Sign in to use this feature.

Years

Between: -

Subjects

remove_circle_outline
remove_circle_outline
remove_circle_outline
remove_circle_outline
remove_circle_outline
remove_circle_outline
remove_circle_outline
remove_circle_outline
remove_circle_outline

Journals

Article Types

Countries / Regions

Search Results (30)

Search Parameters:
Keywords = Pluto

Order results
Result details
Results per page
Select all
Export citation of selected articles as:
22 pages, 360 KB  
Review
Psilocybin in Neuropsychiatric Disorders: Seeking Valuable Evidence in History, Pure Science, Clinical Trials and Real-World Data (RWD)
by Piotr Skalski, Katarzyna Pękacka-Falkowska, Agnieszka Pluto-Prądzyńska and Michał K. Owecki
Brain Sci. 2026, 16(4), 358; https://doi.org/10.3390/brainsci16040358 - 26 Mar 2026
Viewed by 313
Abstract
Background/Objectives: Psilocybin has re-emerged as a promising intervention for neuropsychiatric disorders including major depressive disorder, treatment-resistant depression, anxiety associated with life-threatening illness, obsessive compulsive disorder, and substance use disorders. However, conventional randomized controlled trials (RCTs)—the current gold standard in evidence-based medicine—may not adequately [...] Read more.
Background/Objectives: Psilocybin has re-emerged as a promising intervention for neuropsychiatric disorders including major depressive disorder, treatment-resistant depression, anxiety associated with life-threatening illness, obsessive compulsive disorder, and substance use disorders. However, conventional randomized controlled trials (RCTs)—the current gold standard in evidence-based medicine—may not adequately capture the therapeutic complexity of psilocybin, which depends not only on pharmacological action but also on contextual, psychological, and interpersonal factors. This critical narrative review aimed to evaluate the adequacy of existing clinical research frameworks for assessing psilocybin’s therapeutic potential and to explore alternative methodologies that may better reflect real-world clinical conditions. Methods: Using the Web of Science Core Collection database, we identified and analysed the ten most cited clinical studies on psilocybin published between 2015 and 2025 inclusive. Additional literature was included through reference cross-checking, systematic reviews, meta-analyses, and interdisciplinary sources covering neurobiology, history, and real-world evidence (RWE). The review synthesizes clinical outcomes, methodological constraints, and epistemic considerations relevant to psychedelic-assisted therapy. Results: Evidence from highly cited trials demonstrates rapid and sustained antidepressant and anxiolytic effects of psilocybin, with notable benefits also observed in addiction treatment. However, significant methodological limitations were identified, including selection bias, challenges in placebo design and blinding, small sample sizes, and the underrepresentation of diverse populations. Psilocybin outcomes were strongly influenced by subjective experience and contextual factors such as set and setting. Emerging RWE studies revealed heterogeneous patterns of response and provided insights unattainable through RCTs alone. Conclusions: Psilocybin shows considerable therapeutic promise, but current RCT methodologies capture only part of its clinical effects. Comprehensive evaluation will require larger and more diverse clinical trials, long-term follow-up, standardized psychotherapeutic protocols, and the integration of RWE to reflect real-world practice. Psychedelic-assisted therapy should be conceptualized as a complex intervention that combines pharmacological and psychotherapeutic components. Full article
(This article belongs to the Section Neuropharmacology and Neuropathology)
15 pages, 5848 KB  
Article
A Software Defined Radio Implementation of Non-Orthogonal Multiple Access with Reliable Decoding via Error Correction
by Dipanjan Adhikary and Eirini Eleni Tsiropoulou
Future Internet 2026, 18(3), 128; https://doi.org/10.3390/fi18030128 - 2 Mar 2026
Viewed by 397
Abstract
Non-orthogonal multiple access (NOMA) has been identified as one of the key technologies for 6G capacity and latency gains. However, existing implementation challenges of the NOMA technique, related to carrier, timing, and phase offsets, successive interference cancellation (SIC) error propagation, packet loss dynamics, [...] Read more.
Non-orthogonal multiple access (NOMA) has been identified as one of the key technologies for 6G capacity and latency gains. However, existing implementation challenges of the NOMA technique, related to carrier, timing, and phase offsets, successive interference cancellation (SIC) error propagation, packet loss dynamics, and host to software defined radios processing jitter, create obstacles in the practical implementation of NOMA. This paper bridges the gap between theory and hardware by introducing a complete two-user NOMA transmit–receive chain on a low-cost ADALM-Pluto software defined radio (SDR) platform. The proposed implementation integrates matched filtering, offset estimation and correction, SIC with waveform reconstruction and subtraction, and reliability reinforcement via rate-1/2 convolutional coding with Viterbi decoding. We have performed a complete validation of the proposed design in both downlink and uplink modes. We collected data regarding the packet-level and system-related metrics, such as end-to-end latency, bit error rate (BER), and success rate. Moreover, we demonstrate the implementation of the uplink NOMA without need for expensive GPS-disciplined oscillators by leveraging the Pluto Rev-C dual-transmit channels that share a common oscillator. We present detailed experimental results at 915 MHz with BPSK modulation for the downlink performance, and also show a full implementation of the uplink NOMA. We observe excellent reliability for the downlink setup and good reliability for the uplink system. Full article
(This article belongs to the Special Issue State-of-the-Art Future Internet Technology in USA 2026–2027)
Show Figures

