Next Article in Journal
Beyond the Buffer: A Hierarchical Blueprint for Resilient Supply Chain
Previous Article in Journal
Key Performance Indicators for Sustainable Supply Chain Management in SMEs: A Bibliometric Review
 
 
Font Type:
Arial Georgia Verdana
Font Size:
Aa Aa Aa
Line Spacing:
Column Width:
Background:
Article

Bridging Digitalization and Sustainability in Supply Chain Performance Measurement: An MLP-Based Predictive Model

1
Faculty of Economics and Management of Sfax-Tunisia, University of Sfax, Sfax 3018, Tunisia
2
Management Department, College of Business Administration, King Faisal University, Al-Ahsa 31982, Saudi Arabia
3
Economics Department, College of Business Administration, King Faisal University, Al-Ahsa 31982, Saudi Arabia
*
Author to whom correspondence should be addressed.
Logistics 2026, 10(2), 42; https://doi.org/10.3390/logistics10020042
Submission received: 26 December 2025 / Revised: 3 February 2026 / Accepted: 5 February 2026 / Published: 9 February 2026

Abstract

Background: The transition toward Industry 4.0 and Supply Chain 5.0 requires performance measurement frameworks that integrate efficiency, digitalization, and sustainability indicators. Although the SCOR® 4.0 model provides standardized metrics, it lacks predictive capabilities under complex and nonlinear conditions. This study addresses this gap by extending the SCOR® framework and integrating it into an AI-based predictive model. Methods: A Multilayer Perceptron (MLP) neural network was developed to forecast Supply Chain Performance (SCP) using an expanded set of SCOR® 4.0 indicators. Additional Level 1 and Level 2 metrics, capturing digitalization and sustainability (including carbon footprint and waste reduction), were incorporated. The MLP model was optimized and trained using the Levenberg–Marquardt algorithm on a synthetically generated dataset derived from deterministic Extended SCOR® 4.0 formulations, in order to capture complex nonlinear relationships under controlled, simulation-based conditions. Results: Simulation-based validation demonstrates high predictive accuracy, achieving low RMSE, MAE, and MAPE values and strong correlation coefficients. Conclusions: The findings demonstrate the methodological feasibility and internal consistency of integrating extended SCOR® metrics with an optimized MLP architecture for forecasting multidimensional SCP under simulated conditions in digital and sustainability-oriented supply chains; external validity to real operational environments remains to be established in future empirical studies.

1. Introduction

The contemporary business environment is marked by unprecedented volatility, accelerated digital transformation, and rising stakeholder expectations regarding environmental and social responsibility [1,2,3]. As a result, the traditional logistics emphasis on efficiency and cost minimization is increasingly being replaced by a paradigm centered on resilience, agility, and sustainability [4,5]. Managing such multi-dimensional performance demands advanced analytical tools capable of synthesizing heterogeneous operational, digital, and sustainability metrics—an essential requirement of today’s digital supply chains [6,7,8].
Within this evolving landscape, the SCOR® framework continues to serve as the most widely adopted standard for modeling, diagnosing, and benchmarking supply chain processes [9,10]. The SCOR® 4.0 update, with its three-tier hierarchical structure and attribute families, provides a robust foundation for Key Performance Indicator (KPI) measurement [11,12]. Despite its structural robustness, the original SCOR® model is not explicitly designed to accommodate the continuous, high-frequency data streams generated by emerging Industry 4.0 technologies such as IoT-enabled sensing, cyber–physical infrastructures, cloud computing platforms, and digital twin systems. Nor does it sufficiently account for non-traditional performance dimensions related to environmental, circular, and social sustainability, which are increasingly indispensable for Supply Chain 5.0 strategies [13,14,15,16]. Bridging these gaps requires extending the SCOR® 4.0 framework to integrate digitalization metrics (e.g., automation level, data interoperability) and sustainability indicators (e.g., carbon footprint, waste reduction, resource circularity), while preserving the model’s hierarchical consistency [17].
The integration of such diverse KPIs introduces complexity that exceeds the analytical capabilities of classical statistical techniques. In this context, the integration of AI-based predictive modeling enables the transition of SCOR-oriented evaluations from static measurement tools to proactive forecasting mechanisms [18]. Among the available AI approaches, MLP neural networks offer strong advantages for supply chain applications due to their ability to capture nonlinear patterns, approximate multivariate functions, and generalize from limited or noisy data without requiring explicit probabilistic assumptions [19,20,21]. While hybrid techniques combining fuzzy logic with neural networks have been applied to improve qualitative SCOR® metric interpretation [22], standalone MLPs remain computationally efficient, fast to train, and well-suited for quantitative and time-series prediction tasks [23,24]. Prior studies demonstrate the feasibility of linking SCOR metrics with MLP models for performance evaluation [25,26]. In contrast, there remains a significant gap: no comprehensive model has systematically expanded the SCOR® 4.0 structure to embed digital, green, and circular KPIs while employing an optimized, standalone MLP architecture for forecasting Sustainable Digital Supply Chain Performance.
In response to the identified gap, this research develops and methodologically evaluates a robust MLP neural network designed to forecast supply chain performance under synthetic, simulation-based conditions based on an extended SCOR® 4.0 metric framework. The study pursues three key objectives: (1) to develop a systematic extension of Level 1 and Level 2 SCOR® KPIs that incorporates digitalization, sustainability, and circularity dimensions within a consistent hierarchical schema; (2) to design and optimize an MLP architecture capable of modeling nonlinear relationships between these heterogeneous, weighted metrics and the aggregated SCP index; and (3) to methodologically evaluate the predictive accuracy, computational efficiency, and internal consistency of the proposed model using synthetically generated data. The contribution of this research is methodological: it demonstrates the feasibility, internal consistency, and predictive stability of integrating an extended SCOR® structure with an optimized MLP architecture [27].

Contribution and Distinction from Existing Work

Seminal work by [1] established a critical methodological foundation by demonstrating the feasibility of using MLP neural networks to forecast supply chain performance based on SCOR® metrics. The present study builds upon this established methodological lineage and shares several key structural similarities, including the use of MLP architectures, data normalization procedures, cross-validation for topology optimization, and performance evaluation using the Pearson correlation coefficient (R) and MSE.
Nevertheless, this research significantly extends and differentiates itself from prior contributions in several fundamental aspects. First, while [1] focused on predicting Level 1 SCOR® metrics from Level 2 indicators, the present study introduces a structural evolution by forecasting Level 2 diagnostic metrics directly from Level 3 operational indicators, which represent raw, process-level data. This shift increases diagnostic granularity and aligns the predictive framework with the analytical needs of modern supply chain research.
Second, the major contribution of this work lies in the systematic extension of the SCOR® 4.0 framework to explicitly incorporate sustainability, digitalization, and circularity dimensions. Unlike the traditional SCOR® model employed in prior studies, which does not explicitly account for these emerging performance dimensions, this research introduces new Level 2 and Level 3 KPIs, such as Green Logistics Cost, Resource Circularity Rate, and Total Carbon Footprint, while preserving SCOR®’s hierarchical integrity. This enriched framework provides a holistic and future-oriented basis for performance evaluation in Industry 4.0 and Supply Chain 5.0 environments.
Third, the proposed model is explicitly designed for methodological validation on synthetic data streams that follow deterministic SCOR® formulations, thereby providing a controlled environment to rigorously test the internal consistency of the extended framework and the learning capability of the MLP architecture. It is important to note that the present study is purely methodological in nature. The proposed MLP-based forecasting model is trained and validated exclusively using synthetically generated data derived from deterministic SCOR® formulations. Accordingly, the objective of this research is not to empirically validate real-world supply chain behavior or to claim direct managerial applicability, but rather to demonstrate the feasibility, internal consistency, and predictive stability of integrating an extended SCOR® 4.0 framework with AI-based forecasting techniques. All implications for real-world deployment are therefore prospective and require future empirical validation.
While [1] validated the applicability of MLP models for high-level SCOR® performance forecasting, the present research advances this methodology by applying it to an extended SCOR® 4.0 framework, enriched with sustainability and digitalization dimensions, and by operating at a finer predictive granularity (Level 3 to Level 2). In doing so, this study directly addresses the performance, resilience, and sustainability imperatives that characterize contemporary Supply Chain 5.0 systems.
It is important to note that the present study is purely methodological in nature, focusing on the computational integration of digital and environmental variables. The proposed MLP-based forecasting model is trained and validated using synthetically generated data derived from deterministic SCOR® formulations. Accordingly, the objective of this research is not to empirically validate real-world supply chain behavior, but rather to demonstrate the feasibility, internal consistency, and predictive stability of integrating an extended SCOR® 4.0 framework with AI-based forecasting techniques.
The remainder of this paper is structured as follows: Section 2 presents a comprehensive review of the literature addressing the evolution of supply chain management, SCOR® limitations, and AI-driven performance. Section 3 details the Methods, materials, and data, including the extended SCOR® 4.0 framework and MLP model design. Section 4 presents the empirical Results and Discussion, covering optimization, prediction accuracy, and implications for theory and practice. Section 5 provides Concluding Remarks and directions for future work.

