Sign in to use this feature.

Years

Between: -

Subjects

remove_circle_outline
remove_circle_outline
remove_circle_outline
remove_circle_outline
remove_circle_outline

Journals

Article Types

Countries / Regions

Search Results (20)

Search Parameters:
Keywords = SINS/GNSS integrated navigation

Order results
Result details
Results per page
Select all
Export citation of selected articles as:
24 pages, 6924 KB  
Article
Robust Adaptive Multiple Backtracking VBKF for In-Motion Alignment of Low-Cost SINS/GNSS
by Weiwei Lyu, Yingli Wang, Shuanggen Jin, Haocai Huang, Xiaojuan Tian and Jinling Wang
Remote Sens. 2025, 17(15), 2680; https://doi.org/10.3390/rs17152680 - 2 Aug 2025
Viewed by 445
Abstract
The low-cost Strapdown Inertial Navigation System (SINS)/Global Navigation Satellite System (GNSS) is widely used in autonomous vehicles for positioning and navigation. Initial alignment is a critical stage for SINS operations, and the alignment time and accuracy directly affect the SINS navigation performance. To [...] Read more.
The low-cost Strapdown Inertial Navigation System (SINS)/Global Navigation Satellite System (GNSS) is widely used in autonomous vehicles for positioning and navigation. Initial alignment is a critical stage for SINS operations, and the alignment time and accuracy directly affect the SINS navigation performance. To address the issue that low-cost SINS/GNSS cannot effectively achieve rapid and high-accuracy alignment in complex environments that contain noise and external interference, an adaptive multiple backtracking robust alignment method is proposed. The sliding window that constructs observation and reference vectors is established, which effectively avoids the accumulation of sensor errors during the full integration process. A new observation vector based on the magnitude matching is then constructed to effectively reduce the effect of outliers on the alignment process. An adaptive multiple backtracking method is designed in which the window size can be dynamically adjusted based on the innovation gradient; thus, the alignment time can be significantly shortened. Furthermore, the modified variational Bayesian Kalman filter (VBKF) that accurately adjusts the measurement noise covariance matrix is proposed, and the Expectation–Maximization (EM) algorithm is employed to refine the prior parameter of the predicted error covariance matrix. Simulation and experimental results demonstrate that the proposed method significantly reduces alignment time and improves alignment accuracy. Taking heading error as the critical evaluation indicator, the proposed method achieves rapid alignment within 120 s and maintains a stable error below 1.2° after 80 s, yielding an improvement of over 63% compared to the backtracking-based Kalman filter (BKF) method and over 57% compared to the fuzzy adaptive KF (FAKF) method. Full article
(This article belongs to the Section Urban Remote Sensing)
Show Figures

Figure 1

24 pages, 6234 KB  
Article
An Integrated Navigation Method Based on the Strapdown Inertial Navigation System/Scene-Matching Navigation System for UAVs
by Yukun Wang, Qiang Wang, Zhonghu Hao and Puhua Chen
Sensors 2025, 25(11), 3379; https://doi.org/10.3390/s25113379 - 27 May 2025
Viewed by 795
Abstract
To address the challenges of discontinuous heterogeneous image matching, significant matching errors in specific regions, and poor real-time performance in GNSS-denied environments for unmanned aerial vehicles (UAVs), we propose an integrated navigation method based on the strapdown inertial navigation system (SINS)/scene-matching navigation system [...] Read more.
To address the challenges of discontinuous heterogeneous image matching, significant matching errors in specific regions, and poor real-time performance in GNSS-denied environments for unmanned aerial vehicles (UAVs), we propose an integrated navigation method based on the strapdown inertial navigation system (SINS)/scene-matching navigation system (SMNS). First, we designed a heterogeneous image-matching and positioning approach using infrared images to obtain an estimation of the UAV’s position. Then, we established a mathematical model for the integrated SINS/SMNS navigation system. Finally, a Kalman filter (KF) was employed to fuse the inertial navigation data with absolute position data from scene matching, achieving high-precision and highly reliable navigation positioning. We constructed a navigation data acquisition platform and conducted simulation studies using flight data collected from this platform. The results demonstrate that the integrated SINS/SMNS navigation method significantly outperforms standalone scene-matching navigation in horizontal positioning accuracy, improving latitude accuracy by 52.34% and longitude accuracy by 45.54%. Full article
(This article belongs to the Section Navigation and Positioning)
Show Figures

