Sign in to use this feature.

Years

Between: -

Subjects

remove_circle_outline
remove_circle_outline
remove_circle_outline
remove_circle_outline
remove_circle_outline

Journals

Article Types

Countries / Regions

Search Results (10)

Search Parameters:
Keywords = Saccharomycescerevisiae

Order results
Result details
Results per page
Select all
Export citation of selected articles as:
13 pages, 1813 KB  
Article
Effects of Purified β-Glucosidases from Issatchenkia terricola, Pichia kudriavzevii, Metschnikowia pulcherrima on the Flavor Complexity and Typicality of Wines
by Wanying Zhu, Wenxia Zhang, Tao Qin, Jing Liao and Xiuyan Zhang
J. Fungi 2022, 8(10), 1057; https://doi.org/10.3390/jof8101057 - 9 Oct 2022
Cited by 13 | Viewed by 2316
Abstract
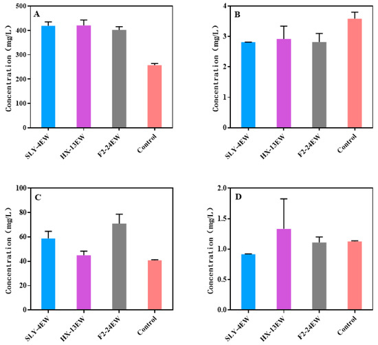
The aim of this study was to investigate the effects of purified β-glucosidases from Issatchenkia terricola SLY-4, Pichia kudriavzevii F2-24, and Metschnikowia pulcherrima HX-13 (named as SLY-4E, F2-24E, and HX-13E, respectively) on the flavor complexity and typicality of wines. Cabernet Sauvignon wines were [...] Read more.
The aim of this study was to investigate the effects of purified β-glucosidases from Issatchenkia terricola SLY-4, Pichia kudriavzevii F2-24, and Metschnikowia pulcherrima HX-13 (named as SLY-4E, F2-24E, and HX-13E, respectively) on the flavor complexity and typicality of wines. Cabernet Sauvignon wines were fermented by Saccharomycescerevisiae with the addition of SLY-4E, F2-24E, and HX-13E; the fermentation process and characteristics of wines were analyzed. The addition of SLY-4E, F2-24E, and HX-13E into must improved the contents of terpenes, higher alcohols, and esters, and decreased the contents of C6 compounds and fatty acids, which enhanced the fruity, floral, and taste aspects, reducing the unpleasant green of wines with no significant difference in their appearance. β-glucosidases from different yeast species produced different aroma compound profiles which presented different flavor and quality. F2-24EW had the best effect on flavor and quality of wine followed by SLY-4EW and HX-13EW. These research results can provide references for the use of β-glucosidases from non-Saccharomyces yeasts to improve the flavor complexity, typicality, and quality of wines. Full article
Show Figures

Figure 1

14 pages, 2182 KB  
Article
UME6 Is Involved in the Suppression of Basal Transcription of ABC Transporters and Drug Resistance in the ρ+ Cells of Saccharomyces cerevisiae
by Yoichi Yamada
Microorganisms 2022, 10(3), 601; https://doi.org/10.3390/microorganisms10030601 - 10 Mar 2022
Cited by 3 | Viewed by 3455
Abstract
In Saccharomycescerevisiae, the Rpd3L complex contains a histone deacetylase, Rpd3, and the DNA binding proteins, Ume6 and Ash1, and acts as a transcriptional repressor or activator. We previously showed that RPD3 and UME6 are required for the activation of PDR5, [...] Read more.
In Saccharomycescerevisiae, the Rpd3L complex contains a histone deacetylase, Rpd3, and the DNA binding proteins, Ume6 and Ash1, and acts as a transcriptional repressor or activator. We previously showed that RPD3 and UME6 are required for the activation of PDR5, which encodes a major efflux pump, and pleiotropic drug resistance (PDR) in ρ0/− cells, which lack mitochondrial DNA. However, there are inconsistent reports regarding whether RPD3 and UME6 are required for Pdr5-mediated PDR in ρ+ cells with mitochondrial DNA. Since PDR5 expression or PDR in the ρ+ cells of the rpd3Δ and ume6Δ mutants have primarily been examined using fermentable media, mixed cultures of ρ+ and ρ0/− cells could be used. Therefore, we examined whether RPD3 and UME6 are required for basal and drug-induced PDR5 transcription and PDR in ρ+ cells using fermentable and nonfermentable media. UME6 suppresses the basal transcription levels of the ABC transporters, including PDR5, and drug resistance in ρ+ cells independent of the carbon source used in the growth medium. In contrast, RPD3 is required for drug resistance but did not interfere with the basal PDR5 mRNA levels. UME6 is also required for the cycloheximide-induced transcription of PDR5 in nonfermentable media but not in fermentable media. Full article
(This article belongs to the Special Issue Trends in Yeast Biochemistry and Biotechnology)
Show Figures

