Sign in to use this feature.

Years

Between: -

Subjects

remove_circle_outline
remove_circle_outline
remove_circle_outline
remove_circle_outline
remove_circle_outline
remove_circle_outline
remove_circle_outline
remove_circle_outline
remove_circle_outline

Journals

remove_circle_outline
remove_circle_outline
remove_circle_outline
remove_circle_outline
remove_circle_outline
remove_circle_outline
remove_circle_outline
remove_circle_outline
remove_circle_outline
remove_circle_outline
remove_circle_outline
remove_circle_outline
remove_circle_outline

Article Types

Countries / Regions

remove_circle_outline
remove_circle_outline
remove_circle_outline
remove_circle_outline
remove_circle_outline
remove_circle_outline
remove_circle_outline

Search Results (1,670)

Search Parameters:
Keywords = Reflectance retrieval

Order results
Result details
Results per page
Select all
Export citation of selected articles as:
13 pages, 1400 KB  
Article
Mining Two Decades of Soybean Genomics Literature Using Rule-Based Text Mining: Chromosome-Resolved Patterns of Glyma Gene Mentions
by My Abdelmajid Kassem, Dounya Knizia and Khalid Meksem
Int. J. Mol. Sci. 2026, 27(8), 3398; https://doi.org/10.3390/ijms27083398 - 10 Apr 2026
Abstract
Soybean (Glycine max [L.] Merr.) is a globally important crop with a rapidly expanding body of genomics literature driven by advances in sequencing and functional genomics. Thousands of studies reference soybean genes using standardized Glyma identifiers; however, systematic analyses of how these [...] Read more.
Soybean (Glycine max [L.] Merr.) is a globally important crop with a rapidly expanding body of genomics literature driven by advances in sequencing and functional genomics. Thousands of studies reference soybean genes using standardized Glyma identifiers; however, systematic analyses of how these identifiers are distributed across chromosomes in the scientific literature remain limited. Here, we present a chromosome-resolved bibliometric analysis of soybean gene mentions using a reproducible rule-based text mining approach. PubMed abstracts published between December 2006 and December 2025 were mined for standardized Glyma gene identifiers using regular-expression-based entity extraction. A total of 377 PubMed records were retrieved, of which 340 abstracts (90.2%) contained at least one Glyma gene identifier. The median number of unique genes mentioned per abstract was 1, with a maximum of 14 genes reported in a single study. Our results reveal three major patterns. First, soybean genomics research remains predominantly gene-centric, with most abstracts referencing one or two genes. Second, apparent chromosome-level disparities exist in literature representation within the subset of studies using standardized Glyma identifiers, with chromosomes 3 and 16 exhibiting the highest frequencies of unique gene mentions. A Chi-square goodness-of-fit test confirmed that these differences deviate significantly from a uniform distribution (χ2 = 123.71, p < 0.001), indicating non-random patterns of gene reporting. Third, a small subset of genes dominates the literature, while the majority of annotated genes are mentioned infrequently, reflecting a long-tailed distribution of research attention. This analysis captures reporting patterns in studies that explicitly use standardized Glyma identifiers and therefore represents a defined subset of the broader soybean genomics literature. Within this scope, the findings highlight uneven adoption of standardized gene nomenclature and chromosome-level differences in research emphasis. More broadly, this study demonstrates the utility of transparent, rule-based text mining approaches for large-scale bibliometric analyses in plant science and provides a scalable framework for comparative analyses across crop species. Full article
(This article belongs to the Section Molecular Informatics)
Show Figures

