Sign in to use this feature.

Years

Between: -

Subjects

remove_circle_outline
remove_circle_outline
remove_circle_outline
remove_circle_outline
remove_circle_outline
remove_circle_outline
remove_circle_outline
remove_circle_outline
remove_circle_outline

Journals

remove_circle_outline
remove_circle_outline
remove_circle_outline
remove_circle_outline
remove_circle_outline
remove_circle_outline
remove_circle_outline

Article Types

Countries / Regions

remove_circle_outline
remove_circle_outline
remove_circle_outline
remove_circle_outline

Search Results (1,084)

Search Parameters:
Keywords = PointNet++ network

Order results
Result details
Results per page
Select all
Export citation of selected articles as:
31 pages, 16969 KB  
Article
Research on Cooperative Vehicle–Infrastructure Perception Integrating Enhanced Point-Cloud Features and Spatial Attention
by Shiyang Yan, Yanfeng Wu, Zhennan Liu and Chengwei Xie
World Electr. Veh. J. 2026, 17(4), 164; https://doi.org/10.3390/wevj17040164 - 24 Mar 2026
Abstract
Vehicle–infrastructure cooperative perception (VICP) extends the sensing capability of single-vehicle systems by integrating multi-source information from onboard and roadside sensors, thereby alleviating limitations in sensing range and field-of-view coverage. However, in complex urban environments, the robustness of such systems—particularly in terms of blind-spot [...] Read more.
Vehicle–infrastructure cooperative perception (VICP) extends the sensing capability of single-vehicle systems by integrating multi-source information from onboard and roadside sensors, thereby alleviating limitations in sensing range and field-of-view coverage. However, in complex urban environments, the robustness of such systems—particularly in terms of blind-spot coverage and feature representation—is severely affected by both static and dynamic occlusions, as well as distance-induced sparsity in point cloud data. To address these challenges, a 3D object detection framework incorporating point cloud feature enhancement and spatially adaptive fusion is proposed. First, to mitigate feature degradation under sparse and occluded conditions, a Redefined Squeeze-and-Excitation Network (R-SENet) attention module is integrated into the feature encoding stage. This module employs a dual-dimensional squeeze-and-excitation mechanism operating across pillars and intra-pillar points, enabling adaptive recalibration of critical geometric features. In addition, a Feature Pyramid Backbone Network (FPB-Net) is designed to improve target representation across varying distances through multi-scale feature extraction and cross-layer aggregation. Second, to address feature heterogeneity and spatial misalignment between heterogeneous sensing agents, a Spatial Adaptive Feature Fusion (SAFF) module is introduced. By explicitly encoding the origin of features and leveraging spatial attention mechanisms, the SAFF module enables dynamic weighting and complementary fusion between fine-grained vehicle-side features and globally informative roadside semantics. Extensive experiments conducted on the DAIR-V2X benchmark and a custom dataset demonstrate that the proposed approach outperforms several state-of-the-art methods. Specifically, Average Precision (AP) scores of 0.762 and 0.694 are achieved at an IoU threshold of 0.5, while AP scores of 0.617 and 0.563 are obtained at an IoU threshold of 0.7 on the two datasets, respectively. Furthermore, the proposed framework maintains real-time inference performance, highlighting its effectiveness and practical potential for real-world deployment. Full article
(This article belongs to the Section Automated and Connected Vehicles)
Show Figures