Graphical abstract

13 pages, 498 KB  
Article
Physical Activity as a Predictor of Emotional Quality of Life in Postmenopausal Women
by Adrianna Maria Kosior-Lara, Jacek Wąsik, Małgorzata Kuchta, Dorota Ortenburger and Agnieszka Pluto-Prądzyńska
Healthcare 2026, 14(4), 466; https://doi.org/10.3390/healthcare14040466 - 12 Feb 2026
Viewed by 271
Abstract
Introduction: The postmenopausal period is characterized by significant biological and psychosocial changes that can impact women’s physical activity levels and overall quality of life. Physical activity is recognized as one of the key modifiable factors promoting mental health. Still, its role in [...] Read more.
Introduction: The postmenopausal period is characterized by significant biological and psychosocial changes that can impact women’s physical activity levels and overall quality of life. Physical activity is recognized as one of the key modifiable factors promoting mental health. Still, its role in shaping the emotional domains of quality of life in postmenopausal women remains insufficiently recognized. The study aimed to assess the relationship between physical activity levels and quality of life in postmenopausal women, with particular emphasis on the emotional domains of quality of life, and to determine the role of selected sociodemographic factors. Materials and Methods: The cross-sectional study included 174 postmenopausal women. Physical activity levels were assessed using the International Physical Activity Questionnaire (IPAQ), while quality of life was assessed using the WHOQOL questionnaire. Descriptive statistics, Kruskal-Wallis tests with Dunn-Bonferroni post-hoc analysis, and multiple linear regression were used, taking into account age and BMI. Results: Higher levels of physical activity were significantly associated with better emotional well-being, higher energy levels, and a more favourable overall health assessment. Physical activity emerged as the strongest and independent variable statistically associated with the emotional domains of quality of life. Educational level and occupational group differentiated the level of physical activity and emotional well-being. Conclusions: Physical activity is an important and independent predictor of emotional quality of life in postmenopausal women. The results emphasize the importance of promoting physical activity as part of mental health prevention in this population. Full article
Show Figures

Figure 1

22 pages, 501 KB  
Article
Initial Conditions for Tidal Synchronisation of a Planet by Its Moon
by Valeri V. Makarov and Michael Efroimsky
Universe 2025, 11(9), 309; https://doi.org/10.3390/universe11090309 - 10 Sep 2025
Cited by 1 | Viewed by 1164
Abstract
Moons tidally interact with their host planets and stars. A close moon is quickly synchronised by the planet or becomes captured in a higher spin–orbit resonance. However, the planet requires much more time to significantly alter its rotation rate under the influence of [...] Read more.
Moons tidally interact with their host planets and stars. A close moon is quickly synchronised by the planet or becomes captured in a higher spin–orbit resonance. However, the planet requires much more time to significantly alter its rotation rate under the influence of moon-generated tides. The situation becomes more complex for close-in planets, as star-generated tides come into play and compete with moon-generated tides. The synchronisation of the planet by its moon changes the tidal dynamics of the entire star–planet–moon system and can lead to long-term stable configurations. In this paper, we demonstrate that a certain initial condition must be met for this to occur. Based on the angular momentum conservation, the derived condition is universal and bears no dependence upon the planet’s internal structure or tidal dissipation model. It is applicable to dwindling systems as well as to tidally expanding orbits and cases of initially retrograde motion. We present calculations for specific planet–moon systems (Earth and the Moon; Neptune and Triton; Venus and its hypothetical presently extinct moon Neith; Mars, Phobos, and Deimos; and Pluto and Charon) to constrain dynamically plausible formation and evolution scenarios. Among other things, our analysis prompts the question of whether Pluto and Charon evolved into their current state from an initially more compact configuration (as is commonly assumed) or from a wider orbit—a topic that will be discussed at length elsewhere. Our results are equally applicable to exoplanets. For example, if asynchronous close-in exoplanets are detected, the possibility of tidal synchronisation by an exomoon should be considered. Full article
Show Figures