Figure 1

22 pages, 5317 KB  
Article
A Hyperspectral Simulation-Driven Framework for Sub-Pixel Impervious Surface Mapping: A Case Study Using Landsat Imagery
by Chunxiang Wang, Ping Wang and Yanfang Ming
Remote Sens. 2026, 18(8), 1117; https://doi.org/10.3390/rs18081117 - 9 Apr 2026
Abstract
The rapid advancement of global urbanization has rendered Impervious Surface Area (ISA) a critical indicator for monitoring urban ecological and thermal environments. However, traditional sub-pixel ISA estimation methods, such as Spectral Mixture Analysis (SMA) and machine learning regression, are significantly constrained by spectral [...] Read more.
The rapid advancement of global urbanization has rendered Impervious Surface Area (ISA) a critical indicator for monitoring urban ecological and thermal environments. However, traditional sub-pixel ISA estimation methods, such as Spectral Mixture Analysis (SMA) and machine learning regression, are significantly constrained by spectral variability and a scarcity of high-quality training samples. To address these limitations, this study proposes a novel sub-pixel Impervious Surface Fraction (ISF) retrieval framework leveraging high-resolution airborne hyperspectral data. By simulating physically consistent multispectral reflectance and generating high-accuracy reference ISF via spatial aggregation, we construct a robust and noise-resistant training dataset. Experimental results on Landsat data demonstrate that this simulation-based approach effectively mitigates sample uncertainty, significantly enhances retrieval accuracy, and accurately preserves spatial details and boundary structures. Theoretically, the framework exhibits strong cross-sensor adaptability, as it allows for the generation of sensor-consistent training datasets for various medium-resolution satellite platforms by simply substituting the target sensor’s spectral response functions. Combined with this inherent scalability and the potential for cross-sensor model migration, this method provides a reliable and systematic paradigm for long-term, high-precision ISF mapping across multiple satellite constellations. Full article
Show Figures

Figure 1

25 pages, 1844 KB  
Article
Retrieval-Augmented Large Language Model-Based Framework for Hierarchical Classification of Public Feedback on Transportation Infrastructure
by Milan Knezevic, Trevor Neece, Marko Vukojevic, Lev Khazanovich and Aleksandar Stevanovic
Appl. Sci. 2026, 16(8), 3663; https://doi.org/10.3390/app16083663 - 9 Apr 2026
Abstract
Transportation agencies receive large volumes of free-form public comments describing infrastructure conditions, safety concerns, and service issues. These comments are often processed manually for downstream operational actions, which is time-consuming, inconsistent across reviewers, and difficult to scale, thereby limiting their value for operational [...] Read more.
Transportation agencies receive large volumes of free-form public comments describing infrastructure conditions, safety concerns, and service issues. These comments are often processed manually for downstream operational actions, which is time-consuming, inconsistent across reviewers, and difficult to scale, thereby limiting their value for operational decision-making. This study presents a machine learning and Large Language Model (LLM) framework for automated triage of free-form public comments, assigning each report to a three-level hierarchical taxonomy consisting of Category, Subcategory, and Final Decision. The proposed framework uses agency historical data together with retrieval-based evidence, where semantically similar past comments are provided to the LLM as contextual support to better align predictions with agency-specific labeling practices. The framework was evaluated using TF-IDF with Logistic Regression, TF-IDF with Linear SVM, embedding-based kNN with cosine similarity, few-shot LLM prompting, and retrieval-based LLM prompting. Results show that retrieval-based prompting achieved the best overall performance, with the highest accuracy at both the Category and Subcategory levels. At the Final Decision level, retrieval-based prompting slightly outperformed kNN, while few-shot prompting performed worse. Error analysis showed that many misclassifications were semantically plausible alternatives, reflecting the overlap across infrastructure-related complaint categories. When a second candidate label was allowed, further improving performance. Latency analysis also indicated that the framework can process more than 2000 comments in under 30 min, supporting faster and more consistent agency workflows. Full article
(This article belongs to the Special Issue Intelligent Transportation and Mobility Analytics)
Show Figures

