Sign in to use this feature.

Years

Between: -

Subjects

remove_circle_outline
remove_circle_outline
remove_circle_outline
remove_circle_outline
remove_circle_outline
remove_circle_outline

Journals

Article Types

Countries / Regions

Search Results (59)

Search Parameters:
Keywords = PVDF-based nanocomposites

Order results
Result details
Results per page
Select all
Export citation of selected articles as:
20 pages, 2801 KB  
Article
Square Split-Ring Resonator as a Sensor for Detection of Nanoparticles in PVDF-Based Nanocomposites at Ultra-HighFrequencies: MXenes and MoS2 Concentrations
by Jorge Simon, Jacobo Jimenez-Rodriguez, Emmanuel Hernandez-Gonzalez, Jose L. Alvarez-Flores, Walter A. Mata-Lopez, John A. Franco-Villafañe, J. R. Gomez-Rodriguez, Marco Cardenas-Juarez, Oscar F. Olea-Mejia, Ana L. Martinez-Hernandez and Carlos Velasco Santos
Sensors 2026, 26(3), 1028; https://doi.org/10.3390/s26031028 - 4 Feb 2026
Abstract
The performance of a printed square split-ring resonator as a sensor for quantifying nanoparticle concentrations in PVDF-based nanocomposites was evaluated at UHF frequencies. The sensing mechanism was based on the frequency response of parameter S21, observing the shift in the resonant [...] Read more.
The performance of a printed square split-ring resonator as a sensor for quantifying nanoparticle concentrations in PVDF-based nanocomposites was evaluated at UHF frequencies. The sensing mechanism was based on the frequency response of parameter S21, observing the shift in the resonant frequency and a variation in S21 level, while samples were placed on the ring split and compared to the sensor without a sample. Experiments with samples of PVDF-based nanocomposites combined with different concentrations of both MoS2 and MXenes, ranging from 0.01% to 0.2%, were conducted. In general, considering both types of samples studied, it was observed that, as the concentration increases, S21 (dB) increases from-.35 to −6 dB. At the same time, the resonance frequency in the S21 plot went from 500.4 to 498.25 MHz. Although the concentrations and their variations were relatively low, shifts in the resonance frequency of S21 were evident, demonstrating the ability of the sensor to detect low concentrations and variations of MoS2 and MXenes, being the detection of samples with higher concentrations feasible as future work, and concluding that the sensor had a relatively acceptable performance. In this study, MXenes were the concentrations that produced more noticeable shifts in the resonance frequency of S21. Likewise, characterizations based on SEM and TEM were performed to corroborate the ones at UHF frequencies. Full article
(This article belongs to the Special Issue Advanced Microwave Sensors and Their Applications in Measurement)
32 pages, 6328 KB  
Article
A Combined Experimental, Theoretical, and Simulation Approach to the Effects of GNPs and MWCNTs on Joule Heating Behavior of 3D Printed PVDF Nanocomposites
by Giovanni Spinelli, Rosella Guarini, Rumiana Kotsilkova, Evgeni Ivanov and Vladimir Georgiev
Polymers 2025, 17(21), 2835; https://doi.org/10.3390/polym17212835 - 24 Oct 2025
Viewed by 744
Abstract
The thermal behavior of 3D-printed polyvinylidene fluoride (PVDF)-based composites enhanced with carbon nanotubes (CNTs), graphene nanoplatelets (GNPs), and their hybrid formulations was investigated under Joule heating at applied voltages of 2, 3, and 4 V. The influence of filler type and weight fraction [...] Read more.
The thermal behavior of 3D-printed polyvinylidene fluoride (PVDF)-based composites enhanced with carbon nanotubes (CNTs), graphene nanoplatelets (GNPs), and their hybrid formulations was investigated under Joule heating at applied voltages of 2, 3, and 4 V. The influence of filler type and weight fraction on both electrical and thermal conductivity was systematically assessed using a Design of Experiments (DoE) approach. Response Surface Methodology (RSM) was employed to derive an analytical relationship linking conductivity values to filler loading, revealing clear trends and interaction effects. Among all tested formulations, the composite containing 6 wt% of GNPs exhibited the highest performance in terms of thermal response and electrical conductivity, reaching a steady-state temperature of 88.1 °C under an applied voltage of just 4 V. This optimal formulation was further analyzed through multiphysics simulations, validated against experimental data and theoretical predictions, to evaluate its effectiveness for potential practical applications—particularly in de-icing systems leveraging Joule heating. The integrated experimental–theoretical–numerical workflow proposed herein offers a robust strategy for guiding the development and optimization of next-generation polymer nanocomposites for thermal management technologies. Full article
(This article belongs to the Section Polymer Composites and Nanocomposites)
Show Figures

