Sign in to use this feature.

Years

Between: -

Subjects

remove_circle_outline
remove_circle_outline
remove_circle_outline
remove_circle_outline
remove_circle_outline

Journals

Article Types

Countries / Regions

Search Results (21)

Search Parameters:
Keywords = Semmes–Weinstein monofilaments

Order results
Result details
Results per page
Select all
Export citation of selected articles as:
16 pages, 2216 KB  
Article
Shock Wave-Induced Regeneration in Soft Tissue Reconstruction: Clinical Application in Hand Surgery
by Luciana Marzella, Michele Riccio, Maria Cristina D’Agostino, Alberto Lazzerini and Francesco De Francesco
Surgeries 2026, 7(1), 4; https://doi.org/10.3390/surgeries7010004 - 25 Dec 2025
Viewed by 118
Abstract
Background/Objectives: Chronic ulcers are often characterized by impaired microcirculation, delayed epithelialization, and persistent pain. Extracorporeal shock wave therapy (ESWT) has emerged as a regenerative approach capable of modulating angiogenesis and tissue repair. This study aimed to evaluate the effects of ESWT on [...] Read more.
Background/Objectives: Chronic ulcers are often characterized by impaired microcirculation, delayed epithelialization, and persistent pain. Extracorporeal shock wave therapy (ESWT) has emerged as a regenerative approach capable of modulating angiogenesis and tissue repair. This study aimed to evaluate the effects of ESWT on wound healing, microvascular remodeling, sensory recovery, and joint mobility in patients with chronic ulcerative lesions. Methods: In this prospective observational study, patients with chronic ulcers underwent a standardized ESWT protocol in addition to conventional wound care. Clinical outcomes were assessed at baseline and at the end of follow-up using the Bates–Jensen Wound Assessment Tool (BWAT), pain visual analogue scale (VAS), capillaroscopy, Semmes–Weinstein monofilament test (SWMT), two-point discrimination (2PD), and range of motion (ROM). Results: ESWT was associated with a significant improvement in wound status, pain, sensory function, and ROM. Capillaroscopy showed robust correlations with clinical recovery, inversely with BWAT (ρ = −0.64, p < 0.01), SWMT (ρ = −0.55, p < 0.05), and 2PD (ρ = −0.49, p < 0.05), and positively with ROM recovery (ρ = 0.58, p < 0.01). Diabetic and smoking patients required a longer healing period (5.8 ± 1.3 weeks) than non-diabetic, non-smoking patients (4.2 ± 0.9 weeks, p = 0.03), although BWAT, capillaroscopy, and ROM values converged by week 8. Conclusions: ESWT was associated with meaningful structural, microvascular, and functional improvements in chronic ulcers. Microvascular remodeling, assessed by capillaroscopy, emerged as a key correlate of clinical recovery. Despite slower early healing in diabetic and smoking patients, final regenerative outcomes were ultimately comparable across risk profiles. Full article
(This article belongs to the Special Issue Feature Papers in Hand Surgery and Research)
Show Figures