Figure 1

28 pages, 6176 KB  
Article
Modeling Spectral–Temporal Information for Estimating Cotton Verticillium Wilt Severity Using a Transformer-TCN Deep Learning Framework
by Yi Gao, Changping Huang, Xia Zhang and Ze Zhang
Remote Sens. 2026, 18(8), 1105; https://doi.org/10.3390/rs18081105 - 8 Apr 2026
Abstract
Hyperspectral remote sensing provides essential biochemical and structural information for crop disease monitoring, yet its application to cotton Verticillium wilt has largely focused on single-period evaluations or multi-temporal classifications. Such approaches overlook the progressive nature of this vascular disease, whose pigment, water, and [...] Read more.
Hyperspectral remote sensing provides essential biochemical and structural information for crop disease monitoring, yet its application to cotton Verticillium wilt has largely focused on single-period evaluations or multi-temporal classifications. Such approaches overlook the progressive nature of this vascular disease, whose pigment, water, and mesophyll responses evolve over time, making temporal hyperspectral information critical for reliable severity estimation but still insufficiently utilized. To overcome this limitation, we conducted daily time-series observations on cotton leaves and collected 2895 hyperspectral reflectance measurements and 770 high-resolution RGB images together with disease severity records, generating a temporally dense spectral-severity dataset spanning symptom-free to severe stages. Five categories of disease-related vegetation indices were derived and organized into 5-day spectral–temporal slices. Based on these features, we introduce a dual-branch Transformer-TCN model that integrates global temporal dependencies captured by self-attention with local temporal variations resolved by dilated causal convolutions for severity inversion. The model delivers the strongest performance with an R2 of 0.8813, exceeding multiple single and hybrid time-series alternatives by 0.0446–0.1407 in R2, equivalent to a relative improvement of 5.33–19.00%. Temporal spectral features also outperform their non-temporal counterparts, highlighting that disease progression dynamics captured by time-series spectra are critical for reliable severity retrieval. Feature contribution analysis indicates that the blue red index BRI provides the highest contribution, consistent with the single-index time-series modelling results. Photosynthesis- and water-related indices provide secondary but complementary support. Collectively, our results demonstrate that the dual-branch Transformer-TCN model can capture complex spectral–temporal relationships between cotton Verticillium wilt and disease severity, providing methodological support for crop disease monitoring and evaluation. Full article
Show Figures

Figure 1

15 pages, 677 KB  
Systematic Review
Cellular Senescence of Lens Epithelial Cells and Age-Related Cataract: A Systematic Review
by Anastasia Kourtesa, Konstantinos Skarentzos, Georgios S. Dimtsas, Periklis G. Foukas and Marilita Moschos
Bioengineering 2026, 13(4), 433; https://doi.org/10.3390/bioengineering13040433 - 7 Apr 2026
Abstract
Recent evidence links lens epithelial cell (LEC) dysfunction and cellular senescence—an irreversible cell cycle arrest with a pro-inflammatory secretory phenotype—to age-related cataract (ARC) progression. This systematic review synthesizes current knowledge on LEC senescence, its molecular features, and laboratory methods for senescence assessment in [...] Read more.
Recent evidence links lens epithelial cell (LEC) dysfunction and cellular senescence—an irreversible cell cycle arrest with a pro-inflammatory secretory phenotype—to age-related cataract (ARC) progression. This systematic review synthesizes current knowledge on LEC senescence, its molecular features, and laboratory methods for senescence assessment in the ARC. Following PRISMA guidelines, a comprehensive search of PubMed, Scopus and Cochrane databases retrieved 3417 records from inception to 9 February 2025, with 14 studies ultimately included (821 patients and multiple in vitro LEC models). The following multiple senescence expression pathways were identified: SA-β-gal activity, p53/p21 and p16INK4A pathway activation, mitochondrial dysfunction, oxidative stress, and secretion of senescence-associated secretory phenotype (SASP) factors. Notably, cortical cataract demonstrated direct association with local senescent cell accumulation, while nuclear cataract reflected cumulative oxidative damage from impaired LEC-mediated antioxidant defense. Senescence markers correlated positively with cataract severity across multiple studies. Several potential therapeutic targets emerged, including metformin (AMPK activation/autophagic restoration), circMRE11A silencing, NLRP3 inflammasome inhibition, and modulation of FYCO1/PAK1 and MMP2 pathways. This review establishes LEC senescence as a central process in ARC pathogenesis and highlights promising senotherapeutic approaches. Future research should prioritize human surgical samples, develop standardized senescence detection panels (SA-β-gal + p21/p16 + SASP factors), and conduct longitudinal studies to establish causal relationships between senescence accumulation and cataract progression. Full article
(This article belongs to the Section Cellular and Molecular Bioengineering)
Show Figures