Figure 1

14 pages, 4052 KB  
Article
ZnO/PVDF Nanogenerators with Hemisphere-Patterned PDMS for Enhanced Piezoelectric Performance
by Kibum Song and Keun-Young Shin
Polymers 2025, 17(15), 2041; https://doi.org/10.3390/polym17152041 - 26 Jul 2025
Cited by 2 | Viewed by 2077
Abstract
In this study, we present a flexible piezoelectric nanogenerator based on a zinc oxide (ZnO)/polyvinylidene fluoride (PVDF) nanocomposite electrospun onto a hemisphere-patterned PDMS substrate. The nanogenerator was fabricated by replicating a silicon mold with inverted hemispheres into PDMS, followed by direct electrospinning of [...] Read more.
In this study, we present a flexible piezoelectric nanogenerator based on a zinc oxide (ZnO)/polyvinylidene fluoride (PVDF) nanocomposite electrospun onto a hemisphere-patterned PDMS substrate. The nanogenerator was fabricated by replicating a silicon mold with inverted hemispheres into PDMS, followed by direct electrospinning of ZnO-dispersed PVDF nanofibers. Varying the ZnO concentration from 0.6 to 1.4 wt% allowed us to evaluate its effect on structural, dielectric, and piezoelectric properties. The nanogenerator containing 0.8 wt% ZnO exhibited the thinnest fibers (371 nm), the highest β-phase fraction (85.6%), and the highest dielectric constant (35.8). As a result, it achieved the maximum output voltage of 7.30 V, with excellent signal consistency under an applied pressure of 5 N. Comparisons with pristine PVDF- and ZnO/PVDF-only devices demonstrated the synergistic effect of ZnO loading and patterned PDMS on the enhancement of piezoelectric output. The hemisphere-patterned PDMS substrate improved the mechanical strain distribution, interfacial contact, and charge collection efficiency. These results highlight the potential of ZnO/PVDF/PDMS hybrid nanogenerators for use in wearable electronics and self-powered sensor systems. Full article
(This article belongs to the Special Issue Recent Advances in Applied Polymers in Renewable Energy)
Show Figures

Graphical abstract

13 pages, 3761 KB  
Article
Enhancing Energy Density of BaTiO3-Bi(M)O3@SiO2/PVDF Nanocomposites via Filler Component Modulation and Film Structure Design
by Jin Hu and Fangfang Liu
Nanomaterials 2025, 15(8), 569; https://doi.org/10.3390/nano15080569 - 8 Apr 2025
Cited by 1 | Viewed by 980
Abstract
The low energy density (Ud) of polymeric dielectrics is unfavorable for the integration and miniaturization of electronics, thus limiting their application prospects. Introducing high-εr (dielectric constant) ceramic nanofillers to polymer matrices is the most common strategy to enhance [...] Read more.
The low energy density (Ud) of polymeric dielectrics is unfavorable for the integration and miniaturization of electronics, thus limiting their application prospects. Introducing high-εr (dielectric constant) ceramic nanofillers to polymer matrices is the most common strategy to enhance their εr, and hence their Ud. By comparison, enhancing breakdown strength (Eb) is a more effective strategy to enhance Ud. Herein, 0.6BaTiO3-0.4Bi(Mg0.5Ti0.5)O3 and 0.85BaTiO3-0.15Bi(Mg0.5Zr0.5)O3 nanofibers coated with SiO2 were utilized as fillers in PVDF-based nanocomposites. The combination of experimental and simulation results suggests that the intrinsic properties of nanofillers are the determining factor of the Eb of polymer-based nanocomposites, and SiO2 coating and film structure design are effective strategies to enhance their Eb, and consequently their Ud. As a result, the sandwich-structured PVDF/6 wt% 0.85BaTiO3-0.15Bi(Mg0.5Zr0.5)O3@SiO2 nanofiber within PVDF/PVDF nanocomposite films achieved a maximum Ud of 11.1 J/cm3 at an Eb of 458 MV/m, which are 2.15 and 1.40 times those of pristine PVDF, respectively. Full article
(This article belongs to the Special Issue Functional Polymer and Ceramic Nanocomposites)
Show Figures

