Sign in to use this feature.

Years

Between: -

Subjects

remove_circle_outline
remove_circle_outline
remove_circle_outline
remove_circle_outline
remove_circle_outline
remove_circle_outline
remove_circle_outline
remove_circle_outline
remove_circle_outline

Journals

Article Types

Countries / Regions

Search Results (25)

Search Parameters:
Keywords = SCOR model

Order results
Result details
Results per page
Select all
Export citation of selected articles as:
21 pages, 1220 KB  
Article
Bridging Digitalization and Sustainability in Supply Chain Performance Measurement: An MLP-Based Predictive Model
by Mariem Mrad, Rym Belgaroui, Younes Boujelbene and Nagwa Amin Abelkawy
Logistics 2026, 10(2), 42; https://doi.org/10.3390/logistics10020042 - 9 Feb 2026
Viewed by 305
Abstract
Background: The transition toward Industry 4.0 and Supply Chain 5.0 requires performance measurement frameworks that integrate efficiency, digitalization, and sustainability indicators. Although the SCOR® 4.0 model provides standardized metrics, it lacks predictive capabilities under complex and nonlinear conditions. This study addresses [...] Read more.
Background: The transition toward Industry 4.0 and Supply Chain 5.0 requires performance measurement frameworks that integrate efficiency, digitalization, and sustainability indicators. Although the SCOR® 4.0 model provides standardized metrics, it lacks predictive capabilities under complex and nonlinear conditions. This study addresses this gap by extending the SCOR® framework and integrating it into an AI-based predictive model. Methods: A Multilayer Perceptron (MLP) neural network was developed to forecast Supply Chain Performance (SCP) using an expanded set of SCOR® 4.0 indicators. Additional Level 1 and Level 2 metrics, capturing digitalization and sustainability (including carbon footprint and waste reduction), were incorporated. The MLP model was optimized and trained using the Levenberg–Marquardt algorithm on a synthetically generated dataset derived from deterministic Extended SCOR® 4.0 formulations, in order to capture complex nonlinear relationships under controlled, simulation-based conditions. Results: Simulation-based validation demonstrates high predictive accuracy, achieving low RMSE, MAE, and MAPE values and strong correlation coefficients. Conclusions: The findings demonstrate the methodological feasibility and internal consistency of integrating extended SCOR® metrics with an optimized MLP architecture for forecasting multidimensional SCP under simulated conditions in digital and sustainability-oriented supply chains; external validity to real operational environments remains to be established in future empirical studies. Full article
Show Figures

Figure 1

41 pages, 3353 KB  
Systematic Review
Circular Supply Chain Management Assessment: A Systematic Literature Review
by Jose Alejandro Cano, Abraham Londoño-Pineda, Emiro Antonio Campo, Tim Gruchmann and Stephan Weyers
Environments 2025, 12(10), 374; https://doi.org/10.3390/environments12100374 - 11 Oct 2025
Viewed by 4827
Abstract
In response to escalating global concerns about waste generation throughout the product life cycle, the Circular Economy (CE) has emerged as a central alternative to the dominant linear economic model. The integration of CE principles into supply chain management is manifested in Circular [...] Read more.
In response to escalating global concerns about waste generation throughout the product life cycle, the Circular Economy (CE) has emerged as a central alternative to the dominant linear economic model. The integration of CE principles into supply chain management is manifested in Circular Supply Chain Management (CSCM), offering a novel perspective on supply chain sustainability. Despite the growing research interest in developing CSCM to enhance supply chain sustainability, assessment approaches of this concept are notably absent in the literature. This study addresses this gap by focusing on the assessment and performance measurement of circular practices in the context of supply chains. At first, the research presents a bibliometric analysis to delve into the performance and science mapping of CSCM assessment, providing a comprehensive view of the scientific landscape. Subsequently, a content analysis is then used to identify current assessment approaches, focusing on frameworks, methodologies, barriers, enablers, and CE strategies. The study proposes a conceptual model based on the SCOR framework, including core categories such as enablers (business model, technology, collaboration, design) and results (material, water, energy flows) represented by the Rs strategies. This model contributes to bridging theoretical gaps and guiding practitioners and policymakers in the design, evaluation, and implementation of circular supply chains. Full article
Show Figures

