Phase II Study of Dose-Escalated and Convergent Stereotactic Body Radiotherapy for Liver and Pulmonary Oligometastases from Colorectal Cancer
Simple Summary
Abstract
1. Introduction
2. Methods
2.1. Study Design
2.2. Patients
- -
- Histologically confirmed primary colorectal adenocarcinoma;
- -
- LP-OMD confirmed by CT or MRI;
- -
- One to three metastases with a maximum diameter ≤ 5 cm;
- -
- Medically inoperable disease or refusal of surgery, as determined through multidisciplinary clinical assessment by a team including surgeons and oncologists;
- -
- Eastern Cooperative Oncology Group (ECOG) performance status 0–2.
2.3. Treatment
- -
- 60 Gy in 5 fractions for peripheral pulmonary tumors without PTV–chest wall overlap and for liver metastases meeting dose constraints (central dose 100 Gy).
- -
- 50 Gy in 5 fractions for peripheral pulmonary tumors with PTV–chest wall overlap, central pulmonary tumors, or liver metastases when 60 Gy could not be delivered while meeting constraints (central dose 83 Gy).
2.4. Follow-Up
2.5. Statistical Design and Sample Size Calculation
3. Results
3.1. Eligible Patients and Tumors
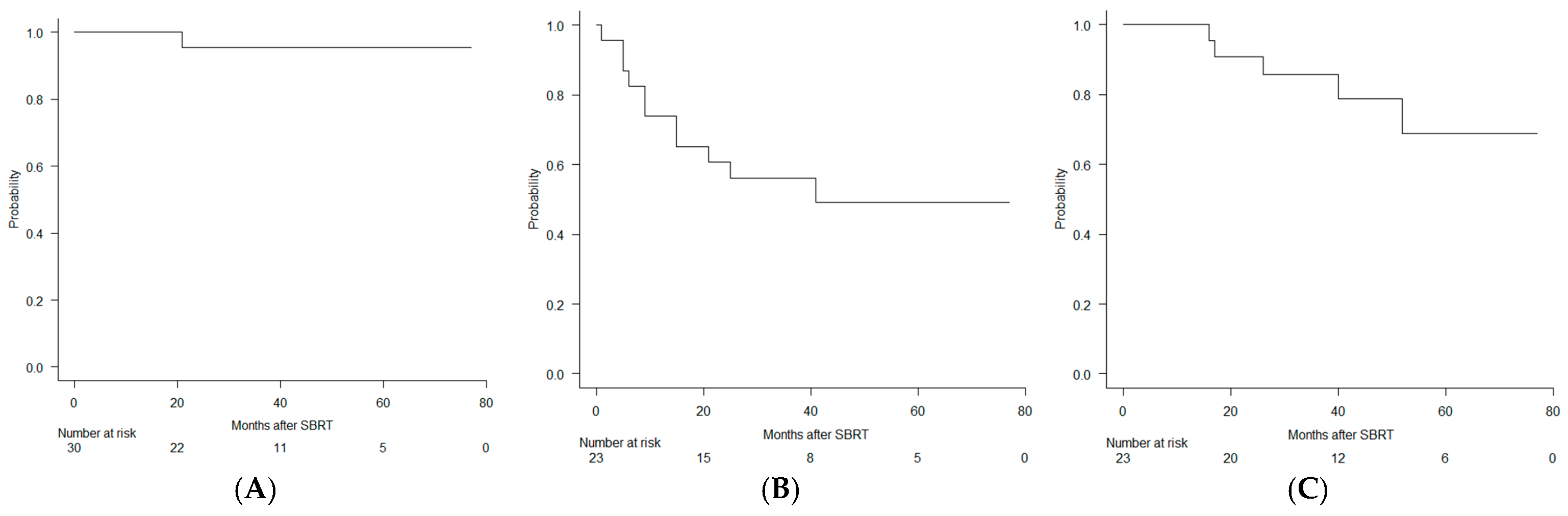
3.2. Local Control, Progression-Free Survival, and Overall Survival
3.3. Toxicities
4. Discussion
5. Conclusions
Author Contributions
Funding
Institutional Review Board Statement
Informed Consent Statement
Data Availability Statement
Conflicts of Interest
References
- Cervantes, A.; Adam, R.; Roselló, S.; Arnold, D.; Normanno, N.; Taïeb, J.; Seligmann, J.; De Baere, T.; Osterlund, P.; Yoshino, T.; et al. Metastatic colorectal cancer: ESMO Clinical Practice Guideline for diagnosis, treatment and follow-up. Ann. Oncol. 2023, 34, 10–32. [Google Scholar] [CrossRef]
- Riihimäki, M.; Hemminki, A.; Sundquist, J.; Hemminki, K. Patterns of metastasis in colon and rectal cancer. Sci. Rep. 2016, 6, 29765. [Google Scholar] [CrossRef] [PubMed]
- Chua, T.C.; Liauw, W.; Chu, F.; Morris, D.L. Viewing metastatic colorectal cancer as a curable chronic disease. Am. J. Clin. Oncol. 2012, 35, 77–80. [Google Scholar] [CrossRef] [PubMed]
- National Comprehensive Cancer Network (NCCN). Clinical Practice Guidelines in Oncology (NCCN Guidelines®); Colon Cancer. Version 4.2023; National Comprehensive Cancer Network: Plymouth Meeting, PA, USA, 2023. [Google Scholar]
- Adam, R.; Laurent, A.; Azoulay, D.; Castaing, D.; Bismuth, H. Two-stage hepatectomy: A planned strategy to treat irresectable liver tumors. Ann. Surg. 2000, 232, 777–785. [Google Scholar] [CrossRef] [PubMed]
- Spolverato, G.; Ejaz, A.; Hyder, O.; Kim, Y.; Pawlik, T.M. Failure to rescue as a source of variation in hospital mortality after hepatic surgery. Br. J. Surg. 2014, 101, 836–846. [Google Scholar] [CrossRef]
