Sign in to use this feature.

Years

Between: -

Subjects

remove_circle_outline
remove_circle_outline
remove_circle_outline
remove_circle_outline
remove_circle_outline
remove_circle_outline
remove_circle_outline
remove_circle_outline

Journals

Article Types

Countries / Regions

Search Results (23)

Search Parameters:
Keywords = SNIPERS

Order results
Result details
Results per page
Select all
Export citation of selected articles as:
26 pages, 4155 KB  
Review
Palbociclib as an Antitumor Drug: A License to Kill
by Agnieszka Łupicka-Słowik, Federica Cossu and Marcin Sieńczyk
Molecules 2024, 29(22), 5334; https://doi.org/10.3390/molecules29225334 - 13 Nov 2024
Cited by 2 | Viewed by 5586
Abstract
Neoplastic cells are characterized by uncontrolled cell divisions caused by cell cycle dysregulation. Key regulatory proteins governing the transition from the G1 to the S phase are the CDK4 and CDK6 kinases, which are controlled by D-type cyclins. The CDK4/6 kinases enable the [...] Read more.
Neoplastic cells are characterized by uncontrolled cell divisions caused by cell cycle dysregulation. Key regulatory proteins governing the transition from the G1 to the S phase are the CDK4 and CDK6 kinases, which are controlled by D-type cyclins. The CDK4/6 kinases enable the use of these proteins as targets for anticancer therapy because they prevent the growth and the development of malignant cells by inhibiting their activity. This paper surveys the clinical trial results concerning palbociclib, the first in-class FDA-approved anticancer drug for hormone-dependent breast cancer. It discusses the therapeutic applications in breast cancer as well as in solid tumors and hematopoietic malignancies. Additionally, the paper presents an analysis of palbociclib resistance acquired during therapy and explores new approaches, such as modifications to palbociclib that enhance its desired activity or open up new therapeutic possibilities (PROTACs). Full article
Show Figures

Figure 1

19 pages, 809 KB  
Review
Overcoming Cancer Resistance: Strategies and Modalities for Effective Treatment
by Mahesh Koirala and Mario DiPaola
Biomedicines 2024, 12(8), 1801; https://doi.org/10.3390/biomedicines12081801 - 8 Aug 2024
Cited by 33 | Viewed by 9078
Abstract
Resistance to cancer drugs is a complex phenomenon that poses a significant challenge in the treatment of various malignancies. This review comprehensively explores cancer resistance mechanisms and discusses emerging strategies and modalities to overcome this obstacle. Many factors contribute to cancer resistance, including [...] Read more.
Resistance to cancer drugs is a complex phenomenon that poses a significant challenge in the treatment of various malignancies. This review comprehensively explores cancer resistance mechanisms and discusses emerging strategies and modalities to overcome this obstacle. Many factors contribute to cancer resistance, including genetic mutations, activation of alternative signaling pathways, and alterations in the tumor microenvironment. Innovative approaches, such as targeted protein degradation, immunotherapy combinations, precision medicine, and novel drug delivery systems, hold promise for improving treatment outcomes. Understanding the intricacies of cancer resistance and leveraging innovative modalities are essential for advancing cancer therapy. Full article
(This article belongs to the Special Issue Drug Resistance and Novel Targets for Cancer Therapy—Second Edition)
Show Figures

Figure 1

21 pages, 9249 KB  
Article
Expanding the Mesozoic Record of Early Brachyceran Fly Larvae, including New Larval Forms with Chimera-Type Morphologies
by André P. Amaral, Joachim T. Haug, Carolin Haug, Simon Linhart, Patrick Müller, Jörg U. Hammel and Viktor Baranov
Insects 2024, 15(4), 270; https://doi.org/10.3390/insects15040270 - 13 Apr 2024
Cited by 4 | Viewed by 3268
Abstract
Diptera are one of the four megadiverse groups of holometabolan insects. Flies perform numerous ecological functions, especially in their larval stages. We can assume that this was already the case in the past; however, fly larvae remain rare in most deposits. Here we [...] Read more.
Diptera are one of the four megadiverse groups of holometabolan insects. Flies perform numerous ecological functions, especially in their larval stages. We can assume that this was already the case in the past; however, fly larvae remain rare in most deposits. Here we report new dipteran larvae preserved in Cretaceous (about 99 Ma) Kachin amber from Myanmar and, even older, Jurassic (about 165 Ma) compression fossils from China. Through light microscopy and micro-CT scanning we explore their peculiar morphology and discuss their possible phylogenetic affinities. Several larvae seem to represent the lineage of Stratiomyomorpha. A few others present characters unique to Xylophagidae (awl-flies), as well as to Athericidae (water sniper-flies), resulting in a chimeric morphology. Understanding the exact relationships of most of these specimens with a particular lineage remains challenging, since they differ considerably from any other known dipteran larvae and present some unique traits. Additionally, we report new specimens of Qiyia jurassica Chen et al., 2014, supposedly parasitic larvae, most likely representatives of Athericidae. These new findings offer valuable insights into the evolution of the early diversification of the brachyceran flies and underscore the importance of immature stages in understanding the evolutionary history and ecology of flies. Full article
(This article belongs to the Collection Advances in Diptera Biology)
Show Figures