Figure 1

25 pages, 8138 KB  
Article
An Improved Fading Factor-Based Adaptive Robust Filtering Algorithm for SINS/GNSS Integration with Dynamic Disturbance Suppression
by Zhaohao Chen, Yixu Liu, Shangguo Liu, Shengli Wang and Lei Yang
Remote Sens. 2025, 17(8), 1449; https://doi.org/10.3390/rs17081449 - 18 Apr 2025
Cited by 3 | Viewed by 2850
Abstract
Aiming at the problem of nonlinear observation model mismatch and insufficient anti-interference ability of SINS/GNSS integrated navigation system in complex dynamic environment, this paper proposes an adaptive robust filtering algorithm with improved fading factor. Aiming at the problem that the traditional Kalman filter [...] Read more.
Aiming at the problem of nonlinear observation model mismatch and insufficient anti-interference ability of SINS/GNSS integrated navigation system in complex dynamic environment, this paper proposes an adaptive robust filtering algorithm with improved fading factor. Aiming at the problem that the traditional Kalman filter is easy to diverge in severe heave motion and abnormal observation, a multi-source information fusion framework integrating satellite positioning geometric accuracy factor (PDOP), solution quality factor (Q value), effective satellite observation number (Satnum), and residual vector is constructed. The dynamic weight adjustment mechanism is designed to realize the real-time optimization of the fading factor. Through the collaborative optimization of robust estimation theory and adaptive filtering, a dual robust mechanism is constructed by combining the sequential update strategy. In the measurement update stage, the observation weight is dynamically adjusted according to the innovation covariance, and the fading memory factor is introduced in the time update stage to suppress the error accumulation of the model. The experimental results show that compared with EKF, Sage-Husa adaptive filtering and robust filtering algorithms, the three-dimensional positioning accuracy is improved by 47.12%, 35.26%, and 9.58%, respectively, in the vehicle strong maneuvering scene. In the scene of ship-borne heave motion, the corresponding increase is 19.44%, 10.47%, and 8.28%. The research results provide an effective anti-interference solution for navigation systems in high dynamic and complex environments. Full article
Show Figures

Figure 1

28 pages, 11251 KB  
Article
In-Motion Initial Alignment Method Based on Multi-Source Information Fusion for Special Vehicles
by Zhenjun Chang, Zhili Zhang, Zhaofa Zhou, Xinyu Li, Shiwen Hao and Huadong Sun
Entropy 2025, 27(3), 237; https://doi.org/10.3390/e27030237 - 25 Feb 2025
Viewed by 851
Abstract
To address the urgent demand for autonomous rapid initial alignment of vehicular inertial navigation systems in complex battlefield environments, this study overcomes the technical limitations of traditional stationary base alignment methods by proposing a robust moving-base autonomous alignment approach based on multi-source information [...] Read more.
To address the urgent demand for autonomous rapid initial alignment of vehicular inertial navigation systems in complex battlefield environments, this study overcomes the technical limitations of traditional stationary base alignment methods by proposing a robust moving-base autonomous alignment approach based on multi-source information fusion. First, a federal Kalman filter-based multi-sensor fusion architecture is established to effectively integrate odometer, laser Doppler velocimeter, and SINS data, resolving the challenge of autonomous navigation parameter calculation under GNSS-denied conditions. Second, a dual-mode fault diagnosis and isolation mechanism is developed to enable rapid identification of sensor failures and system reconfiguration. Finally, an environmentally adaptive dynamic alignment strategy is proposed, which intelligently selects optimal alignment modes by real-time evaluation of motion characteristics and environmental disturbances, significantly enhancing system adaptability in complex operational scenarios. The experimental results show that the method proposed in this paper can effectively improve the accuracy of vehicle-mounted alignment in motion, achieve accurate identification, effective isolation, and reconstruction of random incidental faults, and improve the adaptability and robustness of the system. This research provides an innovative solution for the rapid deployment of special-purpose vehicles in GNSS-denied environments, while its fault-tolerant mechanisms and adaptive strategies offer critical insights for engineering applications of next-generation intelligent navigation systems. Full article
(This article belongs to the Section Multidisciplinary Applications)
Show Figures