Figure 1

19 pages, 29662 KB  
Article
Artemisinin Binds and Inhibits the Activity of Plasmodium falciparum Ddi1, a Retroviral Aspartyl Protease
by Noah Machuki Onchieku, Sonam Kumari, Rajan Pandey, Vaibhav Sharma, Mohit Kumar, Arunaditya Deshmukh, Inderjeet Kaur, Asif Mohmmed, Dinesh Gupta, Daniel Kiboi, Naseem Gaur and Pawan Malhotra
Pathogens 2021, 10(11), 1465; https://doi.org/10.3390/pathogens10111465 - 11 Nov 2021
Cited by 10 | Viewed by 4746
Abstract
Reduced sensitivity of the human malaria parasite, Plasmodium falciparum, to Artemisinin and its derivatives (ARTs) threatens the global efforts towards eliminating malaria. ARTs have been shown to cause ubiquitous cellular and genetic insults, which results in the activation of the unfolded protein response [...] Read more.
Reduced sensitivity of the human malaria parasite, Plasmodium falciparum, to Artemisinin and its derivatives (ARTs) threatens the global efforts towards eliminating malaria. ARTs have been shown to cause ubiquitous cellular and genetic insults, which results in the activation of the unfolded protein response (UPR) pathways. The UPR restores protein homeostasis, which otherwise would be toxic to cellular survival. Here, we interrogated the role of DNA-damage inducible protein 1 (PfDdi1), a unique proteasome-interacting retropepsin in mediating the actions of the ARTs. We demonstrate that PfDdi1 is an active A2 family protease that hydrolyzes ubiquitinated proteasome substrates. Treatment of P. falciparum parasites with ARTs leads to the accumulation of ubiquitinated proteins in the parasites and blocks the destruction of ubiquitinated proteins by inhibiting the PfDdi1 protease activity. Besides, whereas the PfDdi1 is predominantly localized in the cytoplasm, exposure of the parasites to ARTs leads to DNA fragmentation and increased recruitment of the PfDdi1 into the nucleus. Furthermore, we show that Ddi1 knock-out Saccharomycescerevisiae cells are more susceptible to ARTs and the PfDdI1 protein robustly restores the corresponding functions in the knock-out cells. Together, these results show that ARTs act in multiple ways; by inducing DNA and protein damage and might be impairing the damage recovery by inhibiting the activity of PfDdi1, an essential ubiquitin-proteasome retropepsin. Full article
(This article belongs to the Collection Feature Papers on Parasitic Pathogens)
Show Figures

Figure 1

14 pages, 2680 KB  
Article
Development of a New Assay for Measuring H2S Production during Alcoholic Fermentation: Application to the Evaluation of the Main Factors Impacting H2S Production by Three Saccharomycescerevisiae Wine Strains
by Irene De Guidi, Vincent Farines, Jean-Luc Legras and Bruno Blondin
Fermentation 2021, 7(4), 213; https://doi.org/10.3390/fermentation7040213 - 1 Oct 2021
Cited by 11 | Viewed by 6284
Abstract
Hydrogen sulfide (H2S) is the main volatile sulfur compound produced by Saccharomycescerevisiae during alcoholic fermentation and its overproduction leads to poor wine sensory profiles. Several factors modulate H2S production and winemakers and researchers require an easy quantitative tool [...] Read more.
Hydrogen sulfide (H2S) is the main volatile sulfur compound produced by Saccharomycescerevisiae during alcoholic fermentation and its overproduction leads to poor wine sensory profiles. Several factors modulate H2S production and winemakers and researchers require an easy quantitative tool to quantify their impact. In this work, we developed a new sensitive method for the evaluation of total H2S production during alcoholic fermentation using a metal trap and a fluorescent probe. With this method, we evaluated the combined impact of three major factors influencing sulfide production by wine yeast during alcoholic fermentation: assimilable nitrogen, sulfur dioxide and strain, using a full factorial experimental design. All three factors significantly impacted H2S production, with variations according to strains. This method enables large experimental designs for the better understanding of sulfide production by yeasts during fermentation. Full article
(This article belongs to the Special Issue Advances in Wine Fermentation)
Show Figures