Graphical abstract

17 pages, 15700 KB  
Article
All-Organic Quantum Dots-Boosted Energy Storage Density in PVDF-Based Nanocomposites via Dielectric Enhancement and Loss Reduction
by Ru Guo, Xi Yuan, Xuefan Zhou, Haiyan Chen, Haoran Xie, Quan Hu, Hang Luo and Dou Zhang
Polymers 2025, 17(3), 390; https://doi.org/10.3390/polym17030390 - 31 Jan 2025
Cited by 1 | Viewed by 1967
Abstract
Dielectric capacitors offer immense application potential in advanced electrical and electronic systems with their unique ultrahigh power density. Polymer-based dielectric composites with high energy density are urgently needed to meet the ever-growing demand for the integration and miniaturization of electronic devices. However, the [...] Read more.
Dielectric capacitors offer immense application potential in advanced electrical and electronic systems with their unique ultrahigh power density. Polymer-based dielectric composites with high energy density are urgently needed to meet the ever-growing demand for the integration and miniaturization of electronic devices. However, the universal contradictory relationship between permittivity and breakdown strength in traditional ceramic/polymer nanocomposite still poses a huge challenge for a breakthrough in energy density. In this work, all-organic carbon quantum dot CDs were synthesized and introduced into a poly(vinylidene fluoride) PVDF polymer matrix to achieve significantly boosted energy storage performance. The ultrasmall and surface functionalized CDs facilitate the polar β-phase transition and crystallinity of PVDF polymer and modulate the energy level and traps of the nanocomposite. Surprisingly, a synergistic dielectric enhancement and loss reduction were achieved in CD/PVDF nanocomposite. For one thing, the improvement in εr and high-field Dm originates from the CD-induced polar transition and interface polarization. For another thing, the suppressed dielectric loss and high-field Dr are attributed to the conductive loss depression via the introduction of deep trap levels to capture charges. More importantly, Eb was largely strengthened from 521.9 kV mm−1 to 627.2 kV mm−1 by utilizing the coulomb-blockade effect of CDs to construct energy barriers and impede carrier migration. As a result, compared to the 9.9 J cm−3 for pristine PVDF, the highest discharge energy density of 18.3 J cm−3 was obtained in a 0.5 wt% CD/PVDF nanocomposite, which is competitive with most analogous PVDF-based nanocomposites. This study demonstrates a new paradigm of organic quantum dot-enhanced ferroelectric polymer-based dielectric energy storage performance and will promote its application for electrostatic film capacitors. Full article
(This article belongs to the Special Issue Piezoelectric Polymers and Devices)
Show Figures