Figure 1

21 pages, 6467 KB  
Article
Architectural and Technological Approaches for Efficient Energy Management in Multicore Processors
by Claudiu Buduleci, Arpad Gellert, Adrian Florea and Remus Brad
Computers 2024, 13(4), 84; https://doi.org/10.3390/computers13040084 - 22 Mar 2024
Cited by 3 | Viewed by 3596
Abstract
Benchmarks play an essential role in the performance evaluation of novel research concepts. Their effectiveness diminishes if they fail to exploit the available hardware of the evaluated microprocessor or, more broadly, if they are not consistent in comparing various systems. An empirical analysis [...] Read more.
Benchmarks play an essential role in the performance evaluation of novel research concepts. Their effectiveness diminishes if they fail to exploit the available hardware of the evaluated microprocessor or, more broadly, if they are not consistent in comparing various systems. An empirical analysis of the consecrated Splash-2 benchmarks suite vs. the latest version Splash-4 was performed. It was shown that on a 64-core configuration, half of the simulated benchmarks reach temperatures well beyond the critical threshold of 105 °C, emphasizing the necessity of a multi-objective evaluation from at least the following perspectives: energy consumption, performance, chip temperature, and integration area. During the analysis, it was observed that the cores spend a large amount of time in the idle state, around 45% on average in some configurations. This can be exploited by implementing a predictive dynamic voltage and frequency scaling (DVFS) technique called the Simple Core State Predictor (SCSP) to enhance the Intel Nehalem architecture and to simulate it using Sniper. The aim was to decrease the overall energy consumption by reducing power consumption at core level while maintaining the same performance. More than that, the SCSP technique, which operates with core-level abstract information, was applied in parallel with a Value Predictor (VP) or a Dynamic Instruction Reuse (DIR) technique, which rely on instruction-level information. Using the SCSP alone, a 9.95% reduction in power consumption and an energy reduction of 10.54% were achieved, maintaining the performance. By combining the SCSP with the VP technique, a performance increase of 8.87% was obtained while reducing power and energy consumption by 3.13% and 8.48%, respectively. Full article
(This article belongs to the Special Issue Green Networking and Computing 2022)
Show Figures