- Yin, Z.; Huang, X.; Ma, T.; Jin, H.; Lin, Y.; Yu, M.; Jian, Z. Postoperative complications affect long-term survival outcomes following hepatic resection for colorectal liver metastasis. World J. Surg. 2015, 39, 1818–1827. [Google Scholar] [CrossRef]
- Mavros, M.N.; de Jong, M.; Dogeas, E.; Hyder, O.; Pawlik, T.M. Impact of complications on long-term survival after resection of colorectal liver metastases. Br. J. Surg. 2013, 100, 711–718. [Google Scholar] [CrossRef]
- Chang, J.Y.; Mehran, R.J.; Feng, L.; Verma, V.; Liao, Z.; Welsh, J.W.; Lin, S.H.; O’Reilly, M.S.; Jeter, M.D.; Balter, P.A.; et al. Stereotactic ablative radiotherapy for operable stage I non-small-cell lung cancer (revised STARS): Long-term results of a single-arm, prospective trial with prespecified comparison to surgery. Lancet Oncol. 2021, 22, 1448–1457. [Google Scholar] [CrossRef]
- Palma, D.A.; Olson, R.; Harrow, S.; Gaede, S.; Louie, A.V.; Haasbeek, C.; Mulroy, L.; Lock, M.; Rodrigues, G.B.; Yaremko, B.P.; et al. Stereotactic ablative radiotherapy versus standard of care palliative treatment in patients with oligometastatic cancers (SABR-COMET): A randomised, phase 2, open-label trial. Lancet 2019, 393, 2051–2058. [Google Scholar] [CrossRef]
- Takeda, A.; Kunieda, E.; Ohashi, T.; Aoki, Y.; Koike, N.; Takeda, T. Stereotactic body radiotherapy (SBRT) for oligometastatic lung tumors from colorectal cancer and other primary cancers in comparison with primary lung cancer. Radiother. Oncol. 2011, 101, 255–259. [Google Scholar] [CrossRef]
- Cao, C.; Wang, D.; Tian, D.H.; Wilson-Smith, A.; Huang, J.; Rimner, A. A systematic review and meta-analysis of stereotactic body radiation therapy for colorectal pulmonary metastases. J. Thorac. Dis. 2019, 11, 5187–5198. [Google Scholar] [CrossRef] [PubMed]
- Takeda, A.; Sanuki, N.; Tsurugai, Y.; Oku, Y.; Aoki, Y. Stereotactic body radiotherapy for patients with oligometastases from colorectal cancer: Risk-adapted dose prescription with a maximum dose of 83-100 Gy in five fractions. J. Radiat. Res. 2016, 57, 400–405. [Google Scholar] [CrossRef] [PubMed]
- Guckenberger, M.; Lievens, Y.; Bouma, A.B.; Collette, L.; Dekker, A.; deSouza, N.M.; Dingemans, A.C.; Fournier, B.; Hurkmans, C.; Lecouvet, F.E.; et al. Characterisation and classification of oligometastatic disease: A European Society for Radiotherapy and Oncology and European Organisation for Research and Treatment of Cancer consensus recommendation. Lancet Oncol. 2020, 21, e18–e28. [Google Scholar] [CrossRef] [PubMed]
- Tsurugai, Y.; Takeda, A.; Sanuki, N.; Eriguchi, T.; Aoki, Y.; Oku, Y.; Akiba, T.; Sugawara, A.; Kunieda, E. Stereotactic body radiotherapy for patients with non-small-cell lung cancer using RapidArc delivery and a steep dose gradient: Prescription of 60% isodose line of maximum dose fitting to the planning target volume. J. Radiat. Res. 2019, 60, 364–370. [Google Scholar] [CrossRef]