Figure 1

17 pages, 9213 KB  
Article
Improved Point Cloud Representation via a Learnable Sort–Mix–Attend Mechanism
by Yuyan Zhang, Xi Wang, Zhang Yi and Lei Xu
Sensors 2026, 26(6), 1888; https://doi.org/10.3390/s26061888 - 17 Mar 2026
Viewed by 174
Abstract
Recent years have seen remarkable progress in deep learning on 3D point clouds, with hierarchical architectures becoming standard. Most work has focused on developing increasingly complex operators, such as self-attention, while enhancing the representational capacity of efficient point-wise MLP-based backbones has received less [...] Read more.
Recent years have seen remarkable progress in deep learning on 3D point clouds, with hierarchical architectures becoming standard. Most work has focused on developing increasingly complex operators, such as self-attention, while enhancing the representational capacity of efficient point-wise MLP-based backbones has received less attention. We address this issue by proposing a differentiable module that learns to impose a task-driven canonical structure on local point sets. Our proposed SMA (Sort–Mix–Attend) layer dynamically serializes a neighborhood by generating a geometric basis and using a differentiable sorting mechanism. This enables an efficient MLP-based network to model rich feature interactions, adaptively modulating features prior to the final symmetric aggregation function. We demonstrate that SMA effectively enhances standard backbones for 3D classification and segmentation. Specifically, integrating SMA into PointNeXt-S achieves an Overall Accuracy (OA) of 88.3% on the challenging ScanObjectNN dataset, an improvement of 0.6% over the baseline. Furthermore, it boosts the classic PointNet++ architecture by a significant 5.2% in OA. We also introduce a highly efficient SMA-Tiny variant that achieves 86.0% OA with only 0.3 M parameters, proving the structural superiority, computational cost-effectiveness, and practical significance of our method for real-world 3D perception tasks. Full article
Show Figures

Figure 1

27 pages, 3783 KB  
Article
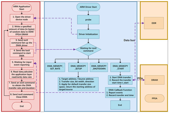
FPGA-Based Front-End Low-Light Enhancement for Deterministic Vision-Only Driving Perception
by Fuwen Xie, Hanhui Jing, Zhiting Lu, Shaoxin Ju, Bochun Peng, Tianle Xie, Linfang Yang, Wenman Han, Zhizhong Wang and Gaole Sai
Electronics 2026, 15(6), 1224; https://doi.org/10.3390/electronics15061224 - 15 Mar 2026
Viewed by 164
Abstract
Vision-only driving perception systems are highly sensitive to illumination variations, particularly under low-light conditions where reduced contrast and structural degradation impair detection and segmentation accuracy. Rather than treating enhancement as a post-processing step, this work investigates the system-level impact of relocating low-light enhancement [...] Read more.
Vision-only driving perception systems are highly sensitive to illumination variations, particularly under low-light conditions where reduced contrast and structural degradation impair detection and segmentation accuracy. Rather than treating enhancement as a post-processing step, this work investigates the system-level impact of relocating low-light enhancement to the FPGA-based front end within a heterogeneous FPGA–ARM architecture. A hardware-accelerated visual pipeline is designed to perform color space conversion, fixed-point convolutional enhancement, and multi-channel fusion prior to high-level perception on the ARM processor. Experimental results demonstrate that the proposed FPGA-based front-end enhancement introduces only 13 ms of additional processing latency, which executes in parallel with the preceding frame’s neural network inference and therefore imposes zero net overhead on the end-to-end pipeline. In contrast, an equivalent software-based back-end enhancement approach would add its full processing time serially to the inference stage, increasing total system latency proportionally. The system achieves a sustained throughput of 58 fps while supporting real-time multi-task perception including lane detection (YOLOPv2, 539 ms per frame), object detection and emergency braking (YOLOv5, 432 ms per frame), and hardware-level multi-camera synchronization. Full article
(This article belongs to the Special Issue Hardware and Software Co-Design in Intelligent Systems)
Show Figures

Figure 1

26 pages, 1118 KB  
Article
Representation-Centric Approach for Android Malware Classification: Interpretability-Driven Feature Engineering on Function Call Graphs
by Gyumin Kim, Dongmin Yoon, NaeJoung Kwak and ByoungYup Lee
Appl. Sci. 2026, 16(6), 2670; https://doi.org/10.3390/app16062670 - 11 Mar 2026
Viewed by 245
Abstract
The existing research on Android malware detection using graph neural networks (GNNs) has largely focused on architectural improvements, while input node feature representations have received less systematic attention. This study adopts a representation-centric approach to enhance function call graph (FCG)-based malware classification through [...] Read more.
The existing research on Android malware detection using graph neural networks (GNNs) has largely focused on architectural improvements, while input node feature representations have received less systematic attention. This study adopts a representation-centric approach to enhance function call graph (FCG)-based malware classification through interpretability-driven feature engineering. We propose a dual-level structural feature framework integrating local topological patterns with global graph-level properties. The initial feature set comprises 13 dimensions: five local degree profile (LDP) features and eight global structural features capturing community structure, execution flow, and connectivity patterns. To mitigate the curse of dimensionality, we apply an interpretability-driven selection using integrated gradients (IG), gradient-weighted class activation mapping (GradCAM), and Shapley additive explanations (SHAP), yielding an optimized seven-dimensional subset. Experiments on the MalNet-Tiny benchmark demonstrate that the proposed approach achieves 94.47 ± 0.25% accuracy with jumping knowledge GraphSAGE (JK-GraphSAGE), improving the LDP-only baseline by 0.32 percentage points while reducing feature dimensionality by 46%. The selected features exhibit consistent importance across four GNN architectures and multiple message-passing layers, demonstrating model-agnostic effectiveness. The results reveal that aggregation mechanisms critically influence feature utility, highlighting the necessity of interpretability-guided design for robust malware detection. This work provides a systematic methodology for feature engineering in graph-based security applications. Full article
Show Figures