Figure 1

23 pages, 522 KB  
Article
A SCOR-Based Two-Stage Network Range-Adjusted Measure Data Envelopment Analysis Approach for Evaluating Sustainable Supply Chain Efficiency: Evidence from the Korean Automotive Parts Industry
by Sungmook Lim and Yue Luo
Sustainability 2025, 17(19), 8607; https://doi.org/10.3390/su17198607 - 25 Sep 2025
Viewed by 1444
Abstract
This study evaluates the economic dimension of sustainable supply chain efficiency among Korean automotive suppliers using an SCOR-aligned two-stage Network Range-Adjusted Measure (NRAM) Data Envelopment Analysis (DEA) model. The framework separates performance into Stage 1 (internal operations: Plan/Source/Make/Deliver) and Stage 2 (external outcomes: [...] Read more.
This study evaluates the economic dimension of sustainable supply chain efficiency among Korean automotive suppliers using an SCOR-aligned two-stage Network Range-Adjusted Measure (NRAM) Data Envelopment Analysis (DEA) model. The framework separates performance into Stage 1 (internal operations: Plan/Source/Make/Deliver) and Stage 2 (external outcomes: sales and profitability), enabling stage-specific assessment of operational versus market-facing efficiency. Firm-level financial data for about 1200 suppliers annually from 2021 to 2024, spanning five sectors, were analyzed with descriptive statistics, visualizations, and non-parametric tests. Results show that Stage 1 efficiency was consistently high and stable, while Stage 2 efficiency was lower, more variable, and declined in 2022 and 2024, revealing vulnerability to systemic market disruptions. Overall efficiency mirrored Stage 2, underscoring the fact that downstream financial outcomes drive total performance. Rather than introducing a new methodology, the contribution of this study lies in applying an established two-stage NRAM DEA within an SCOR-aligned framework to a large-scale longitudinal dataset. This application provides sectoral and temporal benchmarks on a national scale, offering evidence-based insights into how structural interdependence and systemic shocks influence supply chain efficiency. While the scope is limited to the economic pillar of sustainability, the findings contribute contextualized benchmarks that can inform managerial practice and future research integrating environmental and social performance dimensions. Full article
Show Figures

Figure 1

34 pages, 3524 KB  
Article
Defining the Criteria for Selecting the Right Extended Reality Systems in Healthcare Using Fuzzy Analytic Network Process
by Ali Kamali Mohammadzadeh, Maryam Eghbalizarch, Roohollah Jahanmahin and Sara Masoud
Sensors 2025, 25(10), 3133; https://doi.org/10.3390/s25103133 - 15 May 2025
Cited by 1 | Viewed by 1423
Abstract
In the past decade, extended reality (XR) has been introduced into healthcare due to several potential benefits, such as scalability and cost savings. As there is no comprehensive study covering all the factors influencing the selection of an XR system in the healthcare [...] Read more.
In the past decade, extended reality (XR) has been introduced into healthcare due to several potential benefits, such as scalability and cost savings. As there is no comprehensive study covering all the factors influencing the selection of an XR system in the healthcare and medical domain, a Decision Support System is proposed in this paper to identify and rank factors impacting the performance of XR in this domain from an engineering design perspective. The proposed system is built upon the Supply Chain Operations Reference (SCOR) model supported by a literature survey and experts’ knowledge to extract and identify important factors. Subsequently, the factors are categorized into distinct categories, and their relative importance is specified by Analytic Network Process (ANP) models under a fuzzy environment. Two fuzzy approaches for the ANP models are compared, and the results are analyzed using statistical testing. The computational results show that the ranking agreement between the two fuzzy approaches is strong and corresponds to the fact that both approaches yield the same ranking of primary factors, highlighting the significance of reliability as the topmost factor, followed by responsiveness, cost, and agility. It is shown that while the top three important sub-factors are identical between the two approaches, their relative order is slightly varied. Safety is considered to be the most critical aspect within the reliability category in both approaches, but there are discrepancies in the rankings of accuracy and user control and freedom. Both approaches also consider warranty and depreciation costs as the least significant criteria. Full article
Show Figures