- Kibe, Y.; Takeda, A.; Tsurugai, Y.; Eriguchi, T.; Oku, Y.; Kimura, Y.; Nakamura, N. Feasibility of marker-less stereotactic body radiotherapy for hepatocellular carcinoma. Acta Oncol. 2022, 61, 104–110. [Google Scholar] [CrossRef]
- Eisenhauer, E.A.; Therasse, P.; Bogaerts, J.; Schwartz, L.H.; Sargent, D.; Ford, R.; Dancey, J.; Arbuck, S.; Gwyther, S.; Mooney, M.; et al. New response evaluation criteria in solid tumours: Revised RECIST guideline (version 1.1). Eur. J. Cancer 2009, 45, 228–247. [Google Scholar] [CrossRef]
- Kanda, Y. Investigation of the freely available easy-to-use software ‘EZR’ for medical statistics. Bone Marrow Transplant. 2013, 48, 452–458. [Google Scholar] [CrossRef]
- Scorsetti, M.; Comito, T.; Tozzi, A.; Navarria, P.; Fogliata, A.; Clerici, E.; Mancosu, P.; Reggiori, G.; Rimassa, L.; Torzilli, G.; et al. Final results of a phase II trial for stereotactic body radiation therapy for patients with inoperable liver metastases from colorectal cancer. J. Cancer Res. Clin. Oncol. 2015, 141, 543–553. [Google Scholar] [CrossRef]
- McPartlin, A.; Swaminath, A.; Wang, R.; Pintilie, M.; Brierley, J.; Kim, J.; Ringash, J.; Wong, R.; Dinniwell, R.; Craig, T.; et al. Long-Term Outcomes of Phase 1 and 2 Studies of SBRT for Hepatic Colorectal Metastases. Int. J. Radiat. Oncol. Biol. Phys. 2017, 99, 388–395. [Google Scholar] [CrossRef]
- Clark, M.E.; Smith, R.R. Liver-directed therapies in metastatic colorectal cancer. J. Gastrointest. Oncol. 2014, 5, 374–387. [Google Scholar]
- Pfannschmidt, J.; Dienemann, H.; Hoffmann, H. Surgical resection of pulmonary metastases from colorectal cancer: A systematic review of published series. Ann. Thorac. Surg. 2007, 84, 324–338. [Google Scholar] [CrossRef]
- Ruers, T.; Van Coevorden, F.; Punt, C.J.; Pierie, J.E.; Borel-Rinkes, I.; Ledermann, J.A.; Poston, G.; Bechstein, W.; Lentz, M.A.; Mauer, M.; et al. Local Treatment of Unresectable Colorectal Liver Metastases: Results of a Randomized Phase II Trial. J. Natl. Cancer Inst. 2017, 109, djx015. [Google Scholar] [CrossRef] [PubMed]
- van der Lei, S.; Puijk, R.S.; Dijkstra, M.; Schulz, H.H.; Vos, D.J.W.; De Vries, J.J.J.; Scheffer, H.J.; Lissenberg-Witte, B.I.; Aldrighetti, L.; Arntz, M.; et al. Thermal ablation versus surgical resection of small-size colorectal liver metastases (COLLISION): An international, randomised, controlled, phase 3 non-inferiority trial. Lancet Oncol. 2025, 26, 187–199. [Google Scholar] [CrossRef] [PubMed]
- Widder, J.; Klinkenberg, T.J.; Ubbels, J.F.; Wiegman, E.M.; Groen, H.J.; Langendijk, J.A. Pulmonary oligometastases: Metastasectomy or stereotactic ablative radiotherapy? Radiother. Oncol. 2013, 107, 409–413. [Google Scholar] [CrossRef] [PubMed]
- Palma, D.A.; Olson, R.; Harrow, S.; Gaede, S.; Louie, A.V.; Haasbeek, C.; Mulroy, L.; Lock, M.; Rodrigues, G.B.; Yaremko, B.P.; et al. Stereotactic Ablative Radiotherapy for the Comprehensive Treatment of Oligometastatic Cancers: Long-Term Results of the SABR-COMET Phase II Randomized Trial. J. Clin. Oncol. 2020, 38, 2830–2838. [Google Scholar] [CrossRef]
