Sign in to use this feature.

Years

Between: -

Subjects

remove_circle_outline
remove_circle_outline
remove_circle_outline
remove_circle_outline
remove_circle_outline

Journals

Article Types

Countries / Regions

Search Results (8)

Search Parameters:
Keywords = Pied de Cuve

Order results
Result details
Results per page
Select all
Export citation of selected articles as:
13 pages, 2021 KB  
Article
The Impact of the Inoculation of Different Pied de Cuve on the Chemical and Organoleptic Profiles of Wines
by Katherine Bedoya, Albert Mas, Nicolas Rozès, Carla Jara and María del Carmen Portillo
Microorganisms 2024, 12(8), 1655; https://doi.org/10.3390/microorganisms12081655 - 13 Aug 2024
Cited by 2 | Viewed by 1697
Abstract
Controlling the microorganisms involved in alcoholic fermentation during wine production can be achieved by adding a small quantity of spontaneously fermenting must to freshly crushed grapes, a technique known as pied de cuve (PdC). This method not only serves as an inoculation starter [...] Read more.
Controlling the microorganisms involved in alcoholic fermentation during wine production can be achieved by adding a small quantity of spontaneously fermenting must to freshly crushed grapes, a technique known as pied de cuve (PdC). This method not only serves as an inoculation starter but also enhances the microbial footprint unique to each wine region. Recent studies have confirmed that wines inoculated with PdC exhibit efficient fermentation kinetics comparable to those inoculated with commercial strains of Saccharomyces cerevisiae. However, further research is required to draw robust conclusions about the chemical and sensory impacts of PdC-inoculated wines. In this study, we examined the chemical and sensory effects of the PdC technique across three different harvests: Muscat of Alexandria (Spain, harvests 2022 and 2023) and Sauvignon Blanc (Chile, harvest 2023). Each PdC was prepared using various stressors (sulfur dioxide, ethanol, and temperature). Our findings revealed that wines produced with PdC exhibited similar fermentation kinetics and sensory profiles to those inoculated with commercial strains. Notably, PdC fermentations resulted in lower concentrations of acetic acid compared to both the commercial strain and spontaneous fermentations. The sensory analysis indicated that PdC wines significantly differed from those made with commercial strains, with PdC wines displaying more pronounced tropical notes. These results suggest that the PdC technique, particularly when using specific stressors, can maintain desirable fermentation characteristics while enhancing certain sensory attributes, offering a viable alternative to traditional inoculation methods. Full article
(This article belongs to the Special Issue Microbiology of the Grape-Wine System)
Show Figures

Figure 1

13 pages, 6471 KB  
Article
Yeasts Inoculation Effect on Bacterial Development in Carbonic Maceration Wines Elaboration
by Ana Rosa Gutiérrez, Pilar Santamaría, Lucía González-Arenzana, Patrocinio Garijo, Carmen Olarte and Susana Sanz
Foods 2023, 12(14), 2755; https://doi.org/10.3390/foods12142755 - 20 Jul 2023
Cited by 5 | Viewed by 1843
Abstract
Carbonic maceration (CM) vinification is a very traditional method that allows saving energy without great equipment investment, obtaining high-quality wines. However, due to its particularities, CM winemaking implies a higher risk of microbial alteration. This work studies the evolution of bacterial population along [...] Read more.
Carbonic maceration (CM) vinification is a very traditional method that allows saving energy without great equipment investment, obtaining high-quality wines. However, due to its particularities, CM winemaking implies a higher risk of microbial alteration. This work studies the evolution of bacterial population along carbonic maceration wines elaboration with and without yeast inoculation. In the same way, two strategies of yeast inoculation were studied: “pied de cuve” and Active Dry Yeasts (ADY) seed. For this purpose, three conditions were assayed: spontaneous fermentation (without inoculation), “pied de cuve” technology, and ADY inoculation. For each condition, two winemaking methods were compared: carbonic maceration and the standard method of destemming and crushing (DC). The bacterial evolution (lactic acid and acetic acid bacteria) was followed in different fermentation stages. Finally, the wines obtained were analysed (pH and volatile acidity). In the non-inoculated wines produced by CM, high development of the bacterial population was observed (counts of acetic acid bacteria around 4.3 log cfu/mL), and finished wines presented high values of volatile acidity (>1.5 g/L), which did not occur in the inoculated vinifications (counts of acetic acid bacteria around 1.5 log cfu/mL and 0.5 g/l of volatile acidity). Thus, the control of yeast population, as a “pied de cuve” as ADY seed, seems to be an effective tool to avoid bacterial alterations in CM vinifications. Full article
Show Figures

