Sign in to use this feature.

Years

Between: -

Subjects

remove_circle_outline
remove_circle_outline
remove_circle_outline
remove_circle_outline
remove_circle_outline
remove_circle_outline

Journals

Article Types

Countries / Regions

Search Results (67)

Search Parameters:
Keywords = SDF1/CXCR4

Order results
Result details
Results per page
Select all
Export citation of selected articles as:
14 pages, 1399 KB  
Article
Cytokine and Chemokine-Associated Signatures Underlying Dermal Invasion and Skin Metastasis in Melanoma
by Viktória Koroknai, István Szász, Tünde Várvölgyi, Gabriella Emri, Ádám Fodor and Margit Balázs
Int. J. Mol. Sci. 2025, 26(19), 9334; https://doi.org/10.3390/ijms26199334 - 24 Sep 2025
Viewed by 107
Abstract
Metastatic spread remains the primary cause of mortality in melanoma. Our aim was to investigate the role of dermal endothelial cells in modulating melanoma cell invasiveness and cytokine/chemokine pattern. Primary melanoma cell lines were co-cultured with human dermal endothelial cells and assessed using [...] Read more.
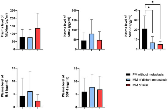
Metastatic spread remains the primary cause of mortality in melanoma. Our aim was to investigate the role of dermal endothelial cells in modulating melanoma cell invasiveness and cytokine/chemokine pattern. Primary melanoma cell lines were co-cultured with human dermal endothelial cells and assessed using Matrigel invasion assays. Invasive and non-invasive subpopulations were separated for gene expression analyses, and candidate molecules were further evaluated in patient tissue and plasma samples. Co-culture of melanoma and dermal endothelial cells revealed altered expression of several cytokine receptor genes (CCR5, CXCR7, IL1RAPL2, IL4R, IL6ST, IL18R1, IL22RA2, TNFRSF10A, TNFRSF11B, and TNFRSF21). Analysis of clinical melanoma samples showed significant downregulation of IL1RAPL2 and TNFRSF10A in cutaneous metastases, whereas IL6ST expression correlated with Breslow thickness of the primary tumor rather than metastatic site. Proteome profiling of dermal endothelial cells revealed alterations in Midkine, GROα, MIP-3α, IL-8, and SDF-1 following co-culture with melanoma cells. Plasma measurements in melanoma patients confirmed elevated Midkine levels in skin metastases and decreased MIP-3α in metastatic disease. These results highlight potential cytokine and chemokine-mediated pathways involved in melanoma dermal invasion and cutaneous metastasis. While some findings did not reach statistical significance, concordant trends between in vitro and patient-derived data suggest their relevance and warrant further investigation in larger cohorts. Full article
(This article belongs to the Section Molecular Oncology)
Show Figures