Graphical abstract

35 pages, 3162 KB  
Article
An LLM-Based Agentic Network Traffic Incident-Report Approach Towards Explainable-AI Network Defense
by Chia-Hong Chou, Arjun Sudheer and Younghee Park
J. Sens. Actuator Netw. 2026, 15(2), 32; https://doi.org/10.3390/jsan15020032 - 7 Apr 2026
Abstract
Traditional intrusion detection systems for IoT networks achieve high classification accuracy but lack interpretability and actionable incident-response capabilities, limiting their operational value in security-critical environments. This paper presents a graph-based multi-agent framework that integrates ensemble machine learning with Large Language Model (LLM)-powered incident [...] Read more.
Traditional intrusion detection systems for IoT networks achieve high classification accuracy but lack interpretability and actionable incident-response capabilities, limiting their operational value in security-critical environments. This paper presents a graph-based multi-agent framework that integrates ensemble machine learning with Large Language Model (LLM)-powered incident report generation via Retrieval-Augmented Generation (RAG). The system employs a three-phase architecture: (1) a lightweight Random Forest binary pre-detection, achieving 99.49% accuracy with a 6 MB model size for edge deployment; (2) ensemble classification combining Multi-Layer Perceptron, Random Forest, and XGBoost with soft voting and SHAP-based feature attribution for explainability; and (3) a ReAct-based summary agent that synthesizes classification results with external threat intelligence from Web search and scholarly databases to generate evidence-grounded incident reports. To address the challenge of evaluating non-deterministic LLM outputs, we introduce custom RAG evaluation metrics—faithfulness and groundedness implemented via the LLM-as-Judge framework. Experimental validation on the ACI IoT Network Dataset 2023 demonstrates ensemble accuracy exceeding 99.8% across 11 attack classes; perfect groundedness scores (1.0), indicating all generated claims derive from the retrieved context; and moderate faithfulness (0.64), reflecting appropriate analytical synthesis. The ensemble approach mitigates individual model weaknesses, improving the UDP Flood F1 score from 48% (MLP alone) to 95% through soft voting. This work bridges the gap between high-accuracy detection and trustworthy, actionable security analysis for automated incident-response systems. Full article
(This article belongs to the Special Issue Feature Papers in the Section of Network Security and Privacy)
Show Figures

Figure 1

18 pages, 2634 KB  
Article
Evidence-Grounded LLM Summarization for Actionable Student Feedback Analysis
by Zhanerke Baimukanova, Yerassyl Saparbekov, Hyesong Ha and Minho Lee
Information 2026, 17(4), 351; https://doi.org/10.3390/info17040351 - 7 Apr 2026
Abstract
Analyzing large-scale student feedback is critical for higher education quality assurance, yet manual analysis is inefficient and subjective. This paper proposes an integrated framework that unifies supervised classification, unsupervised clustering, and retrieval-augmented generation (RAG) to produce evidence-grounded and actionable insights. Ensemble-based supervised models [...] Read more.
Analyzing large-scale student feedback is critical for higher education quality assurance, yet manual analysis is inefficient and subjective. This paper proposes an integrated framework that unifies supervised classification, unsupervised clustering, and retrieval-augmented generation (RAG) to produce evidence-grounded and actionable insights. Ensemble-based supervised models perform thematic classification, while multi-encoder embedding fusion enables unsupervised discovery of coherent feedback clusters. A multi-stage RAG module integrates category predictions and cluster structure to retrieve representative evidence and generate transparent summaries with citation traceability. The framework is evaluated on student feedback collected from a Central Asian university and two public benchmarks, EduRABSA and Coursera course reviews, covering seven thematic categories. The supervised ensemble achieves 83.0% accuracy and 0.829 Macro-F1 on the primary dataset, while unsupervised clustering attains a silhouette score of 0.271 under the best fusion strategy. Independent evaluation on external benchmarks yields ensemble accuracy of 81.1% on EduRABSA and 49.8% on Coursera, confirming the framework’s adaptability across diverse educational contexts. By leveraging supervised labels and unsupervised structure, the proposed framework enables evidence-grounded, category-aware LLM-based summaries that faithfully reflect the diversity and distribution of student feedback and support actionable educational decision-making. Full article
(This article belongs to the Special Issue AI Technology-Enhanced Learning and Teaching)
Show Figures