Figure 1

33 pages, 4734 KB  
Review
Recent Advances in Genome-Editing Technology with CRISPR/Cas9 Variants and Stimuli-Responsive Targeting Approaches within Tumor Cells: A Future Perspective of Cancer Management
by Khaled S. Allemailem, Saleh A. Almatroodi, Ahmad Almatroudi, Faris Alrumaihi, Waleed Al Abdulmonem, Wafa Abdullah I. Al-Megrin, Adel Nasser Aljamaan, Arshad Husain Rahmani and Amjad Ali Khan
Int. J. Mol. Sci. 2023, 24(8), 7052; https://doi.org/10.3390/ijms24087052 - 11 Apr 2023
Cited by 33 | Viewed by 10125
Abstract
The innovative advances in transforming clustered regularly interspaced short palindromic repeats-associated protein 9 (CRISPR/Cas9) into different variants have taken the art of genome-editing specificity to new heights. Allosteric modulation of Cas9-targeting specificity by sgRNA sequence alterations and protospacer adjacent motif (PAM) modifications have [...] Read more.
The innovative advances in transforming clustered regularly interspaced short palindromic repeats-associated protein 9 (CRISPR/Cas9) into different variants have taken the art of genome-editing specificity to new heights. Allosteric modulation of Cas9-targeting specificity by sgRNA sequence alterations and protospacer adjacent motif (PAM) modifications have been a good lesson to learn about specificity and activity scores in different Cas9 variants. Some of the high-fidelity Cas9 variants have been ranked as Sniper-Cas9, eSpCas9 (1.1), SpCas9-HF1, HypaCas9, xCas9, and evoCas9. However, the selection of an ideal Cas9 variant for a given target sequence remains a challenging task. A safe and efficient delivery system for the CRISPR/Cas9 complex at tumor target sites faces considerable challenges, and nanotechnology-based stimuli-responsive delivery approaches have significantly contributed to cancer management. Recent innovations in nanoformulation design, such as pH, glutathione (GSH), photo, thermal, and magnetic responsive systems, have modernized the art of CRISPR/Cas9 delivery approaches. These nanoformulations possess enhanced cellular internalization, endosomal membrane disruption/bypass, and controlled release. In this review, we aim to elaborate on different CRISPR/Cas9 variants and advances in stimuli-responsive nanoformulations for the specific delivery of this endonuclease system. Furthermore, the critical constraints of this endonuclease system on clinical translations towards the management of cancer and prospects are described. Full article
Show Figures

Figure 1

16 pages, 338 KB  
Article
Dancing with the Sniper: Rasha Abbas and the “Art of Survival” as an Aesthetic Strategy
by Moritz Schramm
Humanities 2023, 12(2), 29; https://doi.org/10.3390/h12020029 - 16 Mar 2023
Cited by 2 | Viewed by 2318
Abstract
In the last few decades, a growing dissatisfaction with traditional approaches can be observed in migration and refugee studies. In particular, the widespread focus on the “refugee” and “migrant” as exclusive objects of study has been criticized for its underlying tendency of repeating [...] Read more.
In the last few decades, a growing dissatisfaction with traditional approaches can be observed in migration and refugee studies. In particular, the widespread focus on the “refugee” and “migrant” as exclusive objects of study has been criticized for its underlying tendency of repeating the binary polarization between migrant and non-migrant, native and foreign as well as majority and minority. This chapter considers the short stories of Syrian journalist and writer Rasha Abbas against this background. Instead of reducing her stories to the depiction of flight and exile, this chapter explores her stories as aesthetic expressions of what can be called the “art of survival”—the concept focusing on strategies of empowerment and tactics to regain autonomy. In Abbas’ prose, this “art of survival” is achieved and expressed through the blending of times and spaces as well as the aesthetic transformation of reality into surreal realms. Experiences of war, displacement, exile, and patterns of exclusion in the new homeland merge into complex pictures of the human capacity to reframe and reinvent a given reality. When viewed from this perspective, the surreal and psychedelic nature of her writing intensifies the power of aesthetic freedom, thus helping overcome traditional representations of migrants and refugees in cultural expressions and literature. Full article
(This article belongs to the Special Issue Ethics and Literary Practice II: Refugees and Representation)
18 pages, 1641 KB  
Review
Current Status of Oligonucleotide-Based Protein Degraders
by Po-Chang Shih, Miyako Naganuma, Yosuke Demizu and Mikihiko Naito
Pharmaceutics 2023, 15(3), 765; https://doi.org/10.3390/pharmaceutics15030765 - 24 Feb 2023
Cited by 9 | Viewed by 4622
Abstract
Transcription factors (TFs) and RNA-binding proteins (RBPs) have long been considered undruggable, mainly because they lack ligand-binding sites and are equipped with flat and narrow protein surfaces. Protein-specific oligonucleotides have been harnessed to target these proteins with some satisfactory preclinical results. The emerging [...] Read more.
Transcription factors (TFs) and RNA-binding proteins (RBPs) have long been considered undruggable, mainly because they lack ligand-binding sites and are equipped with flat and narrow protein surfaces. Protein-specific oligonucleotides have been harnessed to target these proteins with some satisfactory preclinical results. The emerging proteolysis-targeting chimera (PROTAC) technology is no exception, utilizing protein-specific oligonucleotides as warheads to target TFs and RBPs. In addition, proteolysis by proteases is another type of protein degradation. In this review article, we discuss the current status of oligonucleotide-based protein degraders that are dependent either on the ubiquitin–proteasome system or a protease, providing a reference for the future development of degraders. Full article
Show Figures

