Sign in to use this feature.

Years

Between: -

Subjects

remove_circle_outline
remove_circle_outline
remove_circle_outline
remove_circle_outline
remove_circle_outline
remove_circle_outline
remove_circle_outline
remove_circle_outline
remove_circle_outline

Journals

remove_circle_outline
remove_circle_outline
remove_circle_outline
remove_circle_outline
remove_circle_outline
remove_circle_outline
remove_circle_outline
remove_circle_outline
remove_circle_outline
remove_circle_outline

Article Types

Countries / Regions

remove_circle_outline
remove_circle_outline
remove_circle_outline
remove_circle_outline

Search Results (514)

Search Parameters:
Keywords = SUMO-2

Order results
Result details
Results per page
Select all
Export citation of selected articles as:
19 pages, 3070 KB  
Article
Evaluating the Feasibility of Emission-Aware Routing in Urban Bus Systems: A Case Study in Osnabrück
by Rebecca Kose, Sina-Marie Anker, Mathias Heiker and Sandra Rosenberger
Appl. Sci. 2026, 16(2), 822; https://doi.org/10.3390/app16020822 - 13 Jan 2026
Viewed by 213
Abstract
This study quantifies energy consumption and tank-to-wheel (TTW) emissions of urban buses under varying traffic conditions and passenger loads in Osnabrück, Germany, to support emission-aware route assessment in sustainable mobility applications. Exemplary bus trajectories were modeled on a representative 6.17 km route of [...] Read more.
This study quantifies energy consumption and tank-to-wheel (TTW) emissions of urban buses under varying traffic conditions and passenger loads in Osnabrück, Germany, to support emission-aware route assessment in sustainable mobility applications. Exemplary bus trajectories were modeled on a representative 6.17 km route of line M5 (18 m articulated bus; diesel and battery-electric) within a 22.31 km2 traffic net using the Simulation of Urban MObility (SUMO) software, and were calibrated with traffic sensor data. To assess the influence of trajectories in different traffic situations, three different 90 min scenarios were compared (morning peak, noon, night). Trajectory-based energy consumption and greenhouse gas emissions were compared by using the SUMO-implemented emission models HBEFA and PHEMlight, as well as data from the literature. Both diesel and electric buses showed variations in energy consumption depending on the traffic conditions, with generally lower energy consumption for electric propulsion. Temporal differences in the TTW emissions of the diesel bus were modest, with slightly higher morning values, while spatial analysis showed PM peaks in pedestrian zones, NOx peaks during acceleration phases, and CO2 increases after stops and in low-speed areas. The results provide spatially resolved TTW factors for integration into routing applications, excluding upstream and non-exhaust processes in line with the defined system boundary. Full article
(This article belongs to the Section Transportation and Future Mobility)
Show Figures

Figure 1

21 pages, 2639 KB  
Article
Fetal Neuronal Vesicles in the Assessment of Perinatal Brain Dysfunction and Late-Onset Growth Restriction: A Pilot Study
by Vladislava Gusar, Natalia Kan, Anastasia Leonova, Vitaliy Chagovets, Victor Tyutyunnik, Anna Zolotareva, Nataliya Tyutyunnik, Ekaterina Yarotskaya and Gennadiy Sukhikh
Int. J. Mol. Sci. 2026, 27(2), 679; https://doi.org/10.3390/ijms27020679 - 9 Jan 2026
Viewed by 119
Abstract
Fetal growth restriction (FGR) remains a significant problem in obstetrics and is a key risk factor for perinatal brain injury. The fetal neuronal vesicles (FNVs) isolated from maternal blood represent an innovative approach—a “fetal brain liquid biopsy”—enabling early diagnostics of neuronal dysfunction in [...] Read more.
Fetal growth restriction (FGR) remains a significant problem in obstetrics and is a key risk factor for perinatal brain injury. The fetal neuronal vesicles (FNVs) isolated from maternal blood represent an innovative approach—a “fetal brain liquid biopsy”—enabling early diagnostics of neuronal dysfunction in FGR. Western blotting was used to evaluate the protein pattern expression of FNVs isolated from the blood of pregnant women with FGR and uncomplicated pregnancy. Significant changes in the neurotrophic proteins levels (pro-BDNF, pro-NGF) and presynaptic neurotransmission proteins (SYN1, SYP, SYNPO) were identified. New data were obtained on changes in the expression of proteins of sumoylation (SUMO2/3/4) and neddylation (NAE1, UBC12), which differs in early-onset and late-onset FGR. Moreover, increased SUMO2/3/4 levels can be considered as an endogenous neuroprotective response to cerebral hemodynamic reaction in fetuses with late-onset growth restriction. An association has been established between changes in the expression of the studied proteins and intraventricular hemorrhage (IVH) in newborns with late-onset growth restriction. Full article
(This article belongs to the Special Issue The Role of Neurons in Human Health and Disease—3rd Edition)
Show Figures