Figure 1

15 pages, 2504 KB  
Technical Note
Adaptive near Real-Time RFI Mitigation Using Karhunen–Loève Transform
by Raúl Díez-García and Adriano Camps
Remote Sens. 2025, 17(15), 2578; https://doi.org/10.3390/rs17152578 - 24 Jul 2025
Viewed by 1055
Abstract
This paper presents a near real-time implementation of the Karhunen–Loève Transform (KLT) for Radio Frequency Interference (RFI) mitigation in microwave radiometry. KLT is a powerful, data-adaptive technique capable of adjusting to various signal types by estimating the covariance matrix of the incoming signal [...] Read more.
This paper presents a near real-time implementation of the Karhunen–Loève Transform (KLT) for Radio Frequency Interference (RFI) mitigation in microwave radiometry. KLT is a powerful, data-adaptive technique capable of adjusting to various signal types by estimating the covariance matrix of the incoming signal and segmenting its eigenvectors to form an effective RFI basis. In this paper, the KLT is evaluated with real signals in laboratory conditions, aiming to characterize its performance in realistic conditions. To that effect, the dual Rx/Tx capability of a Pluto SDR is used to generate and capture RFI. The main mitigation metrics are computed for the KLT and other commonly used mitigation methods. In addition, while previous studies have shown the effectiveness of offline processing of recorded I/Q data, real-time mitigation is often necessary. Given the computational cost of eigendecomposition, this work introduces a low-complexity solution using the “economy covariance” approach alongside asynchronous covariance decomposition. The proposed implementation, realized within the GNU Radio framework, demonstrates the practical feasibility of real-time KLT-based mitigation and underscores its potential for improving signal integrity in digital radiometers operating under dynamic RFI conditions. Full article
(This article belongs to the Special Issue Advances in Microwave Remote Sensing for Earth Observation (EO))
Show Figures

Figure 1

21 pages, 10161 KB  
Article
Supervised Semantic Segmentation of Urban Area Using SAR
by Joanna Pluto-Kossakowska and Sandhi Wangiyana
Remote Sens. 2025, 17(9), 1606; https://doi.org/10.3390/rs17091606 - 1 May 2025
Cited by 3 | Viewed by 2031
Abstract
Cyclical analyses of dynamic changes in urban areas are critical and necessary for policymakers and societies. Remote sensing data processing methods are currently in place to determine the distribution of built-up and sealed areas on global and continental scales. However, there is a [...] Read more.
Cyclical analyses of dynamic changes in urban areas are critical and necessary for policymakers and societies. Remote sensing data processing methods are currently in place to determine the distribution of built-up and sealed areas on global and continental scales. However, there is a lack of research on distinguishing among urban classes at a larger scale for a city or its district. SAR sensors register features of urban areas that, when further processed, such as textures, can help in automatic recognition. We present a novel dataset for urban classification focusing on density analysis. Machine learning methods, including a selection of artificial neural networks and other classifiers, have been used to distinguish among different classes of built-up areas, as defined according to the Urban Atlas database. This dataset was used to establish benchmarks for classification, conduct verification tests, and evaluate accuracy. The C-band of Sentinel-1 images, for the same study areas as ICEYE X-band images and their texture derivatives, were used to classify variants. Better results were obtained using the CNN-based Unet model. The best overall accuracy was 79% for the X-band and 73% for the C-band datasets. The results indicate that the single-polarization X-band is more suitable for this classification despite the presence of more SAR features in the C-band with dual polarization. Full article
(This article belongs to the Special Issue Applications of SAR for Environment Observation Analysis)
Show Figures