Figure 1

11 pages, 538 KB  
Article
Synbiotic Effects of Saccharomycescerevisiae, Mannan Oligosaccharides, and β-Glucan on Innate Immunity, Antioxidant Status, and Disease Resistance of Nile Tilapia, Oreochromis niloticus
by Gamal El-Nobi, Mohammed Hassanin, Alshimaa A. Khalil, Alaa Y. Mohammed, Shimaa A. Amer, Metwally M. Montaser and Mohamed E. El-sharnouby
Antibiotics 2021, 10(5), 567; https://doi.org/10.3390/antibiotics10050567 - 12 May 2021
Cited by 36 | Viewed by 3733
Abstract
Synbiotic (SYN) additives were assessed as an antibiotic alternative on the effects on the nonspecific immune response and disease resistance of O. niloticus to P. aeruginosa. Healthy fish (n = 120, average initial weight 18 ± 2 g) were allotted randomly into [...] Read more.
Synbiotic (SYN) additives were assessed as an antibiotic alternative on the effects on the nonspecific immune response and disease resistance of O. niloticus to P. aeruginosa. Healthy fish (n = 120, average initial weight 18 ± 2 g) were allotted randomly into four experimental groups (3 replicates for each); 1) a control group with no additives (CON), 2) basal diet complemented with 0.1 g kg–1 diets of norfloxacin, NFLX, 3) basal diet fortified with 1 mL kg–1 diet of SYN, and 4) basal diet complemented with a mixture of NFLX and SYN, which was carried out for eight weeks. Results showed a significant increase (p < 0.01) in the serum immune parameters (total protein, globulin and albumin, nitric oxide (NO), and lysozyme activity) in the SYN group and the NFLX+SYN group compared with the CON and NFLX groups. The serum glucose, cholesterol, and triglycerides were higher in NFLX and NFLX+SYN groups than the CON and SYN groups. The catalase (CAT), superoxide dismutase, glutathione peroxidase (GPX) activities were significantly augmented in the NFLX+SYN group, followed by the SYN group compared with CON and NFLX groups. The cumulative mortality rate (CMR) of O. niloticus following the P. aeruginosa challenge was decreased in the SYN group compared to other groups. The results emphasize that synbiotic could be used as a norfloxacin alternative to enhance the related immunological parameters, including antioxidant activity and disease resistance against P. aeruginosa infection of O. niloticus. Full article
(This article belongs to the Special Issue Seafood and Antibiotics)
Show Figures

Figure 1

17 pages, 3533 KB  
Article
Optimised Extraction and Preliminary Characterisation of Mannoproteins from Non-Saccharomyces Wine Yeasts
by Carla Snyman, Julie Mekoue Nguela, Nathalie Sieczkowski, Matteo Marangon and Benoit Divol
Foods 2021, 10(5), 924; https://doi.org/10.3390/foods10050924 - 22 Apr 2021
Cited by 33 | Viewed by 5865
Abstract
The exogenous application of yeast-derived mannoproteins presents many opportunities for the improvement of wine technological and oenological properties. Their isolation from the cell wall of Saccharomycescerevisiae has been well studied. However, investigations into the efficiency of extraction methods from non-Saccharomyces yeasts [...] Read more.
The exogenous application of yeast-derived mannoproteins presents many opportunities for the improvement of wine technological and oenological properties. Their isolation from the cell wall of Saccharomycescerevisiae has been well studied. However, investigations into the efficiency of extraction methods from non-Saccharomyces yeasts are necessary to explore the heterogeneity in structure and composition that varies between yeast species, which may influence wine properties such as clarity and mouthfeel. In this study, nine yeast strains were screened for cell wall mannoprotein content using fluorescence microscopy techniques. Four species were subsequently exposed to a combination of mechanical and enzymatic extraction methods to optimize mannoprotein yield. Yeast cells subjected to 4 min of ultrasound treatment applied at 80% of the maximum possible amplitude with a 50% duty cycle, followed by an enzymatic treatment of 4000 U lyticase per g dry cells weight, showed the highest mannoprotein-rich yield from all species. Furthermore, preliminary evaluation of the obtained extracts revealed differences in carbohydrate/protein ratios between species and with increased enzyme incubation time. The results obtained in this study form an important step towards further characterization of extraction treatment impact and yeast species effect on the isolated mannoproteins, and their subsequent influence on wine properties. Full article
(This article belongs to the Special Issue Wine Proteins and Peptides)
Show Figures