Figure 1

12 pages, 1984 KB  
Article
Sensory Recovery After Free Muscle Flap Reconstruction—A Clinical Study of Protective and Discriminative Function of Free Gracilis and Latissimus Dorsi Muscle Flaps Without Neurotization
by Maximilian C. Stumpfe, Moritz Billner, Marc Hellweg, Maximilian Hirschmann, Rakan R. Al-Turki, Celena A. Sörgel, Vadym Burchak, Nikolaus Wachtel and Denis Ehrl
Med. Sci. 2025, 13(4), 262; https://doi.org/10.3390/medsci13040262 - 7 Nov 2025
Viewed by 484
Abstract
Background/Objectives: Free gracilis (GM) and latissimus dorsi muscle (LDM) flaps are reliable options for complex defect coverage, but long-term sensory outcomes remain underexplored. Sensory impairment, especially the loss of protective cutaneous sensation, increases the risk of injury, thermal damage, and ulceration in reconstructed [...] Read more.
Background/Objectives: Free gracilis (GM) and latissimus dorsi muscle (LDM) flaps are reliable options for complex defect coverage, but long-term sensory outcomes remain underexplored. Sensory impairment, especially the loss of protective cutaneous sensation, increases the risk of injury, thermal damage, and ulceration in reconstructed areas. This study aimed to systematically assess multidimensional sensory recovery after free muscle flap (FMF) reconstruction. Methods: In a prospective single-center study, 94 patients (49 GM, 45 LDM) underwent standardized sensory testing following FMF transfer. Five modalities were evaluated: pressure detection (Semmes-Weinstein monofilaments), vibration perception, two-point discrimination (2PD), sharp–dull differentiation, and temperature differentiation. Measurements were compared to contralateral healthy skin (CHS). Subgroup analyses were performed by anatomical region (head, trunk, extremities). Results: All sensory modalities were significantly impaired in FMF compared to CHS (p < 0.0001). Mean pressure thresholds were markedly higher in FMF (248.8 g) versus CHS (46.8 g). Vibration perception scores were reduced (FMF 3.97 vs. CHS 5.31), and 2PD was significantly poorer (11.6 cm vs. 4.7 cm). Sharp–dull and thermal discrimination were largely absent in FMF (positivity rates < 20%), with 58.5% of patients demonstrating only deep pressure sensation (≥300 g). No significant differences were found between GM and LDM in most modalities, except for worse 2PD in GM. Subgroup analyses confirmed uniform deficits across all anatomical regions. Conclusions: FMFs without neurotization result in profound, persistent sensory deficits, particularly the loss of protective sensation. Clinically, fascio-cutaneous flaps with nerve coaptation should be considered in functionally critical regions. Future strategies should focus on neurotization techniques to enhance sensory recovery. Full article
Show Figures

Figure 1

16 pages, 2228 KB  
Article
Potential Use of a New Energy Vision (NEV) Camera for Diagnostic Support of Carpal Tunnel Syndrome: Development of a Decision-Making Algorithm to Differentiate Carpal Tunnel-Affected Hands from Controls
by Dror Robinson, Mohammad Khatib, Mohammad Eissa and Mustafa Yassin
Diagnostics 2025, 15(11), 1417; https://doi.org/10.3390/diagnostics15111417 - 3 Jun 2025
Viewed by 974
Abstract
Introduction: Carpal Tunnel Syndrome (CTS) is a prevalent neuropathy requiring accurate, non-invasive diagnostics to minimize patient burden. This study evaluates the New Energy Vision (NEV) camera, an RGB-based multispectral imaging tool, to detect CTS through skin texture and color analysis, developing a machine [...] Read more.
Introduction: Carpal Tunnel Syndrome (CTS) is a prevalent neuropathy requiring accurate, non-invasive diagnostics to minimize patient burden. This study evaluates the New Energy Vision (NEV) camera, an RGB-based multispectral imaging tool, to detect CTS through skin texture and color analysis, developing a machine learning algorithm to distinguish CTS-affected hands from controls. Methods: A two-part observational study included 103 participants (50 controls, 53 CTS patients) in Part 1, using NEV camera images to train a Support Vector Machine (SVM) classifier. Part 2 compared median nerve-damaged (MED) and ulnar nerve-normal (ULN) palm areas in 32 CTS patients. Validations included nerve conduction tests (NCT), Semmes–Weinstein monofilament testing (SWMT), and Boston Carpal Tunnel Questionnaire (BCTQ). Results: The SVM classifier achieved 93.33% accuracy (confusion matrix: [[14, 1], [1, 14]]), with 81.79% cross-validation accuracy. Part 2 identified significant differences (p < 0.05) in color proportions (e.g., red_proportion) and Haralick texture features between MED and ULN areas, corroborated by BCTQ and SWMT. Conclusions: The NEV camera, leveraging multispectral imaging, offers a promising non-invasive CTS diagnostic tool using detection of nerve-related skin changes. Further validation is needed for clinical adoption. Full article
(This article belongs to the Special Issue New Trends in Musculoskeletal Imaging)
Show Figures