Figure 1

27 pages, 7915 KB  
Article
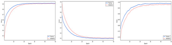
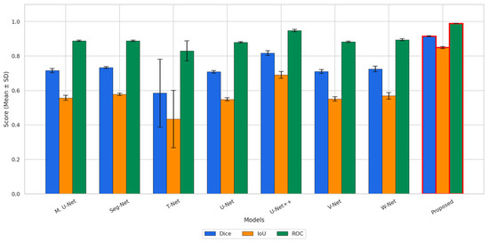
A Multi-Level Cross-Connected U-Net Architecture for Image Segmentation
by Lütfü Bayrak, Ahmet Çinar and Cebrail Barut
Appl. Sci. 2026, 16(6), 2655; https://doi.org/10.3390/app16062655 - 11 Mar 2026
Viewed by 188
Abstract
Existing encoder–decoder architectures operating in the field of deep learning-based image segmentation face fundamental limitations such as information loss, performance degradation as network depth increases, and high computational costs. To overcome these issues, we propose a new architecture that integrates features from different [...] Read more.
Existing encoder–decoder architectures operating in the field of deep learning-based image segmentation face fundamental limitations such as information loss, performance degradation as network depth increases, and high computational costs. To overcome these issues, we propose a new architecture that integrates features from different depth levels at a single fusion point. This approach enables both comprehensive representation power and the preservation of very small details. The proposed approach creates an efficient structure that achieves high accuracy values without requiring unnecessary network deepening. The designed model was comprehensively compared with state-of-the-art architectures such as U-Net, V-Net, W-Net, T-Net, Seg-Net, and Multiple U-Net, which are accepted in the literature, on datasets with different characteristics such as MedSeg, Retina Drive, and Massachusetts datasets. Experimental findings reveal that the developed method outperforms its competitors in all test metrics. In particular, the dice (DSC) score, the most critical indicator of segmentation accuracy, achieved a value of 0.957 on the Retina DRIVE dataset, demonstrating a significant performance difference compared to existing models that remained in the 0.68–0.81 range in challenging scenarios. Furthermore, the 99.6% accuracy (Acc) and 0.006 loss (Loss) values obtained on COVID-19 CT data confirm the architecture’s error-free learning capacity. The stable loss function trend observed across all datasets demonstrates the model’s stable learning ability and high generalization capability. Full article
Show Figures