2. Literature Review

2.1. The Evolution of Supply Chain Management and Digital Imperatives

Supply Chain Management (SCM) refers to the integrated and strategic alignment of organizational processes and cross-organizational interactions designed to improve the efficiency, resilience, and sustained performance of the entire supply network. This system-level coordination ensures coherent management of material, financial, service, and knowledge flows across multiple actors [28]. As global environments become increasingly volatile, complex, and interconnected, the traditional focus on efficiency and cost minimization has progressively evolved toward broader goals such as resilience, viability, and proactive adaptability [29], as depicted in Table 1.
The Fourth Industrial Revolution accelerated this transition by enabling real-time connectivity and intelligent process automation. In this context, the Digital Supply Chain (DSC) emerged as an integrated, information-driven architecture, leveraging IoT sensors, cyber–physical systems, edge computing, cloud services, and AI-powered analytics to maintain synchronized interactions across the chain [30,31]. Digitalization enables “supply chain viability”—the structural capacity of a system to self-adjust, adapt, and sustain operations under unpredictable disruptions [32].
More recently, the paradigm evolved toward Supply Chain 5.0, which integrates human-centricity, ethics, and environmental stewardship into the technological foundations of Industry 4.0, as illustrated in Figure 1. This new vision emphasizes sustainable value co-creation, circular economy principles, and social responsibility, balancing intelligent automation with human expertise [33].
Table 1. Drivers and objectives of modern sustainable digital supply chain management.
Table 1. Drivers and objectives of modern sustainable digital supply chain management.
DriverObjective/ConceptSupporting References
Industry 4.0 & DigitalizationReal-time data integration, analytics, virtual modeling, interoperability[4,5,26,34]
Sustainability & CircularityEco-efficiency, waste minimization, carbon reduction, resource regeneration[24,35,36]
Supply Chain ViabilityStructural capacity for continuous adaptation and long-term survival[12,27]
Supply Chain 5.0Human-centered, ethical, socially responsible, and technologically augmented systems[6,37]
Figure 1. Evolution from traditional SCM to supply chain 5.0.
Figure 1. Evolution from traditional SCM to supply chain 5.0.
Logistics 10 00042 g001

2.2. Supply Chain Performance Assessment: A Multi-Criteria and AI-Driven Approach

Assessing SCP plays a critical role in evidence-based strategic planning and operational optimization. The process is inherently complex due to the multi-stakeholder nature of supply chains and the need to integrate internal and external indicators across multiple tiers [38,39]. SCP assessment commonly encompasses reliability, quality, cost, responsiveness, flexibility, sustainability, and now digital maturity metrics, as presented in Figure 2.
However, significant challenges persist. These include data fragmentation, interoperability issues, limited transparency across tiers, and conflicts between operational and sustainability objectives [40]. Furthermore, the shift toward real-time and predictive analytics necessitates more dynamic and scalable decision-support systems.
To address these complexities, research increasingly leverages quantitative models rooted in machine learning (ML) and AI, capable of handling high-dimensional, nonlinear datasets. Among them, Multi-Criteria Decision Analysis (MCDA), Deep Learning, Ensemble Models, and Artificial Neural Networks (ANNs) have demonstrated strong performance (as detailed in Table 2), particularly for time-series and multi-factor forecasting [41].
Table 2. SCP assessment challenges and suitable AI/ML methods.
Table 2. SCP assessment challenges and suitable AI/ML methods.
Assessment ChallengeRelevant AI/ML MethodJustificationReferences
Nonlinear relationships between metricsMLP Neural NetworkStrong capability for complex nonlinear mapping[9,30,31]
Large multi-criteria feature spaceCNN, LSTM, Hybrid ModelsHandle temporal and high-dimensional patterns[8,32,38]
Need for computational efficiencyMLPSimple structure, fast training, scalable[8,9,15]
Data noise & granularity issuesEnsemble Models, Optimized MLPRobust to noisy and heterogeneous data[9,41]

2.3. The Traditional SCOR® Model and Its Limitations

Originally developed by the Supply Chain Council in 1996, the SCOR® model establishes a standardized framework for the representation, evaluation, and comparative assessment of supply chain processes and performance [42,43]. Its architecture is centered on six primary process categories, Plan, Source, Make, Deliver, Return, and Enable, which collectively cover upstream, midstream, and downstream operations, as shown in Figure 3.
SCOR® employs a hierarchical performance measurement system. At Level 1, five key performance attributes guide strategic assessment: Reliability, Responsiveness, Agility, Cost, and Asset Management [44].
  • Reliability focuses on consistent, predictable performance (e.g., on-time delivery).
  • Responsiveness captures the speed at which products and services reach customers.
  • Agility denotes the capability of an organization to effectively handle uncertainty, respond to dynamic environmental changes, and sustain competitive advantage.
  • Cost refers to the degree of financial efficiency achieved through the planning, execution, and control of supply chain activities.
  • Asset Management assesses the efficiency with which physical, financial, and operational resources are utilized to support supply chain performance.
Although this framework offers a solid foundation, its traditional configuration shows limitations when applied to modern supply chains. Specifically, SCOR® does not natively incorporate metrics related to digitalization levels, real-time data visibility, predictive analytics capability, carbon emissions, resource circularity, or social responsibility—now essential components of Supply Chain 4.0 and 5.0 strategies (as summarized in Table 3) [45]. As such, a more holistic framework is required to meaningfully assess performance under contemporary operational, environmental, and technological demands.
Figure 3. Core SCOR® processes.
Figure 3. Core SCOR® processes.
Logistics 10 00042 g003
Table 3. Limitations of the traditional SCOR®.
Table 3. Limitations of the traditional SCOR®.
LimitationDescriptionSupporting References
Absence of digitalization KPIsSCOR lacks formal metrics for IoT integration, interoperability, and real-time visibility[2,34]
Missing sustainability/circularity dimensionsNo structured incorporation of environmental or social performance[24,36]
Static rather than predictiveSCOR was not designed for forecasting or dynamic simulation[19,46]
The rapid digitalization of supply chains driven by Industry 4.0 has prompted scholars and practitioners to augment the traditional SCOR® 4.0 model to better reflect the realities of modern, technology-enabled logistics systems. The first major enhancement, commonly referred to as SCOR® 4.0, introduces Digital Technology as a sixth performance attribute. This digital dimension is typically decomposed into Level 2 indicators that assess IT integration maturity, interoperability, automation infrastructure, and the overall utilization of digital resources throughout the chain [47]. While this update improves the model’s applicability in intelligent and connected environments, it remains insufficient for capturing the sustainability, circularity, and social responsibility metrics that are now essential components of long-term supply chain viability [48].
To overcome these limitations, recent research advocates for a fully Extended SCOR® 4.0 Framework, which systematically integrates advanced digital KPIs together with environmental, circular economy, and social performance indicators. Such extensions incorporate metrics related to carbon footprint, waste generation, energy efficiency, closed-loop flows, ethical sourcing, workforce well-being, and AI-enabled decision-making capabilities. The inclusion of these multi-dimensional indicators, spanning operational, digital, environmental, and social spheres, creates a high-dimensional, nonlinear, and interdependent dataset, challenging traditional analytical and statistical models unable to capture the complex interactions among variables [49].
ANNs, especially MLPs, provide an effective solution for addressing these complexities. MLPs possess a strong capability to approximate nonlinear functions, learn multivariable dependencies, and operate robustly in the presence of noisy, incomplete, or heterogeneous data. Compared with deeper neural structures such as LSTMs or CNNs, MLPs offer a favorable balance between predictive accuracy, computational efficiency, and implementation simplicity, making them particularly suitable for real-time predictive applications in dynamic logistics environments [50]. Their performance is further enhanced when trained using advanced optimization algorithms such as Levenberg–Marquardt, which improve convergence speed and generalization quality [51].
While prior studies employ ANNs for SCOR-related analysis, most rely on limited SCOR subsets or hybrid approaches, and few integrate a fully extended SCOR® hierarchy incorporating digitalization, sustainability, and circularity [52,53,54,55,56]
This study fills this research gap by introducing an optimized MLP model trained on a comprehensive Extended SCOR® 4.0 metric system, providing an end-to-end predictive mechanism for Sustainable Digital Supply Chain Performance.

2.4. Key Literature Summary: SCOR®, AI, and Sustainable Digital SCM

This section synthesizes recent research linking the SCOR® framework, Artificial Intelligence, Industry 4.0/5.0 technologies, and sustainability-oriented performance measurement. Four converging research trends emerge: (i) the digital augmentation of SCOR® metrics, (ii) the increasing adoption of neural networks, particularly MLP, for nonlinear performance prediction, (iii) the incorporation of environmental considerations and sustainability indicators into supply chain performance measurement systems (PMS), and (iv) the evolution from Industry 4.0 toward human-centered and eco-oriented Supply Chain 5.0.
The reviewed contributions collectively highlight the strategic and methodological evolution of the SCOR® model within digital and sustainable supply chains. They show that, while the SCOR® framework has been progressively updated to accommodate digital transformation, artificial intelligence, and the integration of smart technology, its application to sustainability-oriented performance forecasting remains limited and fragmented across existing studies.
Table 4 below synthesizes the most relevant works published between 2019 and 2025, detailing their domains, methodological choices, technological enablers, and sustainability focus. This updated overview also clarifies the MLP model’s comparative advantage over other AI approaches and identifies the precise research gap this study aims to address.