Graphical abstract

16 pages, 4307 KB  
Article
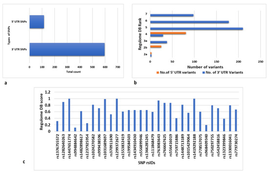
Investigation of UTR Variants by Computational Approaches Reveal Their Functional Significance in PRKCI Gene Regulation
by Hania Shah, Khushbukhat Khan, Yasmin Badshah, Naeem Mahmood Ashraf, Maria Shabbir, Janeen H. Trembley, Tayyaba Afsar, Ali Abusharha and Suhail Razak
Genes 2023, 14(2), 247; https://doi.org/10.3390/genes14020247 - 18 Jan 2023
Cited by 5 | Viewed by 4474
Abstract
Single nucleotide polymorphisms (SNPs) are associated with many diseases including neurological disorders, heart diseases, diabetes, and different types of cancers. In the context of cancer, the variations within non-coding regions, including UTRs, have gained utmost importance. In gene expression, translational regulation is as [...] Read more.
Single nucleotide polymorphisms (SNPs) are associated with many diseases including neurological disorders, heart diseases, diabetes, and different types of cancers. In the context of cancer, the variations within non-coding regions, including UTRs, have gained utmost importance. In gene expression, translational regulation is as important as transcriptional regulation for the normal functioning of cells; modification in normal functions can be associated with the pathophysiology of many diseases. UTR-localized SNPs in the PRKCI gene were evaluated using the PolymiRTS, miRNASNP, and MicroSNIper for association with miRNAs. Furthermore, the SNPs were subjected to analysis using GTEx, RNAfold, and PROMO. The genetic intolerance to functional variation was checked through GeneCards. Out of 713 SNPs, a total of thirty-one UTR SNPs (three in 3′ UTR region and twenty-nine in 5′ UTR region) were marked as ≤2b by RegulomeDB. The associations of 23 SNPs with miRNAs were found. Two SNPs, rs140672226 and rs2650220, were significantly linked with expression in the stomach and esophagus mucosa. The 3′ UTR SNPs rs1447651774 and rs115170199 and the 5′ UTR region variants rs778557075, rs968409340, and 750297755 were predicted to destabilize the mRNA structure with substantial change in free energy (∆G). Seventeen variants were predicted to have linkage disequilibrium with various diseases. The SNP rs542458816 in 5′ UTR was predicted to put maximum influence on transcription factor binding sites. Gene damage index(GDI) and loss of function (o:e) ratio values for PRKCI suggested that the gene is not tolerant to loss of function variants. Our results highlight the effects of 3′ and 5′ UTR SNP on miRNA, transcription and translation of PRKCI. These analyses suggest that these SNPs can have substantial functional importance in the PRKCI gene. Future experimental validation could provide further basis for the diagnosis and therapeutics of various diseases. Full article
(This article belongs to the Section Molecular Genetics and Genomics)
Show Figures

Figure 1

43 pages, 9258 KB  
Review
Estrogen Receptor-α Targeting: PROTACs, SNIPERs, Peptide-PROTACs, Antibody Conjugated PROTACs and SNIPERs
by Arvind Negi, Kavindra Kumar Kesari and Anne Sophie Voisin-Chiret
Pharmaceutics 2022, 14(11), 2523; https://doi.org/10.3390/pharmaceutics14112523 - 19 Nov 2022
Cited by 14 | Viewed by 6588
Abstract
Targeting selective estrogen subtype receptors through typical medicinal chemistry approaches is based on occupancy-driven pharmacology. In occupancy-driven pharmacology, molecules are developed in order to inhibit the protein of interest (POI), and their popularity is based on their virtue of faster kinetics. However, such [...] Read more.
Targeting selective estrogen subtype receptors through typical medicinal chemistry approaches is based on occupancy-driven pharmacology. In occupancy-driven pharmacology, molecules are developed in order to inhibit the protein of interest (POI), and their popularity is based on their virtue of faster kinetics. However, such approaches have intrinsic flaws, such as pico-to-nanomolar range binding affinity and continuous dosage after a time interval for sustained inhibition of POI. These shortcomings were addressed by event-driven pharmacology-based approaches, which degrade the POI rather than inhibit it. One such example is PROTACs (Proteolysis targeting chimeras), which has become one of the highly successful strategies of event-driven pharmacology (pharmacology that does the degradation of POI and diminishes its functions). The selective targeting of estrogen receptor subtypes is always challenging for chemical biologists and medicinal chemists. Specifically, estrogen receptor α (ER-α) is expressed in nearly 70% of breast cancer and commonly overexpressed in ovarian, prostate, colon, and endometrial cancer. Therefore, conventional hormonal therapies are most prescribed to patients with ER + cancers. However, on prolonged use, resistance commonly developed against these therapies, which led to selective estrogen receptor degrader (SERD) becoming the first-line drug for metastatic ER + breast cancer. The SERD success shows that removing cellular ER-α is a promising approach to overcoming endocrine resistance. Depending on the mechanism of degradation of ER-α, various types of strategies of developed. Full article
Show Figures

