most of the stem as a water reservoir; earlier onset; and high growth rate, and these physiological traits may provide advantages to this species, leading to its expansion in steppes. Full article
(This article belongs to the Special Issue Radial Tree-Ring Traits Variation in Relation to Climate Factors)
Show Figures

Figure 1

25 pages, 3132 KB  
Article
Marginal Agricultural Land Low-Input Systems for Biomass Production
by Moritz Von Cossel, Iris Lewandowski, Berien Elbersen, Igor Staritsky, Michiel Van Eupen, Yasir Iqbal, Stefan Mantel, Danilo Scordia, Giorgio Testa, Salvatore Luciano Cosentino, Oksana Maliarenko, Ioannis Eleftheriadis, Federica Zanetti, Andrea Monti, Dagnija Lazdina, Santa Neimane, Isabelle Lamy, Lisa Ciadamidaro, Marina Sanz, Juan Esteban Carrasco, Pilar Ciria, Ian McCallum, Luisa M. Trindade, Eibertus N. Van Loo, Wolter Elbersen, Ana Luisa Fernando, Eleni G. Papazoglou and Efthymia Alexopoulouadd Show full author list remove Hide full author list
Energies 2019, 12(16), 3123; https://doi.org/10.3390/en12163123 - 14 Aug 2019
Cited by 181 | Viewed by 13119
Abstract
This study deals with approaches for a social-ecological friendly European bioeconomy based on biomass from industrial crops cultivated on marginal agricultural land. The selected crops to be investigated are: Biomass sorghum, camelina, cardoon, castor, crambe, Ethiopian mustard, giant reed, hemp, lupin, miscanthus, pennycress, [...] Read more.
This study deals with approaches for a social-ecological friendly European bioeconomy based on biomass from industrial crops cultivated on marginal agricultural land. The selected crops to be investigated are: Biomass sorghum, camelina, cardoon, castor, crambe, Ethiopian mustard, giant reed, hemp, lupin, miscanthus, pennycress, poplar, reed canary grass, safflower, Siberian elm, switchgrass, tall wheatgrass, wild sugarcane, and willow. The research question focused on the overall crop growth suitability under low-input management. The study assessed: (i) How the growth suitability of industrial crops can be defined under the given natural constraints of European marginal agricultural lands; and (ii) which agricultural practices are required for marginal agricultural land low-input systems (MALLIS). For the growth-suitability analysis, available thresholds and growth requirements of the selected industrial crops were defined. The marginal agricultural land was categorized according to the agro-ecological zone (AEZ) concept in combination with the marginality constraints, so-called ‘marginal agro-ecological zones’ (M-AEZ). It was found that both large marginal agricultural areas and numerous agricultural practices are available for industrial crop cultivation on European marginal agricultural lands. These results help to further describe the suitability of industrial crops for the development of social-ecologically friendly MALLIS in Europe. Full article
Show Figures

Figure 1

19 pages, 4018 KB  
Article
Morphological Characteristics and Water-Use Efficiency of Siberian Elm Trees (Ulmus pumila L.) within Arid Regions of Northeast Asia
by Go Eun Park, Don Koo Lee, Ki Woo Kim, Nyam-Osor Batkhuu, Jamsran Tsogtbaatar, Jiao-Jun Zhu, Yonghuan Jin, Pil Sun Park, Jung Oh Hyun and Hyun Seok Kim
Forests 2016, 7(11), 280; https://doi.org/10.3390/f7110280 - 17 Nov 2016
Cited by 24 | Viewed by 8685
Abstract
The Siberian elm (Ulmus pumila L.) is one of the most commonly found tree species in arid areas of northeast Asia. To understand the morphological and physiological characteristics of Siberian elms in arid regions, we analyzed leaves from seven study sites (five [...] Read more.
The Siberian elm (Ulmus pumila L.) is one of the most commonly found tree species in arid areas of northeast Asia. To understand the morphological and physiological characteristics of Siberian elms in arid regions, we analyzed leaves from seven study sites (five arid or semi-arid and two mesic) in China, Mongolia and the Republic of Korea, which covered a wide range of average annual precipitation (232 mm·year−1 to 1304 mm·year−1) under various aridity indexes (AI) and four different microenvironments: sand dune, steppe, riverside and forest. The traits of Siberian elms varied widely along different annual precipitation (P) and AI gradients. Tree height (H), leaf size (LS) and stomatal area per unit leaf area (AS/AL) decreased with increasing AI, whereas leaf mass per unit leaf area (LMA) and water-use efficiency (WUE) increased significantly. In addition, trees at the five arid sites showed significant differences in LS, LMA and AS/AL but not in H and WUE. Thus, our study indicated that indigenous Siberian elm trees in arid areas have substantially altered their morphological and physiological characteristics to avoid heat stress and increase water conservation in comparison to mesic areas. However, their changes differed depending on the surrounding microenvironment even in arid areas. Trees in sand dunes had a smaller LS, higher LMA, thicker leaf cuticle layer and higher stomatal density and AS than those in steppes and near a riverside. Full article
Show Figures

Figure 1

Back to TopTop