Figure 1

10 pages, 6062 KB  
Article
Thermally Induced Polymorphic Changes in Poly(vinylidene Fluoride) Thin Layer Investigated Using Micro-Raman Spectroscopy
by Munizer Purica, Florin Constantin Comanescu and Violeta Dediu
Coatings 2024, 14(12), 1520; https://doi.org/10.3390/coatings14121520 - 2 Dec 2024
Cited by 1 | Viewed by 1746
Abstract
Poly vinylidene fluoride (PVDF) is a versatile polymer that shows polymorphism, and most of its applications are based on its piezoelectric properties given by its polar crystalline phases. Increasing the polymer’s polar β-phase content has been a major pursuit in material science. We [...] Read more.
Poly vinylidene fluoride (PVDF) is a versatile polymer that shows polymorphism, and most of its applications are based on its piezoelectric properties given by its polar crystalline phases. Increasing the polymer’s polar β-phase content has been a major pursuit in material science. We present the results on the evolution of induced polymorphic changes of PVDF through thermal treatment and the presence of the nano-ZnO with different morphologies. Three types of samples—a PVDF pure layer, PVDF:ZnO nanoparticles (NPs) and PVDF:ZnO nanorods (NRs)—were subjected to stress by heating at different temperatures from 50 °C close to melting temperature, 170 °C. The changes in PVDF–ZnO composite layers were investigated in situ using an experimental setup consisting of a high-resolution micro-Raman spectrometer and a thermo-electric cell. The ZnO NPs and NRs added in PVDF lead to obtaining a PVDF nanocomposite in which the intensity of the β phase is much higher than that of the α phase: intensities ratio Iβ(840.6 cm−1)/Iα(798.9 cm−1) > 5.56. The phase is stable up to 150 °C, and with the increase in temperature to 170 °C, the β phase passes to a lower crystallinity α phase with a large amorphous content highlighted by the 400–700 cm−1 and 800–1000 cm−1 regions without Raman peaks. Full article
(This article belongs to the Special Issue Advanced Thin Films Technologies for Optics, Electronics, and Sensing)
Show Figures

Figure 1

18 pages, 2873 KB  
Article
Improving Resistive Heating, Electrical and Thermal Properties of Graphene-Based Poly(Vinylidene Fluoride) Nanocomposites by Controlled 3D Printing
by Rumiana Kotsilkova, Vladimir Georgiev, Mariya Aleksandrova, Todor Batakliev, Evgeni Ivanov, Giovanni Spinelli, Rade Tomov and Tsvetozar Tsanev
Nanomaterials 2024, 14(22), 1840; https://doi.org/10.3390/nano14221840 - 17 Nov 2024
Cited by 4 | Viewed by 2779
Abstract
This study developed a novel 3D-printable poly(vinylidene fluoride) (PVDF)-based nanocomposite incorporating 6 wt% graphene nanoplatelets (GNPs) with programmable characteristics for resistive heating applications. The results highlighted the significant effect of a controlled printing direction (longitudinal, diagonal, and transverse) on the electrical, thermal, Joule [...] Read more.
This study developed a novel 3D-printable poly(vinylidene fluoride) (PVDF)-based nanocomposite incorporating 6 wt% graphene nanoplatelets (GNPs) with programmable characteristics for resistive heating applications. The results highlighted the significant effect of a controlled printing direction (longitudinal, diagonal, and transverse) on the electrical, thermal, Joule heating, and thermo-resistive properties of the printed structures. The 6 wt% GNP/PVDF nanocomposite exhibited a high electrical conductivity of 112 S·m−1 when printed in a longitudinal direction, which decreased significantly in other directions. The Joule heating tests confirmed the material’s efficiency in resistive heating, with the maximum temperature reaching up to 65 °C under an applied low voltage of 2 V at a raster angle of printing of 0°, while the heating Tmax decreased stepwise with 10 °C at the 45° and the 90° printing directions. The repeatability of the Joule heating performance was verified through multiple heating and cooling cycles, demonstrating consistent maximum temperatures across several tests. The effect of sample thickness, controlled by the number of printed layers, was investigated, and the results underscore the advantages of programmable 3D printing orientation in thin layers for enhanced thermal stability, tailored electrical conductivity, and efficient Joule heating capabilities of 6 wt% GNP/PVDF composites, positioning them as promising candidates for next-generation 3D-printed electronic devices and self-heating applications. Full article
(This article belongs to the Special Issue Hybrid Nano Polymer Composites (2nd Edition))
Show Figures