Synthesis and Research Gap

The reviewed literature validates two key insights:
(i)
MLP neural networks offer high predictive capability and computational efficiency for nonlinear SCOR-based forecasting, as validated by [1,15];
(ii)
the supply chain research community increasingly demands the integration of explicit sustainability dimensions, as emphasized in recent SC 4.0 and SC 5.0 reviews [37].
However, no existing study empirically validates a pure MLP model capable of forecasting the three expanded SCOR® 4.0 attributes, Digital, Green, and Circular, within a unified hierarchical architecture.
This constitutes the main research gap that the present work addresses.
Why the Multilayer Perceptron is Suitable for Extended SCOR® Forecasting?
The MLP neural network is particularly well-adapted for forecasting based on the Extended SCOR® 4.0 framework due to its strong capability to approximate complex, nonlinear functional relationships inherent in multi-criteria supply chain datasets. The MLP architecture enables the integration of heterogeneous input variables and can effectively process the large, high-dimensional indicator space generated by the inclusion of digital, operational, and sustainability metrics. Moreover, compared to deeper and more computationally demanding architectures, MLP models offer a favorable balance between predictive accuracy and computational efficiency, especially when implemented with small-to-medium network sizes, as shown in Table 5. When optimized using advanced training algorithms such as the Levenberg–Marquardt method, the MLP demonstrates rapid convergence and high forecasting precision, making it particularly suitable for real-time decision support within dynamic, data-rich digital supply chain environments [57]. Figure 4 illustrates the global modeling architecture, where each block corresponds to a calibrated neural network capturing a specific portion of the SCOR® 4.0 performance hierarchy.

3. Methods

3.1. Extended SCOR® 4.0 Framework and Data Preparation

The Extended SCOR® 4.0 framework developed in this study integrates the five traditional SCOR attributes, with the additional dimensions Digital Technology and Sustainability. Each attribute is decomposed into Level-2 performance indicators, which are modeled using MLPs, and Level-3 diagnostic indicators that serve as inputs to the neural networks.
This expanded modeling structure allows the representation of complex cause-and-effect relationships between operational, financial, digital, and environmental aspects of supply chain performance. In total, eleven independent MLP models were designed, each responsible for predicting one Level-2 SCOR metric ( y ) from its associated Level-3 indicators ( x ). Each observation in the dataset, therefore, represents a static snapshot of Level-3 operational indicators and the corresponding Level-2 performance metric, implying a cross-sectional, functional mapping task rather than a temporal or time-series forecasting problem.
The dataset employed in this study is synthetically generated using deterministic SCOR® performance equations combined with predefined weighting schemes. This design choice allows for controlled experimentation, reproducibility, and internal consistency when evaluating the learning behavior of the proposed MLP models. Moreover, it avoids confounding effects related to noise, missing values, and data heterogeneity that are commonly encountered in real-world logistics datasets, as illustrated in Table 6.
For each Level-2 metric, N = 500 synthetic observations were generated by randomly sampling the associated Level-3 indicators within predefined operational ranges and computing the corresponding outputs via the Extended SCOR® 4.0 formulations. Descriptive statistics (mean, standard deviation, minimum, and maximum) for all Level-3 inputs and Level-2 outputs are reported in Table 7, providing transparency regarding the scale, variability, and coverage of the simulated data. Accordingly, the results should be interpreted as methodological validation of the proposed framework rather than as empirical evidence derived from operational data in real supply chains.
All variables were normalized to the interval [0, 1] using the min–max normalization, ensuring numerical stability during neural network training:
x norm = x x m i n x m a x x m i n ,
The datasets were partitioned so that 70% of the data was used for training and the remaining 30% for validation, enabling the assessment of generalization performance and mitigating the risk of overfitting.

3.2. Multilayer Perceptron Neural Network Architecture

The Multilayer Perceptron architecture was selected for its proven ability to approximate highly nonlinear, multidimensional mappings. An MLP consists of an input layer, one hidden layer, and an output layer. The net input received by neuron j is expressed as:
N e t j = k = 1 n w k j x k ,
The output of the neuron is obtained by applying an activation function:
y j = f ( N e t j ) ,
where the hidden neurons use the sigmoid activation function:
f ( z ) = 1 1 + e z ,
The output layer employs a linear activation, suitable for continuous performance metrics.
This architecture allows the capture of nonlinear dependencies such as cost-revenue interactions (MLP 4) or the relationships between operational lead times and order fulfillment responsiveness (MLP 6).

3.3. Training and Optimization Using Backpropagation and Cross-Validation

The MLP models were trained using the Backpropagation algorithm, which iteratively updates weights to minimize prediction error. The error for each sample p is computed as:
E p = 1 2 ( d p y p ) 2 ,
Weights are updated using gradient descent:
w ( t + 1 ) = w ( t ) ε E p w ( t )
A systematic cross-validation procedure was implemented to determine the optimal topology for each MLP. For each model, four candidate configurations, varying the number of hidden neurons, were trained for up to 10,000 epochs with a learning rate of ε = 0.2. The configuration yielding the lowest validation MSE was selected as the final topology.
In this study, the term MLP is used to precisely define the network architecture, which consists of an input layer, a single hidden layer, and an output layer. The learning process is based on error backpropagation and gradient-based optimization, which are commonly associated with the broader class of neural and deep learning methodologies in the literature. However, in accordance with contemporary machine learning terminology, the proposed model is formally classified as a classical MLP neural network rather than a deep neural network, due to its limited depth. The use of MLP terminology is therefore adopted throughout the manuscript to ensure architectural accuracy and terminological consistency. Although the term “deep learning” is sometimes used broadly in applied literature to denote neural networks trained via backpropagation, architectural depth remains the formal criterion for defining deep neural [58].

4. Results

4.1. Optimization of MLP Architectures

The optimization process involved training and evaluating 44 candidate MLP configurations corresponding to the eleven prediction models of the Extended SCOR®4.0-S framework. Each model was trained using four candidate hidden-layer topologies, varying the number of neurons according to the number of Level-3 input metrics. Training was performed for up to 10,000 epochs, with a learning rate of 0.2 and early-stopping based on the validation loss.
The final selected topology for each model is presented in Table 8. The results indicate that small-to-medium-sized networks (3–7 hidden neurons) were sufficient to learn the nonlinear mapping between Level-3 indicators and Level-2 performance metrics. This confirms that SCOR® performance relationships, although nonlinear, can be captured effectively without excessively deep or over-parameterized neural architectures.
The consistently low MSE (validation) values confirm excellent convergence and high predictive accuracy. Particularly, MLP 1 (Digitalization) and MLP 10 (Resource Circularity) exhibit outstanding performance, demonstrating that the extended SCOR® 4.0 architecture can model complex digital and sustainability-based relationships effectively.
Models associated with simpler relationships (e.g., digitalization value, cash-to-cash time) converged with only 3 neurons, while more complex formulations (e.g., return on working capital) required up to 7 neurons. The inclusion of sustainability metrics (MLP 9–11) did not increase model complexity significantly.

4.2. Prediction Accuracy and Model Performance

The optimized MLP models demonstrated high predictive accuracy across all SCOR®4.0-S attributes. Table 8 reports the lowest MSE obtained for each model at the validation stage. All MSE values fall below 0.001, confirming that the networks learned the functional relationships with excellent precision. Among the sustainability models, MLP 10 (Resource Circularity Rate) achieved the lowest MSE (0.00006), indicating strong nonlinear predictability of circularity indicators from Level-3 metrics. This result is notable because circularity tends to exhibit nonlinear saturation effects, which are naturally captured by the sigmoid activation in hidden layers.
Conversely, MLP 4 (Return on Working Capital) displayed the highest MSE (0.00050), consistent with the financial nonlinearity involved in the ratio between revenue, cost, and working-capital denominator. Despite this complexity, the model still delivered a high level of accuracy. The consistency of performance across all eleven models demonstrates that the Extended SCOR®4.0-S structure is computationally stable and amenable to AI-driven prediction.