Figure 1

32 pages, 15724 KB  
Article
A Time-Dependent Dijkstra’s Algorithm for the Shortest Path Considering Periodic Queuing Delays at Signalized Intersections
by Binghao Ji, Peng Zhang, Chao Sun, Junhui Zhang and Wenquan Li
Systems 2026, 14(1), 61; https://doi.org/10.3390/systems14010061 - 7 Jan 2026
Viewed by 189
Abstract
In urban road networks, queuing delays at signalized intersections often account for over half of the total travel time. The complexity of traffic signals and vehicle queuing makes traditional shortest path algorithms insufficient for real-time optimal path finding. This study proposes a Time-Dependent [...] Read more.
In urban road networks, queuing delays at signalized intersections often account for over half of the total travel time. The complexity of traffic signals and vehicle queuing makes traditional shortest path algorithms insufficient for real-time optimal path finding. This study proposes a Time-Dependent Dijkstra’s algorithm to address these challenges. The network topology is redesigned to model vehicle turning behaviors accurately. A periodic queuing delay parameter matrix for signalized intersections is introduced, storing traffic flow and signal phase parameters. Additionally, a time-varying weight matrix tracks the vehicle’s position in the signal cycle upon intersection arrival. Using cumulative curve theory, a periodic queuing-delay model is constructed to capture delays for vehicles arriving at different times. The algorithm updates the network weight matrix in real-time based on vehicle arrival times at intersections, enabling FIFO-consistent time-dependent shortest path computation for a given departure time. Numerical and SUMO simulations on a real-world road network in Suzhou Industrial Park (comprising 15 signalized intersections and 22 road segments) demonstrate the algorithm’s effectiveness. Results show a 25.36% reduction in travel time compared to the traditional Dijkstra’s Algorithm and a 10.46% reduction compared to an algorithm considering only signalized intersection waiting time when departure times vary. The results highlight the impact of periodic queuing delays, with the algorithm reducing travel time and improving path planning. Full article
(This article belongs to the Section Systems Engineering)
Show Figures

Figure 1

27 pages, 914 KB  
Article
Reinforcement Learning for Lane-Changing Decision Making in Autonomous Vehicles: A Survey
by Ammar Khaleel and Áron Ballagi
Smart Cities 2026, 9(1), 9; https://doi.org/10.3390/smartcities9010009 - 3 Jan 2026
Viewed by 361
Abstract
Autonomous lane-changing is one of the most critical and complex tasks in automated driving. Recent progress in reinforcement learning (RL) has shown strong potential to help autonomous vehicles (AVs) make safe and flexible lane-change decisions in real time under uncertain traffic conditions. In [...] Read more.
Autonomous lane-changing is one of the most critical and complex tasks in automated driving. Recent progress in reinforcement learning (RL) has shown strong potential to help autonomous vehicles (AVs) make safe and flexible lane-change decisions in real time under uncertain traffic conditions. In the current studies, there is a lack of a common structure that links RL algorithms, simulation tools, and performance evaluation methods. This paper presents a detailed examination of RL-based lane-changing systems in AVs, tracing their development from early rule-based models to modern learning-based approaches. It introduces a clear classification of lane-changing types—discretionary, mandatory, cooperative, and emergency—and connects each to the most suitable RL methods, including value-based, policy-based, actor–critic, model-based, and hybrid algorithms. Each method is examined for its performance, safety, and computational demands. Furthermore, it reviews major simulation environments, such as SUMO, CARLA, and SMARTS, and summarizes key evaluation measures related to safety, efficiency, comfort, and real-time performance. The comparison shows open research challenges, including model adaptation, safety assurance, and transfer from simulation to real-world driving. Finally, it outlines promising directions for future work, such as cooperative decision-making, safe and explainable RL, and lightweight models for real-time use. This review provides a clear foundation and practical guide for developing reliable and understandable RL-based lane-changing systems for future intelligent transportation. Full article
(This article belongs to the Section Smart Urban Mobility, Transport, and Logistics)
Show Figures