Figure 1

12 pages, 4182 KB  
Article
Metschnikowia pulcherrima in Cold Clarification: Biocontrol Activity and Aroma Enhancement in Verdicchio Wine
by Alice Agarbati, Laura Canonico, Maurizio Ciani and Francesca Comitini
Fermentation 2023, 9(3), 302; https://doi.org/10.3390/fermentation9030302 - 20 Mar 2023
Cited by 21 | Viewed by 3628
Abstract
Non-Saccharomyces wine yeasts are not only proposed to improve the sensory profile of wine but also for several distinctive promising features. Among them, biocontrol action at different steps of the wine production chain could be a suitable strategy to reduce the use [...] Read more.
Non-Saccharomyces wine yeasts are not only proposed to improve the sensory profile of wine but also for several distinctive promising features. Among them, biocontrol action at different steps of the wine production chain could be a suitable strategy to reduce the use of sulfur dioxide. In this work, the activity of a selected strain of Metschnikowia pulcherrima was evaluated as inoculum in cold clarification with the aim to reduce SO2 and improve the aromatic profile of the wine. Fermentation processes were carried out at the winery level for two consecutive vintages using a pied de cuve as the starter inoculum coming from indigenous Saccharomyces cerevisiae strains. M. pulcherrima revealed an effective bio-protectant action during the pre-fermentative stage even if the timely and appropriate starter inoculum in the two years permitted the effective control of wild yeasts during the fermentation also in the control trials. In general, the main oenological characters did not show differences if compared with an un-inoculated trial, while the inoculum of M. pucherrima in cold clarification determined an enhancement of ethyl hexanoate, isobutanol, acetaldehyde, and geraniol even if they are considered in different amounts for each year. Indeed, the analytical and sensory profiles of wines were also influenced by the vintage and variation pied the cuve population. Nonetheless, the overall results indicated that M. pulcherrima led to biocontrol action and an improvement of the aromatic and sensory profile of the wine. Full article
(This article belongs to the Special Issue Aroma Compound Evolution during Fermentation)
Show Figures

Figure 1

11 pages, 2589 KB  
Article
Real Time Monitoring of Wine Vinegar Supply Chain through MOX Sensors
by Dario Genzardi, Giuseppe Greco, Estefanía Núñez-Carmona and Veronica Sberveglieri
Sensors 2022, 22(16), 6247; https://doi.org/10.3390/s22166247 - 19 Aug 2022
Cited by 14 | Viewed by 3294
Abstract
Vinegar is a fermented product that is appreciated world-wide. It can be obtained from different kinds of matrices. Specifically, it is a solution of acetic acid produced by a two stage fermentation process. The first is an alcoholic fermentation, where the sugars are [...] Read more.
Vinegar is a fermented product that is appreciated world-wide. It can be obtained from different kinds of matrices. Specifically, it is a solution of acetic acid produced by a two stage fermentation process. The first is an alcoholic fermentation, where the sugars are converted in ethanol and lower metabolites by the yeast action, generally Saccharomyces cerevisiae. This was performed through a technique that is expanding more and more, the so-called “pied de cuve”. The second step is an acetic fermentation where acetic acid bacteria (AAB) action causes the conversion of ethanol into acetic acid. Overall, the aim of this research is to follow wine vinegar production step by step through the volatiloma analysis by metal oxide semiconductor MOX sensors developed by Nano Sensor Systems S.r.l. This work is based on wine vinegar monitored from the grape must to the formed vinegar. The monitoring lasted 4 months and the analyses were carried out with a new generation of Electronic Nose (EN) engineered by Nano Sensor Systems S.r.l., called Small Sensor Systems Plus (S3+), equipped with an array of six gas MOX sensors with different sensing layers each. In particular, real-time monitoring made it possible to follow and to differentiate each step of the vinegar production. The principal component analysis (PCA) method was the statistical multivariate analysis utilized to process the dataset obtained from the sensors. A closer look to PCA graphs affirms how the sensors were able to cluster the production steps in a chronologically correct manner. Full article
Show Figures