Figure 1

31 pages, 7203 KB  
Article
An Electro-Magnetic Log (EML) Integrated Navigation Algorithm Based on Hidden Markov Model (HMM) and Cross-Noise Linear Kalman Filter
by Haosu Zhang, Liang Yang, Lei Zhang, Yong Du, Chaoqi Chen, Wei Mu and Lingji Xu
Sensors 2025, 25(4), 1015; https://doi.org/10.3390/s25041015 - 8 Feb 2025
Viewed by 1163
Abstract
In this paper, an EML (electro-magnetic log) integrated navigation algorithm based on the HMM (hidden Markov model) and CNLKF (cross-noise linear Kalman filter) is proposed, which is suitable for SINS (strapdown inertial navigation system)/EML/GNSS (global navigation satellite system) integrated navigation systems for small [...] Read more.
In this paper, an EML (electro-magnetic log) integrated navigation algorithm based on the HMM (hidden Markov model) and CNLKF (cross-noise linear Kalman filter) is proposed, which is suitable for SINS (strapdown inertial navigation system)/EML/GNSS (global navigation satellite system) integrated navigation systems for small or medium-sized AUV (autonomous underwater vehicle). The algorithm employs the following five techniques: ① the HMM-based pre-processing algorithm of EML data; ② the CNLKF-based fusion algorithm of SINS/EML information; ③ the MALKF (modified adaptive linear Kalman filter)-based algorithm of GNSS-based calibration; ④ the estimation algorithm of the current speed based on output from MALKF and GNSS; ⑤ the feedback correction of LKF (linear Kalman filter). The principle analysis of the algorithm, the modeling process, and the flow chart of the algorithm are given in this paper. The sea trial of a small-sized AUV shows that the endpoint positioning error of the proposed/traditional algorithm by this paper is 20.5 m/712.1 m. The speed of the water current could be relatively accurately estimated by the proposed algorithm. Therefore, the algorithm has the advantages of high accuracy, strong anti-interference ability (it can effectively shield the outliers of EML and GNSS), strong adaptability to complex environments, and high engineering practicality. In addition, compared with the traditional DVL (Doppler velocity log), EML has the advantages of great concealment, low cost, light weight, small size, and low power consumption. Full article
(This article belongs to the Section Navigation and Positioning)
Show Figures

Figure 1

19 pages, 5444 KB  
Article
Two-Dimensional Directions Determination for GNSS Spoofing Source Based on MEMS-Based Dual-GNSS/INS Integration
by Chengzhong Zhang, Dingjie Wang and Jie Wu
Remote Sens. 2024, 16(23), 4568; https://doi.org/10.3390/rs16234568 - 5 Dec 2024
Cited by 2 | Viewed by 1345
Abstract
Satellite navigation spoofing is a major challenge in the field of satellite/inertial integrated navigation security. To effectively enhance the anti-spoofing capability of a low-cost GNSS/MEMS-SINS integrated navigation system, this paper proposes a method integrating a dual-antenna global navigation satellite system (GNSS) and a [...] Read more.
Satellite navigation spoofing is a major challenge in the field of satellite/inertial integrated navigation security. To effectively enhance the anti-spoofing capability of a low-cost GNSS/MEMS-SINS integrated navigation system, this paper proposes a method integrating a dual-antenna global navigation satellite system (GNSS) and a micro-inertial measurement unit (MIMU) to determine the two-dimensional directions of spoofing signal sources. The proposed method evaluates whether the single-difference carrier-phase measurements conform to the corresponding directions given in ephemeris files and employs micro-inertial navigation technology to determine the two-dimensional directions of the signal source. Based on a set of short-baseline dual-station measurements, the accuracy of the proposed method in determining the two-dimensional azimuths of satellites in synchronous orbits is verified, and the deviation from the real value is evaluated. The experimental results show that the proposed method can effectively identify the spoofed satellite signals while providing high-precision direction information at three different distances: 100 m, 10 km, and 36,000 km. The two-dimensional angle errors do not exceed 0.2 rad, 0.05 rad, and 0.01 rad, respectively. Full article
Show Figures