Figure 1

24 pages, 3711 KB  
Article
A Multi-Agent Regional Traffic Signal Control System Integrating Traffic Flow Prediction and Graph Attention Networks
by Chao Sun, Yuhao Yang, Jiacheng Li, Weiyi Fang and Peng Zhang
Systems 2026, 14(1), 47; https://doi.org/10.3390/systems14010047 - 31 Dec 2025
Viewed by 292
Abstract
Adaptive traffic signal control is a critical component of intelligent transportation systems, and multi-agent deep reinforcement learning (MARL) has attracted increasing interest due to its scalability and control efficiency. However, existing methods have two major drawbacks: (i) they are largely driven by current [...] Read more.
Adaptive traffic signal control is a critical component of intelligent transportation systems, and multi-agent deep reinforcement learning (MARL) has attracted increasing interest due to its scalability and control efficiency. However, existing methods have two major drawbacks: (i) they are largely driven by current and historical traffic states, without explicit forecasting of upcoming traffic conditions, and (ii) their coordination mechanisms are often weak, making it difficult to model complex spatial dependencies in large-scale road networks and thereby limiting the benefits of coordinated control. To address these issues, we propose TG-MADDPG, which integrates short-term traffic prediction with a graph attention network (GAT) for regional signal control. A WT-GWO-CNN-LSTM traffic forecasting module predicts near-future states and injects them into the MARL framework to support anticipatory decision-making. Meanwhile, the GAT dynamically encodes road-network topology and adaptively captures inter-intersection spatial correlations. In addition, we design a reward based on normalized pressure difference to guide cooperative optimization of signal timing. Experiments on the SUMO simulator across synthetic and real-world networks under both off-peak and peak demands show that TG-MADDPG consistently achieves lower average waiting times, shorter queue lengths, and higher cumulative rewards than IQL, MADDPG, and GMADDPG, demonstrating strong effectiveness and generalization. Full article
(This article belongs to the Section Systems Engineering)
Show Figures

Figure 1

33 pages, 4608 KB  
Article
Simulated Microgravity-Induced Changes in SUMOylation and Protein Expression in Saccharomyces cerevisiae
by Jeremy A. Sabo and Steven D. Hartson
Int. J. Mol. Sci. 2026, 27(1), 42; https://doi.org/10.3390/ijms27010042 - 19 Dec 2025
Viewed by 342
Abstract
Microgravity during space travel induces significant regulatory changes in the body, posing health risks for astronauts, including alterations in cell morphology and cytoskeletal integrity. The Small Ubiquitin-like Modifier (SUMO) is crucial for cellular adaptation, regulating DNA repair, cytoskeletal dynamics, cell division, and protein [...] Read more.
Microgravity during space travel induces significant regulatory changes in the body, posing health risks for astronauts, including alterations in cell morphology and cytoskeletal integrity. The Small Ubiquitin-like Modifier (SUMO) is crucial for cellular adaptation, regulating DNA repair, cytoskeletal dynamics, cell division, and protein turnover—all processes affected by microgravity. To determine the extent to which SUMO mediates the cellular response to microgravity stress, Saccharomyces cerevisiae cells were cultured under normal gravity and simulated microgravity (SMG) in rotating wall vessels. After 12 h of culture, we investigated changes in SUMO modified proteins and protein expression. We identified 347 SUMOylated proteins, 18 of which demonstrated a 50% change in abundance under SMG. Of 3773 proteins identified, protein expression for 34 proteins decreased and 8 increased by over 50% in SMG (p < 0.05). Differentially expressed proteins represented changes in cellular processes for DNA repair, cell division, histone modification, and cytoskeleton regulation. These findings underscore the pivotal role of SUMOylation in orchestrating cellular adaptation to the unique stress of microgravity, revealing potential targets for mitigating spaceflight-induced health risks. Full article
(This article belongs to the Special Issue Advances in Yeast Engineering and Stress Responses)
Show Figures