Figure 1

19 pages, 1598 KB  
Article
Anomalous Radio Signal Detection Based on an Adversarial Autoencoder
by Huan Wang, Yushu Luo, Fan Long and Yaxin Fu
Electronics 2025, 14(9), 1785; https://doi.org/10.3390/electronics14091785 - 27 Apr 2025
Viewed by 2120
Abstract
In complex and ever-changing electromagnetic environments, a large number of anomalous radio signals illegally occupy spectrum resources and interfere with legitimate communications. To address this challenge, this paper proposes an anomalous radio signal detection method based on an Adversarial Autoencoder (AAE). The method [...] Read more.
In complex and ever-changing electromagnetic environments, a large number of anomalous radio signals illegally occupy spectrum resources and interfere with legitimate communications. To address this challenge, this paper proposes an anomalous radio signal detection method based on an Adversarial Autoencoder (AAE). The method comprises an autoencoder and a Generative Adversarial Network. The autoencoder is used to extract time–frequency features of radio signals, generate latent feature vectors, and reconstruct the signals. By comparing the original signals to their reconstructions, anomalies can be rapidly and accurately detected via the reconstruction error. Meanwhile, the adversarial network regularizes the latent vectors produced by the encoder, forcing them to approximate a predefined prior distribution, thereby improving the model’s generative capability and enhancing the structural consistency of the latent representations. We used a Pluto SDR device to capture real-world radio data in the field, performed frequency-domain analysis, and constructed a high-resolution power spectrum time–frequency dataset for model training and testing. Experimental results show that the proposed method achieves a detection accuracy of 95.5% for anomalous radio signals, exhibiting excellent performance on multiple metrics across diverse scenarios. Full article
Show Figures

Graphical abstract

19 pages, 637 KB  
Review
An Objective Classification Scheme for Solar-System Bodies Based on Surface Gravity
by Dimitris M. Christodoulou, Silas G. T. Laycock and Demosthenes Kazanas
Galaxies 2024, 12(6), 74; https://doi.org/10.3390/galaxies12060074 - 6 Nov 2024
Cited by 1 | Viewed by 3034
Abstract
We introduce succinct and objective definitions of the various classes of objects in the solar system. Unlike the formal definitions adopted by the International Astronomical Union in 2006, group separation is obtained from measured physical properties of the objects. Thus, this classification scheme [...] Read more.
We introduce succinct and objective definitions of the various classes of objects in the solar system. Unlike the formal definitions adopted by the International Astronomical Union in 2006, group separation is obtained from measured physical properties of the objects. Thus, this classification scheme does not rely on orbital/environmental factors that are subject to debate—the physical parameters are intrinsic properties of the objects themselves. Surface gravity g is the property that single-handedly differentiates (a) planets from all other objects (and it leaves no room for questioning the demotion of Pluto), and (b) the six largest (g>1 m s2) of the large satellites from dwarf planets. Large satellites are separated from small satellites by their sizes and masses/densities, which may serve as higher-order qualifiers for class membership. Size considerations are also sufficient for the classification of (i) main-belt asteroids (except possibly Ceres) as small solar-system bodies similar in physical properties to the small satellites; and (ii) a group of large Kuiper-belt objects as dwarf planets similar in physical properties to the large (but not the largest) satellites in our solar system. The selection criteria are simple and clear and reinforce the argument that body shape and environmental factors need not be considered in stipulating class membership of solar as well as extrasolar bodies. Full article
Show Figures