Figure 1

17 pages, 952 KB  
Article
Fair Tourism in South Korea: An Examination of Sustainable Supply Chain Management for Tourism
by Seungah Chung and Jonathon Day
Tour. Hosp. 2024, 5(4), 1493-1509; https://doi.org/10.3390/tourhosp5040083 - 19 Dec 2024
Viewed by 3685
Abstract
Fair Tourism (FT) is an emerging form of tourism in Korea. It serves as a response to the unethical and unsustainable practices of Korean tour operators by incorporating various sustainable tourism practices. Sustainable supply chain management is a vital element in the operationalization [...] Read more.
Fair Tourism (FT) is an emerging form of tourism in Korea. It serves as a response to the unethical and unsustainable practices of Korean tour operators by incorporating various sustainable tourism practices. Sustainable supply chain management is a vital element in the operationalization of FT, and yet, despite the increasing significance of FT, there is a dearth of research on the phenomenon. This research aims to bridge this gap by examining how practitioners define and implement FT. The current analysis is based on semi-structured interviews with 15 CEOs of FT companies. Through thematic analysis of the interviews, valuable insights into the establishment and execution of FT are uncovered. Tourism operations like FT promote positive outcomes in destination communities. The study defines FT as tourism where travelers contribute to the local economy while also promoting environmental and social sustainability. The study also examines the sustainable supply chain management operations of FT practitioners, using the Supply Chain Operations Reference (SCOR) model as a framework. It is evident that FT practitioners recognize the significance of sustainable supply chain management and strive to foster a culture of mutually respectful relationships, setting them apart from traditional sustainable tourism practices. Furthermore, this article highlights how FT practitioners incorporate sustainable tourism and sustainable supply chain management (SSCM) in their programs. They achieve this by collaborating with local partners, utilizing local resources, and actively engaging with their partners within the destinations in which they operate. Full article
Show Figures

Figure 1

10 pages, 1177 KB  
Article
Evaluating Ocular Healthcare Accessibility and the Severity of Emergencies during Times of Crisis
by Jonas Neubauer, Paul Richter, Lisa Strudel, Focke Ziemssen and Spyridon Dimopoulos
J. Clin. Med. 2024, 13(19), 5962; https://doi.org/10.3390/jcm13195962 - 7 Oct 2024
Viewed by 1538
Abstract
Background/Objectives: The COVID-19 pandemic has profoundly impacted healthcare systems worldwide, including the delivery of ophthalmic emergency services. This study examines the impact of the COVID-19 pandemic on the clinical presentation of emergencies and the accessibility of healthcare in ophthalmology. Methods: The study employed [...] Read more.
Background/Objectives: The COVID-19 pandemic has profoundly impacted healthcare systems worldwide, including the delivery of ophthalmic emergency services. This study examines the impact of the COVID-19 pandemic on the clinical presentation of emergencies and the accessibility of healthcare in ophthalmology. Methods: The study employed a single-center, consecutive case series design with historical controls to examine electronic health records over a 21-day period during the COVID-19 pandemic and a matched period from the preceding year. Records were analyzed for demographic variables, diagnosis, length of stay, travel distance, and referral status. The urgency of cases was evaluated by three independent graders using the BaSe SCOrE (BAsic SEverity Score for Common OculaR Emergencies). Results: A total of 1229 patients were included in the study, with 786 patients in the 2019 cohort and 443 patients in the 2020 cohort. During the pandemic period, there was a significant decrease in the number of patients and the duration of their visits (p < 0.0001, p < 0.0001, respectively). There was an increase in walk-in patients (p = 0.03), who took significantly longer journeys to be treated as compared to referred patients (p < 0.01). At the same time, the severity of emergencies increased (p = 0.02). The 2019 logistic regression model found that age (p = 0.003), referral status (p < 0.001), distance (p = 0.009), and first presentation (p = 0.02) were significant predictors of the severity, while gender was not (p = 0.78). The 2020 model found that only age (p < 0.001) and referral status (p < 0.001) were significant predictors of severity. Conclusions: The observed decline in patient volume, increased severity of emergencies, and shifts in predictive variables within the logistic regression models are indicative of significant barriers to healthcare access. Therefore, enhancing health literacy and ensuring low-threshold access to emergency services are crucial, especially during crises. Full article
(This article belongs to the Section Ophthalmology)
Show Figures