Figure 1

32 pages, 5517 KB  
Article
Evaluation of Jamming Attacks on NR-V2X Systems: Simulation and Experimental Perspectives
by Antonio Santos da Silva, Kevin Herman Muraro Gularte, Giovanni Almeida Santos, Davi Salomão Soares Corrêa, Luís Felipe Oliveira de Melo, João Paulo Javidi da Costa, José Alfredo Ruiz Vargas, Daniel Alves da Silva and Tai Fei
Signals 2026, 7(1), 1; https://doi.org/10.3390/signals7010001 - 19 Dec 2025
Viewed by 531
Abstract
Autonomous vehicles (AVs) are transforming transportation by improving safety, efficiency, and intelligence through integrated sensing, computing, and communication technologies. However, their growing reliance on Vehicle-to-Everything (V2X) communication exposes them to cybersecurity vulnerabilities, particularly at the physical layer. Among these, jamming attacks represent a [...] Read more.
Autonomous vehicles (AVs) are transforming transportation by improving safety, efficiency, and intelligence through integrated sensing, computing, and communication technologies. However, their growing reliance on Vehicle-to-Everything (V2X) communication exposes them to cybersecurity vulnerabilities, particularly at the physical layer. Among these, jamming attacks represent a critical threat by disrupting wireless channels and compromising message delivery, severely impacting vehicle coordination and safety. This work investigates the robustness of New Radio (NR)-V2X-enabled vehicular systems under jamming conditions through a dual-methodology approach. First, two Cooperative Intelligent Transport System (C-ITS) scenarios standardized by 3GPP—Do Not Pass Warning (DNPW) and Intersection Movement Assist (IMA)—are implemented in the OMNeT++ simulation environment using Simu5G, Veins, and SUMO. The simulations incorporate four types of jamming strategies and evaluate their impact on key metrics such as packet loss, signal quality, inter-vehicle spacing, and collision risk. Second, a complementary laboratory experiment is conducted using AnaPico vector signal generators (a Keysight Technologies brand) and an Anritsu multi-channel spectrum receiver, replicating controlled wireless conditions to validate the degradation effects observed in the simulation. The findings reveal that jamming severely undermines communication reliability in NR-V2X systems, both in simulation and in practice. These findings highlight the urgent need for resilient NR-V2X protocols and countermeasures to ensure the integrity of cooperative autonomous systems in adversarial environments. Full article
Show Figures

Figure 1

26 pages, 4608 KB  
Article
Quantitative Methodology for Comparing Microscopic Traffic Simulators
by Peter Anyin, Dominik Wittenberg and Jürgen Pannek
Future Transp. 2025, 5(4), 201; https://doi.org/10.3390/futuretransp5040201 - 15 Dec 2025
Viewed by 458
Abstract
As part of transportation planning processes, simulators are used to mirror real-world situations to test new policies and evaluate infrastructure changes. In practice, simulator selection has often been based on availability rather than on technical suitability, particularly for microscopic-scale applications. In this study, [...] Read more.
As part of transportation planning processes, simulators are used to mirror real-world situations to test new policies and evaluate infrastructure changes. In practice, simulator selection has often been based on availability rather than on technical suitability, particularly for microscopic-scale applications. In this study, a quantitative methodology focusing on simulation runtime, memory usage, runtime consistency, travel time, safe gap distance, and scalability is proposed. A combined index was developed to assess simulators across different scales and traffic densities. VISSIM, SUMO, and MATSim were tested, and the results indicate that SUMO and MATSim demonstrate strong performance in runtime and memory usage. In large-scale scenarios, both simulators proved suitable for high-demand simulations, with MATSim exhibiting greater scalability. VISSIM matches real-world travel times more closely and fairly handles realistic safe gap distances, making it more suitable for less dense, detailed, microscopic simulations. Full article
Show Figures