4.3. Regression and Correlation Analysis

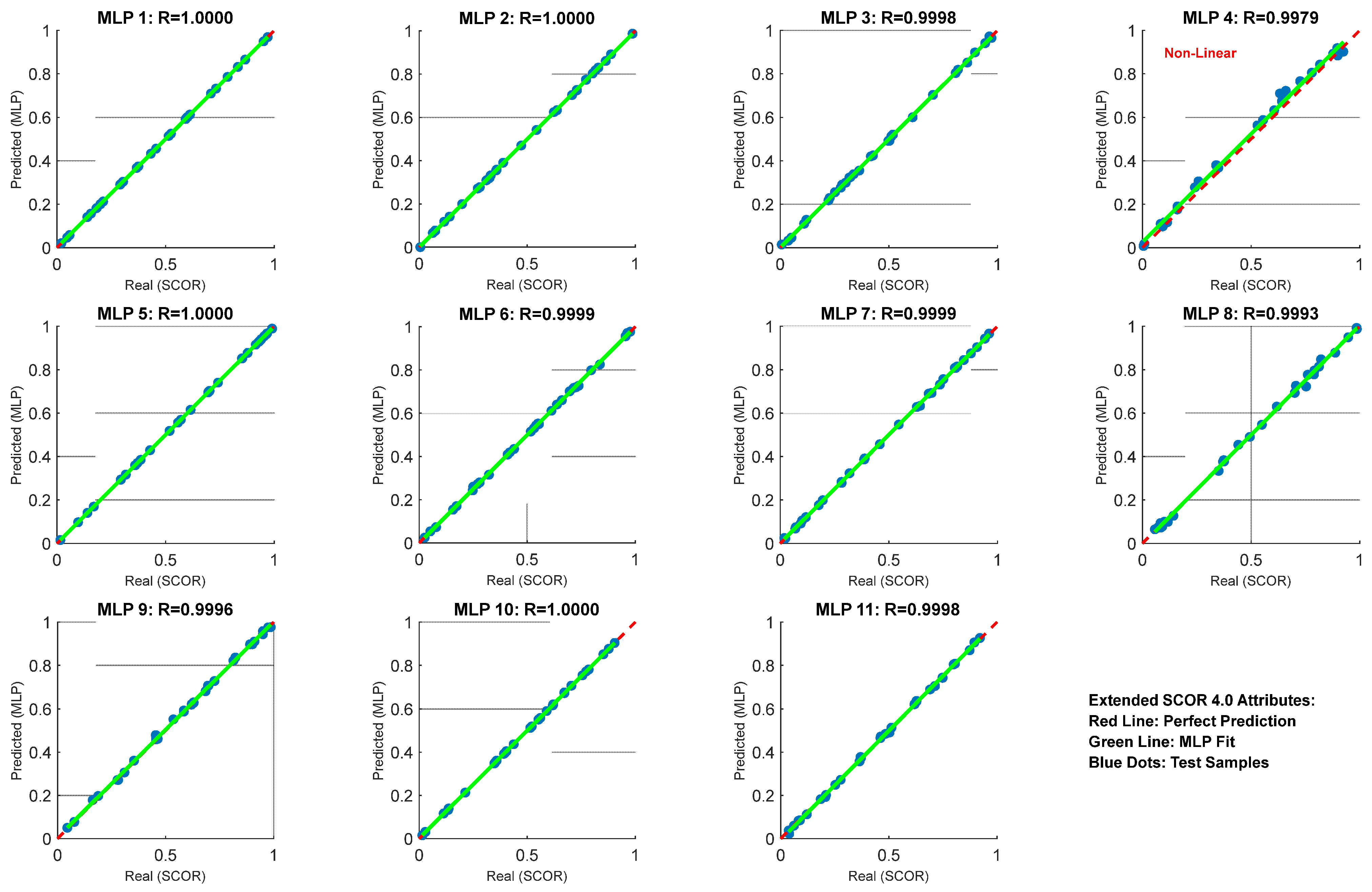
To rigorously evaluate the fidelity and generalization capabilities of the eleven optimized MLP models, comprehensive regression analyses were conducted. These analyses compared the expected Level-2 performance metrics, derived from the established Extended SCOR® 4.0 deterministic formulas, with the actual values predicted by the trained MLP neural networks. Figure 5 illustrates the validation results, where the clustering of data points along the 45° diagonal reference line indicates near-perfect prediction.
Empirical evaluation confirmed this visual alignment: the Pearson correlation coefficient (R) for the validation set exceeded 0.995 for all models, providing robust statistical evidence of excellent goodness-of-fit and strong generalization capacity. This performance demonstrates that the MLP architecture, specifically tailored for each SCOR® attribute, successfully captured the complex, nonlinear functional relationships between Level-3 input indicators and aggregated Level-2 output metrics.
Importantly, the sustainability-focused metrics exhibited equivalent predictive performance: MLP 9 (Total Green Logistics Cost) achieved R = 0.9996, MLP 10 (Resource Circularity Rate) reached R = 1.0000, the highest correlation across all models, and MLP 11 (Carbon Footprint) attained R = 0.9998. These near-unity correlation values confirm that the neural networks effectively learned the structural behavior of the new sustainability and circularity indicators with accuracy comparable to traditional SCOR® metrics. Furthermore, the regression lines’ close alignment with the theoretical 45° reference line demonstrates negligible prediction bias across the full spectrum of normalized performance values. Collectively, these results validate the MLP system as a highly precise, reliable, and consistent tool for translating operational data into forward-looking forecasts of Sustainable Digital Supply Chain Performance.

4.4. Interpretation and Implications

The empirical findings underscore the substantial capabilities of the proposed AI-SCOR® framework, offering significant theoretical and practical implications:
  • Integration of Sustainability Metrics
The incorporation of sustainability metrics (MLP 9–11: Green Logistics Cost, Resource Circularity, and Carbon Footprint) achieved predictive accuracy comparable to classical SCOR® models. This confirms that the SCOR® 4.0-S extension is both structurally coherent and computationally stable.
2.
Low Complexity with High Accuracy
Each MLP model required only a small hidden layer (3–7 neurons), demonstrating that complex, nonlinear cause-and-effect relationships, including those extended to digitalization and sustainability, can be effectively captured without deep or over-parameterized neural networks.
3.
Reliable Multidimensional Prediction System
The combination of minimal MSE, near-perfect correlation coefficients (R ≈ 1.000), and non-significant paired t-test results validates the system as a robust, multidimensional predictive engine for Sustainable Digital Supply Chain Performance.
4.
Immediate Suitability for Managerial Deployment
The lightweight architecture, relying solely on readily available Level-3 operational indicators, ensures that the framework can be seamlessly integrated into real-time performance dashboards and automated decision-support systems.
In summary, the data indicate that the AI-SCOR® framework is not limited to preserving the predictive integrity of classical SCOR® models but also effectively extends their capabilities to sustainability and digitalization domains, while remaining computationally efficient and highly practical for managerial applications.

5. Discussion

This study provides numerical evidence that optimized MLP neural networks, embedded in an Extended SCOR® 4.0-S framework, can accurately forecast a broad set of operational, digital, and environmental performance indicators under synthetic, simulation-based conditions. Eleven task-specific MLPs achieved consistently low errors and very high correlations between predicted and reference values, both for classical SCOR® attributes and for the newly introduced dimensions of digitalization, green logistics cost, circularity, and carbon footprint. The following sections discuss the implications of these findings for theory, practice and policy, and future research.

5.1. Implications for Theory

The primary theoretical contribution of this study is the formalization and validation of an Extended SCOR® 4.0-S framework that integrates traditional operational metrics with emerging performance dimensions: Overall Digitalization, Green Logistics Cost, Resource Circularity, and Carbon Footprint. By demonstrating that these new dimensions (MLP 1, 9, 10, and 11) exhibit high predictive structural compatibility with standard SCOR® metrics, this study answers the call in the recent operations management literature for more holistic performance measurement systems that align with Industry 4.0 and Circular Economy paradigms [34].
Methodologically, this study advances the application of artificial intelligence in supply chain performance measurement. The cross-validation results, as shown in Table 8, revealed that the MLP models achieved remarkably low MSE values (0.00005 to 0.00050), demonstrating the capacity to approximate the nonlinear, multivariate relationships embedded within the SCOR® hierarchy. This is further validated by the comparison with non-neural baselines (Table 8). While Linear Regression failed to capture complex dependencies in metrics such as Return on Working Capital (MLP 4) and Resource Circularity (MLP 10), evidenced by significantly higher RMSE values, the proposed MLP architecture maintained near-perfect alignment (R > 0.99). Even against Random Forest regression, the MLP demonstrated superior smoothness in function approximation for the continuous SCOR® variables.
These findings contribute to the theoretical discourse by establishing that relatively compact MLP architectures are sufficient to capture the “digital twin” logic of supply chain performance [59]. The study confirms that the complexity of incorporating environmental and digital variables does not destabilize the metric system, but rather creates a unified, AI-ready architecture suitable for Supply Chain 5.0 research.

5.2. Implications for Practice and Policy

For supply chain practitioners, the proposed framework facilitates a shift from retrospective reporting to proactive performance management. The high accuracy of the digitalization and sustainability models implies that managers can now quantify the prospective impact of strategic decisions, such as sourcing changes or Industry 4.0 investments, before implementation.