Figure 1

24 pages, 4698 KB  
Article
Measuring Supply Chain Performance for Khanh Hoa Sanest Soft Drink Joint Stock Company: An Application of the Supply Chain Operations Reference (SCOR) Model
by Tram Anh Thi Nguyen, Thuy Lan Nguyen, Quynh Trang Thi Nguyen, Kim Anh Thi Nguyen and Curtis M. Jolly
Sustainability 2023, 15(22), 16057; https://doi.org/10.3390/su152216057 - 17 Nov 2023
Cited by 1 | Viewed by 5268
Abstract
As Khanh Hoa Sanest Soft Drink Joint Stock Company attempts to satisfy consumer requirements and maintain market share in the salangane nest industry, it is important to monitor the efficiency of its supply chain (SC). This paper identified metrics to evaluate the firm’s [...] Read more.
As Khanh Hoa Sanest Soft Drink Joint Stock Company attempts to satisfy consumer requirements and maintain market share in the salangane nest industry, it is important to monitor the efficiency of its supply chain (SC). This paper identified metrics to evaluate the firm’s SC performance, using secondary data from firm records, primary data from a survey of 200 sales agents, and the Supply Chain Operations Reference (SCOR) model. Production records revealed a manufacturing lead time of 11 days and a production time of 24 h plus 7 days for refrigeration and observation. Order fulfillment delivery times ranged from 13 to 16 days. About 86.0 percent of customers rated the product as good or very good, and 60.5 percent claimed benefits from consuming the product. SC management costs of goods sold were 75.27% of total costs, while production cost was 41.99% of total costs. Total assets increased 16.6% from 2019 to 2021, but profits declined by 32.9% for the same period, while return on assets fell 42.4%. To maintain a competitive advantage, the company should apply information technology to improve SC performance. The results showed that the SCOR model is appropriate for evaluating the performance of this firm and similar business enterprises. Full article
Show Figures

Figure 1

31 pages, 11031 KB  
Article
Modelling the Make Process of the Mineral Supply Chain Upstream Segment
by Raúl Castillo-Villagra, Gabriel Icarte and Klaus-Dieter Thoben
Resources 2023, 12(11), 132; https://doi.org/10.3390/resources12110132 - 8 Nov 2023
Cited by 3 | Viewed by 5531
Abstract
The upstream segment of the minerals supply chain (MiSC) is the backbone for achieving the transition to clean energy by securing the supply of minerals. Recently, the MiSC has been disrupted, affecting mineral supply and generating uncertainty among clean energy producers. Supply chain [...] Read more.
The upstream segment of the minerals supply chain (MiSC) is the backbone for achieving the transition to clean energy by securing the supply of minerals. Recently, the MiSC has been disrupted, affecting mineral supply and generating uncertainty among clean energy producers. Supply chain (SC) mapping addresses this uncertainty, providing a holistic end-to-end view. However, MiSC mapping studies mainly focus on the downstream segment, leaving aside the upstream segment. In this context, the fundamental gap is the lack of standardized modelling frameworks that can accurately represent the upstream segment dynamics and, at the same time, seamlessly integrate with the downstream segment. This paper bridges this gap, designing a model for the MiSC upstream segment (MiSCOR). Framed within design science research methodology, MiSCOR is built by adapting two reference models, the Exploration and Mining Business Reference Model (EM) and the Supply Chain Operations Reference Model (SCOR), focusing on the commodity-making process. The MiSCOR demonstrates its applicability and robustness in real operational scenarios of one of the largest copper producers. MiSCOR provides a management tool for practitioners and decision-makers in the MISC’s upstream segment, offering blueprints to throw functional silos, foster collaboration, and a standardized framework that integrates seamlessly with the downstream segment. Full article
Show Figures

Figure 1

35 pages, 1305 KB  
Article
Measuring Supply Chain Performance as SCOR v13.0-Based in Disruptive Technology Era: Scale Development and Validation
by Özden Özkanlısoy and Füsun Bulutlar
Logistics 2023, 7(3), 65; https://doi.org/10.3390/logistics7030065 - 18 Sep 2023
Cited by 13 | Viewed by 18294
Abstract
Background: Supply chain performance measurement is an integral part of supply chain management today, as it makes many critical contributions to supply chains, especially for companies and supply chains to identify potential problems and improvement fields, evaluate the efficiency of processes, and enhance [...] Read more.
Background: Supply chain performance measurement is an integral part of supply chain management today, as it makes many critical contributions to supply chains, especially for companies and supply chains to identify potential problems and improvement fields, evaluate the efficiency of processes, and enhance the health and success of supply chains. The purpose of this study is to contribute to future research and practical applications by presenting a more standard, comprehensive, and up-to-date measurement scale developed based on the SCOR model version 13.0 performance measures in the disruptive technology era. Methods: The study was performed in seven stages and the sample size consists of 227 companies for pilot data and 452 companies for the main data. The stages comprise item generation and purification, exploratory factor analysis for the pilot study and main study, confirmatory factor analysis for the main study, convergent, discriminant, and nomological validity appraisal, and investigation of bias effect. Results: The scale was developed and validated as a five-factor and thirty-one item structure. Conclusions: Some key trends and indicators must be followed today to perceive the landscape of future supply chains. This measurement scale closely follows the future supply chains. Additionally, the findings have been confirmed by the contributions of disruptive technologies and the conceptual structure of supply chain management. Full article
(This article belongs to the Special Issue Smart, Agile, Sustainable & Integrated: The Logistics of the Future)
Show Figures