Figure 1

15 pages, 3611 KB  
Article
Chemokine CXCL12 Activates CXC Receptor 4 Metastasis Signaling Through the Upregulation of a CXCL12/CXCR4/MDMX (MDM4) Axis
by Rusia Lee, Viola Ellison, Dominique Forbes, Chong Gao, Diana Katanov, Alexandra Kern, Fayola Levine, Pam Leybengrub, Olorunseun Ogunwobi, Gu Xiao, Zhaohui Feng and Jill Bargonetti
Cancers 2024, 16(24), 4194; https://doi.org/10.3390/cancers16244194 - 16 Dec 2024
Viewed by 2069
Abstract
Background: The metastasis-promoting G-protein-coupled receptor CXC Receptor 4 (CXCR4) is activated by the chemokine CXCL12, also known as stromal cell-derived factor 1 (SDF-1). The CXCL12/CXCR4 pathway in cancer promotes metastasis but the molecular details of how this pathway cross-talks with oncogenes are understudied. [...] Read more.
Background: The metastasis-promoting G-protein-coupled receptor CXC Receptor 4 (CXCR4) is activated by the chemokine CXCL12, also known as stromal cell-derived factor 1 (SDF-1). The CXCL12/CXCR4 pathway in cancer promotes metastasis but the molecular details of how this pathway cross-talks with oncogenes are understudied. An oncogene pathway known to promote breast cancer metastasis in MDA-MB-231 xenografts is that of Mouse Double Minute 2 and 4 (MDM2 and MDM4, also known as MDMX). MDM2 and MDMX promote circulating tumor cell (CTC) formation and metastasis, and positively correlate with a high expression of CXCR4. Interestingly, this MDMX-associated upregulation of CXCR4 is only observed in cells grown in the tumor microenvironment (TME), but not in MDA-MB-231 cells grown in a tissue culture dish. This suggested a cross-talk signaling factor from the TME which was predicted to be CXCL12 and, as such, we asked if the exogenous addition of the cell non-autonomous CXCL12 ligand would recapitulate the MDMX-dependent upregulation of CXCR4. Methods: We used MDA-MB-231 cells and isolated CTCs, with and without MDMX knockdown, plus the exogenous addition of CXCL12 to determine if MDMX-dependent upregulation of CXCR4 could be recapitulated outside of the TME context. We added exogenous CXCL12 to the culture medium used for growth of MDA-MB-231 cells and isogenic cell lines engineered for MDM2 or MDMX depletion. We carried out immunoblotting, and quantitative RT-PCR to compare the expression of CXCR4, MDM2, MDMX, and AKT activation. We carried out Boyden chamber and wound healing assays to assess the influence of MDMX and CXCL12 on the cells’ migration capacity. Results: The addition of the CXCL12 chemokine to the medium increased the CXCR4 cellular protein level and activated the PI3K/AKT signaling pathway. Surprisingly, we observed that the addition of CXCL12 mediated the upregulation of MDM2 and MDMX at the protein, but not at the mRNA, level. A reduction in MDMX, but not MDM2, diminished both the CXCL12-mediated CXCR4 and MDM2 upregulation. Moreover, a reduction in both MDM2 and MDMX hindered the ability of the added CXCL12 to promote Boyden chamber-assessed cell migration. The upregulation of MDMX by CXCL12 was mediated, at least in part, by a step upstream of the proteasome pathway because CXCL12 did not increase protein stability after cycloheximide treatment, or when the proteasome pathway was blocked. Conclusions: These data demonstrate a positive feed-forward activation loop between the CXCL12/CXCR4 pathway and the MDM2/MDMX pathway. As such, MDMX expression in tumor cells may be upregulated in the primary tumor microenvironment by CXCL12 expression. Furthermore, CXCL12/CXCR4 metastatic signaling may be upregulated by the MDM2/MDMX axis. Our findings highlight a novel positive regulatory loop between CXCL12/CXCR4 signaling and MDMX to promote metastasis. Full article
Show Figures

Figure 1

7 pages, 740 KB  
Communication
Stromal-Cell-Derived Factor-1 Antibody Decreased Cancellous Osseointegration Strength in a Murine Tibial Implant Model
by Vincentius J. Suhardi, Anastasia Oktarina, Benjamin F. Ricciardi, Mathias P. G. Bostrom and Xu Yang
Int. J. Transl. Med. 2024, 4(4), 680-686; https://doi.org/10.3390/ijtm4040047 - 26 Nov 2024
Viewed by 996
Abstract
Background: Active recruitment of osteogenic cells by secreted signaling factors, such as stromal-cell-derived factor 1 (SDF-1), has recently been proposed as a novel strategy to enhance osseointegration. However, the intrinsic importance of the SDF-1/C-X-C chemokine receptor type 4 (CXCR4) axis in promoting osseointegration [...] Read more.
Background: Active recruitment of osteogenic cells by secreted signaling factors, such as stromal-cell-derived factor 1 (SDF-1), has recently been proposed as a novel strategy to enhance osseointegration. However, the intrinsic importance of the SDF-1/C-X-C chemokine receptor type 4 (CXCR4) axis in promoting osseointegration is unknown. To study the role of SDF-1/CXCR4 in osseointegration, we blocked the SDF-1/CXCR4 pathway in a murine tibial implant model through repeated administrations of an antibody against SDF-1. Methods: Using our previously described murine tibial implant model (N = 24), mice were randomized into an anti-SDF-1 group and a control group (N = 12/group). Intraperitoneal injections of CXCL12/SDF-1 monoclonal antibody (84 µg/mouse) or mouse IgG1 isotype were administered on days 2, 4, 7, 10, 13, 16, 19, 22, and 25 post-surgery. Mice were euthanized 4 weeks post-surgery. Peri-implant bone mass and architecture were determined through microcomputed tomography (µ-CT). Bone implant strength was detected through implant pull-out testing. Results: Inhibition of the SDF-1/CXCR4 pathway significantly reduced host bone–implant interface strength but did not significantly change the cancellous architecture surrounding the implant. Conclusion: SDF-1/CXCR4 is an important pathway to achieve maximum implant osseointegration. However, inhibition of the pathway did not completely eliminate osseointegration. Full article
Show Figures