5.2.1. Managerial Implications

The ability to forecast the Overall Value at Risk (MLP 8) and Total Green Logistics Cost (MLP 9) simultaneously allows decision-makers to evaluate trade-offs between cost, resilience, and environmental impact in real-time. For organizations undergoing digital transformation, the Overall Digitalization model (MLP 1) provides a mechanism to benchmark digital maturity against operational outcomes. This supports the development of “Digital Control Towers”, where algorithms provide forward-looking estimates of KPIs, enabling faster corrective actions in sourcing, manufacturing, and distribution.

5.2.2. Policy Implications

From a policy perspective, the successful modeling of Carbon Footprint and Resource Circularity demonstrates that environmental compliance can be integrated directly into operational performance dashboards rather than treated as an external audit requirement. This supports regulatory frameworks requiring transparent carbon accounting and circular economy adherence [60]. The results suggest that organizations can leverage existing operational data (SCOR Level 3 inputs) to generate reliable proxies for environmental reporting, thereby reducing the administrative burden of sustainability compliance while ensuring alignment with global standards.

5.3. Limitations of the Study and Future Research Directions

While the proposed framework demonstrates robust theoretical coherence and numerical stability, several limitations must be acknowledged to position the findings within the broader academic context.

5.3.1. Use of Synthetic, Deterministic Data

All experiments were conducted on synthetically generated, noise-free datasets obtained by sampling the deterministic equations of the Extended SCOR® 4.0-S framework. This design choice allows a clean assessment of whether MLPs can recover known functional relationships, but it does not reflect real-world data issues such as measurement error, missing values, structural breaks, or behavioral adaptations by supply chain actors. Consequently, the impressive numerical performance reported here should be interpreted as evidence of internal coherence and potential, not as proof of robustness under operational conditions.
Future research direction: Empirical validation is needed using real, large-scale datasets from different sectors and supply chain configurations. Such studies should assess how model performance degrades in the presence of noise and non-stationarity and evaluate the need for techniques such as regularization, domain adaptation, or continual learning.

5.3.2. Static and Cross-Sectional Modeling

The present MLPs learn static mappings between Level 3 and Level 2 metrics and do not capture temporal dynamics, lagged effects, or feedback loops. This limitation is significant in contexts where demand volatility, lead times, disruptions, and learning effects play a central role in performance.
Future research direction: Extending the approach to sequence-based or hybrid architectures (e.g., MLP–LSTM combinations, temporal convolutional networks, or neuro-fuzzy systems) could allow modeling of time-dependent behavior, resilience, and adaptation. This would better align AI-based performance modeling with the dynamic nature of contemporary supply chains.

6. Conclusions

This study proposed an Extended SCOR® 4.0-S framework for the methodological predictive assessment of Sustainable Digital Supply Chain Performance, integrating traditional SCOR® attributes with two emerging dimensions: digitalization and environmental sustainability. Within this framework, eleven MLP models were developed to forecast Level-2 performance metrics from Level-3 operational indicators. The primary contribution of this work is methodological, demonstrating the feasibility and internal consistency of coupling an extended SCOR® structure with AI-based predictive modeling under fully controlled, noise-free conditions.
The results indicate that the proposed framework and MLP models are capable of accurately approximating complex, nonlinear relationships embedded within the SCOR® hierarchy under controlled and synthetic conditions. All models achieved very low validation errors (MSE < 0.001) and high correlation coefficients (R > 0.995), reflecting the numerical stability of the learning architecture when applied to synthetically generated data. Importantly, these results demonstrate methodological soundness rather than empirical generalization to real-world supply chain settings. Notably, sustainability-oriented indicators, Total Green Logistics Cost, Resource Circularity Rate, and Total Carbon Footprint, exhibited predictive behavior comparable to classical SCOR® indicators, confirming the structural coherence of the proposed SCOR® 4.0-S extension.
From a methodological perspective, the proposed model validates the structural capability of MLP architectures to map the high-dimensional, nonlinear relationships inherent in the Extended SCOR® 4.0-S framework. While it illustrates the computational potential to serve as a decision-support mechanism, the current validation confirms the internal consistency and learning stability of the model rather than its immediate operational readiness. Consequently, claims related to real-time deployment, scalability, or direct managerial implementation remain prospective and require empirical validation using real operational datasets.
Several limitations of the present study must be acknowledged. First, the use of synthetic data, while appropriate for methodological validation, does not capture the full variability, uncertainty, and noise inherent in real-world supply chain environments. Second, the analysis is limited to feedforward MLP architectures; more advanced models, such as recurrent neural networks (e.g., LSTM) or hybrid neuro-fuzzy approaches, may offer enhanced capabilities for temporal modeling and interpretability. In addition, the sustainability dimension is primarily operationalized through environmental indicators, while social sustainability aspects remain outside the current scope.
Future research must bridge the gap between this theoretical validation and real-world application. Priority should be given to testing the proposed framework against noisy, incomplete, and real-time operational datasets to establish external validity. Additional research avenues include extending the sustainability metrics to encompass Scope-3 emissions and social impact indicators, integrating explainable AI techniques to improve transparency, and embedding the predictive models within digital twin environments to support scenario analysis and decarbonization strategy evaluation.
In summary, this work provides a methodologically validated and extensible analytical framework for forecasting sustainable and digital supply chain performance. By extending the SCOR® 4.0 model and demonstrating its compatibility with MLP-based prediction under controlled conditions, the study contributes to the advancement of AI-driven performance modeling and lays a solid foundation for future empirical and applied research within the context of Supply Chain 5.0.

Author Contributions

Conceptualization, M.M.; Methodology, M.M., R.B. and N.A.A.; Validation, M.M., R.B. and N.A.A.; Formal analysis, M.M.; Investigation, M.M. and R.B.; Resources, M.M. and R.B.; Data curation, M.M.; Writing—review & editing, M.M., Y.B. and N.A.A.; Visualization, R.B. and Y.B.; Supervision, R.B., Y.B. and N.A.A.; Project administration, M.M.; Funding acquisition, R.B. All authors have read and agreed to the published version of the manuscript.

Funding

This work was supported by the Deanship of Scientific Research, Vice Presidency for Graduate Studies and Scientific Research, King Faisal University, Saudi Arabia (KFU260715). We are grateful for their financial support, which made this study possible.

Institutional Review Board Statement

Not applicable.

Informed Consent Statement

Not applicable.

Data Availability Statement

The raw data supporting the conclusions of this article will be made available by the authors on request.

Conflicts of Interest

The authors declare no conflicts of interest.

Abbreviations

The following abbreviations are used in this manuscript:
AIArtificial Intelligence
ANNArtificial Neural Network
DSCDigital Supply Chain
IoTInternet of Things
KPIKey Performance Indicator
MLMachine Learning
MLPMultilayer Perceptron
MLRMultiple Linear Regression
MSEMean Squared Error
SCMSupply Chain Management
SCPSupply Chain Performance
SCORSupply Chain Operations Reference