Figure 1

16 pages, 1130 KB  
Article
Influence of the Dry Yeast Preparation Method on Final Sparkling Wine Characteristics
by Carmen Berbegal, Lucía Polo, M. José García-Esparza, Inmaculada Álvarez, Fernando Zamora, Sergi Ferrer and Isabel Pardo
Fermentation 2022, 8(7), 313; https://doi.org/10.3390/fermentation8070313 - 30 Jun 2022
Cited by 9 | Viewed by 4017
Abstract
The effect of preparing the commercial yeast prise de mousse S. cerevisiae IOC 18-2007 on the second fermentation kinetics of a Macabeo white base wine was evaluated. The influence of yeast preparation on the final “Cava” sparkling wines was determined. The medium glucose, [...] Read more.
The effect of preparing the commercial yeast prise de mousse S. cerevisiae IOC 18-2007 on the second fermentation kinetics of a Macabeo white base wine was evaluated. The influence of yeast preparation on the final “Cava” sparkling wines was determined. The medium glucose, peptone, yeast extract (GPY medium), and the characteristic classic pied de cuve procedure were used to prepare the inoculum, which was placed besides a tirage liqueur inside bottles in which a second fermentation took place by the “traditional method”. The fermentation kinetics were similar for the first 60 days regardless of the employed yeast inoculum preparation. In both cases, glucose was exhausted and a few grams of fructose remained on day 30. The ethanol concentration after 60 days was the same in all of the wines. The sparkling wines inoculated with the GPY-grown yeasts showed higher titratable acidity, lower total polysaccharide and protein contents, and greater foamability (HM) and foam stability (HS). Regarding volatile compounds, these wines contained higher esters, fatty acids, higher alcohols, and γ-butyrolactone. Differences in the wine’s visual and flavor attributes were not significant no matter what inoculum was used. However, the aroma score was significantly higher in the wines inoculated with the pied de cuve-prepared yeasts. Full article
(This article belongs to the Special Issue Advances in Wine Fermentation)
Show Figures