Figure 1

15 pages, 6149 KB  
Article
Effect of Bismuth Ferrite Nanoparticles on Physicochemical Properties of Polyvinylidene Fluoride-Based Nanocomposites
by Denis Petrukhin, Vitalii Salnikov, Aleksey Nikitin, Ibtissame Sidane, Sawssen Slimani, Stefano Alberti, Davide Peddis, Alexander Omelyanchik and Valeria Rodionova
J. Compos. Sci. 2024, 8(8), 329; https://doi.org/10.3390/jcs8080329 - 20 Aug 2024
Cited by 5 | Viewed by 3465
Abstract
Bismuth ferrite (BiFeO3, BFO) is one of the few single-phase crystalline compounds exhibiting strong multiferroic properties at room temperature, which makes it promising for use in various fields of science and technology. The remarkable characteristics of BFO at the nanoscale position [...] Read more.
Bismuth ferrite (BiFeO3, BFO) is one of the few single-phase crystalline compounds exhibiting strong multiferroic properties at room temperature, which makes it promising for use in various fields of science and technology. The remarkable characteristics of BFO at the nanoscale position it as a compelling candidate for enhancing the functionalities of polymeric nanocomposite materials. In this study, we explore the fabrication of polyvinylidene fluoride (PVDF) nanocomposites with a variable content of BFO nanopowders (0, 5, 10, 15, 20, and 25 wt%) by solution casting in the form of thin films with the thickness of ~60 µm. Our findings reveal that the presence of BFO nanoparticles slightly facilitates the formation of β- and γ-phases of PVDF, known for their enhanced piezoelectric properties, thereby potentially expanding the utility of PVDF-based materials in sensors, actuators, and energy harvesting devices. On the other hand, the increase in filler concentration leads to enlarged spherulite diameter and porosity of PVDF, as well as an increase in filler content above 20 wt% resulting in a decrease in the degree of crystallinity. The structural changes in the surface were found to increase the hydrophobicity of the nanocomposite surface. Magnetometry indicates that the magnetic properties of nanocomposite are influenced by the BFO nanoparticle content with the saturation magnetization at ~295 K ranging from ~0.08 emu/g to ~0.8 emu/g for samples with the lowest and higher BFO content, respectively. Full article
(This article belongs to the Section Nanocomposites)
Show Figures

Graphical abstract

13 pages, 3952 KB  
Article
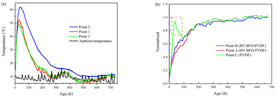
Establishment of a Mass Concrete Strength-Monitoring Method Using Barium Titanate–Bismuth Ferrite/Polyvinylidene Fluoride Nanocomposite Piezoelectric Sensors with Temperature Stability
by Guoliang Lin, Dongwang Lu, Bowen Cui, Aoxiang Lin, Minyi Liu and Yongbin Ye
Sensors 2024, 24(14), 4653; https://doi.org/10.3390/s24144653 - 18 Jul 2024
Cited by 3 | Viewed by 1733
Abstract
Mass concrete is widely used in large-scale projects, including metro upper cover structures, water conservancy dams, and heavy equipment foundations, among others, necessitating the process of health monitoring in mass concrete construction. The development of reliable and simple strength-monitoring methods for mass concrete [...] Read more.
Mass concrete is widely used in large-scale projects, including metro upper cover structures, water conservancy dams, and heavy equipment foundations, among others, necessitating the process of health monitoring in mass concrete construction. The development of reliable and simple strength-monitoring methods for mass concrete is challenging because the inner temperature of mass concrete is high and changes a lot. This study proposes a strength-monitoring approach for mass concrete using barium titanate–bismuth ferrite/polyvinylidene fluoride (BT–BFO/PVDF) nanocomposite piezoelectric sensors, wherein the new sensors are embedded as actuators and sensors in mass concrete. The stress wave generated by the BT–BFO/PVDF piezoelectric sensors is used to monitor the specimen’s strength for 28 days. The piezoelectric voltage received by the sensors in mass concrete is analyzed. The experimental results indicate that the signal received by the BT–BFO/PVDF sensors is not easily affected by the internal temperature of mass concrete compared with that of the traditional PVDF piezoelectric sensors. The signal parameters sensitive to concrete strength variation and the change trend of concrete strength are closely related to the piezoelectric voltage. Therefore, the proposed approach using BT–BFO/PVDF nanocomposite piezoelectric sensors is efficient (error < 10%) in mass concrete monitoring. Moreover, the monitoring results do not need temperature compensation. The physical meaning of the obtained strength prediction formula is proposed. An experimental system based on PVDF dynamic strain-sensing characteristics is established. Full article
(This article belongs to the Section Electronic Sensors)
Show Figures