Figure 1

21 pages, 22151 KB  
Article
Impact of SDF-1 and AMD3100 on Hair Follicle Dynamics in a Chronic Stress Model
by Yinglin Zhao, Wenzi Liang, Zhehui Liu, Xiuwen Chen and Changmin Lin
Biomolecules 2024, 14(10), 1206; https://doi.org/10.3390/biom14101206 - 25 Sep 2024
Cited by 3 | Viewed by 2184
Abstract
Chronic stress is a common cause of hair loss, involving inflammatory responses and changes in cellular signaling pathways. This study explores the mechanism of action of the SDF-1/CXCR4 signaling axis in chronic stress-induced hair loss. The research indicates that SDF-1 promotes hair follicle [...] Read more.
Chronic stress is a common cause of hair loss, involving inflammatory responses and changes in cellular signaling pathways. This study explores the mechanism of action of the SDF-1/CXCR4 signaling axis in chronic stress-induced hair loss. The research indicates that SDF-1 promotes hair follicle growth through the PI3K/Akt and JAK/STAT signaling pathways. Transcriptome sequencing analysis was conducted to identify differentially expressed genes in the skin of normal and stressed mice, with key genes SDF-1/CXCR4 selected through machine learning and a protein-protein interaction network established. A chronic stress mouse model was created, with injections of SDF-1 and AMD3100 administered to observe hair growth, weight changes, and behavioral alterations and validate hair follicle activity. Skin SDF-1 concentrations were measured, differentially expressed genes were screened, and pathways were enriched. Activation of the PI3K/Akt and JAK/STAT signaling pathways was assessed, and siRNA technology was used in vitro to inhibit the expression of SDF-1 or CXCR4. SDF-1 promoted hair follicle activity, with the combined injection of SDF-1 and AMD3100 weakening this effect. The activation of the PI3K/Akt and JAK/STAT signaling pathways was observed in the SDF-1 injection group, confirmed by Western blot and immunofluorescence. Silencing SDF-1 through siRNA-mediated inhibition reduced cell proliferation and migration abilities. SDF-1 promotes hair growth in chronic stress mice by activating the PI3K/Akt and JAK/STAT pathways, an effect reversible by AMD3100. The SDF-1/CXCR4 axis may serve as a potential therapeutic target for stress-induced hair loss. Full article
Show Figures

Figure 1

24 pages, 16794 KB  
Article
Cancer-Associated-Fibroblast-Mediated Paracrine and Autocrine SDF-1/CXCR4 Signaling Promotes Stemness and Aggressiveness of Colorectal Cancers
by Chao-Yang Chen, Shih-Hsien Yang, Ping-Ying Chang, Su-Feng Chen, Shin Nieh, Wen-Yen Huang, Yu-Chun Lin and Oscar Kuang-Sheng Lee
Cells 2024, 13(16), 1334; https://doi.org/10.3390/cells13161334 - 12 Aug 2024
Cited by 10 | Viewed by 2760
Abstract
Colorectal cancer (CRC) is a leading cause of cancer mortality worldwide, and cancer-associated fibroblasts (CAFs) play a major role in the tumor microenvironment (TME), which facilitates the progression of CRC. It is critical to understand how CAFs promote the progression of CRC for [...] Read more.
Colorectal cancer (CRC) is a leading cause of cancer mortality worldwide, and cancer-associated fibroblasts (CAFs) play a major role in the tumor microenvironment (TME), which facilitates the progression of CRC. It is critical to understand how CAFs promote the progression of CRC for the development of novel therapeutic approaches. The purpose of this study was to understand how CAF-derived stromal-derived factor-1 (SDF-1) and its interactions with the corresponding C-X-C motif chemokine receptor 4 (CXCR4) promote CRC progression. Our study focused on their roles in promoting tumor cell migration and invasion and their effects on the characteristics of cancer stem cells (CSCs), which ultimately impact patient outcomes. Here, using in vivo approaches and clinical histological samples, we analyzed the influence of secreted SDF-1 on CRC progression, especially in terms of tumor cell behavior and stemness. We demonstrated that CAF-secreted SDF-1 significantly enhanced CRC cell migration and invasion through paracrine signaling. In addition, the overexpression of SDF-1 in CRC cell lines HT29 and HCT-116 triggered these cells to generate autocrine SDF-1 signaling, which further enhanced their CSC characteristics, including those of migration, invasion, and spheroid formation. An immunohistochemical study showed a close relationship between SDF-1 and CXCR4 expression in CRC tissue, and this significantly affected patient outcomes. The administration of AMD3100, an inhibitor of CXCR4, reversed the entire phenomenon. Our results strongly suggest that targeting this signaling axis in CRC is a feasible approach to attenuating tumor progression, and it may, therefore, serve as an alternative treatment method to improve the prognosis of patients with CRC, especially those with advanced, recurrent, or metastatic CRC following standard therapy. Full article
(This article belongs to the Topic Advances in Colorectal Cancer Therapy)
Show Figures