Figure 1

23 pages, 12047 KB  
Article
Autonomous Underwater Vehicle Navigation Enhancement by Optimized Side-Scan Sonar Registration and Improved Post-Processing Model Based on Factor Graph Optimization
by Lin Zhang, Lianwu Guan, Jianhui Zeng and Yanbin Gao
J. Mar. Sci. Eng. 2024, 12(10), 1769; https://doi.org/10.3390/jmse12101769 - 5 Oct 2024
Viewed by 1690
Abstract
Autonomous Underwater Vehicles (AUVs) equipped with Side-Scan Sonar (SSS) play a critical role in seabed mapping, where precise navigation data are essential for mosaicking sonar images to delineate the seafloor’s topography and feature locations. However, the accuracy of AUV navigation, based on Strapdown [...] Read more.
Autonomous Underwater Vehicles (AUVs) equipped with Side-Scan Sonar (SSS) play a critical role in seabed mapping, where precise navigation data are essential for mosaicking sonar images to delineate the seafloor’s topography and feature locations. However, the accuracy of AUV navigation, based on Strapdown Inertial Navigation System (SINS)/Doppler Velocity Log (DVL) systems, tends to degrade over long-term mapping, which compromises the quality of sonar image mosaics. This study addresses the challenge by introducing a post-processing navigation method for AUV SSS surveys, utilizing Factor Graph Optimization (FGO). Specifically, the method utilizes an improved Fourier-based image registration algorithm to generate more robust relative position measurements. Then, through the integration of these measurements with data from SINS, DVL, and surface Global Navigation Satellite System (GNSS) within the FGO framework, the approach notably enhances the accuracy of the complete trajectory for AUV missions. Finally, the proposed method has been validated through both the simulation and AUV marine experiments. Full article
Show Figures

Figure 1

17 pages, 8054 KB  
Article
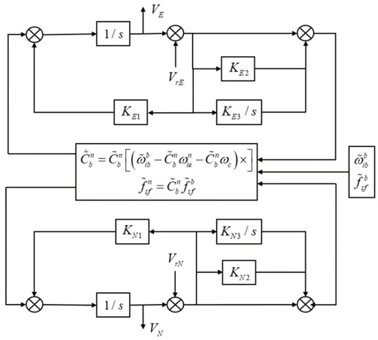
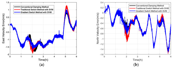
A Novel Method for Damping State Switching Based on Machine Learning of a Strapdown Inertial Navigation System
by Xu Lyu, Jiupeng Zhu, Jungang Wang, Ruiqi Dong, Shiyi Qian and Baiqing Hu
Electronics 2024, 13(17), 3439; https://doi.org/10.3390/electronics13173439 - 30 Aug 2024
Cited by 1 | Viewed by 1176
Abstract
The integrated navigation system based on the Global Navigation Satellite System (GNSS) in conjunction with the strapdown inertial navigation system (SINS) and the Doppler Velocity Logger (DVL) is essential for accurate and long-distance navigation in maritime environments. However, the error of the integrated [...] Read more.
The integrated navigation system based on the Global Navigation Satellite System (GNSS) in conjunction with the strapdown inertial navigation system (SINS) and the Doppler Velocity Logger (DVL) is essential for accurate and long-distance navigation in maritime environments. However, the error of the integrated navigation system gradually diverges due to the inevitable velocity measurement error of DVL when GNSS outages occur. To ensure the high navigational accuracy and stability of SINS, it is necessary to dynamically adjust the damping state of SINS provided externally. In this paper, we have developed a novel method for damping state switching based on machine learning with SINS. We construct a model of the change in reference velocity error and use sliding window technology to obtain the reference velocity error for model training. Before training, the digital compass loop is designed to process and highlight the change in reference velocity change errors. In order to reduce the impact of the damping switching, a variable damping system is used to transform the traditional one-time switching of the damping coefficient into a gradual switching, effectively reducing the impact of a sudden change in the damping coefficient on the system. Simulation experiments and tests on ships show that the proposed method effectively reduces the overshoot error integrated underwater during state switching. This research is of great importance for the optimal design of integrated underwater navigation systems. Full article
Show Figures