Figure 1

18 pages, 7105 KB  
Article
PVDF Hybrid Nanocomposites with Graphene and Carbon Nanotubes and Their Thermoresistive and Joule Heating Properties
by Stiliyana Stoyanova, Evgeni Ivanov, Lohitha R. Hegde, Antonia Georgopoulou, Frank Clemens, Fahmi Bedoui and Rumiana Kotsilkova
Nanomaterials 2024, 14(11), 901; https://doi.org/10.3390/nano14110901 - 21 May 2024
Cited by 9 | Viewed by 3013
Abstract
In recent years, conductive polymer nanocomposites have gained significant attention due to their promising thermoresistive and Joule heating properties across a range of versatile applications, such as heating elements, smart materials, and thermistors. This paper presents an investigation of semi-crystalline polyvinylidene fluoride (PVDF) [...] Read more.
In recent years, conductive polymer nanocomposites have gained significant attention due to their promising thermoresistive and Joule heating properties across a range of versatile applications, such as heating elements, smart materials, and thermistors. This paper presents an investigation of semi-crystalline polyvinylidene fluoride (PVDF) nanocomposites with 6 wt.% carbon-based nanofillers, namely graphene nanoplatelets (GNPs), multi-walled carbon nanotubes (MWCNTs), and a combination of GNPs and MWCNTs (hybrid). The influence of the mono- and hybrid fillers on the crystalline structure was analyzed by X-ray diffraction (XRD) and differential scanning calorimetry (DSC). It was found that the nanocomposites had increased amorphous fraction compared to the neat PVDF. Furthermore, nanocomposites enhanced the β phase of the PVDF by up to 12% mainly due to the presence of MWCNTs. The resistive properties of the nanocompositions were weakly affected by the temperature in the analyzed temperature range of 25–100 °C; nevertheless, the hybrid filler composites were proven to be more sensitive than the monofiller ones. The Joule heating effect was observed when 8 and 10 V were applied, and the compositions reached a self-regulating effect at around 100–150 s. In general, the inclusion in PVDF of nanofillers such as GNPs and MWCNTs, and especially their hybrid combinations, may be successfully used for tuning the self-regulated Joule heating properties of the nanocomposites. Full article
(This article belongs to the Special Issue Hybrid Nano Polymer Composites (2nd Edition))
Show Figures

Figure 1

15 pages, 3624 KB  
Article
Polymer Nanocomposite Sensors with Improved Piezoelectric Properties through Additive Manufacturing
by Rishikesh Srinivasaraghavan Govindarajan, Zefu Ren, Isabel Melendez, Sandra K. S. Boetcher, Foram Madiyar and Daewon Kim
Sensors 2024, 24(9), 2694; https://doi.org/10.3390/s24092694 - 24 Apr 2024
Cited by 12 | Viewed by 3134
Abstract
Additive manufacturing (AM) technology has recently seen increased utilization due to its versatility in using functional materials, offering a new pathway for next-generation conformal electronics in the smart sensor field. However, the limited availability of polymer-based ultraviolet (UV)-curable materials with enhanced piezoelectric properties [...] Read more.
Additive manufacturing (AM) technology has recently seen increased utilization due to its versatility in using functional materials, offering a new pathway for next-generation conformal electronics in the smart sensor field. However, the limited availability of polymer-based ultraviolet (UV)-curable materials with enhanced piezoelectric properties necessitates the development of a tailorable process suitable for 3D printing. This paper investigates the structural, thermal, rheological, mechanical, and piezoelectric properties of a newly developed sensor resin material. The polymer resin is based on polyvinylidene fluoride (PVDF) as a matrix, mixed with constituents enabling UV curability, and boron nitride nanotubes (BNNTs) are added to form a nanocomposite resin. The results demonstrate the successful micro-scale printability of the developed polymer and nanocomposite resins using a liquid crystal display (LCD)-based 3D printer. Additionally, incorporating BNNTs into the polymer matrix enhanced the piezoelectric properties, with an increase in the voltage response by up to 50.13%. This work provides new insights for the development of 3D printable flexible sensor devices and energy harvesting systems. Full article
(This article belongs to the Special Issue Advanced Sensors Using Smart Materials)
Show Figures