Figure 1

24 pages, 32520 KB  
Article
A UAV-Based Dual-Spectroradiometer Method for Hyperspectral Reflectance Measurement
by Haoheng Mi, Yu Zhang, Hong Guan, Kang Jiang and Yongchao Zhao
Remote Sens. 2026, 18(7), 1093; https://doi.org/10.3390/rs18071093 - 5 Apr 2026
Viewed by 277
Abstract
Unmanned aerial vehicles (UAVs) provide a flexible platform for surface reflectance measurement at spatial scales between ground observations and satellite remote sensing. This study develops a UAV-based spectroradiometric system for surface reflectance retrieval under natural illumination conditions using non-imaging hyperspectral sensors. The system [...] Read more.
Unmanned aerial vehicles (UAVs) provide a flexible platform for surface reflectance measurement at spatial scales between ground observations and satellite remote sensing. This study develops a UAV-based spectroradiometric system for surface reflectance retrieval under natural illumination conditions using non-imaging hyperspectral sensors. The system integrates two stabilized spectroradiometers mounted on a UAV to simultaneously measure hemispherical downwelling irradiance and upwelling surface radiance at flight altitude, enabling reflectance retrieval through a radiance–irradiance ratio framework without relying on ground calibration targets or radiative transfer model inversion. Field experiments were conducted over agricultural plots, and the UAV-derived reflectance was quantitatively validated against ground-based dual-spectroradiometer measurements. The results demonstrate stable irradiance measurements during flight and good agreement between UAV- and ground-derived reflectance across the 400–900 nm spectral range. The proposed system offers a practical and reliable solution for hyperspectral reflectance retrieval using UAV platforms. Full article
Show Figures

Figure 1

19 pages, 1674 KB  
Article
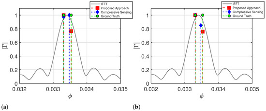
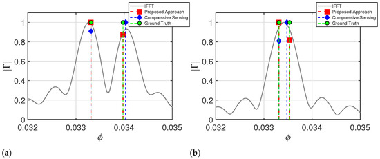
Phaseless Characterization of Multilayered Media: Combining Interferometric Holography and a MUSIC-Based Approach
by Mario Del Prete, Raffaele Solimene, Loreto Di Donato and Maria Antonia Maisto
Electronics 2026, 15(7), 1496; https://doi.org/10.3390/electronics15071496 - 2 Apr 2026
Viewed by 234
Abstract
Millimeter-wave and sub-millimeter-wave techniques are widely used in non-destructive testing of multilayered materials due to their ability to penetrate non-conductive media and resolve dielectric stratifications. However, conventional thickness estimation methods suffer from an inherent resolution limit dictated by the available frequency bandwidth. In [...] Read more.
Millimeter-wave and sub-millimeter-wave techniques are widely used in non-destructive testing of multilayered materials due to their ability to penetrate non-conductive media and resolve dielectric stratifications. However, conventional thickness estimation methods suffer from an inherent resolution limit dictated by the available frequency bandwidth. In this paper, a MUSIC-based approach is proposed to achieve super-resolution localization of echoes in the reflective response of the structure under test. The method exploits the sparsity of the reflective response, similarly to compressive sensing approaches, while providing improved reconstruction accuracy. Moreover, the proposed strategy enables the retrieval of dielectric permittivities and layer thicknesses without resorting to complex nonlinear fitting procedures. Finally, the method operates on magnitude-only data, with phase information recovered through an interferometric holographic technique, making the proposed framework well-suited for cost-effective industrial applications. Full article
(This article belongs to the Special Issue Inverse Problems and Optimization in Electromagnetic Systems)
Show Figures

Figure 1

26 pages, 833 KB  
Article
Design of a RAG-Based Customer Service Chatbot Enhanced with Knowledge Graph and GPT Evaluation: A Case Study in the Import Trade Industry
by Nien-Lin Hsueh and Wei-Che Lin
Software 2026, 5(2), 15; https://doi.org/10.3390/software5020015 - 2 Apr 2026
Viewed by 214
Abstract
Amid the wave of digital transformation and customer service automation, traditional chatbots are increasingly challenged by their inability to handle unstructured data and complex queries. This issue is particularly critical in the import trade industry, where customer service representatives must respond promptly to [...] Read more.
Amid the wave of digital transformation and customer service automation, traditional chatbots are increasingly challenged by their inability to handle unstructured data and complex queries. This issue is particularly critical in the import trade industry, where customer service representatives must respond promptly to diverse inquiries involving quality anomalies, order tracking, and product substitution. Existing rule-based or keyword-driven chatbots often fail to provide accurate responses, resulting in reduced customer satisfaction and increased operational burdens. This study proposes and implements a “Retrieval-Augmented Generation (RAG)-based Customer Service Chatbot,” integrating the RAG framework with a Neo4j-based knowledge graph, specifically tailored for the import trade domain. The system constructs a dedicated QA dataset, knowledge graph, and dynamic learning mechanism. It semantically vectorizes internal documents, meeting records, quality assurance procedures, and historical dialogues, establishing interrelated knowledge nodes to enhance the chatbot’s comprehension and response accuracy. The study also incorporates GPT-based response evaluation and a high-score caching strategy, enabling dynamic learning and knowledge enhancement. Experiments were conducted using 101 representative enterprise-level queries across six categories, reflecting real-world operational scenarios and inquiry needs. The results demonstrate that the combination of knowledge graphs and RAG technology effectively reduces AI hallucinations and improves response coverage and accuracy, thereby addressing complex problems in customer service applications. This paper not only presents a feasible AI implementation model for the import trading industry but also offers a practical architectural reference for domain-specific knowledge management in the import trade and allied sectors. Full article
(This article belongs to the Topic Applications of NLP, AI, and ML in Software Engineering)
Show Figures

