Sign in to use this feature.

Years

Between: -

Subjects

remove_circle_outline
remove_circle_outline
remove_circle_outline
remove_circle_outline
remove_circle_outline
remove_circle_outline
remove_circle_outline

Journals

Article Types

Countries / Regions

Search Results (9)

Search Parameters:
Keywords = Passive Entry Passive Start

Order results
Result details
Results per page
Select all
Export citation of selected articles as:
16 pages, 3776 KB  
Article
A Vehicle Passive Entry Passive Start System with the Intelligent Internet of Things
by Ray-I Chang, Tzu-Chieh Lin and Jeng-Wei Lin
Electronics 2024, 13(13), 2506; https://doi.org/10.3390/electronics13132506 - 26 Jun 2024
Cited by 2 | Viewed by 2579
Abstract
With the development of sensor and communication technologies, the Internet of Things (IoT) subsystem is gradually becoming a crucial part in vehicles. It can effectively enhance functionalities of vehicles. However, new attack types are also emerging. For example, a driver with the smart [...] Read more.
With the development of sensor and communication technologies, the Internet of Things (IoT) subsystem is gradually becoming a crucial part in vehicles. It can effectively enhance functionalities of vehicles. However, new attack types are also emerging. For example, a driver with the smart key in their pocket can push the start button to start a car. At the same time, security issues in the push-to-start scenario are pervasive, such as smart key forgery. In this study, we propose a vehicle Passive Entry Passive Start (PEPS) system that adopts deep learning algorithms to recognize the driver using the electrocardiogram (ECG) signals measured on the driver’s smart watch. ECG signals are used for personal identification. Smart watches, serving as new smart keys of the PEPS system, can improve convenience and security. In the experiment, we consider commercial smart watches capable of sensing ECG signals. The sample rate and precision are typically lower than those of a 12-lead ECG used in hospitals. The experimental results show that Long Short-Term Memory (LSTM) models achieve the best accuracy score for identity recognition (91%) when a single ECG cycle is used. However, it takes at least 30 min for training. The training of a personalized Auto Encoder model takes only 5 min for each subject. When 15 continuous ECG cycles are sensed and used, this can achieve 100% identity accuracy. As the personalized Auto Encoder model is an unsupervised learning one-class recognizer, it can be trained using only the driver’s ECG signal. This will simplify the management of ECG recordings extremely, as well as the integration of the proposed technology into PEPS vehicles. A FIDO (Fast Identify Online)-like environment for the proposed PEPS system is discussed. Public key cryptography is adopted for communication between the smart watch and the PEPS car. The driver is first verified on the smart watch via local ECG biometric authentication, and then identified by the PEPS car. Phishing attacks, MITM (man in the middle) attacks, and replay attacks can be effectively prevented. Full article
Show Figures

Figure 1

17 pages, 825 KB  
Article
BackProx: Secure Backscatter-Assisted Proximity Detection for Passive Keyless Entry and Start Systems
by Hoorin Park and Jeongkyu Hong
Sensors 2023, 23(4), 2330; https://doi.org/10.3390/s23042330 - 20 Feb 2023
Cited by 2 | Viewed by 2697
Abstract
A passive keyless entry and start (PKES) system is an electronic lock for an automobile that provides the great convenience of opening the door when the user is in proximity. However, the system suffers from relay attacks. Recent studies revealed that relayed signals [...] Read more.
A passive keyless entry and start (PKES) system is an electronic lock for an automobile that provides the great convenience of opening the door when the user is in proximity. However, the system suffers from relay attacks. Recent studies revealed that relayed signals result in valid packets that are sufficient to unlock doors. In particular, the adversary causes proximity errors by injecting a certain time delay before relaying to manipulate the phase rotation in the response signal. To this end, we present a novel relay-resilient proximity detection solution, BackProx, which uses pseudo-random frequency hopping with the assistance of a reference backscattering device. Since the relay adversary transmits the relayed signals from the key fob at long distances, the signals should propagate over longer distances, resulting in inevitable significant phase rotation with different frequencies. Inspired by this finding, BackProx uses an additional backscattering device to ensure the proximity of the key fob using the invariant characteristics of radio frequency signals in the physical layer (i.e., phase rotation). Our evaluation demonstrates the effectiveness of BackProx in resisting three types of relay attacks. The results show that it achieved a 98% true positive rate at close range and a 0.3% false positive rate at long range. Full article
Show Figures