Figure 1

1 pages, 138 KB  
Retraction
RETRACTED: Dong et al. Inhibition of SDF-1α/CXCR4 Signalling in Subchondral Bone Attenuates Post-Traumatic Osteoarthritis. Int. J. Mol. Sci. 2016, 17, 943
by Yonghui Dong, Hui Liu, Xuejun Zhang, Fei Xu, Liang Qin, Peng Cheng, Hui Huang, Fengjing Guo, Qing Yang and Anmin Chen
Int. J. Mol. Sci. 2024, 25(14), 7757; https://doi.org/10.3390/ijms25147757 - 16 Jul 2024
Cited by 7 | Viewed by 1251
Abstract
The journal retracts the article “Inhibition of SDF-1α/CXCR4 Signalling in Subchondral Bone Attenuates Post-Traumatic Osteoarthritis” [...] Full article
17 pages, 2443 KB  
Article
Pim Kinase Inhibition Disrupts CXCR4 Signalling in Megakaryocytes and Platelets by Reducing Receptor Availability at the Surface
by Sophie H. Nock, Maria R. Blanco-Lopez, Chloe Stephenson-Deakin, Sarah Jones and Amanda J. Unsworth
Int. J. Mol. Sci. 2024, 25(14), 7606; https://doi.org/10.3390/ijms25147606 - 11 Jul 2024
Cited by 2 | Viewed by 2000
Abstract
A key step in platelet production is the migration of megakaryocytes to the vascular sinusoids within the bone marrow. This homing is mediated by the chemokine CXCL12 and its receptor CXCR4. CXCR4 is also a positive regulator of platelet activation and thrombosis. Pim-1 [...] Read more.
A key step in platelet production is the migration of megakaryocytes to the vascular sinusoids within the bone marrow. This homing is mediated by the chemokine CXCL12 and its receptor CXCR4. CXCR4 is also a positive regulator of platelet activation and thrombosis. Pim-1 kinase has been shown to regulate CXCR4 signalling in other cell types, and we have previously described how Pim kinase inhibitors attenuate platelet aggregation to CXCL12. However, the mechanism by which Pim-1 regulates CXCR4 signalling in platelets and megakaryocytes has yet to be elucidated. Using human platelets, murine bone marrow-derived megakaryocytes, and the megakaryocyte cell line MEG-01, we demonstrate that pharmacological Pim kinase inhibition leads to reduced megakaryocyte and platelet function responses to CXCL12, including reduced megakaryocyte migration and platelet granule secretion. Attenuation of CXCL12 signalling was found to be attributed to the reduced surface expression of CXCR4. The decrease in CXCR4 surface levels was found to be mediated by rapid receptor internalisation, in the absence of agonist stimulation. We demonstrate that pharmacological Pim kinase inhibition disrupts megakaryocyte and platelet function by reducing constitutive CXCR4 surface expression, decreasing the number of receptors available for agonist stimulation and signalling. These findings have implications for the development and use of Pim kinase inhibitors for the treatment of conditions associated with elevated circulating levels of CXCL12/SDF1α and increased thrombotic risk. Full article
(This article belongs to the Special Issue Molecular Research in Platelet Biology)
Show Figures