Figure 1

24 pages, 25968 KB  
Article
High Spatio-Temporal Resolution CYGNSS Reflectivity Reconstruction via TCN for Enhanced Freeze/Thaw Retrieval
by Xiangle Li, Wentao Yang, Dong Wang, Weixin Li, Dandan Wang and Lei Yang
Remote Sens. 2026, 18(7), 1056; https://doi.org/10.3390/rs18071056 - 1 Apr 2026
Viewed by 293
Abstract
In recent years, the Cyclone Global Navigation Satellite System (CYGNSS) of NASA has attracted widespread attention for the retrieval of freeze/thaw (F/T) states through the analysis of reflected signals. F/T variations in high-altitude regions have long been a focal point in this field. [...] Read more.
In recent years, the Cyclone Global Navigation Satellite System (CYGNSS) of NASA has attracted widespread attention for the retrieval of freeze/thaw (F/T) states through the analysis of reflected signals. F/T variations in high-altitude regions have long been a focal point in this field. However, these areas lack benchmark observational data with high temporal and spatial resolution. A model named Partial Convolution–Time Convolutional Network (PTCN) is proposed in this paper to reconstruct CYGNSS data at a 3 km resolution. This model integrates partial convolution with a time convolutional network (TCN) and does not rely on any auxiliary data. Partial convolution is employed to distinguish valid pixels, with the interference of missing values being removed. TCN is employed to capture temporal features, which results in the reconstruction of observational data. Compared with the original observational data (at a 3 km resolution), the coverage of the reconstructed data is six times that of the original. A simulation of missing data is applied for the first time in the quantitative evaluation of observational data reconstruction. The results show that the value of R for the reconstructed data reaches 0.92, and the value of the root mean square error (RMSE) reaches 2.7. The reconstructed data is used for daily F/T retrieval. At both 36 km and 9 km resolutions, the F/T retrieval accuracy after reconstruction is comparable to that before reconstruction. The temporal resolution is improved by 256%, which successfully fills 92% of the observational gaps in soil moisture passive–active (SMAP) data. Compared with ground-based F/T retrievals, the reconstructed F/T accuracies are 87.71% at 36 km and 82.3% at 9 km.The model successfully reconstructs high-temporal and spatial resolution CYGNSS data while maintaining accuracy. In the future, this method holds significant potential for the application of global GNSS-R high-temporal and spatial resolution remote sensing observations. Full article
Show Figures