Figure 1

32 pages, 7237 KB  
Article
AI-Assisted UPQC with Quasi Z-Source SEPIC-Luo Converter for Harmonic Mitigation and Voltage Regulation in PV Applications
by Shekaina Justin
Electronics 2026, 15(6), 1156; https://doi.org/10.3390/electronics15061156 - 10 Mar 2026
Viewed by 188
Abstract
The intermittent nature of photovoltaic (PV) energy, especially under nonlinear and unbalanced loading situations, has made it more difficult to ensure steady operation as it is increasingly integrated into modern power systems. The Power Quality (PQ) issues cause severe degradation of both system [...] Read more.
The intermittent nature of photovoltaic (PV) energy, especially under nonlinear and unbalanced loading situations, has made it more difficult to ensure steady operation as it is increasingly integrated into modern power systems. The Power Quality (PQ) issues cause severe degradation of both system performance and device lifetime. A novel Neural Power Quality Network (NeuPQ-Net) controlled Unified Power Quality Conditioner (UPQC) combined with a Quasi Z-Source Lift (QZSL) converter for PV applications is presented in this research as a novel solution for addressing these issues. The QZSL converter, which is controlled by a Maximum Power Point Tracking (MPPT) algorithm based on Perturb and Observe (P&O), increases the PV source voltage to the necessary DC-link level. A Zebra Optimisation Algorithm tuned PI (ZOA-PI) controller continually adjusts PI gains for quick and accurate regulation, ensuring steady DC-link voltage. Unlike conventional Synchronous Reference Frame (SRF) or Decoupled Double Synchronous Reference Frame (DDSRF)-based reference generation, the proposed NeuPQ-Net operates directly in the abc domain, eliminating Phase-Locked Loop (PLL) dependency and reducing computational complexity. Simulation and hardware prototype validations demonstrate that the proposed system achieves significant improvements in PQ indices, including reduced Total Harmonic Distortion (THD), faster response to transients, and enhanced voltage regulation, while complying with IEEE-519 standards. Full article
(This article belongs to the Section Power Electronics)
Show Figures

Figure 1

29 pages, 1565 KB  
Article
Integer Intelligence: A Reproducible Path from Training to FPGA
by Manjusha Shanker and Tee Hui Teo
Electronics 2026, 15(5), 1117; https://doi.org/10.3390/electronics15051117 - 8 Mar 2026
Viewed by 219
Abstract
A transparent, end-to-end pathway from learning-level training to deployable fixed-point hardware is presented and framed as gradients to gates. A didactic XOR convolutional network is first employed so that backpropagation, post-training quantization in INT8, and fixed-point arithmetic can be made concrete and verified [...] Read more.
A transparent, end-to-end pathway from learning-level training to deployable fixed-point hardware is presented and framed as gradients to gates. A didactic XOR convolutional network is first employed so that backpropagation, post-training quantization in INT8, and fixed-point arithmetic can be made concrete and verified with exact checks. The same methodology was applied to a compact LeNet-5 case study. On the software side, the training-to-export flow was formalized, and a bit-accurate Python reference was constructed for the quantized network. On the hardware side, a synthesizable INT8 datapath was implemented in Verilog, including multiply–accumulate units, sigmoid activation stages, and per-layer requantization with rounding and saturation. Test benches are provided so that the exported weights and activations can be ingested, and layer-wise matches can be reported. A co-simulation harness was used to coordinate framework inference, quantization, file conversion, HDL simulation, and regression checks, which enabled deterministic comparisons of the activations, partial sums and outputs. The complete loop was mapped to Artix-7 on the CMOD A7 development board, and the resource usage, maximum clock frequency, inference latency, and throughput were determined. The approach aligns with an educational HDL-to-Caffe pipeline by using reusable parameterized Verilog primitives for convolution, pooling, activation, and fully connected layers, training in Colab with AccDNN, Caffe, quantization, and an automated bit-for-bit verification regime before FPGA synthesis. Methodological contributions are provided, including a minimal and auditable XOR CNN that exposes scales, shifts, and saturation; a practical quantization recipe with INT32 accumulation and unit tests that guarantee agreement within one least significant bit between RTL and the INT8 reference; and a scalable mapping to LeNet-5 using a row-stationary and line-buffered dataflow on an Artix-7 FPGA. Empirical evidence shows feasibility at 100 MHz with representative utilization, millisecond-scale latency and zero mismatches across large test sets, which validates the quantization configuration and the verification strategy. Full article
(This article belongs to the Special Issue Recent Advances in AI Hardware Design)
Show Figures