Figure 1

20 pages, 7000 KB  
Article
An Improved Initial Alignment Method Based on SE2(3)/EKF for SINS/GNSS Integrated Navigation System with Large Misalignment Angles
by Jin Sun, Yuxin Chen and Bingbo Cui
Sensors 2024, 24(9), 2945; https://doi.org/10.3390/s24092945 - 6 May 2024
Cited by 5 | Viewed by 2194
Abstract
This paper proposes an improved initial alignment method for a strap-down inertial navigation system/global navigation satellite system (SINS/GNSS) integrated navigation system with large misalignment angles. Its methodology is based on the three-dimensional special Euclidean group and extended Kalman filter (SE2(3)/EKF) and [...] Read more.
This paper proposes an improved initial alignment method for a strap-down inertial navigation system/global navigation satellite system (SINS/GNSS) integrated navigation system with large misalignment angles. Its methodology is based on the three-dimensional special Euclidean group and extended Kalman filter (SE2(3)/EKF) and aims to overcome the challenges of achieving fast alignment under large misalignment angles using traditional methods. To accurately characterize the state errors of attitude, velocity, and position, these elements are constructed as elements of a Lie group. The nonlinear error on the Lie group can then be well quantified. Additionally, a group vector mixed error model is developed, taking into account the zero bias errors of gyroscopes and accelerometers. Using this new error definition, a GNSS-assisted SINS dynamic initial alignment algorithm is derived, which is based on the invariance of velocity and position measurements. Simulation experiments demonstrate that the alignment method based on SE2(3)/EKF can achieve a higher accuracy in various scenarios with large misalignment angles, while the attitude error can be rapidly reduced to a lower level. Full article
(This article belongs to the Special Issue GNSS Signals and Precise Point Positioning)
Show Figures

Figure 1

17 pages, 5292 KB  
Article
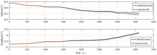
A Digital Track Map-Assisted SINS/OD Fusion Algorithm for Onboard Train Localization
by Wei Chen, Gongliu Yang and Yongqiang Tu
Appl. Sci. 2024, 14(1), 247; https://doi.org/10.3390/app14010247 - 27 Dec 2023
Cited by 9 | Viewed by 1594
Abstract
Accurate and reliable speed and position estimation plays an important role in the safety and efficiency of intelligent railway vehicles. Due to the level required of safety, reliability, and strong norms in the current practical application, intelligent railway vehicle positioning heavily relies on [...] Read more.
Accurate and reliable speed and position estimation plays an important role in the safety and efficiency of intelligent railway vehicles. Due to the level required of safety, reliability, and strong norms in the current practical application, intelligent railway vehicle positioning heavily relies on a large number of balises laid on the track and the onboard odometer (OD), while the other position method, GNSS introduction, is relatively slow. This article proposed a digital track map-assisted onboard railway location system using strapdown inertial navigation system (SINS) and OD. The proposed method consists of two steps. First, an SINS- and OD-integrated navigation method based on OD velocity integration is in the inner circle. Then, a map-matching algorithm based on vertical projection and heading weighting was employed, and when the matching outer circle results were obtained, the positions obtained from the matching outer circles were used to replace the positions obtained from SINS/OD for the Kalman filter combination. The performance of our algorithm was verified using field tests, and SINS/OD and SINS/OD/MM comparison data processing results prove that our proposed digital track map-assisted SINS/OD algorithm can effectively suppress the accumulation of train position errors. After nearly 80 km of navigation, the position error is 24 m, and the relative mileage accuracy is less than or equal to 0.03% distance. Full article
Show Figures

Figure 1

19 pages, 8793 KB  
Article
Estimation and Compensation of Heading Misalignment Angle for Train SINS/GNSS Integrated Navigation System Based on Observability Analysis
by Wei Chen, Gongliu Yang and Yongqiang Tu
Appl. Sci. 2023, 13(21), 12085; https://doi.org/10.3390/app132112085 - 6 Nov 2023
Cited by 2 | Viewed by 2147
Abstract
The inertial Navigation Systems/global navigation satellite system (SINS/GNSS) has become a research hotspot in the field of train positioning. However, during a uniform straight-line motion period, the heading misalignment angle of the SINS/GNSS is unobservable, resulting in the divergence of the heading misalignment [...] Read more.
The inertial Navigation Systems/global navigation satellite system (SINS/GNSS) has become a research hotspot in the field of train positioning. However, during a uniform straight-line motion period, the heading misalignment angle of the SINS/GNSS is unobservable, resulting in the divergence of the heading misalignment angle and ultimately causing a divergence in the train’s speed and position estimation. To address this issue, this paper proposes an estimation and compensation method for the heading misalignment angle for train SINS/GNSS integrated navigation system based on an observability analysis. When the train enters a straight-line segment, the alignment of the train’s sideslip angle and the satellite velocity heading angle allows the achievement of velocity heading observation values that resolve the issue. In a curved segment, the heading angle becomes observable, allowing for an accurate estimation of the SINS’s heading misalignment angle using GNSS observations. The results showed that, whether the train is on a straight or curved track, the position estimation accuracy meets the simulation design criteria of 0.1 m, and the heading accuracy is better than 0.25°. In comparison to the results of pure GNSS position and velocity-assisted navigation, where heading divergence occurs during constant velocity straight-line segments, the method proposed in this paper not only converges but also achieves an accuracy comparable to the GNSS velocity-based heading alignment. The simulation results demonstrate that the proposed strategy significantly improves the accuracy of the heading misalignment angle estimation, thereby enhancing the accuracy of speed and position estimation under a GNSS-denied environment. Full article
(This article belongs to the Special Issue New Insights into Positioning and Navigation Technologies)
Show Figures