Figure 1

14 pages, 391 KB  
Article
Relationship between Executive Functions, Social Cognition, and Attachment State of Mind in Adolescence: An Explorative Study
by Riccardo Williams, Silvia Andreassi, Marta Moselli, Fiorella Fantini, Annalisa Tanzilli, Vittorio Lingiardi and Fiorenzo Laghi
Int. J. Environ. Res. Public Health 2023, 20(4), 2836; https://doi.org/10.3390/ijerph20042836 - 6 Feb 2023
Cited by 8 | Viewed by 5115
Abstract
Background: The passage from pre-adolescence to adolescence is presented as a turning point for the achievement of those abilities in social understanding as they commonly appear in adulthood. Developmental perspectives point to the possible role of neuro-cognitive maturation and social experiences to facilitate [...] Read more.
Background: The passage from pre-adolescence to adolescence is presented as a turning point for the achievement of those abilities in social understanding as they commonly appear in adulthood. Developmental perspectives point to the possible role of neuro-cognitive maturation and social experiences to facilitate this growth. This paper has the goal to goalsto propose a valid and reliable measure of the new quantitative and qualitative advancements in social understanding occurring in the adolescent passage; relying on this, the research has two main objectives (a) to establish the associations between the advancements in social understanding and the executive functions held responsible for the neuro-cognitive rearrangements of adolescence; (c) to evidence the significant associations between attachment models and the development of social understanding in this phase of life. Methods: 100 subjects (50 boys and 50 girls, aged 11–15) were administered with AICA, SCORS, CNT, Stroop Color-Word Test, and WISC-III. Results: Advancements in the complexity of self–other representations and mentalization of interpersonal exchanges significantly occurs in the passage from pre-adolescence to adolescence and seem to be promoted by increased performances in executive control and cognitive shifting. Dismissing state of mind with respect to attachment is associated with lower development of social understanding in adolescence. The neurocognitive reorganization that underlies the passage from pre-adolescence to adolescence seems to provide the scaffolding for more sophisticated interpretations of the social world. Past and current affective experience can boost or hinder the full deployment of such human maturational potential. Given the importance of social cognition for adjustment and psychopathology, clinical intervention should target the amelioration of individual and family abilities in social reasoning and mentalization. Full article
(This article belongs to the Special Issue Attachment in Couple, Parent-Child and Sibling Relationships)
32 pages, 2298 KB  
Article
Evaluating the Performance of a Safe Insulin Supply Chain Using the AHP-TOPSIS Approach
by Mona Haji, Laoucine Kerbache and Tareq Al-Ansari
Processes 2022, 10(11), 2203; https://doi.org/10.3390/pr10112203 - 26 Oct 2022
Cited by 11 | Viewed by 5622
Abstract
People with type 1 diabetes require insulin, a lifesaving and essential medication, to maintain their blood sugar levels below dangerous levels. Unfortunately, the insulin industry faces supply and affordability issues, and patients and their families face an enormous burden. As a result of [...] Read more.
People with type 1 diabetes require insulin, a lifesaving and essential medication, to maintain their blood sugar levels below dangerous levels. Unfortunately, the insulin industry faces supply and affordability issues, and patients and their families face an enormous burden. As a result of high prices and lack of availability, individuals are turning to other options for purchasing insulin, such as online pharmacies, which may or may not be legitimate. Despite the necessity of safe insulin for diabetics in the legitimate Pharmaceutical Supply Chain (PSC), few researchers have considered implementing strategies to maximize patient safety for purchasing insulin. Therefore, the current research seeks to bridge this gap and provide cohesive information on overcoming this challenge and maximizing insulin safety. This study employs a Multi-Criteria Decision-Making (MCDM) model that combines Supply Chain Operations Reference (SCOR) metrics, Analytic Hierarchy Process (AHP), and Technique for Order of Preference by Similarity to Ideal Solution (TOPSIS) to develop a model that can prioritize and select the best criteria for maximizing insulin safety and achieving the study objective. A comparison of two insulin supply chain scenarios was performed. As a result of this research, adding a traceability technology to the insulin supply chain, specifically blockchain (T42) in scenario 2 provides the best results to the supply chain for maximizing and ensuring the safety of insulin, as compared to scenario 1, where the final score achieved almost 71%. This research provides a useful tool for assessing the safety of other critical goods that customers value in strategic and complex decision-making. Academics, professionals, and decision-makers can benefit from this research using a rigorous scientific decision-support system. Full article
Show Figures