Figure 1

11 pages, 768 KB  
Article
Stratification of Clinical Microvascular Disease Severity Using Non-Invasive Monofilament Testing in Patients with Type 2 Diabetes Mellitus
by Ikeoluwapo Kendra Bolakale-Rufai, Scott R. French, Shannon M. Knapp, Mallory Thompson, Juan C. Arias, Pamela Garcia-Filion, Bujji Ainapurapu, Tze-Woei Tan and Craig C. Weinkauf
Diabetology 2025, 6(4), 24; https://doi.org/10.3390/diabetology6040024 - 26 Mar 2025
Viewed by 883
Abstract
Background: Microvascular disease (MVD) describes systemic changes in small vessels (~100 µm diameter or smaller) that impair tissue oxygenation and perfusion. MVD has been demonstrated to play an independent role in the risk of limb loss. Despite this relevance, MVD is not [...] Read more.
Background: Microvascular disease (MVD) describes systemic changes in small vessels (~100 µm diameter or smaller) that impair tissue oxygenation and perfusion. MVD has been demonstrated to play an independent role in the risk of limb loss. Despite this relevance, MVD is not regularly assessed clinically because tools used to evaluate and quantify the severity of MVD of the foot remain limited. We sought to evaluate if the Semmes-Weinstein 10-g Monofilament (SWM) can be used to stratify clinical MVD severity. Methods: We evaluated a racially diverse cohort of 124 patients (with 248 limbs). SWM testing was performed on the plantar aspect of the feet at 1st, 3rd, and 5th metatarsophalangeal joints. Clinical MVD was stratified in an ascending order of severity into: no diabetes; type 2 diabetes (DM); diabetes+ neuropathy (DM+N); diabetes + neuropathy + retinopathy (DM+N+R). Logistic regression models were used to examine the association between a patient’s clinical MVD severity and an abnormal SWM test. Results: Sixty-four patients (51.6%) tested had an abnormal sensation. The odds of an abnormal SWM test were significantly higher for patients with DM+N and DM+N+R compared to those with no DM respectively. (DM vs. No DM: OR: 3.58, [0.98–13.09], p = 0.05; DM+N vs. No DM: OR: 30.46, [10.33–105.17], p < 0.001; DM+N+R vs. No DM: OR: 43.00, [9.89–309.17], p < 0.001). Furthermore, we categorized SWM based on the degree of sensation loss and found that the proportion of people with a higher degree of sensation loss increased across the clinical MVD severity spectrum. Conclusions: Abnormal SWM sensation strongly correlates with the severity of clinical MVD. This suggests that a simple, non-invasive, 1-min SWM test that can be done in the clinic is a promising tool in assessing MVD in the feet, which is particularly significant considering MVD involvement in limb loss. Full article
Show Figures

Figure 1

11 pages, 1999 KB  
Article
Adipofascial Flap Reconstruction for Pulp Defects: A Retrospective Study of Functional and Aesthetic Outcomes
by Gabriele Delia, Fabiana Battaglia, Emanuele Cigna, Michele Maruccia and Francesco Stagno d’Alcontres
J. Clin. Med. 2025, 14(5), 1466; https://doi.org/10.3390/jcm14051466 - 21 Feb 2025
Cited by 1 | Viewed by 1380
Abstract
Background: Injuries to the digital distal phalanx often result in functional impairments such as loss of grip and sensation, along with aesthetic challenges. Various reconstructive techniques, including the use of adipofascial flaps, have been explored to address these issues. The homodigital dorsal [...] Read more.
Background: Injuries to the digital distal phalanx often result in functional impairments such as loss of grip and sensation, along with aesthetic challenges. Various reconstructive techniques, including the use of adipofascial flaps, have been explored to address these issues. The homodigital dorsal adipofascial reverse flap (HDARF) has demonstrated promising results in restoring both functionality and aesthetics. However, a comparative evaluation between adipofascial flaps and other commonly used techniques, such as V-Y advancement flaps and cross-finger flaps, remains limited. Objective: This retrospective study evaluates the long-term functional and aesthetic outcomes of adipofascial flap reconstructions for pulp defects, focusing on sensory recovery and patient satisfaction. Methods: Between 2010 and 2022, 20 patients (14 men, 6 women) with digital pulp defects underwent reconstruction using adipofascial flaps in a single-stage procedure. Injuries included avulsion and crush injuries, distributed across various digits. Sensory recovery was assessed using the Semmes–Weinstein monofilament test and two-point discrimination. Joint mobility, cold intolerance, and aesthetic satisfaction were also evaluated. Results: All flaps were successfully reconstructed within 24 h of trauma. Sensory recovery was excellent, with Semmes–Weinstein scores ranging from 1.65 to 2.83, comparable to the uninjured hand. Two-point discrimination averaged 1–5 mm in most cases. Cold intolerance persisted in four patients, and mild nail dystrophy was noted in three cases, with one case of nail absence. Aesthetic satisfaction was high in 19 patients. Conclusions: The adipofascial flap effectively restores function and aesthetics in pulp defects, offering superior sensory recovery, high patient satisfaction, and minimal complications. Its regenerative potential and adaptability make it a valuable option for fingertip reconstruction, supporting its continued use in clinical practice. Full article
(This article belongs to the Special Issue Innovation in Hand Surgery)
Show Figures