Figure 1

19 pages, 2619 KB  
Article
Analysis of Cascading Conflict Risks of Autonomous Vehicles in Heterogeneous Traffic Flows
by Qingyu Luo, Xinyue Sun, Hongfei Jia and Qiuyang Huang
Mathematics 2025, 13(24), 3982; https://doi.org/10.3390/math13243982 - 13 Dec 2025
Viewed by 341
Abstract
As autonomous vehicles proliferate in mixed traffic streams, heterogeneous flows comprising vehicles with diverse driving strategies introduce significant complexity to cascading conflict propagation, while conventional conflict risk assessment methods based on homogeneous assumptions fail to capture the intricate risk transmission mechanisms embedded in [...] Read more.
As autonomous vehicles proliferate in mixed traffic streams, heterogeneous flows comprising vehicles with diverse driving strategies introduce significant complexity to cascading conflict propagation, while conventional conflict risk assessment methods based on homogeneous assumptions fail to capture the intricate risk transmission mechanisms embedded in high-dimensional trajectory data. To address the challenge, this study establishes a systematic data analytics framework. Firstly, a conflict risk quantification model is proposed by integrating safety field theory considering heterogeneity traffic flow, achieving precise quantification of microscopic interaction risks through vehicle risk coefficients that characterize differential risk sensitivity across distinct driving strategies. Secondly, a cascading conflict identification algorithm is designed to extract cascading propagation chains from trajectory data. Thirdly, a method to analyze cascading conflict risk propagation is developed using CatBoost (v1.2.8), coupled with SHapley Additive ExPlanations interpretability analysis to systematically reveal the propagation mechanisms underlying cascading conflicts. Empirical findings indicate that primary conflict intensity and longitudinal relative speed are the dominant predictive features for secondary conflicts; moreover, local traffic heterogeneity entropy exerts a significant moderating effect—quantitative analysis reveals that higher heterogeneity increases the likelihood of secondary conflicts under identical primary risk conditions. Comprehensive validation using SUMO microscopic simulation demonstrates that the proposed data analytics pipeline effectively identifies and accurately predicts and analyzes secondary conflicts across diverse traffic scenarios. This framework provides interpretable foundations for intelligent conflict-risk identification systems, propagation-mechanism analysis, and proactive safety interventions in heterogeneous traffic environments, offering significant implications for real-time traffic monitoring and intelligent transportation system design. Full article
(This article belongs to the Special Issue Data-Driven Approaches for Big Data Analysis of Intelligent Systems)
Show Figures

Figure 1

20 pages, 3900 KB  
Article
A Conceptual Model of a Digital Twin Driven Co-Pilot for Speed Coordination in Congested Urban Traffic
by Adrian Vasile Olteanu, Maximilian Nicolae, Bianca Alexe and Stefan Mocanu
Future Internet 2025, 17(12), 572; https://doi.org/10.3390/fi17120572 - 13 Dec 2025
Viewed by 326
Abstract
Digital Twins (DTs) are increasingly used to support real-time decision making in connected mobility systems, where network latency and uncertainty limit the effectiveness of conventional control strategies. This paper proposes a conceptual model for a DT-driven Co-Pilot designed to provide adaptive speed recommendations [...] Read more.
Digital Twins (DTs) are increasingly used to support real-time decision making in connected mobility systems, where network latency and uncertainty limit the effectiveness of conventional control strategies. This paper proposes a conceptual model for a DT-driven Co-Pilot designed to provide adaptive speed recommendations in congested urban traffic. The system combines live data from a mobile client with a prediction engine that executes multiple short-horizon SUMO simulations in parallel, enabling the DT to anticipate local traffic evolution faster than real time. A lightweight clock-alignment mechanism and latency evaluation over LAN, Cloudflare-tunneled connections, and 4G/5G networks demonstrate that the Co-Pilot can operate reliably using existing communication infrastructures. Experimental results show that moderate speeds (35–50 km/h) yield throughput and delay performance comparable to higher speeds, while improving flow stability—an important property for safe platooning and collaborative driving. The parallel execution of ten SUMO instances completes within 2–3 s for a 600 s simulation horizon, confirming the feasibility of embedding domain-specific ITS logic into a predictive DT architecture. The findings demonstrate that Digital Twin–based anticipatory simulation can compensate for communication latency and support real-time speed coordination, providing a practical pathway toward scalable, deployable DT-enabled traffic assistance systems. Full article
(This article belongs to the Section Internet of Things)
Show Figures