- Jingu, K.; Matsushita, H.; Yamamoto, T.; Umezawa, R.; Ishikawa, Y.; Takahashi, N.; Katagiri, Y.; Takeda, K.; Kadoya, N. Stereotactic Radiotherapy for Pulmonary Oligometastases From Colorectal Cancer: A Systematic Review and Meta-Analysis. Technol. Cancer Res. Treat. 2018, 17, 1533033818794936. [Google Scholar] [CrossRef]
- Sheikh, S.; Chen, H.; Sahgal, A.; Poon, I.; Erler, D.; Badellino, S.; Dagan, R.; Foote, M.C.; Louie, A.V.; Redmond, K.J.; et al. An analysis of a large multi-institutional database reveals important associations between treatment parameters and clinical outcomes for stereotactic body radiotherapy (SBRT) of oligometastatic colorectal cancer. Radiother. Oncol. 2022, 167, 187–194. [Google Scholar] [CrossRef]
- Yamamoto, T.; Niibe, Y.; Matsumoto, Y.; Onishi, H.; Aoki, M.; Nishikawa, A.; Oh, R.J.; Shintani, T.; Yahara, K.; Ozaki, M.; et al. Analyses of local control and survival after stereotactic body radiotherapy for pulmonary oligometastases from colorectal adenocarcinoma. J. Radiat. Res. 2020, 61, 935–944. [Google Scholar] [CrossRef]
- Benson, K.R.K.; Sandhu, N.; Zhang, C.; Ko, R.; Toesca, D.A.S.; Lee, P.E.; Von Eyben, R.; Diehn, M.; Gensheimer, M.; Maxim, P.G.; et al. Local Recurrence Outcomes of Colorectal Cancer Oligometastases Treated With Stereotactic Ablative Radiotherapy. Am. J. Clin. Oncol. 2021, 44, 559–564. [Google Scholar] [CrossRef]
- Ahmed, K.A.; Fulp, W.J.; Berglund, A.E.; Hoffe, S.E.; Dilling, T.J.; Eschrich, S.A.; Shridhar, R.; Torres-Roca, J.F. Differences Between Colon Cancer Primaries and Metastases Using a Molecular Assay for Tumor Radiation Sensitivity Suggest Implications for Potential Oligometastatic SBRT Patient Selection. Int. J. Radiat. Oncol. Biol. Phys. 2015, 92, 837–842. [Google Scholar] [CrossRef]
- Klement, R.J.; Abbasi-Senger, N.; Adebahr, S.; Alheid, H.; Allgaeuer, M.; Becker, G.; Blanck, O.; Boda-Heggemann, J.; Brunner, T.; Duma, M.; et al. The impact of local control on overall survival after stereotactic body radiotherapy for liver and lung metastases from colorectal cancer: A combined analysis of 388 patients with 500 metastases. BMC Cancer 2019, 19, 173. [Google Scholar] [CrossRef]
- Tateishi, Y.; Takeda, A.; Horita, N.; Tsurugai, Y.; Eriguchi, T.; Kibe, Y.; Sanuki, N.; Kaneko, T. Stereotactic Body Radiation Therapy With a High Maximum Dose Improves Local Control, Cancer-Specific Death, and Overall Survival in Peripheral Early-Stage Non-Small Cell Lung Cancer. Int. J. Radiat. Oncol. Biol. Phys. 2021, 111, 143–151. [Google Scholar] [CrossRef] [PubMed]