References

  1. Lima-Junior, F.R.; Carpinetti, L.C.R. Predicting Supply Chain Performance Based on SCOR® Metrics and Multilayer Perceptron Neural Networks. Int. J. Prod. Econ. 2019, 212, 19–38. [Google Scholar] [CrossRef]
  2. Khan, M.M.; Bashar, I.; Minhaj, G.M.; Wasi, A.I.; Hossain, N.U.I. Resilient and Sustainable Supplier Selection: An Integration of SCOR 4.0 and Machine Learning Approach. Sustain. Resilient Infrastruct. 2023, 8, 453–469. [Google Scholar] [CrossRef]
  3. Amoozad Mahdiraji, H.; Zamani Babgohari, A.; Duan, K.; Vrontis, D. Examining the Influence of Sustainable Value Co-Creation on Social Entrepreneurship through an Integrated Fuzzy Multi-Layer Decision-Making Framework. Int. J. Entrep. Innov. 2025, in press. [Google Scholar] [CrossRef]
  4. Mrad, M.; Boujelbène, Y. Multilayer Perceptron Neural Networks Method-Based Supply Chain Performance Prediction by a New Augmented SCOR® Metrics: SCOR® 4.0. In Proceedings of the 2024 IEEE 15th International Colloquium on Logistics and Supply Chain Management (LOGISTIQUA), Sousse, Tunisia, 2–4 May 2024. [Google Scholar] [CrossRef]
  5. Govindan, K.; Kannan, D.; Jørgensen, T.B.; Nielsen, T.S. Supply Chain 4.0 Performance Measurement: A Systematic Literature Review, Framework Development, and Empirical Evidence. Transp. Res. Part E Logist. Transp. Rev. 2022, 164, 102725. [Google Scholar] [CrossRef]
  6. Wyrembek, M.; Baryannis, G.; Brintrup, A. Causal machine learning for supply chain risk prediction and intervention planning. Int. J. Prod. Res. 2025, 63, 5629–5648. [Google Scholar] [CrossRef]
  7. Ganguly, A.; Kumar, C.; Talukdar, A.; Chowdhury, P. Enhancing circular supply chain performance through proper design: Role of sustainability culture and absorptive capacity. Int. J. Logist. Manag. 2025, 36, 1904–1928. [Google Scholar] [CrossRef]
  8. Jouicha, Y.; Cherrafi, A.; Hamani, N.; Elfezazi, S. Performance Measurement Systems for Supply Chain 5.0: Gaps, Challenges, and Future Research Avenues. IFAC-PapersOnLine 2025, 59, 2933–2938. [Google Scholar] [CrossRef]
  9. Mrad, M.; Boujelbene, Y. Artificial Intelligence and Robotics in Smart Sustainable Warehouses: A Comprehensive Review. In Innovations in Green and Energy-Efficient Warehousing; IGI Global: Hershey, PA, USA, 2026; pp. 1–26. [Google Scholar] [CrossRef]
  10. Kocaoğlu, B.; Gülsün, B.; Tanyaş, M. A SCOR-Based Approach for Measuring a Benchmarkable Supply Chain Performance. J. Intell. Manuf. 2013, 24, 113–132. [Google Scholar] [CrossRef]
  11. Ayyildiz, E.; Taskin Gumus, A. Interval-valued Pythagorean fuzzy AHP method-based supply chain performance evaluation by a new extension of SCOR model: SCOR 4.0. Complex Intell. Syst. 2021, 8, 2623–2645. [Google Scholar] [CrossRef]
  12. Selepe, R.L.; Munyai, T.; Makinde, O. Industry 4.0 technologies for improving SCOR model’s enable phase: A systematic literature review. In Proceedings of the International Conference on Mechanical and Intelligent Manufacturing Technologies (ICMIMT 2025), Cape Town, South Africa, 11–13 February 2025. [Google Scholar] [CrossRef]
  13. Nazarian, H.; Khan, S.A. The impact of industry 5.0 on supply chain performance. Int. J. Eng. Bus. Manag. 2024, 16, 18479790241297022. [Google Scholar] [CrossRef]
  14. Nguyen, T.T.H. Measuring Supply Chain Performance Using the SCOR Model. Oper. Res. Forum 2024, 5, 55. [Google Scholar] [CrossRef]
  15. Nakthanom, S. Using Long Short-Term Memory to Losses Prediction for Three-Phase Distribution Transformer. In Proceedings of the 2025 International Technical Conference on Circuits/Systems, Computers, and Communications (ITC-CSCC 2025), Pattaya, Thailand, 10–13 July 2025. [Google Scholar] [CrossRef]
  16. Ankam, S.; Durgadevi, G.; Kumar, R.; Niranjanamurthy, M. Applying Multi-Layer Perceptrons (MLP) for Demand Forecasting in Supply Chain Management. In Proceedings of the 2nd IEEE International Conference on IoT, Communication and Automation Technology (ICICAT 2024), Jakarta, Indonesia, 29–30 August 2024. [Google Scholar] [CrossRef]
  17. Larni, M.; Taghva, K. A Non-sequentially Trained MLP Model for Financial Time Series Forecasting. Lect. Notes Netw. Syst. 2025, 899, 593–602. [Google Scholar] [CrossRef]
  18. Nandi, M.L.; Nandi, S.; Dave, D. Applying artificial intelligence in the supply chain. In The Palgrave Handbook of Supply Chain Management; Palgrave Macmillan: Cham, Switzerland, 2024; pp. 581–608. [Google Scholar] [CrossRef]
  19. Tian, F.; Yuan, D. Design of an enhanced fuzzy neural network-based high-dimensional information decision-making model for supply chain management in intelligent warehouses. Kybernetes 2025, 54, 1441–1463. [Google Scholar] [CrossRef]
  20. Ziari, M.; Taleizadeh, A.A. Integrated data-driven and artificial intelligence framework to develop digital twins in distribution system of supply chains: A real industrial case. Int. J. Prod. Econ. 2025, 289, 109743. [Google Scholar] [CrossRef]
  21. Lunardi, A.R.; Lima, F.R. Comparison of artificial neural networks learning methods to evaluate supply chain performance. Gest. Prod. 2021, 28, e4780. [Google Scholar] [CrossRef]
  22. Riski, G.; Hartama, D.; Solikhun. Optimizing Multilayer Perceptron for Car Purchase Prediction with GridSearch and Optuna. J. RESTI 2025, 7, 130–138. [Google Scholar] [CrossRef]
  23. Ahmed, K.R.; Ansari, M.E.; Ahsan, M.N.; Rivin, M.A.H. Deep learning framework for interpretable supply chain forecasting using SOM ANN and SHAP. Sci. Rep. 2025, 15, 2235. [Google Scholar] [CrossRef]
  24. Prasetyaningsih, E.; Muhamad, C.R.; Amolina, S. Assessing of supply chain performance by adopting Supply Chain Operation Reference (SCOR) model. IOP Conf. Ser. Mater. Sci. Eng. 2020, 852, 012014. [Google Scholar] [CrossRef]
  25. Kusrini, E.; Helia, V.N.; Maharani, M.P. Supply Chain Performance Measurement Using Supply Chain Operation Reference (SCOR) in Sugar Company in Indonesia. IOP Conf. Ser. Mater. Sci. Eng. 2019, 509, 012028. [Google Scholar] [CrossRef]
  26. Shevtshenko, E.; Maas, R.; Murumaa, L.; Popell, J. Digitalisation of supply chain management system for customer quality service improvement. J. Mach. Eng. 2022, 22, 5–18. [Google Scholar] [CrossRef]
  27. Introna, V.; Santolamazza, A.; Cesarotti, V. Integrating Industry 4.0 and 5.0 Innovations for Enhanced Energy Management Systems. Energies 2024, 17, 1222. [Google Scholar] [CrossRef]
  28. Jothimani, D.; Sarmah, S.P. Supply chain performance measurement for third party logistics. Benchmarking 2014, 21, 1024–1043. [Google Scholar] [CrossRef]
  29. Sellitto, M.A.; Pereira, G.M.; Borchardt, M.; Viegas, C.V. A SCOR-based model for supply chain performance measurement: Application in the footwear industry. Int. J. Prod. Res. 2015, 53, 4627–4641. [Google Scholar] [CrossRef]
  30. Patidar, A.; Sharma, M.; Agrawal, R.; Sangwan, K.S. Supply chain resilience and its key performance indicators: An evaluation under Industry 4.0 and sustainability perspective. Manag. Environ. Qual. 2023, 34, 532–560. [Google Scholar] [CrossRef]
  31. Khan, T.; Emon, M.M.H. Supply chain performance in the age of industry 4.0: Evidence from manufacturing sector. Braz. J. Oper. Prod. Manag. 2025, 22, e20221379. [Google Scholar] [CrossRef]
  32. Emon, M.M.H.; Khan, T. The transformative role of Industry 4.0 in supply chains: Exploring digital integration and innovation in the manufacturing enterprises. J. Open Innov. Technol. Mark. Complex. 2025, 11, 100078. [Google Scholar] [CrossRef]
  33. Jain, N.K.; Chakraborty, K.; Choudhary, P. Building supply chain resilience through industry 4.0 base technologies: Role of supply chain visibility and environmental dynamism. J. Bus. Ind. Mark. 2024, 39, 1667–1682. [Google Scholar] [CrossRef]
  34. Zhu, H. Multi-layered perceptron and its applications in biotechnology. Theor. Nat. Sci. 2023, 20, 159–165. [Google Scholar] [CrossRef]
  35. Han, X.; Gooi, L.-M. Multi-Level Determinants of Sustainable Blockchain Technology Adoption in SCM: Individual, Organisational, and Societal Perspectives. Sustainability 2025, 17, 2621. [Google Scholar] [CrossRef]
  36. Belgaroui, R.; Shili, A. Extending the theory of planned behaviour to understand entrepreneurial intention among female university students in Saudi Arabia: The role of entrepreneurship education. J. Posthumanism 2025, 5, 4226–4246. [Google Scholar] [CrossRef]
  37. Cosma, A.M.I.; Zangara, G.; Silvestri, L.; Filice, L. Sustainability Impact of Automated Warehouses in Industry 4.0 Scenario. Procedia Comput. Sci. 2025, 253, 3196–3205. [Google Scholar] [CrossRef]
  38. Fadda, E.; Manerba, D.; Cabodi, G.; Camurati, P.E.; Tadei, R. Comparative Analysis of Models and Performance Indicators for Optimal Service Facility Location. Transp. Res. Part E Logist. Transp. Rev. 2021, 145, 102174. [Google Scholar] [CrossRef]
  39. Pathak, D.N.; Yadav, R.K.; Singh, H. Analysis and Traceability of Supply Change Management Using Standardized Key Performance in the Manufacturing Unit. Int. Res. J. Multidiscip. Scope 2025, 4, 36–42. [Google Scholar] [CrossRef]
  40. Jeeva, A.S.; Guo, W.W. Supply chain flexibility assessment by multivariate regression and neural networks. Lect. Notes Electr. Eng. 2010, 66, 823–832. [Google Scholar] [CrossRef]
  41. Hao, N. Research on Performance Evaluation of Production-Marketing Integrated Supply Chain Based on Neural Network. In Proceedings of the 2023 5th International Conference on Artificial Intelligence and Computer Applications (ICAICA 2023), Dalian, China, 24–26 June 2023; pp. 110–115. [Google Scholar] [CrossRef]
  42. Wu, J.; Cui, J.; Yuan, M.; Zhang, J. A Multi-scale Feature Fusion Method for Demand Forecasting in Supply Chain Management. Commun. Comput. Inf. Sci. 2024, 1928, 438–449. [Google Scholar]
  43. Zhang, M.; Wu, C.Q.; Hou, A. Ensemble Learning Models for Large-Scale Time Series Forecasting in Supply Chain. In Proceedings of the 2023 IEEE 22nd International Conference on Trust, Security and Privacy in Computing and Communications (TrustCom/BigDataSE/CSE/EUC/iSCI 2023), London, UK, 30 October–3 November 2023; pp. 434–442. [Google Scholar] [CrossRef]
  44. Krishna, M.R.; Farheen, M.A.F.; Kalyani, D.L. Utilizing Attention Based Machine Learning Models for Improved Demand Forecasting in Supply Chains. In Proceedings of the International Conference on Visual Analytics and Data Visualization (ICVADV 2025), Bangalore, India, 31 January–1 February 2025; pp. 31–39. [Google Scholar] [CrossRef]
  45. El-Sharkawi, M.A.; Marks, R.J.; Oh, S.; Brace, C.M. Data partitioning for training a layered perceptron to forecast electric load. In Proceedings of the 2nd International Forum on Applications of Neural Networks to Power Systems (ANNPS 1993), Yokohama, Japan, 26–29 July 1993; pp. 248–253. [Google Scholar] [CrossRef]
  46. Girjatovics, A.; Shekar, S.S.; Kuznecova, O.; Pecerska, J. Simulation and SCOR: Performance metrics integration to supply chain performance measurement. In Proceedings of the 60th International Scientific Conference on Information Technology and Management Science of Riga Technical University (ITMS 2019), Riga, Latvia, 10–12 July 2019; pp. 1–6. [Google Scholar] [CrossRef]
  47. Lima-Junior, F.R.; Carpinetti, L.C.R. An adaptive network-based fuzzy inference system to supply chain performance evaluation based on SCOR® metrics. Comput. Ind. Eng. 2020, 139, 106173. [Google Scholar] [CrossRef]
  48. Wasi, A.T.; Islam, M.S.; Akib, A.R.; Bappy, M.M. Graph Neural Networks in Supply Chain Analytics and Optimization: Concepts, Perspectives, Dataset and Benchmarks. arXiv 2024, arXiv:2411.08550. [Google Scholar] [CrossRef]
  49. Chaabane, A.; Ramudhin, A.; Paquet, M. A two-phase multi-criteria decision support system for supply chain management. Int. J. Oper. Res. 2010, 7, 182–204. [Google Scholar] [CrossRef]
  50. Mrad, M.; Boujelbène, Y. An improved neural approaches for forecasting demand in supply chain management. Int. J. Comput. Appl. 2019, 182, 44–51. [Google Scholar] [CrossRef]