Graphical abstract

33 pages, 3370 KB  
Article
AIP-Urban: Edge-Enabled Deep Learning Framework for Predictive Maintenance and Anomaly Detection in Urban Traffic Infrastructure
by Wajih Abdallah and Mansoor Alghamdi
Systems 2025, 13(12), 1117; https://doi.org/10.3390/systems13121117 - 11 Dec 2025
Viewed by 583
Abstract
Urban traffic infrastructures like traffic signals, surveillance cameras, and embedded sensors play an essential role in providing sustainable mobility but are also susceptible to malfunctions, data drift, and degradation from environmental conditions. In this study, we propose AIP-Urban, an edge AI-enabled predictive maintenance [...] Read more.
Urban traffic infrastructures like traffic signals, surveillance cameras, and embedded sensors play an essential role in providing sustainable mobility but are also susceptible to malfunctions, data drift, and degradation from environmental conditions. In this study, we propose AIP-Urban, an edge AI-enabled predictive maintenance framework that employs deep spatio-temporal learning with continuous anomaly detection for smart transportation systems. Our framework integrates IoT sensing, computer vision, and time-series analytics to identify and forecast infrastructure failures before they occur. For visual and numerical anomalies (e.g., traffic signal outage, abrupt congestion, sensor disconnection), we employ a hybrid CNN–Transformer model, while we utilise a Temporal LSTM predictor to estimate a degradation trend to predict maintenance events within 24 h. The models are deployed on Jetson Nano edge devices to enable real-time processing under energy constraints. Extensive simulation studies using datasets from SUMO, CityCam, and UA-DETRAC show that AIP-Urban achieved 94% accuracy for anomaly detection (F1 = 0.94), with RMSE = 0.11 for failure prediction and an edge inference latency of 72 ms, while power consumption remained below 7.8 W. Statistical tests (Wilcoxon p < 0.05) show goodness-of-fit compared to baseline models of CNN, LSTM, and Transformer only. This study shows promise in improving the reliability, safety, and sustainability of urban traffic using proactive, explainable, and energy-aware AI at the edge. AIP-Urban serves as a reproducible reference architecture for future AI-driven transportation maintenance systems that is aligned with intelligent and resilient smart cities principles. Full article
Show Figures

Figure 1

15 pages, 2010 KB  
Article
Traffic Impact Analysis of Acceleration Lane Length Considering Dedicated Lane Location for Connected and Autonomous Vehicles: A Virtual Segment Study of Chinese Expressways
by Jian Li, Yan Gong, Li Li, Peipei Mao, Hao Wang and Xu Qu
Appl. Sci. 2025, 15(24), 12854; https://doi.org/10.3390/app152412854 - 5 Dec 2025
Viewed by 330
Abstract
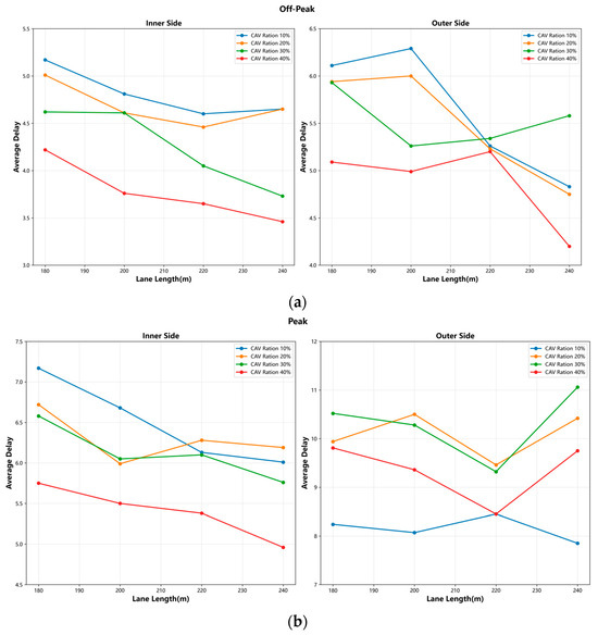
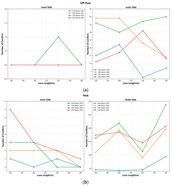
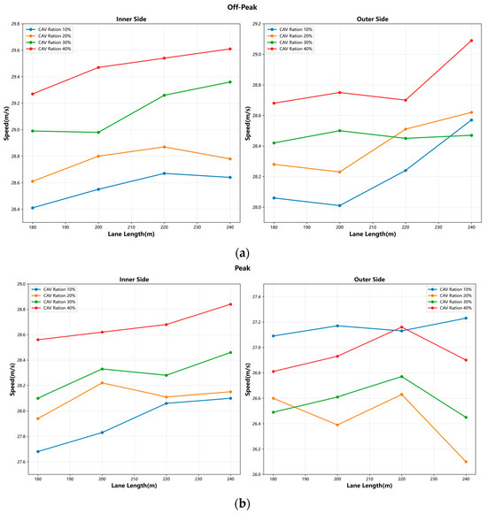
In the initial stages of Connected and Autonomous Vehicles (CAVs) development, the deployment of dedicated lanes for autonomous driving is an important measure to improve traffic efficiency and safety. To study the impact of considering acceleration lane length on the design of highway [...] Read more.
In the initial stages of Connected and Autonomous Vehicles (CAVs) development, the deployment of dedicated lanes for autonomous driving is an important measure to improve traffic efficiency and safety. To study the impact of considering acceleration lane length on the design of highway merging areas in mixed traffic flow environments, as well as its correlation with road safety and traffic efficiency, two design schemes for acceleration lane length in highway merging areas with different positions of dedicated lanes were investigated: setting the dedicated lane on the innermost or outermost part of the main highway. By designing different road traffic volumes and market penetration rates of CAVs, SUMO simulation was used to analyze the impact of acceleration lane length in highway merging areas on road traffic from both a traffic efficiency and safety perspective under different CAV penetration rate conditions. The results show that although increasing acceleration lane length can improve average vehicle speed and reduce delay, its effect is not very significant. When the dedicated lane is set on the innermost part of the mainline, both average vehicle delay and speed performance are better than when it is designed on the outermost part. Increasing lane length leads to an upward trend in average speed but with limited growth rates—maximum growth ranges from 0.28% to 2% during off-peak periods and from 0.52% to 1.52% during peak periods. At the same time, increasing lane length reduces average delay by a range between 0.39 s to 1.74 s. Additionally, vehicle conflict occurrences decrease with increasing lane length during off-peak periods but show no significant change during peak periods. Full article
(This article belongs to the Section Transportation and Future Mobility)
Show Figures