Figure 1

15 pages, 247 KB  
Review
The Role of Ion Channels and Chemokines in Cancer Growth and Metastasis: A Proposed Mode of Action Using Peptides in Cancer Therapy
by Gerald J. Mizejewski
Cancers 2024, 16(8), 1531; https://doi.org/10.3390/cancers16081531 - 17 Apr 2024
Cited by 1 | Viewed by 1883
Abstract
Metastasis (Met) largely contributes to the major cause of cancer deaths throughout the world, rather than the growth of the tumor mass itself. The present report brings together several of the pertinent contributors to cancer growth and metastatic processes from an activity standpoint. [...] Read more.
Metastasis (Met) largely contributes to the major cause of cancer deaths throughout the world, rather than the growth of the tumor mass itself. The present report brings together several of the pertinent contributors to cancer growth and metastatic processes from an activity standpoint. Such biological activities include the following: (1) cell adherence and detachment; (2) cell-to-cell contact; (3) contact inhibition; (4) the cell interfacing with the extracellular matrix (ECM); (5) tumor cell-to-stroma communication networks; (6) chemotaxis; and (7) cell membrane potential. Moreover, additional biochemical factors that contribute to cancer growth and metastasis have been shown to comprise the following: (a) calcium levels in the extracellular matrix and in intracellular compartments; (b) cation voltage and ATP-regulated potassium channels; (c) selective and non-selective cation channels; and (d) chemokines (cytokines) and their receptors, such as CXCL12 (SDF-1) and its receptor/binding partner, CXCR4. These latter molecular components represent a promising group of an interacting and synchronized set of candidates ideal for peptide therapeutic targeting for cancer growth and metastasis. Such peptides can be obtained from naturally occurring proteins such as alpha-fetoprotein (AFP), an onco-fetal protein and clinical biomarker. Full article
28 pages, 3678 KB  
Review
Nanoparticles and Mesenchymal Stem Cell (MSC) Therapy for Cancer Treatment: Focus on Nanocarriers and a si-RNA CXCR4 Chemokine Blocker as Strategies for Tumor Eradication In Vitro and In Vivo
by José Joaquín Merino and María Eugenia Cabaña-Muñoz
Micromachines 2023, 14(11), 2068; https://doi.org/10.3390/mi14112068 - 7 Nov 2023
Cited by 9 | Viewed by 4939
Abstract
Mesenchymal stem cells (MSCs) have a high tropism for the hypoxic microenvironment of tumors. The combination of nanoparticles in MSCs decreases tumor growth in vitro as well as in rodent models of cancers in vivo. Covalent conjugation of nanoparticles with the surface of [...] Read more.
Mesenchymal stem cells (MSCs) have a high tropism for the hypoxic microenvironment of tumors. The combination of nanoparticles in MSCs decreases tumor growth in vitro as well as in rodent models of cancers in vivo. Covalent conjugation of nanoparticles with the surface of MSCs can significantly increase the drug load delivery in tumor sites. Nanoparticle-based anti-angiogenic systems (gold, silica and silicates, diamond, silver, and copper) prevented tumor growth in vitro. For example, glycolic acid polyconjugates enhance nanoparticle drug delivery and have been reported in human MSCs. Labeling with fluorescent particles (coumarin-6 dye) identified tumor cells using fluorescence emission in tissues; the conjugation of different types of nanoparticles in MSCs ensured success and feasibility by tracking the migration and its intratumor detection using non-invasive imaging techniques. However, the biosafety and efficacy; long-term stability of nanoparticles, and the capacity for drug release must be improved for clinical implementation. In fact, MSCs are vehicles for drug delivery with nanoparticles and also show low toxicity but inefficient accumulation in tumor sites by clearance of reticuloendothelial organs. To solve these problems, the internalization or conjugation of drug-loaded nanoparticles should be improved in MSCs. Finally, CXCR4 may prove to be a promising target for immunotherapy and cancer treatment since the delivery of siRNA to knock down this alpha chemokine receptor or CXCR4 antagonism has been shown to disrupt tumor–stromal interactions. Full article
(This article belongs to the Special Issue Exploration and Application of Nanocarriers)
Show Figures

Figure 1

22 pages, 1913 KB  
Review
The Role of CXCR1, CXCR2, CXCR3, CXCR5, and CXCR6 Ligands in Molecular Cancer Processes and Clinical Aspects of Acute Myeloid Leukemia (AML)
by Jan Korbecki, Patrycja Kupnicka, Katarzyna Barczak, Mateusz Bosiacki, Paweł Ziętek, Dariusz Chlubek and Irena Baranowska-Bosiacka
Cancers 2023, 15(18), 4555; https://doi.org/10.3390/cancers15184555 - 14 Sep 2023
Cited by 17 | Viewed by 4310
Abstract
Acute myeloid leukemia (AML) is a type of leukemia known for its unfavorable prognoses, prompting research efforts to discover new therapeutic targets. One area of investigation involves examining extracellular factors, particularly CXC chemokines. While CXCL12 (SDF-1) and its receptor CXCR4 have been extensively [...] Read more.
Acute myeloid leukemia (AML) is a type of leukemia known for its unfavorable prognoses, prompting research efforts to discover new therapeutic targets. One area of investigation involves examining extracellular factors, particularly CXC chemokines. While CXCL12 (SDF-1) and its receptor CXCR4 have been extensively studied, research on other CXC chemokine axes in AML is less developed. This study aims to bridge that gap by providing an overview of the significance of CXC chemokines other than CXCL12 (CXCR1, CXCR2, CXCR3, CXCR5, and CXCR6 ligands and CXCL14 and CXCL17) in AML’s oncogenic processes. We explore the roles of all CXC chemokines other than CXCL12, in particular CXCL1 (Gro-α), CXCL8 (IL-8), CXCL10 (IP-10), and CXCL11 (I-TAC) in AML tumor processes, including their impact on AML cell proliferation, bone marrow angiogenesis, interaction with non-leukemic cells like MSCs and osteoblasts, and their clinical relevance. We delve into how they influence prognosis, association with extramedullary AML, induction of chemoresistance, effects on bone marrow microvessel density, and their connection to French–American–British (FAB) classification and FLT3 gene mutations. Full article
(This article belongs to the Special Issue Microenvironment of Leukemia)
Show Figures