Figure 1

19 pages, 1130 KB  
Article
Dominance of S. cerevisiae Commercial Starter Strains during Greco di Tufo and Aglianico Wine Fermentations and Evaluation of Oenological Performances of Some Indigenous/Residential Strains
by Maria Aponte, Raffaele Romano, Clizia Villano and Giuseppe Blaiotta
Foods 2020, 9(11), 1549; https://doi.org/10.3390/foods9111549 - 26 Oct 2020
Cited by 11 | Viewed by 2651
Abstract
In order to evaluate dominance/implantation of starter cultures for wine fermentation, both commercial starters and wild strains were monitored during the fermentation of Greco di Tufo (GR) and Aglianico of Taurasi (AGL) musts. Preliminary characterization of commercial strains was carried out by several [...] Read more.
In order to evaluate dominance/implantation of starter cultures for wine fermentation, both commercial starters and wild strains were monitored during the fermentation of Greco di Tufo (GR) and Aglianico of Taurasi (AGL) musts. Preliminary characterization of commercial strains was carried out by several molecular markers. Five fermentations—four starter-inoculated and one spontaneous—were carried out in duplicates by using grapes from GR and AGL. Trials were monitored, and yeast cultures were isolated within the dominant microflora. Comparison of Interdelta patterns allowed to assess the real occurrence of both starters and indigenous strains. A high genetic diversity within S. cerevisiae strains was detected. In starter-led fermentations (except for few cases), in addition to the starter strains, indigenous S. cerevisiae biotypes were found, as well. Native strains isolated from replicates of the same fermentation showed different genetic profiles. Spontaneous fermentations were conducted, during the first 5 days, by non-Saccharomyces yeasts and, afterwards, by a high number (16 in the AGL and 20 in the GR) of S. cerevisiae biotypes. Indigenous biotypes isolated by GR revealed a high variability in oenological features and, in several cases, showed better performances than those recorded for commercial strains. The study further highlighted the low dominance of some commercial starter cultures. Moreover, autochthonous yeast strains proved to be sometimes more aggressive in terms of fermentation vigor in GR must, likely because better adapted to ecological and technological conditions occurring during winemaking. Finally, the use of such strains for production of autochthonous “pied de cuve” may be a useful strategy for lowering production cost of winemaking. Full article
(This article belongs to the Special Issue New Insights into Microbial Interactions for Sustainable Winemaking)
Show Figures

Figure 1

15 pages, 2274 KB  
Article
Colonization of Wild Saccharomyces cerevisiae Strains in a New Winery
by Hany Abdo, Claudia R. Catacchio, Mario Ventura, Pietro D’Addabbo, Francesco Maria Calabrese, Julie Laurent, Vanessa David-Vaizant, Hervé Alexandre, Michèle Guilloux-Bénatier and Sandrine Rousseaux
Beverages 2020, 6(1), 9; https://doi.org/10.3390/beverages6010009 - 12 Feb 2020
Cited by 11 | Viewed by 5946
Abstract
The aim of this work was to study the fungal colonization of a new winery over time, specifically for Saccharomyces cerevisiae. Therefore, we analyzed the flora present before the arrival of the first harvest on the floor, the walls and the equipment [...] Read more.
The aim of this work was to study the fungal colonization of a new winery over time, specifically for Saccharomyces cerevisiae. Therefore, we analyzed the flora present before the arrival of the first harvest on the floor, the walls and the equipment of this new winery by Illumina MiSeq. The genus Saccharomyces (≤0.3%) was detected on floor and equipment but the presence of S. cerevisiae species was not reported. Wild S. cerevisiae strains were isolated from a ‘Pied de Cuve’ used during the first vintage to ensure the alcoholic fermentation (AF). Among 25 isolates belonging to this species, 17 different strains were identified highlighting a great intraspecific diversity. S. cerevisiae strains were also isolated from different vats throughout the spontaneous fermentations during the first vintage. The following year, some of these strains were isolated again during AF. Some of them (four) were found in the winery equipment before the arrival of the third harvest suggesting a potential colonization by these strains. To better understand what promotes the yeast colonization of the winery’s environment, the ability to form a biofilm on solid surfaces for eight colonizing or non-colonizing strains was studied. This capacity, different according to the strains, could partly explain the colonization observed for certain strains. Full article
(This article belongs to the Special Issue Fermentation Process and Microbial Safety of Beverages)
Show Figures