Graphical abstract

21 pages, 3942 KB  
Article
Hybridization of Saccharomyces cerevisiae Sourdough Strains with Cryotolerant Saccharomyces bayanus NBRC1948 as a Strategy to Increase Diversity of Strains Available for Lager Beer Fermentation
by Martina Catallo, Fabrizio Iattici, Cinzia L. Randazzo, Cinzia Caggia, Kristoffer Krogerus, Frederico Magalhães, Brian Gibson and Lisa Solieri
Microorganisms 2021, 9(3), 514; https://doi.org/10.3390/microorganisms9030514 - 2 Mar 2021
Cited by 8 | Viewed by 6378
Abstract
The search for novel brewing strains from non-brewing environments represents an emerging trend to increase genetic and phenotypic diversities in brewing yeast culture collections. Another valuable tool is hybridization, where beneficial traits of individual strains are combined in a single organism. This has [...] Read more.
The search for novel brewing strains from non-brewing environments represents an emerging trend to increase genetic and phenotypic diversities in brewing yeast culture collections. Another valuable tool is hybridization, where beneficial traits of individual strains are combined in a single organism. This has been used successfully to create de novo hybrids from parental brewing strains by mimicking natural Saccharomycescerevisiae ale × Saccharomyceseubayanus lager yeast hybrids. Here, we integrated both these approaches to create synthetic hybrids for lager fermentation using parental strains from niches other than beer. Using a phenotype-centered strategy, S. cerevisiae sourdough strains and the S. eubayanus × Saccharomyces uvarum strain NBRC1948 (also referred to as Saccharomyces bayanus) were chosen for their brewing aptitudes. We demonstrated that, in contrast to S. cerevisiae × S. uvarum crosses, hybridization yield was positively affected by time of exposure to starvation, but not by staggered mating. In laboratory-scale fermentation trials at 20 °C, one triple S. cerevisiae × S. eubayanus × S. uvarum hybrid showed a heterotic phenotype compared with the parents. In 2 L wort fermentation trials at 12 °C, this hybrid inherited the ability to consume efficiently maltotriose from NBRC1948 and, like the sourdough S. cerevisiae parent, produced appreciable levels of the positive aroma compounds 3-methylbutyl acetate (banana/pear), ethyl acetate (general fruit aroma) and ethyl hexanoate (green apple, aniseed, and cherry aroma). Based on these evidences, the phenotype-centered approach appears promising for designing de novo lager beer hybrids and may help to diversify aroma profiles in lager beer. Full article
(This article belongs to the Special Issue Microbial Populations of Fermented Foods)
Show Figures

Figure 1

15 pages, 3511 KB  
Article
Assessment of Physico-Chemical and Toxicological Properties of Commercial 2D Boron Nitride Nanopowder and Nanoplatelets
by Brixhilda Domi, Kapil Bhorkar, Carlos Rumbo, Labrini Sygellou, Spyros N. Yannopoulos, Rocio Barros, Roberto Quesada and Juan Antonio Tamayo-Ramos
Int. J. Mol. Sci. 2021, 22(2), 567; https://doi.org/10.3390/ijms22020567 - 8 Jan 2021
Cited by 14 | Viewed by 3811
Abstract
Boron nitride (BN) nanomaterials have been increasingly explored for potential applications in chemistry and biology fields (e.g., biomedical, pharmaceutical, and energy industries) due to their unique physico-chemical properties. However, their safe utilization requires a profound knowledge on their potential toxicological and environmental impact. [...] Read more.
Boron nitride (BN) nanomaterials have been increasingly explored for potential applications in chemistry and biology fields (e.g., biomedical, pharmaceutical, and energy industries) due to their unique physico-chemical properties. However, their safe utilization requires a profound knowledge on their potential toxicological and environmental impact. To date, BN nanoparticles have been considered to have a high biocompatibility degree, but in some cases, contradictory results on their potential toxicity have been reported. Therefore, in the present study, we assessed two commercial 2D BN samples, namely BN-nanopowder (BN-PW) and BN-nanoplatelet (BN-PL), with the objective to identify whether distinct physico-chemical features may have an influence on the biological responses of exposed cellular models. Morphological, structural, and composition analyses showed that the most remarkable difference between both commercial samples was the diameter of their disk-like shape, which was of 200–300 nm for BN-PL and 100–150 nm for BN-PW. Their potential toxicity was investigated using adenocarcinomic human alveolar basal epithelial cells (A549 cells) and the unicellular fungus Saccharomycescerevisiae, as human and environmental eukaryotic models respectively, employing in vitro assays. In both cases, cellular viability assays and reactive oxygen species (ROS) determinations where performed. The impact of the selected nanomaterials in the viability of both unicellular models was very low, with only a slight reduction of S. cerevisiae colony forming units being observed after a long exposure period (24 h) to high concentrations (800 mg/L) of both nanomaterials. Similarly, BN-PW and BN-PL showed a low capacity to induce the formation of reactive oxygen species in the studied conditions. Even at the highest concentration and exposure times, no major cytotoxicity indicators were observed in human cells and yeast. The results obtained in the present study provide novel insights into the safety of 2D BN nanomaterials, indicating no significant differences in the toxicological potential of similar commercial products with a distinct lateral size, which showed to be safe products in the concentrations and exposure conditions tested. Full article
(This article belongs to the Special Issue Bio-Nano Interactions)
Show Figures