Figure 1

20 pages, 3055 KB  
Article
Effects of Postprandial Factors and Second Meal Intake Time on Bioequivalence Investigation of Tadalafil-Loaded Orodispersible Films in Human Volunteers
by Su-Jun Park, Myung-Chul Gil, Bong-Sang Lee, Minji Jung and Beom-Jin Lee
Pharmaceutics 2024, 16(7), 915; https://doi.org/10.3390/pharmaceutics16070915 - 9 Jul 2024
Cited by 1 | Viewed by 5779
Abstract
Tadalafil (TD) has poor water solubility but is well absorbed without affecting food intake when administered orally. Owing to patient adherence and therapeutic characteristics, a TD-loaded orodispersible film (TDF) is preferable. However, the mechanistic role of dietary status on the clinical pharmacokinetic analysis [...] Read more.
Tadalafil (TD) has poor water solubility but is well absorbed without affecting food intake when administered orally. Owing to patient adherence and therapeutic characteristics, a TD-loaded orodispersible film (TDF) is preferable. However, the mechanistic role of dietary status on the clinical pharmacokinetic analysis of TDF in human volunteers should be investigated because the gastrointestinal environment varies periodically according to meal intervals, although commercial 20 mg TD-loaded tablets (TD-TAB, Cialis® tablet) may be taken with or without food. TDF was prepared by dispersing TD in an aqueous solution and polyethylene glycol 400 to ensure good dispersibility of the TD particles. In the fasting state, each T/R of Cmax and AUC between TD-TAB and TDF showed bioequivalence with 0.936–1.105 and 1.012–1.153, respectively, and dissolution rates in 1000 mL water containing 0.5% SLS were equivalent. In contrast, TDF was not bioequivalent to TD-TAB under the fed conditions by the Cmax T/R of 0.610–0.798. The increased dissolution rate of TDF via the micronization of drug particles and the reduced viscosity of the second meal content did not significantly affect the bioequivalence. Interestingly, an increase in second meal intake time from 4 h to 6 h resulted in the bioequivalence by the Cmax T/R of 0.851–0.998 of TD-TAB and TDF. The predictive diffusion direction model for physical digestion of TD-TAB and TDF in the stomach after the first and second meal intake was successfully simulated using computational fluid dynamics modeling, accounting for the delayed drug diffusion of TDF caused by prolonged digestion of stomach contents under postprandial conditions. Full article
Show Figures

Graphical abstract

17 pages, 648 KB  
Article
Quasi-Analytical Solution of Kepler’s Equation as an Explicit Function of Time
by A. N. Beloiarov, V. A. Beloiarov, R. C. Cruz-Gómez, C. O. Monzón and J. L. Romero
Mathematics 2024, 12(13), 2108; https://doi.org/10.3390/math12132108 - 4 Jul 2024
Cited by 2 | Viewed by 2027
Abstract
Although Kepler’s laws can be empirically proven by applying Newton’s laws to the dynamics of two particles attracted by gravitational interaction, an explicit formula for the motion as a function of time remains undefined. This paper proposes a quasi-analytical solution to address this [...] Read more.
Although Kepler’s laws can be empirically proven by applying Newton’s laws to the dynamics of two particles attracted by gravitational interaction, an explicit formula for the motion as a function of time remains undefined. This paper proposes a quasi-analytical solution to address this challenge. It approximates the real dynamics of celestial bodies with a satisfactory degree of accuracy and minimal computational cost. This problem is closely related to Kepler’s equation, as solving the equations of motion as a function of time also provides a solution to Kepler’s equation. The results are presented for each planet of the solar system, including Pluto, and the solution is compared against real orbits. Full article
(This article belongs to the Special Issue Advances in Computational Mathematics and Applied Mathematics)
Show Figures

Figure 1

13 pages, 251 KB  
Article
Efficiency of Various Tiling Strategies for the Zuker Algorithm Optimization
by Piotr Blaszynski, Marek Palkowski, Wlodzimierz Bielecki and Maciej Poliwoda
Mathematics 2024, 12(5), 728; https://doi.org/10.3390/math12050728 - 29 Feb 2024
Viewed by 1958
Abstract
This paper focuses on optimizing the Zuker RNA folding algorithm, a bioinformatics task with non-serial polyadic dynamic programming and non-uniform loop dependencies. The intricate dependence pattern is represented using affine formulas, enabling the automatic application of tiling strategies via the polyhedral method. Three [...] Read more.
This paper focuses on optimizing the Zuker RNA folding algorithm, a bioinformatics task with non-serial polyadic dynamic programming and non-uniform loop dependencies. The intricate dependence pattern is represented using affine formulas, enabling the automatic application of tiling strategies via the polyhedral method. Three source-to-source compilers—PLUTO, TRACO, and DAPT—are employed, utilizing techniques such as affine transformations, the transitive closure of dependence relation graphs, and space–time tiling to generate cache-efficient codes, respectively. A dedicated transpose code technique for non-serial polyadic dynamic programming codes is also examined. The study evaluates the performance of these optimized codes for speed-up and scalability on multi-core machines and explores energy efficiency using RAPL. The paper provides insights into related approaches and outlines future research directions within the context of bioinformatics algorithm optimization. Full article
(This article belongs to the Special Issue Numerical Algorithms: Computer Aspects and Related Topics)
Show Figures