Figure 1

18 pages, 7108 KB  
Article
Effect of Sonication Batch on Electrical Properties of Graphitic-Based PVDF-HFP Strain Sensors for Use in Health Monitoring
by Victor Díaz-Mena, Xoan F. Sánchez-Romate, María Sánchez and Alejandro Ureña
Sensors 2024, 24(6), 2007; https://doi.org/10.3390/s24062007 - 21 Mar 2024
Cited by 5 | Viewed by 2588
Abstract
In this study, flexible nanocomposites made from PVDF-HFP reinforced with carbon nanotubes (CNTs) and graphene nanoplatelets (GNPs) are manufactured using a sonication and solvent casting method for monitoring purposes. More specifically, the effect of the volume batch under the sonication process is explored. [...] Read more.
In this study, flexible nanocomposites made from PVDF-HFP reinforced with carbon nanotubes (CNTs) and graphene nanoplatelets (GNPs) are manufactured using a sonication and solvent casting method for monitoring purposes. More specifically, the effect of the volume batch under the sonication process is explored. For CNT-based composites, the electrical conductivity decreases as the batch volume increases due to less effective dispersion of the CNTs during the 30-min sonication. The maximum electrical conductivity achieved in this type of sensor is 1.44 ± 0.17 S/m. For the GNP-based nanocomposites, the lower the batch volume is, the more breakage of nanoplatelets is induced by sonication, and the electrical response decreases. This is also validated by AC analysis, where the characteristic frequencies are extracted. Here, the maximum electrical conductivity measured is 8.66 ± 1.76 S/m. The electromechanical results also show dependency on the batch volume. In the CNT-based nanocomposites, the higher gauge factor achieved corresponds to the batch size, where the sonication may be more effective because it leads to a dispersed pathway formed by aggregates connected by tunneling mechanisms. In contrast, in the CNT-based nanocomposites, the GF depends on the lateral size of the GNPs. The biggest GF of all sensors is achieved with the PVDF-HFP/GNP sensors, having a value of 69.36 × 104 at 35% of strain, while the highest GF achieved with a PVDF-HFP/CNT sensor is 79.70 × 103 at 70%. In addition, cycling tests show robust electromechanical response with cycling for two different strain percentages for each type of nanocomposite. The sensor with the highest sensitivity is selected for monitoring two joint movements as proof of the applicability of the sensors manufactured. Full article
Show Figures

Figure 1

13 pages, 6948 KB  
Article
Flexible 3D Force Sensor Based on Polymer Nanocomposite for Soft Robotics and Medical Applications
by Ahmed Alotaibi
Sensors 2024, 24(6), 1859; https://doi.org/10.3390/s24061859 - 14 Mar 2024
Cited by 13 | Viewed by 2878
Abstract
The three-dimensional (3D) force sensor has become essential in industrial and medical applications. The existing conventional 3D force sensors quantify the three-direction force components at a point of interest or extended contact area. However, they are typically made of rigid, complex structures and [...] Read more.
The three-dimensional (3D) force sensor has become essential in industrial and medical applications. The existing conventional 3D force sensors quantify the three-direction force components at a point of interest or extended contact area. However, they are typically made of rigid, complex structures and expensive materials, making them hard to implement in different soft or fixable industrial and medical applications. In this work, a new flexible 3D force sensor based on polymer nanocomposite (PNC) sensing elements was proposed and tested for its sensitivity to forces in the 3D space. Multi-walled carbon nanotube/polyvinylidene fluoride (MWCNT/PVDF) sensing element films were fabricated using the spray coating technique. The MWCNTs play an essential role in strain sensitivity in the sensing elements. They have been utilized for internal strain measurements of the fixable 3D force sensor’s structure in response to 3D forces. The MWCNT/PVDF was selected for its high sensitivity and capability to measure high and low-frequency forces. Four sensing elements were distributed into a cross-beam structure configuration, the most typically used solid 3D force sensor. Then, the sensing elements were inserted between two silicone rubber layers to enhance the sensor’s flexibility. The developed sensor was tested under different static and dynamic loading scenarios and exhibited excellent sensitivity and ability to distinguish between tension and compression force directions. The proposed sensor can be implemented in vast applications, including soft robotics and prostheses’ internal forces of patients with limb amputations. Full article
(This article belongs to the Section Wearables)
Show Figures