Figure 1

10 pages, 717 KB  
Article
Application of NerveCheck Master in the Diagnosis of Diabetic Peripheral Neuropathy
by Raquel García de la Peña, Mercedes Ortiz Romero, José María Juárez Jiménez and Ana María Rayo Pérez
Diabetology 2025, 6(1), 3; https://doi.org/10.3390/diabetology6010003 - 2 Jan 2025
Viewed by 2542
Abstract
Backgraund/Objetive: Diabetic peripheral neuropathy is a condition that affects the motor, sensory, and autonomic fibers of the peripheral nervous system, with distal polyneuropathy being its most common form. Traditional methods for diagnosing sensory loss, such as tactile assessment, temperature evaluation, and vibratory [...] Read more.
Backgraund/Objetive: Diabetic peripheral neuropathy is a condition that affects the motor, sensory, and autonomic fibers of the peripheral nervous system, with distal polyneuropathy being its most common form. Traditional methods for diagnosing sensory loss, such as tactile assessment, temperature evaluation, and vibratory perception threshold testing, are labor intensive and time consuming. Results: To effectively assess thermal and vibratory sensitivity, NerveCheck Master is an affordable and portable device that uses standardized stimuli to measure sensory response. Conclusions: Compared to traditional methods like the infrared laser thermometer, the Rydel–Seiffer tuning fork, and the Semmes–Weinstein monofilament, this device provides definitive results regarding the severity of DPN. Full article
Show Figures

Figure 1

16 pages, 1006 KB  
Article
Evaluation of Breast Skin/Nipple-Areolar Complex Sensation and Quality of Life after Nipple-Sparing Mastectomy Followed by Reconstruction
by Beatriz Soares Domingues Polita, Jānis Lapinš, Ansis Ģīlis, Michal Grucki, Arvids Irmejs, Jānis Gardovskis and Jeļena Maksimenko
Medicina 2024, 60(10), 1655; https://doi.org/10.3390/medicina60101655 - 9 Oct 2024
Cited by 4 | Viewed by 2712
Abstract
Background and Objectives: Sensation of the breast skin and nipple-areolar complex (NAC) is commonly assumed to be diminished or completely absent following nipple-sparing mastectomy (NSM) with implant- or expander-based reconstruction. The purpose of this cohort study was to evaluate breast skin and [...] Read more.
Background and Objectives: Sensation of the breast skin and nipple-areolar complex (NAC) is commonly assumed to be diminished or completely absent following nipple-sparing mastectomy (NSM) with implant- or expander-based reconstruction. The purpose of this cohort study was to evaluate breast skin and NAC long-term touch pressure sensibility, from 1 month to 1 year, after NSM followed by reconstruction with an implant or expander, and patient quality of life (QoL), hypothesizing that sensibility may diminish with a small progressive return throughout the postoperative period. Materials and Methods: This was achieved by performing sensation tests using Semmes-Weinstein monofilaments (SWM) in nine predefined points of the breast and NAC, a two-point discrimination test (TPD) in the four quadrants of the breast, and QoL assessment using the BREAST-Q. We evaluated 42 patients in Pauls Stradiņš Clinical University Hospital, with a total of 66 breasts, who underwent NSM between 2021 and 2023, performing the breast sensation tests before surgery and postoperatively at 1/3/6 months and 1 year. The BREAST-Q was administered to assess patient satisfaction and well-being. Results: Our results reflect a decline in breast skin and NAC sensation in the 1-month evaluation after NSM (mean: 4.67) when compared to the assessment before surgery (mean: 2.57), with a small progressive return reflected in the 3 months (mean: 3.79), 6 months (mean: 3.68), and 1-year evaluations (mean: 3.14). The following were the mean scores obtained from the BREAST-Q: Psychosocial Well-being (mean: 66), Sexual Well-being (mean: 50), Satisfaction with Breasts Pre-OP (mean: 58), satisfaction with breast reconstruction (mean: 52), Satisfaction with Implants, Satisfaction with nipple reconstruction, Physical Well-being Chest, Adverse effects of radiation, and Satisfaction with Information. Conclusions: This study confirms that sensibility diminishes after this procedure, as observed when comparing the sensation evaluation results before the operation with the 1-month evaluation, reflecting a small progressive return in the following months. Full article
(This article belongs to the Section Surgery)
Show Figures