Figure 1

21 pages, 6058 KB  
Article
Investigation of Cannabinoid Acid/Cyclodextrin Inclusion Complex for Improving Physicochemical and Biological Performance
by Chulhun Park, Jieyu Zuo, Myung-Chul Gil, Raimar Löbenberg and Beom-Jin Lee
Pharmaceutics 2023, 15(11), 2533; https://doi.org/10.3390/pharmaceutics15112533 - 26 Oct 2023
Cited by 13 | Viewed by 4004
Abstract
This study aimed to investigate the enhancement of cannabinoid acid solubility and stability through the formation of a cannabinoid acid/cyclodextrin (CD) inclusion complex. Two cannabinoid acids, tetrahydro-cannabinolic acid (THCA) and cannabidiolic acid (CBDA), were selected as a model drug along with five types [...] Read more.
This study aimed to investigate the enhancement of cannabinoid acid solubility and stability through the formation of a cannabinoid acid/cyclodextrin (CD) inclusion complex. Two cannabinoid acids, tetrahydro-cannabinolic acid (THCA) and cannabidiolic acid (CBDA), were selected as a model drug along with five types of CD: α-cyclodextrin (α-CD), β-cyclodextrin (β-CD), γ-cyclodextrin (γ-CD), hydroxypropyl-β-cyclodextrin (HP-β-CD), and methylated-β-cyclodextrin (M-β-CD). Phase solubility studies were conducted using various types of CD to determine the complex stoichiometry. The preparation methods of the CD inclusion complex were optimized by adjusting the loading pH solution and the drying processes (spray-drying, freeze-drying, spray-freeze-drying). The drying process of the cannabinoid acid/M-β-CD inclusion complex was further optimized through the spray-freeze-drying method. These CD complexes were characterized using solubility determination, differential scanning calorimetry (DSC), field-emission scanning electron microscopy (FE-SEM), X-ray diffraction (XRD), and 1H NMR spectroscopy. DSC, XRD, and FE-SEM studies confirmed the non-crystalline state of the cannabinoid acid/CD inclusion complex. The permeation of THCA or CBDA from the M-β-CD spray-freeze-dried inclusion complex was highly improved compared to those of cannabis ethanolic extracts under simulated physiological conditions. The stability of the cannabinoid acid/M-β-CD inclusion complex was maintained for 7 days in a simulated physiological condition. Furthermore, the minimum inhibitory concentration of cannabinoid acid/M-β-CD inclusion complex had superior anti-cancer activity in MCF-7 breast cancer cell lines compared to cannabinoid acid alone. The improved physicochemical and biological performances indicated that these CD inclusion complexes could provide a promising option for loading lipophilic cannabinoids in cannabis-derived drug products. Full article
(This article belongs to the Special Issue Therapeutic Cannabinoid Formulation Development and Delivery Systems)
Show Figures

Graphical abstract

14 pages, 296 KB  
Article
Time and Energy Benefits of Using Automatic Optimization Compilers for NPDP Tasks
by Marek Palkowski and Mateusz Gruzewski
Electronics 2023, 12(17), 3579; https://doi.org/10.3390/electronics12173579 - 24 Aug 2023
Cited by 4 | Viewed by 1674
Abstract
In this article, we analyze the program codes generated automatically using three advanced optimizers: Pluto, Traco, and Dapt, which are specifically tailored for the NPDP benchmark set. This benchmark set comprises ten program loops, predominantly from the field of bioinformatics. The codes exemplify [...] Read more.
In this article, we analyze the program codes generated automatically using three advanced optimizers: Pluto, Traco, and Dapt, which are specifically tailored for the NPDP benchmark set. This benchmark set comprises ten program loops, predominantly from the field of bioinformatics. The codes exemplify dynamic programming, a challenging task for well-known tools used in program loop optimization. Given the intricacy involved, we opted for three automatic compilers based on the polyhedral model and various loop-tiling strategies. During our evaluation of the code’s performance, we meticulously considered locality and concurrency to accurately estimate time and energy efficiency. Notably, we dedicated significant attention to the latest Dapt compiler, which applies space–time loop tiling to generate highly efficient code for the NPDP benchmark suite loops. By employing the aforementioned optimizers and conducting an in-depth analysis, we aim to demonstrate the effectiveness and potential of automatic transformation techniques in enhancing the performance and energy efficiency of dynamic programming codes. Full article
(This article belongs to the Special Issue Knowledge Engineering and Data Mining Volume II)
Show Figures