Figure 1

29 pages, 7908 KB  
Review
PVDF-Based Piezo-Catalytic Membranes—A Net-Zero Emission Approach towards Textile Wastewater Purification
by Amna Siddique, Hifza Nawaz, Shumaila Razzaque, Anila Tabasum, Hugh Gong, Humaira Razzaq and Muhammad Umar
Polymers 2024, 16(5), 699; https://doi.org/10.3390/polym16050699 - 4 Mar 2024
Cited by 13 | Viewed by 4918
Abstract
Among the various water purification techniques, advancements in membrane technology, with better fabrication and analysis, are receiving the most research attention. The piezo-catalytic degradation of water pollutants is an emerging area of research in water purification technology. This review article focuses on piezoelectric [...] Read more.
Among the various water purification techniques, advancements in membrane technology, with better fabrication and analysis, are receiving the most research attention. The piezo-catalytic degradation of water pollutants is an emerging area of research in water purification technology. This review article focuses on piezoelectric polyvinylidene difluoride (PVDF) polymer-based membranes and their nanocomposites for textile wastewater remediation. At the beginning of this article, the classification of piezoelectric materials is discussed. Among the various membrane-forming polymers, PVDF is a piezoelectric polymer discussed in detail due to its exceptional piezoelectric properties. Polyvinylidene difluoride can show excellent piezoelectric properties in the beta phase. Therefore, various methods of β-phase enhancement within the PVDF polymer and various factors that have a critical impact on its piezo-catalytic activity are briefly explained. This review article also highlights the major aspects of piezoelectric membranes in the context of dye degradation and a net-zero approach. The β-phase of the PVDF piezoelectric material generates an electron–hole pair through external vibrations. The possibility of piezo-catalytic dye degradation via mechanical vibrations and the subsequent capture of the resulting CO2 and H2 gases open up the possibility of achieving the net-zero goal. Full article
(This article belongs to the Special Issue Advanced Polymer for Membrane Applications)
Show Figures

Figure 1

13 pages, 4511 KB  
Article
The Numerical and Experimental Investigation of Piezoresistive Performance of Carbon Nanotube/Carbon Black/Polyvinylidene Fluoride Composite
by Kaiyan Huang, Shuying Tong, Xuewei Shi, Jie Wen, Xiaoyang Bi, Alamusi Li, Rui Zou, Wei Kong, Hui Yin, Wei Hu, Libin Zhao and Ning Hu
Materials 2023, 16(16), 5581; https://doi.org/10.3390/ma16165581 - 11 Aug 2023
Cited by 7 | Viewed by 2048
Abstract
The composites with multiple types of nano-carbon fillers have better electrical conductivity and piezoresistive properties as compared with composites with a single type of nano-carbon fillers. As previously reported, the nano-carbon fillers with various aspect ratios, such as carbon nanotube (CNT) and carbon [...] Read more.
The composites with multiple types of nano-carbon fillers have better electrical conductivity and piezoresistive properties as compared with composites with a single type of nano-carbon fillers. As previously reported, the nano-carbon fillers with various aspect ratios, such as carbon nanotube (CNT) and carbon black (CB), have synergistic enhanced effects on the piezoresistive performance of composite sensors. However, most of the works that have been reported are experimental investigations. The efficient and usable numerical simulation investigation needs to be further developed. In this study, based on an integrated 3D statistical resistor network model, a numerical simulation model was created to calculate the piezoresistive behavior of the CNT/CB/ Polyvinylidene Fluoride (PVDF) composite. This model also takes into account the tunneling effect between nearby nano-fillers. It is found from numerical simulation results that the piezoresistive sensitivity of composite simulation cells can be influenced by the fraction of CNT and CB. In the case that the CNT content is 0.073 wt.%, the best force-electrical piezoresistive sensitivity can be achieved when the CB loading is up to 0.2 wt.%. To verify the validity of the simulation model, the previous experimental investigation results are also compared. The experimental results confirm the validity of the model. The investigation is valuable and can be utilized to design a strain sensor for this nano-composite with increased sensitivity. Full article
(This article belongs to the Special Issue Functional Nanomaterials for a Better Life (Volume II))
Show Figures

Figure 1

Back to TopTop