- Andratschke, N.; Alheid, H.; Allgäuer, M.; Becker, G.; Blanck, O.; Boda-Heggemann, J.; Brunner, T.; Duma, M.; Gerum, S.; Guckenberger, M.; et al. The SBRT database initiative of the German Society for Radiation Oncology (DEGRO): Patterns of care and outcome analysis of stereotactic body radiotherapy (SBRT) for liver oligometastases in 474 patients with 623 metastases. BMC Cancer 2018, 18, 283. [Google Scholar] [CrossRef] [PubMed]
- Klein, J.; Dawson, L.A.; Jiang, H.; Kim, J.; Dinniwell, R.; Brierley, J.; Wong, R.; Lockwood, G.; Ringash, J. Prospective Longitudinal Assessment of Quality of Life for Liver Cancer Patients Treated with Stereotactic Body Radiation Therapy. Int. J. Radiat. Oncol. Biol. Phys. 2015, 93, 16–25. [Google Scholar] [CrossRef] [PubMed]
- Yu, J.B.; Soulos, P.R.; Cramer, L.D.; Decker, R.H.; Kim, A.W.; Gross, C.P. Comparative effectiveness of surgery and radiosurgery for stage I non-small cell lung cancer. Cancer 2015, 121, 2341–2349. [Google Scholar] [CrossRef]
- Safavi, A.H.; Mak, D.Y.; Boldt, R.G.; Chen, H.; Louie, A.V. Stereotactic ablative radiotherapy in T1-2N0M0 small cell lung cancer: A systematic review and meta-analysis. Lung Cancer 2021, 160, 179–186. [Google Scholar] [CrossRef]
- Rule, W.; Timmerman, R.; Tong, L.; Abdulrahman, R.; Meyer, J.; Boike, T.; Schwarz, R.E.; Weatherall, P.; Chinsoo Cho, L. Phase I dose-escalation study of stereotactic body radiotherapy in patients with hepatic metastases. Ann. Surg. Oncol. 2011, 18, 1081–1087. [Google Scholar] [CrossRef]
- Sharma, A.; Baker, S.; Duijm, M.; Oomen-de Hoop, E.; Cornelissen, R.; Verhoef, C.; Hoogeman, M.; Jan Nuyttens, J. Prognostic factors for local control and survival for inoperable pulmonary colorectal oligometastases treated with stereotactic body radiotherapy. Radiother. Oncol. 2020, 144, 23–29. [Google Scholar] [CrossRef]
- Kanemitsu, Y.; Shimizu, Y.; Mizusawa, J.; Inaba, Y.; Hamaguchi, T.; Shida, D.; Ohue, M.; Komori, K.; Shiomi, A.; Shiozawa, M.; et al. Hepatectomy Followed by mFOLFOX6 Versus Hepatectomy Alone for Liver-Only Metastatic Colorectal Cancer (JCOG0603): A Phase II or III Randomized Controlled Trial. J. Clin. Oncol. 2021, 39, 3789–3799. [Google Scholar] [CrossRef]
- Zhang, L.; Zhao, L.; Lin, X.; Zhao, S.; Pan, W.; Wang, D.; Sun, Z.; Li, J.; Liang, Z.; Zhang, R.; et al. Comparison of tumor non-specific and PD-L1-specific imaging by near-infrared fluorescence/Cerenkov luminescence dual-modality in situ imaging. Mol. Imaging 2024, 23, 15353508241261473. [Google Scholar] [CrossRef]

| OAR | PRV Margin (mm) | Dose Constraint |
|---|---|---|
| Lung | - | V20 Gy < 20% |
| Liver | - | V30 Gy < 40% |
| Chest wall | - | V30 Gy < 70 mL |
| Portal vein, Bile duct | 3 | Dmax (0.5 mL) < 40 Gy |
| Spinal cord | 3 | Dmax (0.5 mL) <25 Gy |
| Esophagus | 3 | Dmax (1 mL) < 25 Gy |
| Gastrointestinal tract | 3 | Dmax (1 mL) < 25 Gy |
| Trachea, Bronchus | 3 | Dmax (0.5 mL) < 25 Gy |
| Great vessels | 3 | Dmax (0.5 mL) < 60 Gy |
| Pulmonary artery | 3 | Dmax (0.5 mL) < 40 Gy |