Figure 1

16 pages, 2972 KB  
Article
Method for Direct Localization of Multiple Impulse Acoustic Sources in Outdoor Environment
by Milan Mišković, Nenad Vukmirović, Dragan Golubović and Miljko Erić
Electronics 2022, 11(16), 2509; https://doi.org/10.3390/electronics11162509 - 11 Aug 2022
Cited by 2 | Viewed by 2890
Abstract
A method for the direct outdoor localization of multiple impulse acoustic sources by a distributed microphone array is proposed. This localization problem is of great interest for gunshot, firecracker and explosion detection localization in a civil environment, as well as for gun, mortar, [...] Read more.
A method for the direct outdoor localization of multiple impulse acoustic sources by a distributed microphone array is proposed. This localization problem is of great interest for gunshot, firecracker and explosion detection localization in a civil environment, as well as for gun, mortar, small arms, artillery, sniper detection localization in military battlefield monitoring systems. Such a kind of localization is a complicated technical problem in many aspects. In such a scenario, the permutation of impulse arrivals on distributed microphones occurs, so the application of classical two-step localization methods, such as time-of-arrival (TOA), time-difference-of-arrival (TDOA), angle-of-arrival (AOA), fingerprint methods, etc., is faced with the so-called association problem, which is difficult to solve. The association problem does not exist in the proposed method for direct (one-step) localization, so the proposed method is more suitable for localization in a given acoustic scenario than the mentioned two-step localization methods. Furthermore, in the proposed method, direct localization is performed impulse by impulse. The observation interval used for the localization could not be arbitrarily chosen; it is limited by the duration of impulses. In the mathematical model formulated in the paper, atmospheric factors in acoustic signal propagation (temperature, pressure, etc.) are included. The results of simulations show that by using the proposed method, centimeter localization accuracy can be achieved. Full article
(This article belongs to the Special Issue Applications of Audio and Acoustic Signal)
Show Figures