Figure 1

16 pages, 2838 KB  
Article
An Improved Method Based on Bluetooth Low-Energy Fingerprinting for the Implementation of PEPS System
by Francesco Bonavolontà, Annalisa Liccardo, Rosario Schiano Lo Moriello, Enzo Caputo, Giorgio de Alteriis, Angelo Palladino and Giuseppe Vitolo
Sensors 2022, 22(24), 9615; https://doi.org/10.3390/s22249615 - 8 Dec 2022
Cited by 1 | Viewed by 2268
Abstract
In the automotive field, the introduction of keyless access systems is revolutionizing car entry techniques currently dominated by a physical key. In this context, this paper investigates the possible use of smartphones to create a PEPS (Passive Entry Passive Start) system using the [...] Read more.
In the automotive field, the introduction of keyless access systems is revolutionizing car entry techniques currently dominated by a physical key. In this context, this paper investigates the possible use of smartphones to create a PEPS (Passive Entry Passive Start) system using the BLE (Bluetooth Low-Energy) Fingerprinting technique that allows, along with a connection to a low-cost BLE micro-controllers network, determining the driver’s position, either inside or outside the vehicle. Several issues have been taken into account to assure the reliability of the proposal; in particular, (i) spatial orientation of each microcontroller-based BLE node which ensures the best performance at 180° and 90° referred to as the BLE scanner and the advertiser, respectively; (ii) data filtering techniques based on Kalman Filter; and (iii) definition of new network topology, resulting from the merger of two standard network topologies. Particular attention has been paid to the selection of the appropriate measurement method capable of assuring the most reliable positioning results by means of the adoption of only six embedded BLE devices. This way, the global accuracy of the system reaches 98.5%, while minimum and maximum accuracy values relative to the individual zones equal, respectively, to 97.3% and 99.4% have been observed, thus confirming the capability of the proposed method of recognizing whether the driver is inside or outside the vehicle. Full article
(This article belongs to the Special Issue Indoor and Outdoor Sensor Networks for Positioning and Localization)
Show Figures

Figure 1

21 pages, 1509 KB  
Article
Short Mindfulness-Based Relaxation Training Has No Effects on Executive Functions but May Reduce Baseline Cortisol Levels of Boys in First Grade: A Pilot Study
by Adam Koncz, Reka Kassai, Zsolt Demetrovics and Zsofia K. Takacs
Children 2022, 9(2), 203; https://doi.org/10.3390/children9020203 - 4 Feb 2022
Cited by 6 | Viewed by 4723
Abstract
(1) Background: Executive functions are important for academic performance and school readiness. Children’s executive function skills are found to be improved by mindfulness-based interventions, and these programs are also effective in stress reduction. The aim of this study was to evaluate the feasibility [...] Read more.
(1) Background: Executive functions are important for academic performance and school readiness. Children’s executive function skills are found to be improved by mindfulness-based interventions, and these programs are also effective in stress reduction. The aim of this study was to evaluate the feasibility and the effects of a short mindfulness-based relaxation training compared to a passive control condition right before school entry on executive function skills and cortisol levels. (2) Methods: The feasibility and the effects of the intervention before school entry were tested with 61 preschoolers. The final sample consisted of 51 participants (Mage = 81.90 months, SD = 5.45; 41% male). Short-term memory, executive function skills and cortisol levels before and after the intervention were assessed. Additionally, cortisol levels were assessed one week and one month after school entry. (3) Results: There was a significant sex difference in the effects of the intervention on children’s cortisol levels (p = 0.026, η2 = 0.134). The mindfulness-based relaxation training applied before school entry prevented a rise in boys’ cortisol levels one week after starting school. (4) Conclusion: A short mindfulness-based intervention before starting school could be effective in fostering physiological stress management in boys. Full article
(This article belongs to the Section Global Pediatric Health)
Show Figures