Figure 1

27 pages, 4514 KB  
Article
Sustainable Urban Mobility: Leveraging Generative AI for Symmetry-Aware Traffic Light Optimization
by Pedro C. Santana-Mancilla, Antonio Guerrero-Ibáñez, Juan Contreras-Castillo, Jesús García-Mancilla and Luis Anido-Rifón
Symmetry 2025, 17(12), 2083; https://doi.org/10.3390/sym17122083 - 4 Dec 2025
Viewed by 556
Abstract
Urban intersections are critical nodes where traffic congestion and energy inefficiency converge. Traditional signal control systems often optimize either mobility or sustainability, creating an asymmetry between flow efficiency and environmental impact. This study introduces a symmetry-aware generative optimization framework that leverages Generative Artificial [...] Read more.
Urban intersections are critical nodes where traffic congestion and energy inefficiency converge. Traditional signal control systems often optimize either mobility or sustainability, creating an asymmetry between flow efficiency and environmental impact. This study introduces a symmetry-aware generative optimization framework that leverages Generative Artificial Intelligence (GAI) to balance both dimensions. Using the microscopic simulator SUMO, we modeled a signalized intersection in Colima, Mexico, under five control strategies: Fixed Time (baseline), GPT-4o, GPT-5 Thinking, Gemini 2.5 Pro, and DeepSeek V3. Each Large Language Model (LLM) received structured simulation data and generated new phase-duration configurations to minimize queue length, travel time, and CO2 emissions while improving average speed. Step-level performance was evaluated using descriptive statistics, and Wilcoxon signed-rank tests paired with Holm–Bonferroni correction. Results show that all LLM-based controllers significantly outperformed the Fixed Time baseline (adjusted p ≤ 4.8 × 10−6), with large effect sizes (|dz| ≈ 1.5–2.6). GPT-5 achieved the strongest performance, reducing queue size by ≈ 44%, CO2 emissions by ≈ 17%, and increasing average speed by ≈ 58%. The results validate the feasibility of symmetry-aware generative reasoning for sustainable traffic optimization and establish a reproducible methodological framework applicable to future AI-driven urban mobility systems. Full article
Show Figures