Figure 1

24 pages, 3943 KB  
Article
A Convolutional Neural Network(CNN)–Residual Network (ResNet)-Based Faulted Line Selection Method for Single-Phase Ground Faults in Distribution Network
by Qianqiu Shao, Zhen Yu and Shenfa Yin
Electronics 2026, 15(5), 1090; https://doi.org/10.3390/electronics15051090 - 5 Mar 2026
Viewed by 292
Abstract
Single-phase ground faults account for more than 80% of total faults in distribution networks. However, the introduction of distributed generation complicates power grid topology, leading to strong nonlinearity and non-stationarity in the zero-sequence current. This limits the accuracy of traditional faulted line selection [...] Read more.
Single-phase ground faults account for more than 80% of total faults in distribution networks. However, the introduction of distributed generation complicates power grid topology, leading to strong nonlinearity and non-stationarity in the zero-sequence current. This limits the accuracy of traditional faulted line selection methods. To address this problem, a CNN–ResNet-based method for faulted line selection for single-phase ground faults in distribution networks is proposed. Firstly, a 10 kV arc ground fault simulation test platform is built to analyze the nonlinear distortion characteristics of fault current. The WOA–VMD algorithm, optimized by permutation entropy, is used to denoise the zero-sequence current signal. The Gram Angular Difference Field (GADF) is then adopted to convert the one-dimensional signal into a two-dimensional image that retains its temporal characteristics. A hybrid deep learning model is constructed by fusing the one-dimensional time-domain features extracted by CNN and the two-dimensional time-frequency image features extracted by ResNet34. Matlab/Simulink simulations and physical experimental verification demonstrate that the proposed method achieves a training accuracy of over 97%, with zero misjudgments recorded in 15 arc grounding fault tests, representing a significant improvement in accuracy compared with existing diagnostic algorithms. It can adapt to complex scenarios such as high-resistance grounding and changes in neutral point grounding mode, effectively improving the accuracy and robustness of faulted line selection and providing technical support for the safe operation of distribution networks. Full article
(This article belongs to the Section Artificial Intelligence)
Show Figures

Figure 1

23 pages, 20185 KB  
Article
Bio-Inspired Voronoi-Based Porous Tubular Structure Design and Crashworthiness Properties
by Mengfei Han, Qinxi Dong and Hui Wang
Materials 2026, 19(5), 997; https://doi.org/10.3390/ma19050997 - 5 Mar 2026
Viewed by 301
Abstract
Porous tubular structures are of significant interest in engineering due to their exceptional potential for lightweight design, energy absorption, and multifunctional integration. Inspired by the unique net architecture of natural luffa sponges, this study introduces a novel design approach for such structure, namely [...] Read more.
Porous tubular structures are of significant interest in engineering due to their exceptional potential for lightweight design, energy absorption, and multifunctional integration. Inspired by the unique net architecture of natural luffa sponges, this study introduces a novel design approach for such structure, namely bio-inspired Voronoi Tube (BVT). This design employs Voronoi tessellation patterns, parametrically controlled through the spatial distribution of seed points and integrates iterative optimization algorithms, to achieve precise coordinated regulation over the randomness and continuity of the resulting spatial network, closely mimicking the biological paradigm. Then, specimens are fabricated via additive manufacturing and then quasi-statically compressed axially, followed by systematic mechanical testing of the base material. The experimental results are analyzed to reveal the BVT structure’s mechanical responses and simultaneously validate finite-element simulation model. Subsequently, a systematic numerical analysis is performed to further understand the deformation mechanisms of the BVT structure and the influence of key geometric parameters. The results indicate that the iteratively optimized BVT structure successfully replicates the characteristic energy absorption behavior of the natural luffa sponge, confirming the effectiveness of the bio-inspired design. A rise in diameter from 0.6 mm to 1.0 mm results in a 78.32% increase in the specific energy absorption (SEA). Under identical mass conditions, tailored adjustments to the geometry can enhance the SEA by up to 34.57%. Full article
Show Figures