Figure 1

19 pages, 4107 KB  
Article
Inland Water Body Detection Using GNSS-R Observations from FY-3 Satellites
by Yuxuan Yang and Yufeng Hu
Appl. Sci. 2026, 16(7), 3374; https://doi.org/10.3390/app16073374 - 31 Mar 2026
Viewed by 203
Abstract
Inland water bodies are vital to the Earth’s ecosystem, global water cycles, and climate regulation. Global Navigation Satellite System Reflectometry (GNSS-R) has emerged as a powerful tool for water detection, particularly with the deployment of the Fengyun-3 (FY-3) E, F, and G satellites. [...] Read more.
Inland water bodies are vital to the Earth’s ecosystem, global water cycles, and climate regulation. Global Navigation Satellite System Reflectometry (GNSS-R) has emerged as a powerful tool for water detection, particularly with the deployment of the Fengyun-3 (FY-3) E, F, and G satellites. This study proposes an inland water body detection method by integrating the Z-score algorithm with specular point land surface reflectivity (SRsp) derived from FY-3 Level-1 GNSS-R data. Using 2024 observations, the method was validated in the Amazon and Congo basins against optical water body products. The results demonstrate high detection performance, achieving overall accuracies of 95.39% and 97.38% in the two regions, respectively. Analysis of reflectivity expressed in decibels (dB) reveals that while dB-units enhance the detection of small tributaries, they are more susceptible to noise-induced misclassification compared to linear units. Furthermore, a comparative assessment of GNSS constellations shows that multi-system combination significantly reduces noise compared to single-system approaches. Notably, the Galileo system exhibited limited sensitivity to small tributaries due to lower observational density. Sensitivity analyses further reveal that interpolation methods and Z-score threshold selection are important factors influencing detection accuracy. As the first systematic evaluation of FY-3 GNSS-R data for inland water detection, this research provides a critical benchmark for future multi-platform and multi-constellation land surface retrieval studies. Full article
(This article belongs to the Section Earth Sciences)
Show Figures

Figure 1

35 pages, 3044 KB  
Article
Estimating the Coherency Matrices of Polarised and Depolarised Components of PolSAR Data
by J. David Ballester-Berman, Qinghua Xie and Hongtao Shi
Remote Sens. 2026, 18(7), 1043; https://doi.org/10.3390/rs18071043 - 30 Mar 2026
Viewed by 199
Abstract
Model-based polarimetric SAR (PolSAR) algorithms for bio- and geophysical parameter estimation rely on the effective separation of the combined scattering response of vegetation canopies and the soil surface through physically based models. However, the interpretation of polarimetric features derived from physical models is [...] Read more.
Model-based polarimetric SAR (PolSAR) algorithms for bio- and geophysical parameter estimation rely on the effective separation of the combined scattering response of vegetation canopies and the soil surface through physically based models. However, the interpretation of polarimetric features derived from physical models is still subject to some ambiguity. Another strategy for complementing the model-based approaches for scattering mechanisms characterisation deals with the separation of the polarised and depolarised contributions of the PolSAR data according to their degree of polarisation. In this paper, we propose a two-component decomposition for estimating the depolarised and polarised components within the target and their corresponding coherency matrices. The method requires the previous calculation of the backscattering powers given by the model-free three-component (MF3C) decomposition, which in turn relies on the 3-D Barakat degree of polarisation. This quantitative information allows us to construct an inversion algorithm to retrieve the proportion of the polarised and depolarised contributions for all the elements of the observed coherency matrix under the reflection symmetry assumption. In essence, the proposed decomposition can be regarded as an extension of the MF3C method and, as a consequence, it enables the exploitation of both model-free and model-based approaches by using a physical rationale driven by the capability of the 3-D Barakat degree of polarisation. Therefore, practical applications can benefit from this approach as the retrieval of target parameters could presumably be done in a more accurate way by directly applying existing scattering models to both components. Indoor multi-frequency datasets acquired over three vegetation samples from the European Microwave Signature Laboratory (EMSL) and P-, L-, and C-band AIRSAR images over a boreal forest in Germany have been employed for testing the proposed decomposition. Performance analysis was performed using different polarimetric tools applied to the outcomes of the two-component decomposition, namely, the eigendecomposition and the copolar cross-correlation analysis of polarised and depolarised components, as well as histograms and a correlation analysis among backscattering powers. Overall, it has been observed that the method outputs are consistent with the theoretical expectations for the depolarised and polarised scattering components for a wide range of scenarios and sensor frequencies. Full article
Show Figures