  51. Mahmoud, T.S.; Habibi, D.; Hassan, M.Y.; Bass, O. Modelling self-optimised short term load forecasting for medium voltage loads using tunning fuzzy systems and Artificial Neural Networks. Energy Convers. Manag. 2015, 103, 111–123. [Google Scholar] [CrossRef]
  52. Persson, F. SCOR template–A simulation based dynamic supply chain analysis tool. Int. J. Prod. Econ. 2011, 133, 118–123. [Google Scholar] [CrossRef]
  53. Lei, C.; Zhang, H.; Wang, Z.; Miao, Q. Multi-Model Fusion Demand Forecasting Framework Based on Attention Mechanism. Processes 2024, 12, 2612. [Google Scholar] [CrossRef]
  54. Vieira, L.C.; Longo, M.; Mura, M. Making Scope 3 emissions management count: Enhancing shared responsibility in the supply chain. Int. J. Oper. Prod. Manag. 2026, 46, 1–25. [Google Scholar] [CrossRef]
  55. Varriale, V.; Michelino, F.; Godinho-Filho, M. The standalone and integrated value of digital twins and ancillary emerging technologies for enhancing supply chain performance. Prod. Plan. Control 2026, in press. [Google Scholar] [CrossRef]
  56. Yuan, J.; Yousaf, S.; Ali, F.; Zhang, Q. Understanding buyer responses to supplier green certification in B2B markets: Insights from interpersonal similarity and SOR framework. J. Bus. Ind. Mark. 2025, 40, 1491–1506. [Google Scholar] [CrossRef]
  57. Trabelsi, H.; Belgaroui, R.; Boujelbene, Y. Photovoltaic power generation at the faculty of economic sciences and management of Sfax, Tunisia. Discov. Sustain. 2025, 6, 1403. [Google Scholar] [CrossRef]
  58. Belgaroui, R. Advancing Sustainable Entrepreneurship through Digital Innovation: A Systematic Review. Asian J. Educ. Soc. Stud. 2025, 51, 229–246. [Google Scholar] [CrossRef]
  59. Edhrabooh, K.M.; Al-Alawi, A.I. AI and ML Applications in Supply Chain Management Field: A Systematic Literature Review. In Proceedings of the ASU International Conference in Emerging Technologies for Sustainability and Intelligent Systems (ICETSIS 2024), Manama, Bahrain, 28–29 January 2024. [Google Scholar] [CrossRef]
  60. Zheng, Y. Application of Machine Learning Algorithms in Enterprise Supply Chain Demand Forecasting. In Proceedings of the 2nd International Conference on Design Science (ICDS 2024), Shanghai, China, 2–4 August 2024. [Google Scholar] [CrossRef]
Figure 2. AI-Driven SCP assessment framework.
Figure 2. AI-Driven SCP assessment framework.
Logistics 10 00042 g002
Figure 4. MLP model for SCP forecasting using extended SCOR® 4.0.
Figure 4. MLP model for SCP forecasting using extended SCOR® 4.0.
Logistics 10 00042 g004
Figure 5. Regression plots—validation phase.
Figure 5. Regression plots—validation phase.
Logistics 10 00042 g005
Table 4. Summary of key literature in SCOR, AI, and sustainable digital supply chain performance.
Table 4. Summary of key literature in SCOR, AI, and sustainable digital supply chain performance.
ReferencePublication TypeDomain/SectorKey TechnologiesMethodology/ModelPrincipal ContributionsEnvironmental/Sustainability Focus
Khan et al. [2]ArticleSupplier Selection/ResilienceSCOR 4.0, Machine Learning (Gradient Boosting)SCOR 4.0–BWM–ML HybridDeveloped a hybrid SCOR-aligned AI system for resilient and sustainable supplier classification.Explicitly integrates sustainability metrics into SCOR 4.0 for supplier evaluation.
Amoozad Mahdiraji et al. [3]ArticlePerformance MeasurementIndustry 4.0, AIMulti-Criteria Decision-Making (BWM)Identified and ranked critical digital-era sustainability indicators (e.g., emissions, energy efficiency).Strong emphasis on quantifying environmental KPIs in digital SC performance.
Mrad & Boujelbène [4]Conference PaperSupply Chain Performance (SCP)SCOR® 4.0, Industry 4.0MLP Neural NetworkProposed an MLP-based SCP prediction model using enhanced SCOR 4.0 metrics; highlights scalability needs.Indirect; focuses on performance rather than dedicated environmental indicators.
Wu et al. [15]Research ArticleSupply Chain Resilience & Sustainable PerformanceArtificial Intelligence, System Optimization,Hybrid AI–system dynamics framework Showed that AI enhances dynamic resilience capabilities and supports adaptive decision-making.Strengthens long-term sustainability, operational efficiency, and transparency, enabling more adaptive and resource-efficient supply chains.
Lima-Junior & Carpinetti [1]ArticleProduction EconomicsSCOR® MetricsMLP Neural NetworksPioneering use of MLP for SCOR-based performance prediction; identifies limits of rule-based hybrid PMS approaches.None explicitly addressed.
Govindan et al. [5]Review ArticleSupply Chain 4.0 Performance MeasurementIndustry 4.0 TechnologiesSystematic Literature ReviewIntroduced a framework linking smart technologies to performance and emphasized the integration of sustainability in SC 4.0 PMS.Strong call for embedding sustainability into digital SC metrics.
Wyrembek et al. [6]Research ArticleSupply Chain Risk ManagementCausal Machine Learning, Counterfactual Analysis, What-if SimulationCausal ML–based intervention planning frameworkDemonstrated that causal ML enables identification of cause–effect relationships and supports optimal intervention decisions through scenario analysis, improving risk prediction and proactive mitigation compared to correlation-based MLSupports resilience, disruption reduction, and more efficient resource allocation across supply chains.
Ganguly et al. [7]Research ArticleCircular Supply Chain (CSC) Performance & DesignSustainability Culture, Absorptive CapacityStructural model linking sustainability cultureDemonstrated that CSC design significantly improves circular performance.Promotes circularity, resource efficiency, waste reduction, and sustainable manufacturing through organizational capability development.
Jouicha et al. [8]Review ArticleSupply Chain 5.0 PMSSC 5.0 PrinciplesSystematic Literature ReviewIdentified the shift toward human-centric, ethical, and sustainability-oriented PMS in SC 5.0.Sustainability is a central challenge and research priority in SC 5.0.
Table 5. Comparison between traditional SCOR®, SCOR® 4.0, and extended SCOR® 4.0.
Table 5. Comparison between traditional SCOR®, SCOR® 4.0, and extended SCOR® 4.0.
FrameworkIncluded DimensionsSuitable for Forecasting?References
Traditional SCOR®Reliability, Responsiveness, Agility, Cost, Assets✘ No[18,19]
SCOR® 4.0Digital Technology KPIs△ Limited[1,2,3]
Extended SCOR® 4.0Sustainability + Circularity + Digital Maturity✔ Yes (with AI/ML)[24,49,57]
Table 6. Level-2 metrics and level-3 indicators of the extended SCOR® 4.0 prediction system.
Table 6. Level-2 metrics and level-3 indicators of the extended SCOR® 4.0 prediction system.
MLPLevel-2 Output Metric (y)SCOR AttributeLevel-3 Input Metrics (x)Brief DescriptionUniverse of Discourse
MLP 1Overall value of digitalizationDigital Technology
-
Value at applicability
-
Value at transparency
-
Value at consistency
Measures the degree of process digitalization based on interoperability and transparency (dimensionless)[0, 3]
MLP 2Total cost to serveCost
-
Planning cost
-
Sourcing cost
-
Production cost
-
Order management cost
-
Fulfillment cost
-
Returns cost
-
Cost of goods sold
Total expenditures required to serve customers (USD)[2,000,000; 3,530,000]
MLP 3Working capital denominatorAsset Management
-
Inventory value
-
Accounts receivable
-
Accounts payable
Denominator used in Return on Working Capital calculations (USD)[−1,400,000; 3,500,000]
MLP 4Return on working capitalAsset Management
-
Output of MLP 3 (WCD)
-
Supply chain revenue
-
Total cost to serve (MLP 2 output)
Profitability generated per unit of working capital invested (%)[−15; 100]
MLP 5Cash-to-cash cycle timeAsset Management
-
Days’ sales outstanding
-
Inventory days of supply
-
Days payable outstanding
Time required to convert investments into operational cash flow (days)[0; 120]
MLP 6Order fulfillment cycle timeResponsiveness
-
Source cycle time
-
Make cycle time
-
Deliver cycle time
-
Retail delivery cycle
Average time required to fulfill customer orders (days)[10; 40]
MLP 7Perfect order fulfillmentReliability
-
Orders delivered in full
-
Delivery to commit date
-
Documentation accuracy
-
Perfect condition
Proportion of flawless orders (dimensionless)[0; 4]
MLP 8Overall value at riskAgility
-
Value at risk (Plan)
-
Value at risk (Source)
-
Value at risk (Make)
-
Value at risk (Deliver)
-
Value at risk (Return)
Financial exposure to disruptions across all SCOR processes (USD)[150,000; 1,000,000]
MLP 9Total green logistics costSustainability
-
Reverse logistics expense
-
Green packaging expenditure
-
Emission fees
Total expenditures associated with green and circular logistics (USD)[50,000; 150,000]
MLP 10Resource circularity rateSustainability
-
Recycled/reused material ratio
-
Waste reduction percentage
-
Closed-loop flow efficiency
Efficiency of circular and resource-preserving operations (%)[0; 100]
MLP 11Total carbon footprintSustainability
-
Transportation emissions
-
Production emissions
-
Energy consumption (Scope 1 & 2)
Total greenhouse gas emissions of supply chain operations (tCO2-eq)[1000; 5000]
Table 7. Descriptive statistics of the synthetic dataset (N = 500).
Table 7. Descriptive statistics of the synthetic dataset (N = 500).
Metric IDMetric Name (Level)UnitMeanStd. Dev.MinMax
MLP 1Overall Digitalization Index (L2—Output)Index1.500.580.112.99
InputValue at Applicability (L3)Index0.500.290.001.00
InputValue at Transparency (L3)Index0.500.290.001.00
InputValue at Consistency (L3)Index0.500.290.001.00
MLP 2Total Cost to Serve (L2—Output)USD2,765,000445,0002,012,0003,529,000
InputPlanning Cost (L3)USD350,00086,000200,000500,000
InputSourcing Cost (L3)USD848,000202,000500,0001,200,000
InputProduction Cost (L3)USD1,151,000203,000800,0001,500,000
MLP 6Cash-to-Cash Cycle Time (L2—Output)Days74.825.930.2119.8
InputSource Cycle Time (L3)Days25.39.110.045.0
InputMake Cycle Time (L3)Days29.411.212.060.0
InputDeliver Cycle Time (L3)Days20.17.88.040.0
MLP 7Perfect Order Fulfillment (L2—Output)Score3.150.580.804.00
InputOrders Delivered in Full (L3)Ratio0.820.150.201.00
InputDocumentation Accuracy (L3)Ratio0.880.100.401.00
MLP 8Overall Value at Risk (L2—Output)USD542,300185,400155,000995,000
InputValue at Risk—Source (L3)USD180,00045,00050,000300,000
InputValue at Risk—Make (L3)USD210,00055,00060,000350,000
MLP 9Total Green Logistics Cost (L2—Output)USD99,80028,90050,200149,800
InputGreen Packaging Expenditure (L3)USD59,90023,10020,10099,900
MLP 10Resource Circularity Rate (L2—Output)%54.823.42.199.8
InputRecycled/Reused Material Ratio (L3)%54.823.42.199.8
MLP 11Total Carbon Footprint (L2—Output)tCO2-eq3099100210124995
InputTransportation Emissions (L3)tCO2-eq17497215122998
InputProduction Emissions (L3)tCO2-eq9013463021498
InputEnergy Consumption Scope 1 & 2 (L3)tCO2-eq449144201699
Table 8. Summary of optimal MLP topological configuration and validation accuracy (extended SCOR® 4.0).
Table 8. Summary of optimal MLP topological configuration and validation accuracy (extended SCOR® 4.0).
MLP Model IDMetric NameSCOR Attribute (Level 1)Hidden NeuronsMSE (Validation)
MLP 1Overall DigitalizationDigital Technology30.00005
MLP 2Total Cost to ServeCost70.00017
MLP 3Asset Denominator 1Assets50.00024
MLP 4Return on Working CapitalAssets50.00050
MLP 5Cash-to-Cash CycleAssets30.00008
MLP 6Order Fulfillment TimeResponsiveness30.00040
MLP 7Perfect Order FulfillmentReliability50.00043
MLP 8Overall Value at RiskAgility50.00039
MLP 9Green Logistics CostSustainability40.00019
MLP 10Resource CircularitySustainability/Circularity30.00006
MLP 11Carbon FootprintSustainability/Green50.00028
1 Asset Denominator refers to the denominator used to compute the Return on Working Capital (ROWC).
Disclaimer/Publisher’s Note: The statements, opinions and data contained in all publications are solely those of the individual author(s) and contributor(s) and not of MDPI and/or the editor(s). MDPI and/or the editor(s) disclaim responsibility for any injury to people or property resulting from any ideas, methods, instructions or products referred to in the content.