Graphical abstract

20 pages, 7825 KB  
Article
STAG-Net: A Lightweight Spatial–Temporal Attention GCN for Real-Time 6D Human Pose Estimation in Human–Robot Collaboration Scenarios
by Chunxin Yang, Ruoyu Jia, Qitong Guo, Xiaohang Shi, Masahiro Hirano and Yuji Yamakawa
Robotics 2026, 15(3), 54; https://doi.org/10.3390/robotics15030054 - 4 Mar 2026
Viewed by 347
Abstract
Most existing research in human pose estimation focuses on predicting joint positions, paying limited attention to recovering the full 6D human pose, which comprises both 3D joint positions and bone orientations. Position-only methods treat joints as independent points, often resulting in structurally implausible [...] Read more.
Most existing research in human pose estimation focuses on predicting joint positions, paying limited attention to recovering the full 6D human pose, which comprises both 3D joint positions and bone orientations. Position-only methods treat joints as independent points, often resulting in structurally implausible poses and increased sensitivity to depth ambiguities—cases where poses share nearly identical joint positions but differ significantly in limb orientations. Incorporating bone orientation information helps enforce geometric consistency, yielding more anatomically plausible skeletal structures. Additionally, many state-of-the-art methods rely on large, computationally expensive models, which limit their applicability in real-time scenarios, such as human–robot collaboration. In this work, we propose STAG-Net, a novel 2D-to-6D lifting network that integrates Graph Convolutional Networks (GCNs), attention mechanisms, and Temporal Convolutional Networks (TCNs). By simultaneously learning joint positions and bone orientations, STAG-Net promotes geometrically consistent skeletal structures while remaining lightweight and computationally efficient. On the Human3.6M benchmark, STAG-Net achieves an MPJPE of 41.8 mm using 243 input frames. In addition, we introduce a lightweight single-frame variant, STG-Net, which achieves 50.8 mm MPJPE while operating in real time at 60 FPS using a single RGB camera. Extensive experiments on multiple large-scale datasets demonstrate the effectiveness and efficiency of the proposed approach. Full article
(This article belongs to the Special Issue Human–Robot Collaboration in Industry 5.0)
Show Figures

Figure 1

16 pages, 4906 KB  
Article
Non-Human Primates in Gabon: Occurrence Hotspots, Habitat Dynamics, Protected-Area Performance, and Conservation Challenges
by Mohamed Hassani Mohamed-Djawad, Barthelemy Ngoubangoye, Papa Ibnou Ndiaye, Krista Mapagha-Boundoukou, Neil Michel Longo-Pendy, Serge Ely Dibakou, Jean Nzue-Nguema, Désiré Otsaghe-Ekore, Stephan Ntie, Afred Ngomanda, Patrice Makouloutou-Nzassi, Mohamed Thani Ibouroi and Larson Boundenga
Biology 2026, 15(5), 405; https://doi.org/10.3390/biology15050405 - 28 Feb 2026
Viewed by 351
Abstract
Gabon harbors one of Africa’s richest assemblages of non-human primates (NHPs), yet integrated national-scale evidence on their conservation status remains limited. To inform conservation strategies, we conducted the first nationwide assessment integrating habitat dynamics, the geographic distribution of species, and the effectiveness of [...] Read more.
Gabon harbors one of Africa’s richest assemblages of non-human primates (NHPs), yet integrated national-scale evidence on their conservation status remains limited. To inform conservation strategies, we conducted the first nationwide assessment integrating habitat dynamics, the geographic distribution of species, and the effectiveness of the protected-area network in the country. We harmonized 300 m land-cover maps (ESA CCI 1992; Copernicus 2022), compiled 481 georeferenced occurrences, and identified concentration areas using kernel density estimation and Getis–Ord Gi* analysis. We quantified land-cover transitions with a per-pixel transition matrix and assessed protected-area capture using Monte Carlo randomization. Ten fully protected species are confirmed, including Gorilla gorilla and Pan troglodytes. Occurrences concentrate mainly in the Ogooué-Ivindo and Haut-Ogooué Provinces; ~10% of the national territory lies above the 90th kernel density percentile (≈26,700 km2), and 1.5% of cells qualify as hotspots at the 99% threshold. Primate records are strongly associated with evergreen broadleaved forests (87.9% of points), which remained persistent from 1992 to 2022 (forest-to-forest = 223,476 km2; 98.13%) with a net decline (−2571.66 km2; −1.19%). Gross losses (4046.58 km2) were mainly attributable to agricultural conversion (68.63%; χ2 = 31,525; p < 0.001). Over 90% of records fall in areas stable across 1992–2022. Protected areas (PAs) captured more occurrences (observed 40.1% vs. expected 18.47%; p < 0.001), yet gaps remain for some taxa (e.g., Allochorocebus solatus, 86% outside PAs). Overall, Gabon retains an extensive core of suitable habitat, but targeted action outside PAs and maintenance of landscape connectivity are needed to secure populations where agricultural expansion and fragmentation are intensifying. Full article
Show Figures