Figure 1

18 pages, 5814 KB  
Article
Research on an Error Compensation Method of SINS of a Mine Monorail Crane
by Hai Jiang, Xiaodong Ji, Yang Yang, Jialu Du and Miao Wu
Energies 2023, 16(16), 5969; https://doi.org/10.3390/en16165969 - 13 Aug 2023
Cited by 4 | Viewed by 1751
Abstract
Underground coal mines belong to the GNSS-denied environment, and the Strapdown Inertial Navigation System (SINS) has a significant advantage in the precise positioning of equipment in this environment because of its operation without requiring interaction with external information and strong anti-interference capabilities. Nonetheless, [...] Read more.
Underground coal mines belong to the GNSS-denied environment, and the Strapdown Inertial Navigation System (SINS) has a significant advantage in the precise positioning of equipment in this environment because of its operation without requiring interaction with external information and strong anti-interference capabilities. Nonetheless, the vibrations of the installation platform adversely affect the positioning accuracy of SINS. This article focuses on the monorail crane in coal mines as the subject of research, developing a dynamic model for the motion unit consisting of the “track + drive unit + driver’s cab”, while analyzing the relationship between track roughness conditions and the vibration excitation of this unit. Subsequently, utilizing the dynamic model, the study calculated the angular and linear vibration characteristics and formulated models to address coning error and sculling error specific to the SINS in this vibration condition. Lastly, by employing a multi-sample compensation algorithm, this article compensated for positioning errors in the SINS caused by track roughness-induced vibrations during uniform straight-line motion of the motion unit, thus achieving optimal positioning information for the monorail crane. The simulation results demonstrated that employing a four-sample compensation algorithm reduces the coning error in SINS positioning calculations by a minimum of 50% and decreases the sculling error by at least 31%, satisfying the positioning accuracy requirements for precise parking of the monorail crane during the transportation phase, while establishing the foundation for autonomous precise positioning and integrated navigation of underground track transport equipment in coal mines. Full article
Show Figures

Figure 1

19 pages, 5759 KB  
Article
Research on the Necessity of Lie Group Strapdown Inertial Integrated Navigation Error Model Based on Euler Angle
by Leiyuan Qian, Fangjun Qin, Kailong Li and Tiangao Zhu
Sensors 2022, 22(20), 7742; https://doi.org/10.3390/s22207742 - 12 Oct 2022
Cited by 10 | Viewed by 2404
Abstract
In response to the lack of specific demonstration and analysis of the research on the necessity of the Lie group strapdown inertial integrated navigation error model based on the Euler angle, two common integrated navigation systems, strapdown inertial navigation system/global navigation satellite system [...] Read more.
In response to the lack of specific demonstration and analysis of the research on the necessity of the Lie group strapdown inertial integrated navigation error model based on the Euler angle, two common integrated navigation systems, strapdown inertial navigation system/global navigation satellite system (SINS/GNSS) and strapdown inertial navigation system/doppler velocity log (SINS/DVL), are used as subjects, and the piecewise constant system (PWCS) matrix, based on the Lie group error model, is established. From three aspects of variance estimation, the observability and performance of the system with large misalignment angles for low, medium, and high accuracy levels, traditional error model, Lie group left error model, and right error model are compared. The necessity of research on Lie group error model is analyzed quantitatively and qualitatively. The experimental results show that Lie group error model has better stability of variance estimation, estimation accuracy, and observability than traditional error model, as well as higher practical value. Full article
(This article belongs to the Special Issue Advanced Inertial Sensors, Navigation, and Fusion)
Show Figures