Figure 1

17 pages, 1008 KB  
Article
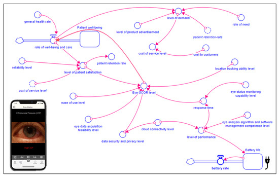
Eye-SCOR: A Supply Chain Operations Reference-Based Framework for Smart Eye Status Monitoring Using System Dynamics Modeling
by Saba Pourreza, Misagh Faezipour and Miad Faezipour
Sustainability 2022, 14(14), 8876; https://doi.org/10.3390/su14148876 - 20 Jul 2022
Cited by 7 | Viewed by 3847
Abstract
This work is a unique integration of three different areas, including smart eye status monitoring, supply chain operations reference (SCOR), and system dynamics, to explore the dynamics of the supply chain network of smart eye/vision monitoring systems. Chronic eye diseases such as glaucoma [...] Read more.
This work is a unique integration of three different areas, including smart eye status monitoring, supply chain operations reference (SCOR), and system dynamics, to explore the dynamics of the supply chain network of smart eye/vision monitoring systems. Chronic eye diseases such as glaucoma affect millions of individuals worldwide and, if left untreated, can lead to irreversible vision loss. Nearly half of the affected population is unaware of the condition and can be informed with frequent, accessible eye/vision tests. Tonometry is the conventional clinical method used in healthcare settings to determine the intraocular pressure (IOP) level for evaluating the risk of glaucoma. There are currently very few (under development) non-contact and non-invasive methods using smartphones to determine the risk of IOP and/or the existence of other eye-related diseases conveniently at home. With the overall goal of improving health, well-being, and sustainability, this paper proposes Eye-SCOR: a supply chain operations reference (SCOR)-based framework to evaluate the effectiveness of smartphone-based eye status monitoring apps. The proposed framework is designed using system dynamics modeling as a subset of a new causal model. The model includes interaction/activities between the main players and enablers in the supply chain network, namely suppliers/service providers, smartphone app/device factors, customers, and healthcare professionals, as well as cash and information flow. The model has been tested under various scenarios and settings. Simulation results reveal the dynamics of the model and show that improving the eye status monitoring device/app factors directly increases the efficiency/Eye-SCOR level. The proposed framework serves as an important step towards understanding and improving the overall performance of the supply chain network of smart eye/vision monitoring systems. Full article
(This article belongs to the Section Health, Well-Being and Sustainability)
Show Figures

Figure 1

21 pages, 906 KB  
Article
Multicriteria Approach for Supplier Selection: Evidence from a Case Study in the Fashion Industry
by Giuseppe Caristi, Raffaele Boffardi, Cristina Ciliberto, Roberta Arbolino and Giuseppe Ioppolo
Sustainability 2022, 14(13), 8038; https://doi.org/10.3390/su14138038 - 30 Jun 2022
Cited by 11 | Viewed by 6062
Abstract
Worldwide manufactures are redesigning supply chains, often outsourcing with the aim of maintaining a competitive advantage and gaining market share. When selecting and purchasing fabrics, firms should actively cooperate with suppliers, to meet customers’ needs. In this view, the supplier selection process plays [...] Read more.
Worldwide manufactures are redesigning supply chains, often outsourcing with the aim of maintaining a competitive advantage and gaining market share. When selecting and purchasing fabrics, firms should actively cooperate with suppliers, to meet customers’ needs. In this view, the supplier selection process plays a key role in keeping a competitive edge in global markets. Therefore, this study proposes a multicriteria decision-making model (MCDM) to ease supplier evaluation and selection. Supply chain operation reference metrics (SCOR metrics) and fuzzy technique for order of preference by similarity to ideal solution (FTOPSIS) are combined to build a model for supplier selection. The former allows us to conduct a very thorough fact-based analysis of all features in the supply chain, while the combination of fuzzy theory and SCOR model allows us to deal with uncertainty. The main novelty of this method is that it incorporates a consolidated supply chain management criteria within the framework of fuzzy set theory and multicriteria decision-making model (MCDM) facilitating their application into practice. The proposed approach is tested by considering the case of a manufacturing firm in the fashion industry willing to designate the most appropriate supplier within a set of three potential ones. Full article
Show Figures