Figure 1

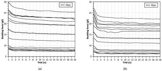
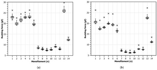
21 pages, 5221 KB  
Article
Calibration and Modeling of the Semmes–Weinstein Monofilament for Diabetic Foot Management
by Pedro Castro-Martins, Luís Pinto-Coelho and Raul D. S. G. Campilho
Bioengineering 2024, 11(9), 886; https://doi.org/10.3390/bioengineering11090886 - 31 Aug 2024
Cited by 4 | Viewed by 2770
Abstract
Diabetic foot is a serious complication that poses significant risks for diabetic patients. The resulting reduction in protective sensitivity in the plantar region requires early detection to prevent ulceration and ultimately amputation. The primary method employed for evaluating this sensitivity loss is the [...] Read more.
Diabetic foot is a serious complication that poses significant risks for diabetic patients. The resulting reduction in protective sensitivity in the plantar region requires early detection to prevent ulceration and ultimately amputation. The primary method employed for evaluating this sensitivity loss is the 10 gf Semmes–Weinstein monofilament test, commonly used as a first-line procedure. However, the lack of calibration in existing devices often introduces decision errors due to unreliable feedback. In this article, the mechanical behavior of a monofilament was analytically modeled, seeking to promote awareness of the impact of different factors on clinical decisions. Furthermore, a new device for the automation of the metrological evaluation of the monofilament is described. Specific testing methodologies, used for the proposed equipment, are also described, creating a solid base for the establishment of future calibration guidelines. The obtained results showed that the tested monofilaments had a very high error compared to the 10 gf declared by the manufacturers. To improve the precision and reliability of assessing the sensitivity loss, the frequent metrological calibration of the monofilament is crucial. The integration of automated verification, simulation capabilities, and precise measurements shows great promise for diabetic patients, reducing the likelihood of adverse outcomes. Full article
Show Figures

Figure 1

11 pages, 495 KB  
Article
Analysis of Plantar Tactile Sensitivity in Older Women after Conventional Proprioceptive Training and Exergame
by Claudio Henrique Meira Mascarenhas, José Ailton Oliveira Carneiro, Thaiza Teixeira Xavier Nobre, Ludmila Schettino, Claudineia Matos de Araujo, Luciana Araújo dos Reis and Marcos Henrique Fernandes
Int. J. Environ. Res. Public Health 2023, 20(6), 5033; https://doi.org/10.3390/ijerph20065033 - 13 Mar 2023
Cited by 6 | Viewed by 3096
Abstract
Objective: To evaluate and compare the effects of conventional proprioceptive training and games with motion monitoring on plantar tactile sensitivity in older women. Methods: A randomized controlled clinical trial, with 50 older women randomized into three groups: conventional proprioception (n = 17), games [...] Read more.
Objective: To evaluate and compare the effects of conventional proprioceptive training and games with motion monitoring on plantar tactile sensitivity in older women. Methods: A randomized controlled clinical trial, with 50 older women randomized into three groups: conventional proprioception (n = 17), games with motion monitoring (n = 16), and the control (n = 17). They underwent 24 intervention sessions, three times a week, for eight weeks. The conventional proprioception group performed exercises involving gait, balance, and proprioception. The games performed by the motion monitoring group included exercises using the Xbox Kinect One video game from Microsoft®. The evaluation of tactile pressure sensitivity was performed using Semmes–Weinstein monofilaments. Intragroup comparisons between the two paired samples were performed using paired Student’s t-test or Wilcoxon test. Intergroup comparisons between the three independent samples were performed using the Kruskal–Wallis test and Dunn’s post hoc test, with p ≤ 0.05. Results: The older women submitted to conventional games with motion monitoring training and showed improvement in plantar tactile sensitivity in the right and left feet. When comparing the intergroup results, the two training modalities obtained an improvement in the plantar tactile sensitivity of the older women when compared to the control group. Conclusions: We conclude that both training modalities may favor the improvement of plantar tactile sensitivity in older women, with no significant differences between conventional and virtual training. Full article
(This article belongs to the Special Issue Aging, Physical Activity, and Health)
Show Figures