Figure 1

16 pages, 735 KB  
Article
Benefits of a Mindfulness-Based Intervention upon School Entry: A Pilot Study
by Adam Koncz, Ferenc Köteles, Zsolt Demetrovics and Zsofia K. Takacs
Int. J. Environ. Res. Public Health 2021, 18(23), 12630; https://doi.org/10.3390/ijerph182312630 - 30 Nov 2021
Cited by 12 | Viewed by 5696
Abstract
Background: mindfulness meditation is effective at fostering the executive functioning of children, i.e., the skills that play important roles in academic performance and social–emotional wellbeing. One possible mechanism for such an effect might be that meditation practices can decrease stress, especially if someone [...] Read more.
Background: mindfulness meditation is effective at fostering the executive functioning of children, i.e., the skills that play important roles in academic performance and social–emotional wellbeing. One possible mechanism for such an effect might be that meditation practices can decrease stress, especially if someone is at a risk for elevated cortisol levels, for instance, due to a stressful life event, such as starting school. Participants and methods: the present pilot study tested the effects of a six-session mindfulness intervention applied right after school entry compared to a passive control group. In total 61 first graders participated (Mage = 84.95 months, SD = 5.21) in this study from four classes of a primary school in Budapest. Repeated-measures ANOVA were performed to explore the effects on executive functioning skills and cortisol levels. Results: no effect was found on morning salivary cortisol levels, but the working memory capacities of girls significantly improved as a result of the intervention. Conclusions: a relatively short, story-based mindfulness intervention can improve the working memory capacities of first-graders; thus, it could potentially contribute to the academic performance and adaptation of children in schools. Full article
(This article belongs to the Special Issue Promotion of Children's Social-Emotional Learning and Development)
Show Figures

Figure 1

21 pages, 10895 KB  
Article
Estimating Canopy Density Parameters Time-Series for Winter Wheat Using UAS Mounted LiDAR
by Jordan Steven Bates, Carsten Montzka, Marius Schmidt and François Jonard
Remote Sens. 2021, 13(4), 710; https://doi.org/10.3390/rs13040710 - 15 Feb 2021
Cited by 43 | Viewed by 7938
Abstract
Monitoring of canopy density with related metrics such as leaf area index (LAI) makes a significant contribution to understanding and predicting processes in the soil–plant–atmosphere system and to indicating crop health and potential yield for farm management. Remote sensing methods using optical sensors [...] Read more.
Monitoring of canopy density with related metrics such as leaf area index (LAI) makes a significant contribution to understanding and predicting processes in the soil–plant–atmosphere system and to indicating crop health and potential yield for farm management. Remote sensing methods using optical sensors that rely on spectral reflectance to calculate LAI have become more mainstream due to easy entry and availability. Methods with vegetation indices (VI) based on multispectral reflectance data essentially measure the green area index (GAI) or response to chlorophyll content of the canopy surface and not the entire aboveground biomass that may be present from non-green elements that are key to fully assessing the carbon budget. Methods with light detection and ranging (LiDAR) have started to emerge using gap fraction (GF) to estimate the plant area index (PAI) based on canopy density. These LiDAR methods have the main advantage of being sensitive to both green and non-green plant elements. They have primarily been applied to forest cover with manned airborne LiDAR systems (ALS) and have yet to be used extensively with crops such as winter wheat using LiDAR on unmanned aircraft systems (UAS). This study contributes to a better understanding of the potential of LiDAR as a tool to estimate canopy structure in precision farming. The LiDAR method proved to have a high to moderate correlation in spatial variation to the multispectral method. The LiDAR-derived PAI values closely resemble the SunScan Ceptometer GAI ground measurements taken early in the growing season before major stages of senescence. Later in the growing season, when the canopy density was at its highest, a possible overestimation may have occurred. This was most likely due to the chosen flight parameters not providing the best depictions of canopy density with consideration of the LiDAR’s perspective, as the ground-based destructive measurements provided lower values of PAI. Additionally, a distinction between total LiDAR-derived PAI, multispectral-derived GAI, and brown area index (BAI) is made to show how the active and passive optical sensor methods used in this study can complement each other throughout the growing season. Full article
(This article belongs to the Special Issue LiDAR for Precision Agriculture)
Show Figures