Graphical abstract

21 pages, 2068 KB  
Article
A Physics-Informed Neural Network Framework for Seismic Signal Denoising Based on Time–Frequency Adaptive Decomposition
by Qinghua Zhang, Miantao Zhang, Houle Zhang, Yongxin Wu and Yanjie Zhang
Appl. Sci. 2026, 16(5), 2389; https://doi.org/10.3390/app16052389 - 28 Feb 2026
Viewed by 189
Abstract
Seismic signal denoising stands as a vital process that enables precise seismic data analysis because noise interference blocks the detection of weak but valuable seismic signals. The current traditional denoising methods together with deep learning-based data-driven approaches encounter difficulties when they need to [...] Read more.
Seismic signal denoising stands as a vital process that enables precise seismic data analysis because noise interference blocks the detection of weak but valuable seismic signals. The current traditional denoising methods together with deep learning-based data-driven approaches encounter difficulties when they need to remove noise from seismic signals while keeping their fundamental structural elements, especially under conditions of low signal-to-noise ratios. In this study, we propose a novel denoising framework that integrates a physics-guided neural network with adaptive time–frequency decomposition, referred to as TF-PhysNet. The system breaks down broadband seismic data into separate frequency bands. Scientists can use these to study specific noise patterns that appear at various frequency points. The system uses a shared convolutional neural network-long short-term memory architecture to remove noise from each sub-band, which helps it learn both short-term waveform patterns and extended temporal relationships. The system uses physics-guided restrictions to eliminate false signal variations, which appear during the signal recovery process. The experimental findings from synthetic and real seismic data sets show that TF-PhysNet delivers better results than standard denoising techniques and deep learning-based methods for signal-to-noise ratio improvement and correlation coefficient enhancement. Full article
(This article belongs to the Special Issue New Technology for Road Surface Detection, 2nd Edition)
Show Figures

Figure 1

17 pages, 1924 KB  
Article
MedScanGAN: Synthetic PET & CT Scan Generation Using Conditional Generative Adversarial Networks for Medical AI Data Augmentation
by Agorastos-Dimitrios Samaras, Ioannis D. Apostolopoulos and Nikolaos Papandrianos
Bioengineering 2026, 13(3), 281; https://doi.org/10.3390/bioengineering13030281 - 27 Feb 2026
Viewed by 393
Abstract
This study tackles the challenge of data scarcity in medical AI, focusing on Non-Small-Cell Lung Cancer (NSCLC) diagnosis from Positron Emission Tomography (PET) and Computed Tomography (CT) images. We introduce MedScanGAN, a conditional Generative Adversarial Network designed to generate high-fidelity synthetic PET [...] Read more.
This study tackles the challenge of data scarcity in medical AI, focusing on Non-Small-Cell Lung Cancer (NSCLC) diagnosis from Positron Emission Tomography (PET) and Computed Tomography (CT) images. We introduce MedScanGAN, a conditional Generative Adversarial Network designed to generate high-fidelity synthetic PET and CT images of Solitary Pulmonary Nodules (SPNs) to enhance computer-aided diagnosis systems. The framework incorporates advanced architectural features, including residual blocks, spectral normalization, and stabilized training strategies. MedScanGAN produces realistic images—particularly for PET representations—capable of plausibly misleading medical professionals. More importantly, when used to augment training datasets for established deep learning models such as YOLOv8, VGG-16, ResNet, and MobileNet, the synthetic data significantly improves NSCLC classification performance. Accuracy gains of up to +5.8 absolute percentage points were observed, with YOLOv8 achieving the best results at 94.14% accuracy, 93.12% specificity, and 95.33% sensitivity using the augmented dataset. The conditional generation mechanism enables the targeted synthesis of underrepresented classes, effectively addressing class imbalance. Overall, this work demonstrates both state-of-the-art medical image synthesis and its practical value in improving real-world diagnostic systems, bridging generative AI research and clinical pulmonary oncology. Full article
Show Figures