Figure 1

11 pages, 295 KB  
Article
How Do Motor and Sensory Function Correlate with Daily Performance Recovery after Post-Stroke Robotic Intervention? A Secondary Analysis of a Non-Randomized Controlled Trial
by Mª Pilar Rodríguez-Pérez, Patricia Sánchez-Herrera-Baeza, Rebeca Montes-Montes, Roberto Cano-de-la-Cuerda, Rosa M. Martínez-Piédrola, Sergio Serrada-Tejeda, Paula Obeso-Benítez and Marta Pérez-de-Heredia-Torres
Biomedicines 2023, 11(3), 853; https://doi.org/10.3390/biomedicines11030853 - 10 Mar 2023
Cited by 1 | Viewed by 2662
Abstract
New technologies have been developed to complement conventional interventions to better target the specific needs of people with stroke, and they have been shown to improve both function and performance. However, it is unknown whether the baseline levels of sensorimotor function and performance [...] Read more.
New technologies have been developed to complement conventional interventions to better target the specific needs of people with stroke, and they have been shown to improve both function and performance. However, it is unknown whether the baseline levels of sensorimotor function and performance interrelate with the improvement in upper limb and daily performance. Thus, the aim of this study was to examine the relationship between baseline levels of sensorimotor function and daily performance and its impact on post-intervention improvement in people with stroke following a robotic intervention. A single-blind, non-randomized, controlled clinical trial was conducted. Participants in the experimental group (n = 9) received a robotic intervention in addition to conventional treatment. Sensorimotor function was measured with Semmes-Weinstein Monofilaments® and the Fugl-Meyer Assessment Upper Extremity Scale. Upper limb and daily performance were measured with the MAL and SIS-16 scales. The multivariate regression models showed that baseline levels of upper limb performance and motor function predicted >95% of the variance in upper limb performance (p < 0.001), while pre-intervention levels of daily performance explained >75% of the post-intervention variance (p < 0.05). These findings indicate that basal upper limb motor function is associated with improved performance following a combined intervention of conventional treatment and robotic intervention. Full article
9 pages, 733 KB  
Article
Validity and Reliability of Criteria for Plantar Sensation Assessment Using Semmes–Weinstein Monofilament as a Clinically Usable Index
by Masami Nakamoto, Norio Ideguchi, Satoru Iwata, Shunsuke Tomita, Nao Morimoto, Shion Fukuda and Shintarou Kudo
Int. J. Environ. Res. Public Health 2022, 19(21), 14092; https://doi.org/10.3390/ijerph192114092 - 28 Oct 2022
Cited by 7 | Viewed by 4982
Abstract
There is no standard clinically adaptable criterion for assessing plantar sensation for pre- and post-intervention comparisons. Studies using Semmes–Weinstein monofilaments (SWMs) to investigate intervention effects on plantar sensation vary in procedure and do not consider measurement errors. This study aimed to develop a [...] Read more.
There is no standard clinically adaptable criterion for assessing plantar sensation for pre- and post-intervention comparisons. Studies using Semmes–Weinstein monofilaments (SWMs) to investigate intervention effects on plantar sensation vary in procedure and do not consider measurement errors. This study aimed to develop a simple criterion using SWMs to assess plantar sensation, determine the measurement error range, and identify areas of low error. Six examiners assessed 87 healthy young adults in Experiment 1, while two examiners assessed 10 participants in Experiment 2. Filaments were graded from 1 to 20 based on increasing diameter. The smallest grade that could be perceived for three sequential stimuli was used as the criterion (smallest perceivable grade, SPG). The SPG was significantly smaller at the hallux and larger at the heel than at other sites. There were no significant differences between the SPG of the repeated tests performed by the same versus different examiners. The interquartile range of the differences was <±3 at all sites. Thus, our criteria were reliable in evaluating the effects of plantar sensation interventions, especially at the heel and the middle of the metatarsal heads and could contribute to the development of more effective treatments for plantar sensations. Full article
Show Figures