Figure 1

9 pages, 262 KB  
Commentary
African Swine Fever—How to Unravel Fake News in Veterinary Medicine
by Adriana Trotta, Mariarosaria Marinaro, Alessandra Cavalli, Marco Cordisco, Angela Piperis, Canio Buonavoglia and Marialaura Corrente
Animals 2022, 12(5), 656; https://doi.org/10.3390/ani12050656 - 5 Mar 2022
Cited by 6 | Viewed by 4923
Abstract
In recent years, fake scientific news has spread much faster through the Internet and social media within the so-called “infodemic”. African Swine Fever (ASF) is a perfect case study to prove how fake news can undermine the public health response, even in the [...] Read more.
In recent years, fake scientific news has spread much faster through the Internet and social media within the so-called “infodemic”. African Swine Fever (ASF) is a perfect case study to prove how fake news can undermine the public health response, even in the veterinary field. ASF is a highly contagious infective disease affecting exclusively domestic and wild pigs such as wild boars. ASF can cause social damage and economic losses both directly (due to the high mortality rate) and indirectly (due to international sanctions). Although ASF is not a threat to human health, since 2018 newspapers have often reported false or misleading news, ranging from misinterpreted findings/data to fake or alarmistic news. In some cases, fake news was spread, such as the use of snipers at the border of nations to kill wild boars, or those reports concerning possible risks to human health. In order to provide real and fact-based news on epidemics, some organizations have created easy-to-read infographic and iconographic materials, available on their websites, to help the readers identifying the fake news. Indeed, it is crucial that governments and scientific organizations work against fear and anxiety, using simple and clear communication. Full article
(This article belongs to the Collection Wildlife Disease Ecology and Management)
15 pages, 365 KB  
Article
RT-Sniper: A Low-Overhead Defense Mechanism Pinpointing Cache Side-Channel Attacks
by Minkyu Song, Junyeon Lee, Taeweon Suh and Gunjae Koo
Electronics 2021, 10(22), 2748; https://doi.org/10.3390/electronics10222748 - 10 Nov 2021
Cited by 1 | Viewed by 2381
Abstract
Since cache side-channel attacks have been serious security threats to multi-tenant systems, there have been several studies to protect systems against the attacks. However, the prior studies have limitations in determining only the existence of the attack and/or occupying too many computing resources [...] Read more.
Since cache side-channel attacks have been serious security threats to multi-tenant systems, there have been several studies to protect systems against the attacks. However, the prior studies have limitations in determining only the existence of the attack and/or occupying too many computing resources in runtime. We propose a low-overhead pinpointing solution, called RT-Sniper, to overcome such limitations. RT-Sniper employs a two-level filtering mechanism to minimize performance overhead. It first monitors hardware events per core and isolates a suspected core to run a malicious process. Then among the processes running on the selected core, RT-Sniper pinpoints a malicious process through a per-process monitoring approach. With the core-level filtering, RT-Sniper has an advantage in overhead compared to the previous works. We evaluate RT-Sniper against Flush+Reload and Prime+Probe attacks running SPEC2017, LMBench, and PARSEC benchmarks on multi-core systems. Our evaluation demonstrates that the performance overhead by RT-Sniper is negligible (0.3% for single-threaded applications and 2.05% for multi-threaded applications). Compared to the previous defense solutions against cache side-channel attacks, RT-Sniper exhibits better detection performance with lower performance overhead. Full article
(This article belongs to the Section Computer Science & Engineering)
Show Figures

Figure 1

11 pages, 2843 KB  
Article
Peptide Stapling Improves the Sustainability of a Peptide-Based Chimeric Molecule That Induces Targeted Protein Degradation
by Hidetomo Yokoo, Nobumichi Ohoka, Mami Takyo, Takahito Ito, Keisuke Tsuchiya, Takashi Kurohara, Kiyoshi Fukuhara, Takao Inoue, Mikihiko Naito and Yosuke Demizu
Int. J. Mol. Sci. 2021, 22(16), 8772; https://doi.org/10.3390/ijms22168772 - 16 Aug 2021
Cited by 19 | Viewed by 4338
Abstract
Peptide-based target protein degradation inducers called PROTACs/SNIPERs have low cell penetrability and poor intracellular stability as drawbacks. These shortcomings can be overcome by easily modifying these peptides by conjugation with cell penetrating peptides and side-chain stapling. In this study, we succeeded in developing [...] Read more.
Peptide-based target protein degradation inducers called PROTACs/SNIPERs have low cell penetrability and poor intracellular stability as drawbacks. These shortcomings can be overcome by easily modifying these peptides by conjugation with cell penetrating peptides and side-chain stapling. In this study, we succeeded in developing the stapled peptide stPERML-R7, which is based on the estrogen receptor alpha (ERα)-binding peptide PERML and composed of natural amino acids. stPERML-R7, which includes a hepta-arginine motif and a hydrocarbon stapling moiety, showed increased α-helicity and similar binding affinity toward ERα when compared with those of the parent peptide PERML. Furthermore, we used stPERML-R7 to develop a peptide-based degrader LCL-stPERML-R7 targeting ERα by conjugating stPERML-R7 with a small molecule LCL161 (LCL) that recruits the E3 ligase IAPs to induce proteasomal degradation via ubiquitylation. The chimeric peptide LCL-stPERML-R7 induced sustained degradation of ERα and potently inhibited ERα-mediated transcription more effectively than the unstapled chimera LCL-PERML-R7. These results suggest that a stapled structure is effective in maintaining the intracellular activity of peptide-based degraders. Full article
(This article belongs to the Special Issue Medicinal Chemistry of Nuclear Receptors)
Show Figures