Figure 1

19 pages, 5578 KB  
Article
A Novel Hybrid Method Based on Deep Learning for an Integrated Navigation System during DVL Signal Failure
by Jiupeng Zhu, An Li, Fangjun Qin, Hao Che and Jungang Wang
Electronics 2022, 11(19), 2980; https://doi.org/10.3390/electronics11192980 - 20 Sep 2022
Cited by 15 | Viewed by 2486
Abstract
The navigation performance of an autonomous underwater vehicle (AUV) as the main tool for exploring the ocean greatly affects its work efficiency. Under the circumstance that high-precision GNSS positioning signals cannot be obtained, the role of the Strapdown Inertial Navigation System/Doppler Velocity Log [...] Read more.
The navigation performance of an autonomous underwater vehicle (AUV) as the main tool for exploring the ocean greatly affects its work efficiency. Under the circumstance that high-precision GNSS positioning signals cannot be obtained, the role of the Strapdown Inertial Navigation System/Doppler Velocity Log (SINS/DVL) integrated navigation system is becoming more prominent. Due to marine creatures or the seafloor topography, DVL is prone to outliers or even failures during measurement. To solve these problems, a LSTM/SVR-VBAKF algorithm aided integrated navigation system is proposed. First, under normal circumstances of DVL, the output information of SINS and DVL are used as training samples, and they train the Long Short-Term Memory (LSTM) model. To enhance the robustness and adaptability of the filter, a novel variational Bayesian adaptive filtering algorithm based on support vector regression is proposed. When the DVL formation is missing, the deep learning method adopted in this paper will be continuously output to ensure the effect of integrated navigation. The shipboard test data is verified from two aspects: filter performance and neural network-assisted integrated navigation system capability. The experimental results show that the new method proposed in this paper can effectively handle a situation where DVL output is not available. Full article
(This article belongs to the Special Issue Recent Advances in Unmanned System Navigation and Control)
Show Figures

Figure 1

22 pages, 6469 KB  
Article
A Low-Cost Method of Improving the GNSS/SINS Integrated Navigation System Using Multiple Receivers
by Di Liu, Hengjun Wang, Qingyuan Xia and Changhui Jiang
Electronics 2020, 9(7), 1079; https://doi.org/10.3390/electronics9071079 - 1 Jul 2020
Cited by 15 | Viewed by 4247
Abstract
GNSS (global navigation satellite system) and SINS (strap-down inertial navigation system) integrated navigation systems have been the apparatus for providing reliable and stable position and velocity information (PV). Commonly, there are two solutions to improve the GNSS/SINS integration navigation system accuracy, i.e., employing [...] Read more.
GNSS (global navigation satellite system) and SINS (strap-down inertial navigation system) integrated navigation systems have been the apparatus for providing reliable and stable position and velocity information (PV). Commonly, there are two solutions to improve the GNSS/SINS integration navigation system accuracy, i.e., employing GNSS with higher position accuracy in the integration system or utilizing the high-grade inertial measurement unit (IMU) to construct the integration system. However, technologies such as RTK (real-time kinematic) and PPP (precise point positioning) that improve GNSS positioning accuracy have higher costs and they cannot work under high dynamic environments. Also, an IMU with high accuracy will lead to a higher cost and larger volume, therefore, a low-cost method to enhance the GNSS/SINS integration accuracy is of great significance. In this paper, multiple receivers based on the GNSS/SINS integrated navigation system are proposed with the aim of providing more precise PV information. Since the chip-scale receivers are cheap, the deployment of multiple receivers in the GNSS/SINS integration will not significantly increase the cost. In addition, two different filtering methods with central and cascaded structure are employed to process the multiple receivers and SINS integration. In the centralized integration filter method, measurements from multiple receivers are directly processed to estimate the SINS errors state vectors. However, the computation load increases heavily due to the rising dimension of the measurement vector. Therefore, a cascaded integration filter structure is also employed to distribute the processing of the multiple receiver and SINS integration. In the cascaded processing method, each receiver is regarded as an individual “sensor”, and a standard federated Kalman filter (FKF) is implemented to obtain an optimal estimation of the navigation solutions. In this paper, a simulation and a field tests are carried out to assess the influence of the number of receivers on the PV accuracy. A detailed analysis of these position and velocity results is presented and the improvements in the PV accuracy demonstrate the effectiveness of the proposed method. Full article
(This article belongs to the Special Issue Autonomous Navigation Systems for Unmanned Aerial Vehicles)
Show Figures

Figure 1

Back to TopTop