| Heart | 3 | Dmax (0.5 mL) < 50 Gy |
| Brachial plexus | 3 | Dmax (0.5 mL) < 30 Gy |
| Gallbladder | 3 | Dmax (0.5 mL) < 40 Gy |
| Skin | - | Dmax (0.5 mL) < 40 Gy |
| Parameter | Value |
|---|---|
| Number of patients | 23 |
| Median age, years (range) | 74 (46–86) |
| Sex, n (%) | |
| Male | 14 (61%) |
| Female | 9 (39%) |
| Total number of metastases | 30 |
| Lesion site, n (%) | |
| Lung | 26 (87%) |
| Liver | 4 (13%) |
| Disease status, n (%) | |
| Synchronous oligometastases | 5 (17%) |
| Oligo-recurrence | 16 (53%) |
| Oligo-progression | 9 (30%) |
| Median follow-up from SBRT, months (range) | 40 (11–77) |
| Median tumor size, mm (range) | 12 (5–28) |
| PTV marginal dose, n (%) | |
| 60 Gy/5fractions | 12 (40%) |
| 50 Gy/5fractions | 18 (60%) |
| CEA level before SBRT, n (%) | |
| Normal (<5 ng/mL) | 17 (74%) |
| Slightly elevated (5–10 ng/mL) | 1 (4%) |
| Elevated (>10 ng/mL) | 5 (22%) |
| Median time from diagnosis to SBRT, months (range) | 24 (6–89) |
| Systemic therapy, n (%) | |
| Pre-SBRT chemotherapy | 14 (61%) |
| Post-SBRT chemotherapy | 9 (39%) |
Disclaimer/Publisher’s Note: The statements, opinions and data contained in all publications are solely those of the individual author(s) and contributor(s) and not of MDPI and/or the editor(s). MDPI and/or the editor(s) disclaim responsibility for any injury to people or property resulting from any ideas, methods, instructions or products referred to in the content. |
© 2026 by the authors. Licensee MDPI, Basel, Switzerland. This article is an open access article distributed under the terms and conditions of the Creative Commons Attribution (CC BY) license.
Share and Cite
Nishimura, S.; Takeda, A.; Tsurugai, Y.; Sanuki, N.; Eriguchi, T.; Nemoto, T. Phase II Study of Dose-Escalated and Convergent Stereotactic Body Radiotherapy for Liver and Pulmonary Oligometastases from Colorectal Cancer. Cancers 2026, 18, 1263. https://doi.org/10.3390/cancers18081263
Nishimura S, Takeda A, Tsurugai Y, Sanuki N, Eriguchi T, Nemoto T. Phase II Study of Dose-Escalated and Convergent Stereotactic Body Radiotherapy for Liver and Pulmonary Oligometastases from Colorectal Cancer. Cancers. 2026; 18(8):1263. https://doi.org/10.3390/cancers18081263
Chicago/Turabian StyleNishimura, Shuichi, Atsuya Takeda, Yuichiro Tsurugai, Naoko Sanuki, Takahisa Eriguchi, and Takafumi Nemoto. 2026. "Phase II Study of Dose-Escalated and Convergent Stereotactic Body Radiotherapy for Liver and Pulmonary Oligometastases from Colorectal Cancer" Cancers 18, no. 8: 1263. https://doi.org/10.3390/cancers18081263
APA StyleNishimura, S., Takeda, A., Tsurugai, Y., Sanuki, N., Eriguchi, T., & Nemoto, T. (2026). Phase II Study of Dose-Escalated and Convergent Stereotactic Body Radiotherapy for Liver and Pulmonary Oligometastases from Colorectal Cancer. Cancers, 18(8), 1263. https://doi.org/10.3390/cancers18081263