Figure 1

24 pages, 1403 KB  
Article
Optimizing Urban Travel Time Using Genetic Algorithms for Intelligent Transportation Systems
by Suhail Odeh, Murad Al Rajab, Mahmoud Obaid, Rafik Lasri and Djemel Ziou
AI 2025, 6(12), 315; https://doi.org/10.3390/ai6120315 - 4 Dec 2025
Viewed by 717
Abstract
Urban congestion causes further increases in travel times, fuel consumption and greenhouse-gas emissions. In this regard, we conduct a systematic study of a Genetic Algorithm (GA) for real-time routing in an urban scenario in Bethlehem City, based on a SUMO microsimulation that has [...] Read more.
Urban congestion causes further increases in travel times, fuel consumption and greenhouse-gas emissions. In this regard, we conduct a systematic study of a Genetic Algorithm (GA) for real-time routing in an urban scenario in Bethlehem City, based on a SUMO microsimulation that has been calibrated using real data from the field. Our work makes four main contributions: (i) the implementation of a reproducible GA framework for dynamic routing with explicit constraints and adaptive termination criterion; (ii) design of a weight sensitivity study for studying a multi term fitness function with travel time and waiting time, and optionally fuel usage; (iii) an edge-assisted distributed architecture on roadside units (RSUs) supported by cloud services; and (iv) specifying and refining the data set description and experimental protocol with a planned statistical analysis. Empirical evidence from the Bethlehem case study shows a consistent decline in total travel time under high congestion cases. Variations in the waiting time between different scenarios are exhibited, reflecting the trade-offs in the fitness weighting scheme. We recognize that we have some limitations, including the manual resolution of data and the inherent problem of differences between simulations and real world, and we are proposing a road-map towards a pilot deployment that handles these issues. Rather than proposing a new GA variant, we present a deployment-oriented framework-an edge- assisted GA with explicit protocols and a latency envelope, and a reproducible multi-objective tuning procedure validated on a city-scale network under severe congestion. Full article
(This article belongs to the Section AI Systems: Theory and Applications)
Show Figures

Figure 1

18 pages, 2927 KB  
Article
Machine Learning-Based Discovery of Antimicrobial Peptides and Their Antibacterial Activity Against Staphylococcus aureus
by Yuetong Fu, Zeyu Yan, Jingtao Yuan, Yishuai Wang, Wenqiang Zhao, Ziguang Wang, Jingyu Pan, Jing Zhang, Yang Sun and Ling Jiang
Fermentation 2025, 11(12), 669; https://doi.org/10.3390/fermentation11120669 - 28 Nov 2025
Viewed by 976
Abstract
The escalating crisis of antibiotic resistance, particularly concerning foodborne pathogens such as Staphylococcus aureus and its biofilm contamination, has emerged as a major global challenge to food safety and public health. Biofilm formation significantly enhances the pathogen’s resistance to environmental stresses and disinfectants, [...] Read more.
The escalating crisis of antibiotic resistance, particularly concerning foodborne pathogens such as Staphylococcus aureus and its biofilm contamination, has emerged as a major global challenge to food safety and public health. Biofilm formation significantly enhances the pathogen’s resistance to environmental stresses and disinfectants, underscoring the urgent need for novel antimicrobial agents. In this study, we isolated Bacillus strain B673 from the saline–alkali environment of Xinjiang, conducted whole-genome sequencing, and applied antiSMASH analysis to identify ribosomally synthesized and post-translationally modified peptide (RiPP) gene clusters. By integrating an LSTM-Attention-BERT deep learning framework, we screened and predicted nine novel antimicrobial peptide sequences. Using a SUMO-tag fusion tandem strategy, we achieved efficient soluble expression in an E. coli system, and the purified products exhibited remarkable inhibitory activity against Staphylococcus aureus (MIC = 3.13 μg/mL), with inhibition zones larger than those of the positive control. Molecular docking and dynamic simulations demonstrated that the peptides can stably bind to MurE, a key enzyme in cell wall synthesis, with negative binding free energy, suggesting an antibacterial mechanism via MurE inhibition. This study provides promising candidate molecules for the development of anti-drug-resistant agents and establishes an integrated research framework for antimicrobial peptides, spanning gene mining, intelligent screening, efficient expression, and mechanistic elucidation. Full article
(This article belongs to the Special Issue Applied Microorganisms and Industrial/Food Enzymes, 2nd Edition)
Show Figures

Figure 1

Back to TopTop