Figure 1

12 pages, 15586 KB  
Article
Reliability of Ulnar Nerve Sensation Tests in Patients with Cubital Tunnel Syndrome and Healthy Subjects
by Tomasz Wolny, César Fernández-de-las Peñas, Arkadiusz Granek and Paweł Linek
Diagnostics 2022, 12(10), 2347; https://doi.org/10.3390/diagnostics12102347 - 28 Sep 2022
Cited by 3 | Viewed by 2561
Abstract
Static two-point discrimination (2PD) and Semmes–Weinstein monofilament (SWM) tests are commonly used to evaluate sensory disorders in the hand. The aim of this study was to evaluate the reliability of 2PD and SWM tests in the ulnar nerve innervation area in patients with [...] Read more.
Static two-point discrimination (2PD) and Semmes–Weinstein monofilament (SWM) tests are commonly used to evaluate sensory disorders in the hand. The aim of this study was to evaluate the reliability of 2PD and SWM tests in the ulnar nerve innervation area in patients with cubital tunnel syndrome (CuTS) and healthy individuals. This was a two-group repeated-measures inter-rater and intra-rater reliability study. Twenty-one patients with CuTS and 30 healthy adults participated. The static 2PD test was performed using a standardized Dellon discriminator, whereas the SWM test was conducted using TOUCH TEST monofilaments. Two examiners performed both tests at the hypothenar eminence and the fourth and fifth digits (ulnar nerve innervation hand territory). First, examiner A conducted three series of 2PD and SWM tests twice with a 15-min rest period (within-day intra-rater reliability). Next, examiner B repeated the same examination 5 min after (inter-rater reliability). Examiner A conducted the same examination 7 days after (between-day intra-rater reliability). For single measurements, the inter-rater reliability and within-day intra-rater reliability in the 2PD was at least 0.81 in patients with CuTS or healthy subjects. The between-days intra-rater reliability for a single measurement varied from 0.56 to 0.95 in CuTS patients and healthy subjects. The between-days intra-rater reliability for mean value from three measurements was above 0.80. The kappa for SWM was above 0.8 and the percentage of agreement was at least 90% for all sessions and trials. In conclusion, the 2PD and SWM tests are reliable for assessing sensation in the ulnar nerve innervation area of the hand in patients with CuTS and healthy subjects. Full article
Show Figures

Figure 1

10 pages, 1220 KB  
Article
Muscle-in-Vein Conduits for the Treatment of Symptomatic Neuroma of Sensory Digital Nerves
by Ines Ana Ederer, Jonas Kolbenschlag, Adrien Daigeler and Theodora Wahler
J. Pers. Med. 2022, 12(9), 1514; https://doi.org/10.3390/jpm12091514 - 15 Sep 2022
Cited by 5 | Viewed by 2997
Abstract
Background: Considering the debilitating burden of neuroma resulting in a significant loss of function and excruciating pain, the use of muscle-in-vein conduits (MVCs) for the reconstruction of painful neuroma of sensory nerves of the fingers was assessed. Methods: We retrospectively analyzed 10 patients [...] Read more.
Background: Considering the debilitating burden of neuroma resulting in a significant loss of function and excruciating pain, the use of muscle-in-vein conduits (MVCs) for the reconstruction of painful neuroma of sensory nerves of the fingers was assessed. Methods: We retrospectively analyzed 10 patients who underwent secondary digital nerve repair by MVCs. The recovery of sensibility was evaluated by static and moving two-point discrimination (2PDs, 2PDm) and Semmes-Weinstein monofilament testing (SWM). The minimum follow-up was set 12 months after the operation. Results: The median period between trauma and nerve repair was 13.4 weeks (IQR 53.5). After neuroma resection, defects ranged from 10–35 mm (mean 17.7 mm, SD 0.75). The successful recovery of sensibility was achieved in 90% of patients after a median follow-up of 27.0 months (IQR 31.00). The mean 2PDs and 2PDm was 8.1 mm (SD 3.52) and 5.2 mm (SD 2.27), respectively. Assessment by SWM resulted in a mean value of 3.54 (SD 0.69). Reduction in pain was achieved among all patients; eight patients reported the complete relief of neuropathic pain. There was no recurrence of neuroma in any patient. Conclusions: Muscle-in-vein conduits provide an effective treatment for painful neuroma of digital nerves, resulting in satisfactory restoration of sensory function and relief of pain. Full article
(This article belongs to the Special Issue Diagnosis and Treatment in Peripheral Nerve Surgery)
Show Figures