Figure 1

15 pages, 5686 KB  
Article
Novel Function of Nogo-A as Negative Regulator of Endothelial Progenitor Cell Angiogenic Activity: Impact in Oxygen-Induced Retinopathy
by Pakiza Ruknudin, Ali Riza Nazari, Maelle Wirth, Isabelle Lahaie, Emmanuel Bajon, Alain Rivard, Sylvain Chemtob and Michel Desjarlais
Int. J. Mol. Sci. 2023, 24(17), 13185; https://doi.org/10.3390/ijms241713185 - 24 Aug 2023
Cited by 3 | Viewed by 1861
Abstract
Endothelial Progenitor Cells (EPCs) can actively participate in revascularization in oxygen-induced retinopathy (OIR). Yet the mechanisms responsible for their dysfunction is unclear. Nogo-A, whose function is traditionally related to the inhibition of neurite function in the central nervous system, has recently been documented [...] Read more.
Endothelial Progenitor Cells (EPCs) can actively participate in revascularization in oxygen-induced retinopathy (OIR). Yet the mechanisms responsible for their dysfunction is unclear. Nogo-A, whose function is traditionally related to the inhibition of neurite function in the central nervous system, has recently been documented to display anti-angiogenic pro-repellent properties. Based on the significant impact of EPCs in retinal vascularization, we surmised that Nogo-A affects EPC function, and proceeded to investigate the role of Nogo-A on EPC function in OIR. The expression of Nogo-A and its specific receptor NgR1 was significantly increased in isolated EPCs exposed to hyperoxia, as well as in EPCs isolated from rats subjected to OIR compared with respective controls (EPCs exposed to normoxia). EPCs exposed to hyperoxia displayed reduced migratory and tubulogenic activity, associated with the suppressed expression of prominent EPC-recruitment factors SDF-1/CXCR4. The inhibition of Nogo-A (using a Nogo-66 neutralizing antagonist peptide) or siRNA-NGR1 in hyperoxia-exposed EPCs restored SDF-1/CXCR4 expression and, in turn, rescued the curtailed neovascular functions of EPCs in hyperoxia. The in vivo intraperitoneal injection of engineered EPCs (Nogo-A-inhibited or NgR1-suppressed) in OIR rats at P5 (prior to exposure to hyperoxia) prevented retinal and choroidal vaso-obliteration upon localization adjacent to vasculature; coherently, the inhibition of Nogo-A/NgR1 in EPCs enhanced the expression of key angiogenic factors VEGF, SDF-1, PDGF, and EPO in retina; CXCR4 knock-down abrogated suppressed NgR1 pro-angiogenic effects. The findings revealed that hyperoxia-induced EPC malfunction is mediated to a significant extent by Nogo-A/NgR1 signaling via CXCR4 suppression; the inhibition of Nogo-A in EPCs restores specific angiogenic growth factors in retina and the ensuing vascularization of the retina in an OIR model. Full article
(This article belongs to the Special Issue Retinal Degeneration—from Genetics to Therapy: Second Edition)
Show Figures