Figure 1

20 pages, 11888 KB  
Review
Issues and Challenges in Short Food Supply Chains: A Systematic Literature Review
by Bilgesu Bayir, Aurélie Charles, Aicha Sekhari and Yacine Ouzrout
Sustainability 2022, 14(5), 3029; https://doi.org/10.3390/su14053029 - 4 Mar 2022
Cited by 50 | Viewed by 12443
Abstract
Consumers increasingly prefer more direct and more transparent food distribution channels, such as short food supply chains (SFSCs). Nonetheless, SFSCs face a variety of issues and challenges in their creation and functioning, resulting in limited performance and sustainability, as well as in difficulties [...] Read more.
Consumers increasingly prefer more direct and more transparent food distribution channels, such as short food supply chains (SFSCs). Nonetheless, SFSCs face a variety of issues and challenges in their creation and functioning, resulting in limited performance and sustainability, as well as in difficulties of upscaling. This study aims at improving our understanding of SFSCs’ issues/challenges through a systematic review of the most recent literature. We perform a full-text content analysis of 44 studies, looking for answers to the research questions: At which parts of the SFSCs do the issues/challenges occur? How can we characterize the issues/challenges in SFSCs? While doing so, we offer a holistic perspective on SFSCs. We make use of the SCOR model to define SFSC processes as well as to describe the nature of these issues/challenges. The findings of this study shed light on the nature and strategic-tactical-operational level of the issues/challenges in SFSCs and point out the limitations in the existing literature such as the SFSC processes that are neglected. The holistic approach we suggest and the insight on SFSCs’ issues/challenges we provide can help researchers offer effective solutions and strategies to support the overall development of SFSCs. Full article
Show Figures

Figure 1

19 pages, 3199 KB  
Article
Measuring the Supply Chain Performance of the Floricultural Sector Using the SCOR Model and a Multicriteria Decision-Making Method
by Luís Oswaldo Rodríguez Mañay, Inmaculada Guaita-Pradas and Inmaculada Marques-Perez
Horticulturae 2022, 8(2), 168; https://doi.org/10.3390/horticulturae8020168 - 16 Feb 2022
Cited by 18 | Viewed by 7896
Abstract
This study aims to highlight the usefulness of studying the performance of supply chains (SC) at the sectoral level in greater detail through the combination of a disaggregated supply chain operations reference (SCOR) model, with a multicriteria decision-making approach, specifically using an AHP, [...] Read more.
This study aims to highlight the usefulness of studying the performance of supply chains (SC) at the sectoral level in greater detail through the combination of a disaggregated supply chain operations reference (SCOR) model, with a multicriteria decision-making approach, specifically using an AHP, to adjust the analysis to the particularities of the sector under study by stakeholders’ judgements. The methodology was applied to the Ecuadorian flower industry, and the data for the analysis was from a survey of a group of companies that represent this sector. In addition, a focus group of SC experts weighted the model constructs as part of the analytic hierarchy process (AHP), and then the performance level for each construct was determined. According to the results methodologies, this model allows the classification of companies by their performance, as well as the performance of the aggregate sector. The processes that Ecuadorian flower companies need to improve on are planning, procurement, and manufacturing. The study’s main contribution is developing a general framework for measuring the overall performance of SCs and how the results are obtained. This tool could help managers, consultants, industries, and governments to assess the performance of SCs, as well as improving SC management in order to increase the sector’s competitiveness in the international market. Full article
(This article belongs to the Special Issue Trends in Ornamental Plant Production)
Show Figures

Figure 1

Back to TopTop