Figure 1

14 pages, 2187 KB  
Article
Closing the Gap: Bridging Peripheral Sensory Nerve Defects with a Chitosan-Based Conduit a Randomized Prospective Clinical Trial
by Arne Böcker, Martin Aman, Ulrich Kneser, Leila Harhaus, Frank Siemers and Felix Stang
J. Pers. Med. 2022, 12(6), 900; https://doi.org/10.3390/jpm12060900 - 30 May 2022
Cited by 23 | Viewed by 3657
Abstract
Introduction: If tensionless nerve coaptation is not possible, bridging the resulting peripheral nerve defect with an autologous nerve graft is still the current gold standard. The concept of conduits as an alternative with different materials and architectures, such as autologous vein conduits or [...] Read more.
Introduction: If tensionless nerve coaptation is not possible, bridging the resulting peripheral nerve defect with an autologous nerve graft is still the current gold standard. The concept of conduits as an alternative with different materials and architectures, such as autologous vein conduits or bioartificial nerve conduits, could not replace the nerve graft until today. Chitosan, as a relatively new biomaterial, has recently demonstrated exceptional biocompatibility and material stability with neural lineage cells. The purpose of this prospective randomized clinical experiment was to determine the efficacy of chitosan-based nerve conduits in regenerating sensory nerves in the hand. Materials and methods: Forty-seven patients with peripheral nerve defects up to 26 mm distal to the carpal tunnel were randomized to receive either a chitosan conduit or an autologous nerve graft with the latter serving as the control group. Fifteen patients from the conduit group and seven patients from the control group were available for a 12-month follow-up examination. The primary outcome parameter was tactile gnosis measured with two-point discrimination. The secondary outcome parameters were Semmens Weinstein Monofilament Testing, self-assessed pain, and patient satisfaction. Results: Significant improvement (in static two-point discrimination) was observed six months after trauma (10.7 ± 1.2 mm; p < 0.05) for chitosan-based nerve conduits, but no further improvement was observed after 12 months of regeneration (10.9 ± 1.3 mm). After six months and twelve months, the autologous nerve graft demonstrated comparable results to the nerve conduit, with a static two-point discrimination of 11.0 ± 2.0 mm and 7.9 ± 1.1 mm. Semmes Weinstein Filament Testing in the nerve conduit group showed a continuous improvement over the regeneration period by reaching from 3.1 ± 0.3 after three months up to 3.7 ± 0.4 after twelve months. Autologous nerve grafts presented similar results: 3.3 ± 0.4 after three months and 3.7 ± 0.5 after twelve months. Patient satisfaction and self-reported pain levels were similar between the chitosan nerve conduit and nerve graft groups. One patient required revision surgery due to complications associated with the chitosan nerve tube. Conclusion: Chitosan-based nerve conduits are safe and suitable for bridging nerve lesions up to 26 mm in the hand. Tactile gnosis improved significantly during the early regeneration period, and functional outcomes were similar to those obtained with an autologous nerve graft. Thus, chitosan appears to be a sufficient substitute for autologous nerve grafts in the treatment of small nerve defects in the hand. Full article
(This article belongs to the Section Methodology, Drug and Device Discovery)
Show Figures

Figure 1

18 pages, 6606 KB  
Article
Automatic Segmentation of Monofilament Testing Sites in Plantar Images for Diabetic Foot Management
by Tatiana Costa, Luis Coelho and Manuel F. Silva
Bioengineering 2022, 9(3), 86; https://doi.org/10.3390/bioengineering9030086 - 22 Feb 2022
Cited by 15 | Viewed by 11892
Abstract
Diabetic peripheral neuropathy is a major complication of diabetes mellitus, and it is the leading cause of foot ulceration and amputations. The Semmes–Weinstein monofilament examination (SWME) is a widely used, low-cost, evidence-based tool for predicting the prognosis of diabetic foot patients. The examination [...] Read more.
Diabetic peripheral neuropathy is a major complication of diabetes mellitus, and it is the leading cause of foot ulceration and amputations. The Semmes–Weinstein monofilament examination (SWME) is a widely used, low-cost, evidence-based tool for predicting the prognosis of diabetic foot patients. The examination can be quick, but due to the high prevalence of the disease, many healthcare professionals can be assigned to this task several days per month. In an ongoing project, it is our objective to minimize the intervention of humans in the SWME by using an automated testing system relying on computer vision. In this paper we present the project’s first part, constituting a system for automatically identifying the SWME testing sites from digital images. For this, we have created a database of plantar images and developed a segmentation system, based on image processing and deep learning—both of which are novelties. From the 9 testing sites, the system was able to correctly identify most 8 in more than 80% of the images, and 3 of the testing sites were correctly identified in more than 97.8% of the images. Full article
Show Figures

Figure 1

Back to TopTop