Figure 1

34 pages, 6515 KB  
Article
Surface Reflectance: An Image Standard to Upgrade Precision Agriculture
by David Groeneveld and Tim Ruggles
Remote Sens. 2026, 18(7), 1037; https://doi.org/10.3390/rs18071037 - 30 Mar 2026
Viewed by 220
Abstract
To be acceptable for precision agriculture applications, satellite imagery must be converted to surface reflectance. To be economical, the analytics must be delivered completely by automation and free of error to preserve farmer trust. CMAC (closed-form method for atmospheric correction) software was tested [...] Read more.
To be acceptable for precision agriculture applications, satellite imagery must be converted to surface reflectance. To be economical, the analytics must be delivered completely by automation and free of error to preserve farmer trust. CMAC (closed-form method for atmospheric correction) software was tested for this application along with established applications, Sen2Cor and FORCE—all three software packages seek to retrieve Sentinel-2 surface reflectance. Forty-three Sentinel-2 images were selected of farmland near Burley, Idaho, corrected by this software and evaluated as reflectance time series extracted from three irrigated corn fields. NDVI of irrigated corn presented an ideal test of precision and accuracy for surface reflectance retrieval. If accurate and precise, a plotted time series will smoothly display logistic growth during crop establishment followed by a plateau, then gradual senesce before harvest: divergences from this pattern indicate errors. CMAC followed the expected smooth pattern for this dataset while, in both FORCE and Sen2Cor, divergence occurred both above and below the CMAC time series for NDVI and from individual spectral band reflectance. These divergences were systematic and directly related to the degree of atmospheric effect—overcorrecting when clear, under-correcting when hazy. Only CMAC provided surface reflectance with the accuracy required for precision agriculture: applicable for Sentinel-2 as Tier 1 data and when haze or cloud- affected and unreliable, as Tier 2 infill from daily smallsat data. Additional analyses of the CMAC-corrected dataset were performed that were also applicable to Tier 2 daily-cadence smallsat data. Further analysis of this dataset indicated that, applied as NDVI, the application of broadband NIR, though sensitive to atmospheric water vapor, exhibited minimal errors compared to NDVI from narrowband NIR. These CMAC-corrected data provided an application to index crop start dates and were capable of distinguishing the uncorrectable data of cloud, cloud shadow, or extreme haze for removal under complete automation. Full article
Show Figures

Figure 1

23 pages, 4838 KB  
Article
Retrieving Soil Water Content in Winter Wheat Fields Using UAV-Based Multi-Source Remote Sensing and Machine Learning
by Yanhong Que, Dongli Wu, Mingliang Jiang, Jie Deng, Cong Liu, Su Wu, Fengbo Li and Yanpeng Li
Agronomy 2026, 16(7), 717; https://doi.org/10.3390/agronomy16070717 - 30 Mar 2026
Viewed by 317
Abstract
Retrieving farmland soil water content with both high accuracy and physical interpretability remains a significant challenge, particularly for winter wheat. To bridge the gap between purely empirical data-driven approaches and mechanistic scattering models, this study proposed a novel hybrid framework that integrates an [...] Read more.
Retrieving farmland soil water content with both high accuracy and physical interpretability remains a significant challenge, particularly for winter wheat. To bridge the gap between purely empirical data-driven approaches and mechanistic scattering models, this study proposed a novel hybrid framework that integrates an improved water cloud model (IWCM) with machine learning algorithms. Multi-modal unmanned aerial vehicle (UAV) experiments were conducted during the heading stage of winter wheat over two consecutive years (2024–2025) using a synchronized system equipped with a miniature synthetic aperture radar (MiniSAR) and a multi-spectral sensor. The core innovation of the proposed framework lies in the IWCM, which explicitly decouples vegetation and soil scattering contributions by incorporating fractional vegetation cover, thereby deriving physically meaningful soil backscatter coefficients from complex microwave signals. Unlike traditional methods that treat remote sensing variables as black box inputs, our approach employed these physics-derived features to guide data-driven modeling. Four feature input schemes including spectral reflectance, vegetation indices, MiniSAR polarimetric parameters, and their multi-source fusion were systematically evaluated using back propagation neural network (BPNN) and random forest (RF) regressors. The results demonstrated that the proposed framework significantly enhances retrieval performance. Notably, the RF model driven by spectral band reflectance within this physically constrained architecture achieved optimal accuracy, with a coefficient of determination (R2) of 0.865, a mean absolute error (MAE) of 0.0152, and a root mean square error (RMSE) of 0.0197. Compared to purely empirical approaches, the IWCM significantly improved the physical interpretability of microwave polarimetric characteristics, enabling the multi-source data fusion to better represent the interactions among vegetation, soil, and microwave scattering. This study demonstrated that integrating mechanistic models with multi-source UAV remote sensing data not only improves soil water content retrieval accuracy in winter wheat fields but also provides a valuable reference for developing operationally applicable and physically interpretable farmland soil water content monitoring systems. Full article
Show Figures

Figure 1

Back to TopTop