Figure 1

15 pages, 891 KB  
Article
Framework for Design Exploration and Performance Analysis of RF-NoC Manycore Architecture
by Habiba Lahdhiri, Jordane Lorandel, Salvatore Monteleone, Emmanuelle Bourdel and Maurizio Palesi
J. Low Power Electron. Appl. 2020, 10(4), 37; https://doi.org/10.3390/jlpea10040037 - 3 Nov 2020
Cited by 9 | Viewed by 4603
Abstract
The Network-on-chip (NoC) paradigm has been proposed as a promising solution to enable the handling of a high degree of integration in multi-/many-core architectures. Despite their advantages, wired NoC infrastructures are facing several performance issues regarding multi-hop long-distance communications. RF-NoC is an attractive [...] Read more.
The Network-on-chip (NoC) paradigm has been proposed as a promising solution to enable the handling of a high degree of integration in multi-/many-core architectures. Despite their advantages, wired NoC infrastructures are facing several performance issues regarding multi-hop long-distance communications. RF-NoC is an attractive solution offering high performance and multicast/broadcast capabilities. However, managing RF links is a critical aspect that relies on both application-dependent and architectural parameters. This paper proposes a design space exploration framework for OFDMA-based RF-NoC architecture, which takes advantage of both real application benchmarks simulated using Sniper and RF-NoC architecture modeled using Noxim. We adopted the proposed framework to finely configure a routing algorithm, working with real traffic, achieving up to 45% of delay reduction, compared to a wired NoC setup in similar conditions. Full article
Show Figures

Figure 1

21 pages, 4764 KB  
Article
Prediction of Human Inhibition Brain Function with Inter-Subject and Intra-Subject Variability
by Rupesh Kumar Chikara and Li-Wei Ko
Brain Sci. 2020, 10(10), 726; https://doi.org/10.3390/brainsci10100726 - 13 Oct 2020
Cited by 11 | Viewed by 3411
Abstract
The stop signal task has been used to quantify the human inhibitory control. The inter-subject and intra-subject variability was investigated under the inhibition of human response with a realistic environmental scenario. In present study, we used a battleground scenario where a sniper-scope picture [...] Read more.
The stop signal task has been used to quantify the human inhibitory control. The inter-subject and intra-subject variability was investigated under the inhibition of human response with a realistic environmental scenario. In present study, we used a battleground scenario where a sniper-scope picture was the background, a target picture was a go signal, and a nontarget picture was a stop signal. The task instructions were to respond on the target image and inhibit the response if a nontarget image appeared. This scenario produced a threatening situation and endorsed the evaluation of how subject’s response inhibition manifests in a real situation. In this study, 32 channels of electroencephalography (EEG) signals were collected from 20 participants during successful stop (response inhibition) and failed stop (response) trials. These EEG signals were used to predict two possible outcomes: successful stop or failed stop. The inter-subject variability (between-subjects) and intra-subject variability (within-subjects) affect the performance of participants in the classification system. The EEG signals of successful stop versus failed stop trials were classified using quadratic discriminant analysis (QDA) and linear discriminant analysis (LDA) (i.e., parametric) and K-nearest neighbor classifier (KNNC) and Parzen density-based (PARZEN) (i.e., nonparametric) under inter- and intra-subject variability. The EEG activities were found to increase during response inhibition in the frontal cortex (F3 and F4), presupplementary motor area (C3 and C4), parietal lobe (P3 and P4), and occipital (O1 and O2) lobe. Therefore, power spectral density (PSD) of EEG signals (1-50Hz) in F3, F4, C3, C4, P3, P4, O1, and O2 electrodes were measured in successful stop and failed stop trials. The PSD of the EEG signals was used as the feature input for the classifiers. Our proposed method shows an intra-subject classification accuracy of 97.61% for subject 15 with QDA classifier in C3 (left motor cortex) and an overall inter-subject classification accuracy of 71.66% ± 9.81% with the KNNC classifier in F3 (left frontal lobe). These results display how inter-subject and intra-subject variability affects the performance of the classification system. These findings can be used effectively to improve the psychopathology of attention deficit hyperactivity disorder (ADHD), obsessive-compulsive disorder (OCD), schizophrenia, and suicidality. Full article
(This article belongs to the Special Issue Human Brain Dynamics: Latest Advances and Prospects)
Show Figures

Figure 1

Back to TopTop