Graphical abstract

16 pages, 2533 KB  
Article
Preterm Infants Harbour a Rapidly Changing Mycobiota That Includes Candida Pathobionts
by Stephen A. James, Sarah Phillips, Andrea Telatin, David Baker, Rebecca Ansorge, Paul Clarke, Lindsay J. Hall and Simon R. Carding
J. Fungi 2020, 6(4), 273; https://doi.org/10.3390/jof6040273 - 9 Nov 2020
Cited by 30 | Viewed by 5490
Abstract
Fungi and the mycobiome are a fundamental part of the human microbiome that contributes to human health and development. Despite this, relatively little is known about the mycobiome of the preterm infant gut. Here, we have characterised faecal fungal communities present in 11 [...] Read more.
Fungi and the mycobiome are a fundamental part of the human microbiome that contributes to human health and development. Despite this, relatively little is known about the mycobiome of the preterm infant gut. Here, we have characterised faecal fungal communities present in 11 premature infants born with differing degrees of prematurity and mapped how the mycobiome develops during early infancy. Using an ITS1 sequencing-based approach, the preterm infant gut mycobiome was found to be often dominated by a single species, typically a yeast. Candida was the most abundant genus, with the pathobionts C.albicans and C.parapsilosis highly prevalent and persistent in these infants. Gestational maturity at birth affected the distribution and abundance of these Candida, with hospital-associated C.parapsilosis more prevalent and abundant in infants born at less than 31 weeks. Fungal diversity was lowest at 6 months, but increased with age and change of diet, with food-associated Saccharomycescerevisiae most abundant in infants post weaning. This study provides a first insight into the fungal communities present within the preterm infant gut, identifying distinctive features including the prominence of pathobiont species, and the influence age and environmental factors play in shaping the development of the mycobiome. Full article
Show Figures

Figure 1

10 pages, 1272 KB  
Article
Tannery Effluent Treatment by Yeast Species Isolates from Watermelon
by Stanley Irobekhian Reuben Okoduwa, Bernard Igiri, Chinyere Blessing Udeh, Chidi Edenta and Balli Gauje
Toxics 2017, 5(1), 6; https://doi.org/10.3390/toxics5010006 - 4 Feb 2017
Cited by 58 | Viewed by 6991
Abstract
The quest for an effective alternative means for effluent treatment is a major concern of the modern-day scientist. Fungi have been attracting a growing interest for the biological treatment of industrial wastewater. In this study, Saccharomycescerevisiae and Torulasporadelbrueckii were isolated from spoiled watermelon [...] Read more.
The quest for an effective alternative means for effluent treatment is a major concern of the modern-day scientist. Fungi have been attracting a growing interest for the biological treatment of industrial wastewater. In this study, Saccharomycescerevisiae and Torulasporadelbrueckii were isolated from spoiled watermelon and inoculated into different concentrations of effluent. The inoculants were incubated for 21-days to monitor the performance of the isolates by measurement of biochemical oxygen demand (BOD), chemical oxygen demand (COD), nitrates, conductivity, phosphates, sulphates and turbidity. The results showed that Saccharomycescerevisiae had the highest percentage decrease of 98.1%, 83.0%, 60.7%, 60.5%, and 54.2% for turbidity, sulphates, BOD, phosphates and COD, respectively, of the tannery effluent. Torulasporadelbrueckii showed the highest percentage decrease of 92.9%, 90.6%, and 61.9% for sulphates, COD, and phosphates, respectively, while the syndicate showed the highest percentage reduction of 87.4% and 70.2% for nitrate and total dissolve solid (TDS), respectively. The least percentage decrease was displayed by syndicate organisms at 51.2%, 48.1% and 40.3% for BOD, COD and conductivity, respectively. The study revealed that Saccharomycescerevisiae and Torulasporadelbrueckii could be used in the biological treatment of tannery-effluent. Hence, it was concluded that the use of these organisms could contribute to minimizing the adverse environmental risks and health-hazards associated with the disposal of untreated tannery-effluents. Full article
(This article belongs to the Special Issue Fate and Transport of Contaminants in Soil and Groundwater Systems)
Show Figures

Figure 1

Back to TopTop