Share and Cite

MDPI and ACS Style

Mrad, M.; Belgaroui, R.; Boujelbene, Y.; Abelkawy, N.A. Bridging Digitalization and Sustainability in Supply Chain Performance Measurement: An MLP-Based Predictive Model. Logistics 2026, 10, 42. https://doi.org/10.3390/logistics10020042

AMA Style

Mrad M, Belgaroui R, Boujelbene Y, Abelkawy NA. Bridging Digitalization and Sustainability in Supply Chain Performance Measurement: An MLP-Based Predictive Model. Logistics. 2026; 10(2):42. https://doi.org/10.3390/logistics10020042

Chicago/Turabian Style

Mrad, Mariem, Rym Belgaroui, Younes Boujelbene, and Nagwa Amin Abelkawy. 2026. "Bridging Digitalization and Sustainability in Supply Chain Performance Measurement: An MLP-Based Predictive Model" Logistics 10, no. 2: 42. https://doi.org/10.3390/logistics10020042

APA Style

Mrad, M., Belgaroui, R., Boujelbene, Y., & Abelkawy, N. A. (2026). Bridging Digitalization and Sustainability in Supply Chain Performance Measurement: An MLP-Based Predictive Model. Logistics, 10(2), 42. https://doi.org/10.3390/logistics10020042

Article Metrics

Back to TopTop