Graphical abstract

22 pages, 3217 KB  
Communication
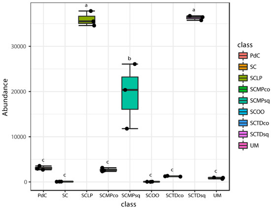
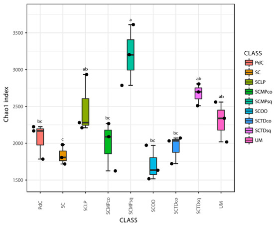
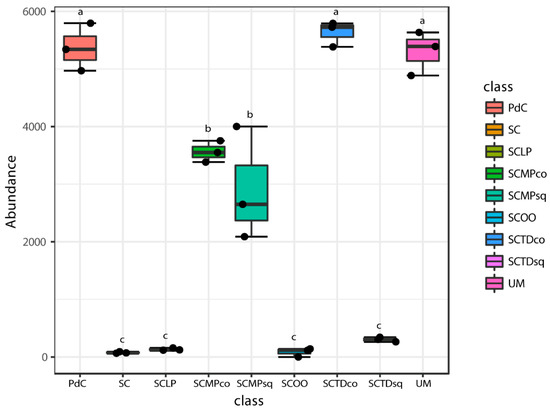
A Metagenomic-Based Approach for the Characterization of Bacterial Diversity Associated with Spontaneous Malolactic Fermentations in Wine
by Carmen Berbegal, Luigimaria Borruso, Mariagiovanna Fragasso, Maria Tufariello, Pasquale Russo, Lorenzo Brusetti, Giuseppe Spano and Vittorio Capozzi
Int. J. Mol. Sci. 2019, 20(16), 3980; https://doi.org/10.3390/ijms20163980 - 15 Aug 2019
Cited by 44 | Viewed by 5273
Abstract
This study reports the first application of a next generation sequencing (NGS) analysis. The analysis was designed to monitor the effect of the management of microbial resources associated with alcoholic fermentation on spontaneous malolactic consortium. Together with the analysis of 16S rRNA genes [...] Read more.
This study reports the first application of a next generation sequencing (NGS) analysis. The analysis was designed to monitor the effect of the management of microbial resources associated with alcoholic fermentation on spontaneous malolactic consortium. Together with the analysis of 16S rRNA genes from the metagenome, we monitored the principal parameters linked to MLF (e.g., malic and lactic acid concentration, pH). We encompass seven dissimilar concrete practices to manage microorganisms associated with alcoholic fermentation: Un-inoculated must (UM), pied-de-cuve (PdC), Saccharomyces cerevisiae (SC), S. cerevisiae and Torulaspora delbrueckii co-inoculated and sequentially inoculated, as well as S. cerevisiae and Metschnikowia pulcherrima co-inoculated and sequentially inoculated. Surprisingly, each experimental modes led to different taxonomic composition of the bacterial communities of the malolactic consortia, in terms of prokaryotic phyla and genera. Our findings indicated that, uncontrolled AF (UM, PdC) led to heterogeneous consortia associated with MLF (with a relevant presence of the genera Acetobacter and Gluconobacter), when compared with controlled AF (SC) (showing a clear dominance of the genus Oenococcus). Effectively, the SC trial malic acid was completely degraded in about two weeks after the end of AF, while, on the contrary, malic acid decarboxylation remained uncomplete after 7 weeks in the case of UM and PdC. In addition, for the first time, we demonstrated that both (i) the inoculation of different non-Saccharomyces (T. delbrueckii and M. pulcherrima) and, (ii) the inoculation time of the non-Saccharomyces with respect to S. cerevisiae resources (co-inoculated and sequentially inoculated) influence the composition of the connected MLF consortia, modulating MLF performance. Finally, we demonstrated the first findings of delayed and inhibited MLF when M. pulcherrima, and T. delbrueckii were inoculated, respectively. In addition, as a further control test, we also assessed the effect of the inoculation with Oenococcus oeni and Lactobacillus plantarum at the end of alcoholic fermentation, as MLF starter cultures. Our study suggests the potential interest in the application of NGS analysis, to monitor the effect of alcoholic fermentation on the spontaneous malolactic consortium, in relation to wine. Full article
(This article belongs to the Section Molecular Microbiology)
Show Figures

Figure 1

Back to TopTop