Graphical abstract

23 pages, 807 KB  
Article
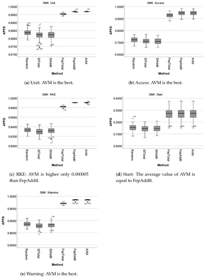
Model-Based Test Case Prioritization Using an Alternating Variable Method for Regression Testing of a UML-Based Model
by Ki-Wook Shin and Dong-Jin Lim
Appl. Sci. 2020, 10(21), 7537; https://doi.org/10.3390/app10217537 - 26 Oct 2020
Cited by 11 | Viewed by 3092
Abstract
Many test case prioritization (TCP) studies based on regression testing using a code-based development approach have appeared. However, few studies on model-based mutation testing have explored what kind of fault seeding is appropriate or how much the code-based results differ. In this paper, [...] Read more.
Many test case prioritization (TCP) studies based on regression testing using a code-based development approach have appeared. However, few studies on model-based mutation testing have explored what kind of fault seeding is appropriate or how much the code-based results differ. In this paper, as automatic seeding for the mutation generation, several mutation operators were employed for the UML statechart. Here, we suggest mutation testing employing the model-based development approach and a new TCP method based on an alternating variable method (AVM). We statistically compare the average percentage of the fault detection (APFD) results of the new method to other TCP methods such as a greedy algorithm for code coverage or fault exposure possibility. Finally, in empirical studies, the model-based TCP results for a power window switch module, a body control module, and a passive entry and start system are derived; these are real industrial challenges in the automotive industry. Full article
(This article belongs to the Section Computing and Artificial Intelligence)
Show Figures

Figure 1

19 pages, 836 KB  
Article
User Context Detection for Relay Attack Resistance in Passive Keyless Entry and Start System
by Jing Li, Yabo Dong, Shengkai Fang, Haowen Zhang and Duanqing Xu
Sensors 2020, 20(16), 4446; https://doi.org/10.3390/s20164446 - 9 Aug 2020
Cited by 15 | Viewed by 4675
Abstract
In modern cars, the Passive Keyless Entry and Start system (PKES) has been extensively installed. The PKES enables drivers to unlock and start their cars without user interaction. However, it is vulnerable to relay attacks. In this paper, we propose a secure smartphone-type [...] Read more.
In modern cars, the Passive Keyless Entry and Start system (PKES) has been extensively installed. The PKES enables drivers to unlock and start their cars without user interaction. However, it is vulnerable to relay attacks. In this paper, we propose a secure smartphone-type PKES system model based on user context detection. The proposed system uses the barometer and accelerometer embedded in smartphones to detect user context, including human activity and door closing event. These two types of events detection can be used by the PKES to determine the car owner’s position when the car receives an unlocking or a start command. We evaluated the performance of the proposed method using a dataset collected from user activity and 1526 door closing events. The results reveal that the proposed method can accurately and effectively detect user activities and door closing events. Therefore, smartphone-type PKES can prevent relay attacks. Furthermore, we tested the detection of door closing event under multiple environmental settings to demonstrate the robustness of the proposed method. Full article
(This article belongs to the Section Intelligent Sensors)
Show Figures

Figure 1

29 pages, 7248 KB  
Review
Imaging, Tracking and Computational Analyses of Virus Entry and Egress with the Cytoskeleton
by I-Hsuan Wang, Christoph J. Burckhardt, Artur Yakimovich and Urs F. Greber
Viruses 2018, 10(4), 166; https://doi.org/10.3390/v10040166 - 31 Mar 2018
Cited by 87 | Viewed by 17784
Abstract
Viruses have a dual nature: particles are “passive substances” lacking chemical energy transformation, whereas infected cells are “active substances” turning-over energy. How passive viral substances convert to active substances, comprising viral replication and assembly compartments has been of intense interest to virologists, cell [...] Read more.
Viruses have a dual nature: particles are “passive substances” lacking chemical energy transformation, whereas infected cells are “active substances” turning-over energy. How passive viral substances convert to active substances, comprising viral replication and assembly compartments has been of intense interest to virologists, cell and molecular biologists and immunologists. Infection starts with virus entry into a susceptible cell and delivers the viral genome to the replication site. This is a multi-step process, and involves the cytoskeleton and associated motor proteins. Likewise, the egress of progeny virus particles from the replication site to the extracellular space is enhanced by the cytoskeleton and associated motor proteins. This overcomes the limitation of thermal diffusion, and transports virions and virion components, often in association with cellular organelles. This review explores how the analysis of viral trajectories informs about mechanisms of infection. We discuss the methodology enabling researchers to visualize single virions in cells by fluorescence imaging and tracking. Virus visualization and tracking are increasingly enhanced by computational analyses of virus trajectories as well as in silico modeling. Combined approaches reveal previously unrecognized features of virus-infected cells. Using select examples of complementary methodology, we highlight the role of actin filaments and microtubules, and their associated motors in virus infections. In-depth studies of single virion dynamics at high temporal and spatial resolutions thereby provide deep insight into virus infection processes, and are a basis for uncovering underlying mechanisms of how cells function. Full article
(This article belongs to the Special Issue Cytoskeleton in Virus Infections)
Show Figures

Figure 1

Back to TopTop