Figure 1

15 pages, 1993 KB  
Article
Sex-Based Disparities in Leukocyte Migration and Activation in Response to Inhalation Lung Injury: Role of SDF-1/CXCR4 Signaling
by Tanima Chatterjee, Terry L. Lewis, Itika Arora, Anastasiia E. Gryshyna, Lilly Underwood, Juan Xavier Masjoan Juncos and Saurabh Aggarwal
Cells 2023, 12(13), 1719; https://doi.org/10.3390/cells12131719 - 26 Jun 2023
Cited by 3 | Viewed by 2294
Abstract
The aim of the study was to determine whether sex-related differences exist in immune response to inhalation lung injury. C57BL/6 mice were exposed to Cl2 gas (500 ppm for 15, 20, or 30 min). Results showed that male mice have higher rates [...] Read more.
The aim of the study was to determine whether sex-related differences exist in immune response to inhalation lung injury. C57BL/6 mice were exposed to Cl2 gas (500 ppm for 15, 20, or 30 min). Results showed that male mice have higher rates of mortality and lung injury than females. The binding of the chemokine ligand C-X-C motif chemokine 12 (CXCL12), also called stromal-derived-factor-1 (SDF-1), to the C-X-C chemokine receptor type 4 (CXCR4) on lung cells promotes the migration of leukocytes from circulation to lungs. Therefore, the hypothesis was that elevated SDF-1/CXCR4 signaling mediates exaggerated immune response in males. Plasma, blood leukocytes, and lung cells were collected from mice post-Cl2 exposure. Plasma levels of SDF-1 and peripheral levels of CXCR4 in lung cells were higher in male vs. female mice post-Cl2 exposure. Myeloperoxidase (MPO) and elastase activity was significantly increased in leukocytes of male mice exposed to Cl2. Lung cells were then ex vivo treated with SDF-1 (100 ng/mL) in the presence or absence of the CXCR4 inhibitor, AMD3100 (100 nM). SDF-1 significantly increased migration, MPO, and elastase activity in cells obtained from male vs. female mice post-Cl2 exposure. AMD3100 attenuated these effects, suggesting that differential SDF-1/CXCR4 signaling may be responsible for sex-based disparities in the immune response to inhalation lung injury. Full article
(This article belongs to the Special Issue Advances in Leukocyte Migration and Location in Health and Disease)
Show Figures

Graphical abstract

21 pages, 2583 KB  
Review
CXCR4-Targeted Radiopharmaceuticals for the Imaging and Therapy of Malignant Tumors
by Jingjing Yu, Xu Zhou and Langtao Shen
Molecules 2023, 28(12), 4707; https://doi.org/10.3390/molecules28124707 - 12 Jun 2023
Cited by 17 | Viewed by 5339
Abstract
C-X-C chemokine receptor type 4 (CXCR4), also known as fusin or CD184, is a 7-transmembrane helix G-protein-coupled receptor that is encoded by the CXCR4 gene. Involved in various physiological processes, CXCR4 could form an interaction with its endogenous partner, chemokine ligand 12 (CXCL12), [...] Read more.
C-X-C chemokine receptor type 4 (CXCR4), also known as fusin or CD184, is a 7-transmembrane helix G-protein-coupled receptor that is encoded by the CXCR4 gene. Involved in various physiological processes, CXCR4 could form an interaction with its endogenous partner, chemokine ligand 12 (CXCL12), which is also named SDF-1. In the past several decades, the CXCR4/CXCL12 couple has attracted a large amount of research interest due to its critical functions in the occurrence and development of refractory diseases, such as HIV infection, inflammatory diseases, and metastatic cancer, including breast cancer, gastric cancer, and non-small cell lung cancer. Furthermore, overexpression of CXCR4 in tumor tissues was shown to have a high correlation with tumor aggressiveness and elevated risks of metastasis and recurrence. The pivotal roles of CXCR4 have encouraged an effort around the world to investigate CXCR4-targeted imaging and therapeutics. In this review, we would like to summarize the implementation of CXCR4-targeted radiopharmaceuticals in the field of various kinds of carcinomas. The nomenclature, structure, properties, and functions of chemokines and chemokine receptors are briefly introduced. Radiopharmaceuticals that could target CXCR4 will be described in detail according to their structure, such as pentapeptide-based structures, heptapeptide-based structures, nonapeptide-based structures, etc. To make this review a comprehensive and informative article, we would also like to provide the predictive prospects for the CXCR4-targeted species in future clinical development. Full article
(This article belongs to the Special Issue Design, Synthesis and Evaluation of Theranostic Radiopharmaceuticals)
Show Figures