Figure 1

22 pages, 4341 KB  
Article
Emergency Communication System Based on Wireless LPWAN and SD-WAN Technologies: A Hybrid Approach
by Vasileios Cheimaras, Nikolaos Peladarinos, Nikolaos Monios, Spyridon Daousis, Spyridon Papagiakoumos, Panagiotis Papageorgas and Dimitrios Piromalis
Signals 2023, 4(2), 315-336; https://doi.org/10.3390/signals4020017 - 30 Apr 2023
Cited by 20 | Viewed by 7558
Abstract
Emergency Communication Systems (ECS) are network-based systems that may enable people to exchange information during crises and physical disasters when basic communication options have collapsed. They may be used to restore communication in off-grid areas or even when normal telecommunication networks have failed. [...] Read more.
Emergency Communication Systems (ECS) are network-based systems that may enable people to exchange information during crises and physical disasters when basic communication options have collapsed. They may be used to restore communication in off-grid areas or even when normal telecommunication networks have failed. These systems may use technologies such as Low-Power Wide-Area(LPWAN) and Software-Defined Wide Area Networks (SD-WAN), which can be specialized as software applications and Internet of Things (IoT) platforms. In this article, we present a comprehensive discussion of the existing ECS use cases and current research directions regarding the use of unconventional and hybrid methods for establishing communication between a specific site and the outside world. The ECS system proposed and simulated in this article consists of an autonomous wireless 4G/LTE base station and a LoRa network utilizing a hybrid IoT communication platform combining LPWAN and SD-WAN technologies. The LoRa-based wireless network was simulated using Network Simulator 3 (NS3), referring basically to firm and sufficient data transfer between an appropriate gateway and LP-WAN sensor nodes to provide trustworthy communications. The proposed scheme provided efficient data transfer posing low data losses by optimizing the installation of the gateway within the premises, while the SD-WAN scheme that was simulated using the MATLAB simulator and LTE Toolbox in conjunction with an ADALM PLUTO SDR device proved to be an outstanding alternative communication solution as well. Its performance was measured after recombining all received data blocks, leading to a beneficial proposal to researchers and practitioners regarding the benefits of using an on-premises IoT communication platform. Full article
(This article belongs to the Special Issue Internet of Things for Smart Planet: Present and Future)
Show Figures

Figure 1

12 pages, 2204 KB  
Article
Comparison of Low-Cost 5G Electromagnetic Field Sensors
by Kenneth Deprez, Loek Colussi, Erdal Korkmaz, Sam Aerts, Derek Land, Stephan Littel, Leen Verloock, David Plets, Wout Joseph and John Bolte
Sensors 2023, 23(6), 3312; https://doi.org/10.3390/s23063312 - 21 Mar 2023
Cited by 13 | Viewed by 5326
Abstract
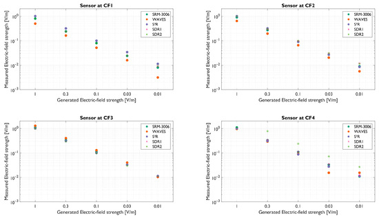
This paper compares different low-cost sensors that can measure (5G) RF-EMF exposure. The sensors are either commercially available (off-the-shelf Software Defined Radio (SDR) Adalm Pluto) or constructed by a research institution (i.e., imec-WAVES, Ghent University and Smart Sensor Systems research group (S³R), The [...] Read more.
This paper compares different low-cost sensors that can measure (5G) RF-EMF exposure. The sensors are either commercially available (off-the-shelf Software Defined Radio (SDR) Adalm Pluto) or constructed by a research institution (i.e., imec-WAVES, Ghent University and Smart Sensor Systems research group (S³R), The Hague University of Applied Sciences). Both in-lab (GTEM cell) and in-situ measurements have been performed for this comparison. The in-lab measurements tested the linearity and sensitivity, which can then be used to calibrate the sensors. The in-situ testing confirmed that the low-cost hardware sensors and SDR can be used to assess the RF-EMF radiation. The variability between the sensors was 1.78 dB on average, with a maximum deviation of 5.26 dB. Values between 0.09 V/m and 2.44 V/m were obtained at a distance of about 50 m from the base station. These devices can be used to provide the general public and governments with temporal and spatial 5G electromagnetic field values. Full article
(This article belongs to the Section Electronic Sensors)
Show Figures

Figure 1

Back to TopTop