Figure 1

28 pages, 3302 KB  
Article
Edge-Deployable Fish Feeding-State Quantification and Recognition via Frame-Pair Motion Encoding and EfficientFeedingNet
by Yuchen Xiao, Weijia Ren, Yining Wang, Kaijian Zheng, Chunwei Bi, Shubin Zhang, Xinxing You and Liuyi Huang
Animals 2026, 16(5), 720; https://doi.org/10.3390/ani16050720 - 25 Feb 2026
Viewed by 264
Abstract
Accurate feeding-state monitoring is essential for improving feeding management, reducing feed waste, and supporting water quality and fish welfare in aquaculture. However, existing vision-based methods often rely on subjective labels or computationally expensive temporal models, which limits practical on-farm deployment. Here, we propose [...] Read more.
Accurate feeding-state monitoring is essential for improving feeding management, reducing feed waste, and supporting water quality and fish welfare in aquaculture. However, existing vision-based methods often rely on subjective labels or computationally expensive temporal models, which limits practical on-farm deployment. Here, we propose an objective, edge-deployable framework for motion-driven feeding-state quantification and binary feeding/non-feeding recognition from top-view videos. The framework integrates frame-pair dense optical-flow encoding with a lightweight network (EfficientFeedingNet) to enable real-time deployment. Using an optical-flow-derived motion-intensity signal (V-Value), we automatically delineate feeding-response intervals and construct a perception-based dataset (Perceptual Dataset) with reproducible binary labels, alongside an observer-labeled Intuitive Dataset. Across representative backbones, models trained on the Perceptual Dataset achieve >90% test accuracy and improve over the Intuitive Dataset by 13.13–18.46 percentage points. The proposed EfficientFeedingNet attains 96.53% test accuracy while remaining lightweight for edge deployment; on a Jetson Orin NX, it runs at 7.0 ms per image (143.24 fps). Overall, the proposed framework provides a practical basis for timely, data-driven feeding decisions in precision aquaculture. Full article
Show Figures

Figure 1

22 pages, 16604 KB  
Article
Predicting Net Primary Productivity Using Geographically Weighted Machine Learning: A Comparative Study in the Eastern Sahel
by Kopano Letsela, Farai Mlambo and Elhadi Adam
Sustainability 2026, 18(5), 2217; https://doi.org/10.3390/su18052217 - 25 Feb 2026
Viewed by 320
Abstract
Net Primary Productivity (NPP) is a vital ecological indicator used to monitor land productivity and the health of ecosystems, particularly in climate-sensitive areas like the Eastern Sahel. However, the spatial heterogeneity in the relationships between NPP and environmental factors complicates accurate predictions. This [...] Read more.
Net Primary Productivity (NPP) is a vital ecological indicator used to monitor land productivity and the health of ecosystems, particularly in climate-sensitive areas like the Eastern Sahel. However, the spatial heterogeneity in the relationships between NPP and environmental factors complicates accurate predictions. This research aimed to evaluate the effectiveness of geographically weighted statistical and machine learning models in predicting NPP, while considering spatial non-stationarity and non-linear interactions. The study used 939 spatial observations of the NPP in conjunction with four environmental predictors: rainfall, temperature, soil moisture, and elevation, spanning Niger, Chad, and Sudan. Initially, a global Ordinary Least Squares (OLS) model was used as a reference point. Subsequently, three geographically weighted models, Geographically Weighted Regression (GWR), Geographically Weighted Random Forest (GWRF) and Geographically Weighted Neural Network (GWNN) were executed to account for spatial variability and non-linear effects. The performance of the models was assessed using R2, Mean Absolute Error (MSE), Root Mean Squared Error (RMSE), Mean Absolute Error (MAE), and spatial residual diagnostics. All geographically weighted models outperformed the global OLS baseline in terms of both predictive accuracy and spatial sensitivity. GWNN achieved the highest performance (R2 = 0.9360; RMSE = 0.0333), followed closely by GWRF (R2 = 0.9308) and GWR (R2 = 0.9207), compared to OLS (R2 = 0.8354). The residual spatial autocorrelation was completely resolved in GWNN and GWRF. Rainfall was consistently the most significant predictor, while the effects of other variables, such as elevation and temperature, varied between different spatial contexts. The findings of this research emphasise the value of combining spatial weighting with machine learning methodologies to model ecological productivity in heterogeneous landscapes. The GWNN model, in particular, stands out as a powerful tool for improving NPP predictions in regions sensitive to climate change. Full article
Show Figures

Figure 1

Back to TopTop