Figure 1

16 pages, 3691 KB  
Article
Herpetin Promotes Bone Marrow Mesenchymal Stem Cells to Alleviate Carbon Tetrachloride-Induced Acute Liver Injury in Mice
by Yi Ding, Rui Tan, Jian Gu and Puyang Gong
Molecules 2023, 28(9), 3842; https://doi.org/10.3390/molecules28093842 - 1 May 2023
Cited by 6 | Viewed by 2132
Abstract
Herpetin, an active compound derived from the seeds of Herpetospermum caudigerum Wall., is a traditional Tibetan herbal medicine that is used for the treatment of hepatobiliary diseases. The aim of this study was to evaluate the stimulant effect of herpetin on bone marrow [...] Read more.
Herpetin, an active compound derived from the seeds of Herpetospermum caudigerum Wall., is a traditional Tibetan herbal medicine that is used for the treatment of hepatobiliary diseases. The aim of this study was to evaluate the stimulant effect of herpetin on bone marrow mesenchymal stem cells (BMSCs) to improve acute liver injury (ALI). In vitro results showed that herpetin treatment enhanced expression of the liver-specific proteins alpha-fetoprotein, albumin, and cytokeratin 18; increased cytochrome P450 family 3 subfamily a member 4 activity; and increased the glycogen-storage capacity of BMSCs. Mice with ALI induced by carbon tetrachloride (CCl4) were treated with a combination of BMSCs by tail-vein injection and herpetin by intraperitoneal injection. Hematoxylin and eosin staining and serum biochemical index detection showed that the liver function of ALI mice improved after administration of herpetin combined with BMSCs. Western blotting results suggested that the stromal cell-derived factor-1/C-X-C motif chemokine receptor 4 axis and the Wnt/β-catenin pathway in the liver tissue were activated after treatment with herpetin and BMSCs. Therefore, herpetin is a promising BMSC induction agent, and coadministration of herpetin and BMSCs may affect the treatment of ALI. Full article
Show Figures

Figure 1

18 pages, 4223 KB  
Article
α-Hederin Saponin Augments the Chemopreventive Effect of Cisplatin against Ehrlich Tumors and Bioinformatic Approach Identifying the Role of SDF1/CXCR4/p-AKT-1/NFκB Signaling
by Samah M. Elaidy, Mohamed K. El-Kherbetawy, Sally Y. Abed, Abdullah Alattar, Reem Alshaman, Mohamed Ahmed Eladl, Eman Saad Alamri, Aisha Nawaf Al balawi, AbdelNaser Zaid, Amany Y. Elkazzaz, Sozan M. Abdelkhalig, Ziad E. Hamed and Sawsan A. Zaitone
Pharmaceuticals 2023, 16(3), 405; https://doi.org/10.3390/ph16030405 - 7 Mar 2023
Cited by 6 | Viewed by 2949
Abstract
Stromal cell-derived factor-1 (SDF1) and its C-X-C chemokine receptor type 4 receptor (CXCR4) are significant mediators for cancer cells’ proliferation, and we studied their expression in Ehrlich solid tumors (ESTs) grown in mice. α-Hederin is a pentacyclic triterpenoid saponin found in Hedera or [...] Read more.
Stromal cell-derived factor-1 (SDF1) and its C-X-C chemokine receptor type 4 receptor (CXCR4) are significant mediators for cancer cells’ proliferation, and we studied their expression in Ehrlich solid tumors (ESTs) grown in mice. α-Hederin is a pentacyclic triterpenoid saponin found in Hedera or Nigella species with biological activity that involves suppression of growth of breast cancer cell lines. The aim of this study was to explore the chemopreventive activity of α-hederin with/without cisplatin; this was achieved by measuring the reduction in tumor masses and the downregulation in SDF1/CXCR4/pAKT signaling proteins and nuclear factor kappa B (NFκB). Ehrlich carcinoma cells were injected in four groups of Swiss albino female mice (Group1: EST control group, Group2: EST + α-hederin group, Group3: EST + cisplatin group, and Group4: EST+α-hederin/cisplatin treated group). Tumors were dissected and weighed, one EST was processed for histopathological staining with hematoxylin and eosin (HE), and the second MC was frozen and processed for estimation of signaling proteins. Computational analysis for these target proteins interactions showed direct-ordered interactions. The dissected solid tumors revealed decreases in tumor masses (~21%) and diminished viable tumor regions with significant necrotic surrounds, particularly with the combination regimens. Immunohistochemistry showed reductions (~50%) in intratumoral NFκβ in the mouse group that received the combination therapy. The combination treatment lowered the SDF1/CXCR4/p-AKT proteins in ESTs compared to the control. In conclusion, α-hederin augmented the chemotherapeutic potential of cisplatin against ESTs; this effect was at least partly mediated through suppressing the chemokine SDF1/CXCR4/p-AKT/NFκB signaling. Further studies are recommended to verify the chemotherapeutic potential of α-hederin in other breast cancer models. Full article
(This article belongs to the Special Issue Cancer Chemoradiotherapy)
Show Figures

Graphical abstract

Back to TopTop